Leaf-Level Field Spectroscopy to Discriminate Invasive Species (Psidium guajava L. and Hovenia dulcis Thunb.) from Native Tree Species in the Southern Brazilian Atlantic Forest
Abstract
1. Introduction
1.1. Background
1.2. IAS in Protected Areas
1.3. Leaf Optical Properties
1.4. Remote Sensing for the Detection, Mapping, and Monitoring of IAS
2. Materials and Methods
2.1. Study Site
2.2. Target Species
The Target IAS of the Study
Hovenia dulcis Thunberg
Psidium guajava L.
2.3. Spectral Measurements in the Field
2.4. Leaf Sampling and Laboratory Processing
2.5. Collection of Leaf-Level Spectral Data
2.6. Statistical Analyses
3. Results
3.1. Leaf Functional Traits for Native and Invasive Species
3.1.1. Water Content
3.1.2. Vegetation Structure
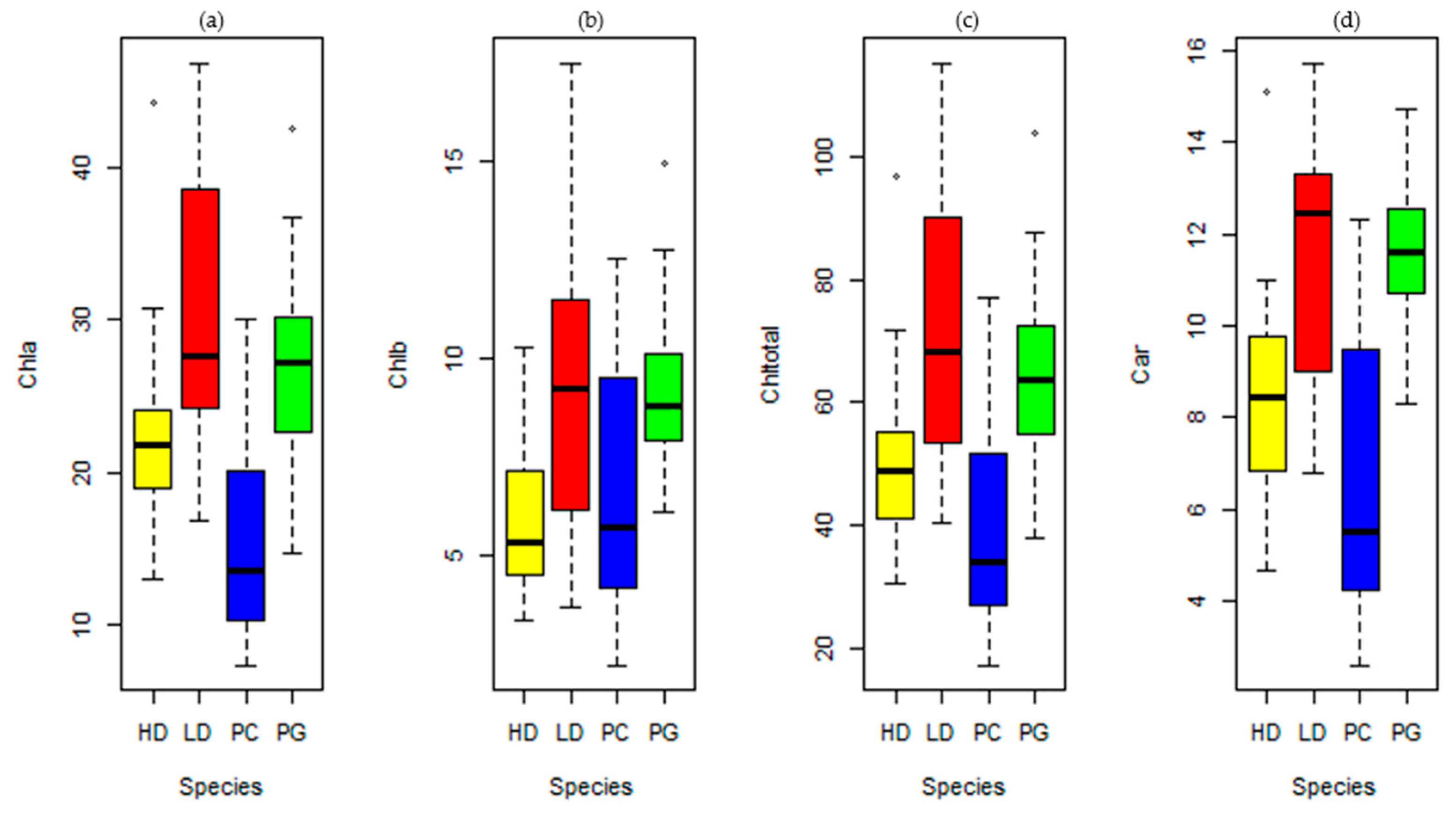
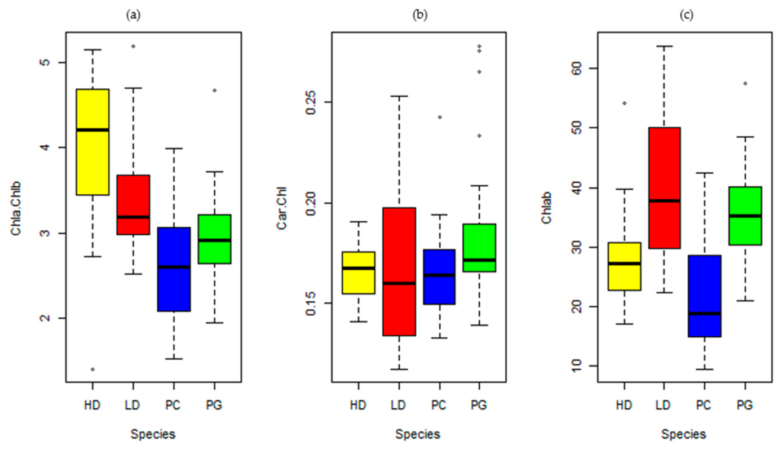
3.1.3. Photosynthetic Pigments
3.2. Leaf Spectral Reflectance
3.3. Discrimination of Reflectance Spectra
3.4. Leaf Optical Properties of the Invasive Target Species
4. Discussion
4.1. Characterization of Leaf Functional Traits and Spectral Behavior
4.2. Spectral Discrimination of IAS from Native Species
4.3. Leaf Optical Properties of IAS
5. Conclusions
- Linear discriminant analysis (LDA) can be used to accurately discriminate Psidium guajava and Hovenia dulcis from Psidium cattleianum and Luehea divaricata;
- The greatest discrimination for IAS is located in the VIS region, specifically in the red (705 nm) and green regions (553 nm), which are known for being highly sensitive to pigment content variation. This suggests improved separability in chlorophyll absorption pits, as it also may suggest that the difference in anthocyanin content may enhance discrimination between species;
- For both IAS, the LWC and SLA showed similar behavior;
- P. guajava correlated to Car/Chl (R = 0.75) in NIR (R839/R785), which may suggest photoprotection activation. This provides an efficient process of acclimatization to environments normally unfavorable for other species;
- H. dulcis was best correlated to Chla/Chlb at R818/R769 (R = 0.7), which may suggest that photosynthetic activity is maintained even under conditions of high luminosity and temperature;
- IAS showed good correlation with Car/Clh and Chla/Chlb. Therefore, we may extend the space-time resolution based on data from orbital and suborbital platforms.
Supplementary Materials
Author Contributions
Funding
Institutional Review Board Statement
Informed Consent Statement
Data Availability Statement
Acknowledgments
Conflicts of Interest
References
- Seebens, H.; Blackburn, T.; Dyer, E. No saturation in the accumulation of alien species worldwide. Nat. Commun. 2017, 8, 14435. [Google Scholar] [CrossRef] [PubMed]
- Seebens, H.; Bacher, S.; Blackburn, T.M.; Capinha, C.; Dawson, W.; Dullinger, S.; Genovesi, P.; Hulme, P.E.; Kleunen, M.V.; Kühn, I.; et al. Projecting the continental accumulation of alien species through to 2050. Glob. Change Biol. 2021, 27, 970–982. [Google Scholar] [CrossRef] [PubMed]
- Vilà, M.; Espinar, J.L.; Hejda, M.; Hejda, M.; Hulme, P.E.; Jarosík, V.; Maron, J.L.; Pergl, J.; Schaffner, U.; Sun, Y.; et al. Ecological impacts of invasive alien plants: A meta-analysis of their effects on species, communities and ecosystems. Ecol. Lett. 2011, 14, 702–708. [Google Scholar] [CrossRef] [PubMed]
- Hulme, P.E. Beyond control: Wider implications for the management of biological invasions. J. Appl. Ecol. 2006, 43, 835–847. [Google Scholar] [CrossRef]
- International Union for Conservation of Nature (IUCN). IUCN Guidelines for the Prevention of Biodiversity Loss due to Biological Invasion. Species, 31, 28–42. Available online: https://portals.iucn.org/library/efiles/documents/Rep-2000-052.pdf (accessed on 27 April 2020).
- Diagne, C.; Leroy, B.; Vaissière, A.C. High and rising economic costs of biological invasions worldwide. Nature 2021, 592, 571–576. [Google Scholar] [CrossRef]
- Golivets, M.; Wallin, K.F. Neighbour tolerance, not suppression, provides competitive advantage to non-native plants. Ecol. Lett. 2018, 21, 745–759. [Google Scholar] [CrossRef]
- Medvecká, J.; Jarolímek, I.; Hegedüšová, K. Forest habitat invasions—Who with whom, where and why. For. Ecol. Manag. 2018, 409, 468–478. [Google Scholar] [CrossRef]
- Foxcroft, L.C.; Pyšek, P.; Richardson, D.M.; Genovesi, P.; MacFadyen, S. Plant invasion science in protected areas: Progress and priorities. Biol. Invasions 2017, 19, 1353–1378. [Google Scholar] [CrossRef]
- Ministério do Meio Ambiente (MMA). Unidades de Conservação: O Que São. Available online: https://www.mma.gov.br/areas-protegidas/unidades-de-conservação/o-que-sao.html (accessed on 6 May 2020).
- Ribeiro, M.C.; Metzger, J.P.; Martensen, A.C.; Ponzoni, F.J.; Hirota, M.M. The Brazilian Atlantic Forest: How much is left, and how is the remaining forest distributed? Implications for conservation. Biol. Conserv. 2009, 142, 1141–1153. [Google Scholar] [CrossRef]
- Dechoum, M.S.; Sühs, R.B.; Futada, S.M.; Ziller, S.R. Distribution of Invasive Alien Species in Brazilian Ecoregions and Protected Areas. In Invasive Alien Species: Observations and Issues from Around the World, 1st ed.; Pullaiah, T., Ielmini, M.R., Eds.; Wiley: Hoboken, NJ, USA, 2021; Volume 4, pp. 24–42. [Google Scholar]
- Stadler, J.; Trefflich, A.; Klotz, S.; Brandl, R. Exotic plant species invade diversity hot spots: The alien flora of northwestern Kenya. Ecography 2000, 23, 169–176. [Google Scholar] [CrossRef]
- Stohlgren, T.J. Beyond theories of plant invasions: Lessons from natural landscapes. Comments Biol. 2002, 7, 355–379. [Google Scholar] [CrossRef]
- Stohlgren, T.J.; Jarnevich, W.E.C.; Morisette, J.T. Bounding Species-Environmental Matching Models. Curr. Zool. 2011, 57, 642–647. [Google Scholar] [CrossRef]
- Foxcroft, L.C.; Richardson, D.M.; Rouget, M.; Macfadyen, S. Patterns of alien plant distribution at multiple spatial scales in a large national park: Implications for ecology, management and monitoring. Divers. Distrib. 2009, 15, 367–378. [Google Scholar] [CrossRef]
- Foxcroft, L.C.; Jarosick, P.P.; Richardson, D.M.; Rouget, M. Protected-Area Boundaries as Filters of Plant Invasions. Conserv. Biol. 2011, 25, 2. [Google Scholar] [CrossRef]
- Didham, R.K.; Tylianakis, J.M.; Hutchison, M.A.; Ewers, R.M.; Gemmell, N.J. Are invasive species the drivers of ecological change? Trends Ecol. Evol. 2005, 20, 9. [Google Scholar] [CrossRef]
- Simberloff, D.; Von Holle, B. Positive interactions of nonindigenous species: Invasional meltdown? Biol. Inv. 1999, 1, 21–32. [Google Scholar] [CrossRef]
- Witt, A.; Beale, T.; Van Wilgen, B.W. An assessment of the distribution and potential ecological impacts of invasive alien plant species in eastern Africa. Transit. R. Soc. South Afr. 2018, 73, 3. [Google Scholar] [CrossRef]
- Allen, J.A.; Brown, C.S.; Stohlgren, T.J. Non-native plant invasions of United States National Parks. Biol. Invasions 2009, 11, 21–95. [Google Scholar] [CrossRef]
- Moodley, D.; Angulo, E.; Cuthbert, R.N.; Leung, B.; Turbelin, A.; Novoa, A.; Kourantidou, M.; Heringer, G.; Haubrock, P.J.; Renault, D.; et al. Surprisingly high economic costs of biological invasions in protected areas. Biol. Invasions 2022, 24, 1995–2016. [Google Scholar] [CrossRef]
- Jacquemoud, S.; Ustin, S. Leaf Optical Properties, 1st ed.; Cambridge University Press: Cambridge, UK, 2019; pp. 12–47, 320–556. [Google Scholar]
- Serbin, S.P.; Townsend, P.A. Scaling Functional Traits from Leaves to Canopies. In Remote Sensing of Plant Biodiversity; Cavender-Bares, J., Gamon, J., Townsend, P., Eds.; Springer: Cham, Switzerland, 2020. [Google Scholar]
- Eugenio, F.C.; Schons, C.T.; Mallmann, C.L.; Schuh, M.S.; Fernandes, P.; Badin, T.L. Remotely piloted aircraft systems and forests: A global state of the art and future challenges. Can. J. For. Research 2020, 50, 705–716. [Google Scholar] [CrossRef]
- Papp, L.; van Leeuwen, B.; Szilassi, P.; Tobak, Z.; Szatmári, J.; Árvai, M.; Mészáros, J.; Pásztor, L. Monitoring Invasive Plant Species Using Hyperspectral Remote Sensing Data. Land 2021, 10, 29. [Google Scholar] [CrossRef]
- Gholizadeh, H.; Friedman, M.S.; McMillan, N.A.; Hammond, W.M.; Hassani, K.; Sams, A.V.; Charles, M.D.; Garrett, D.R.; Joshi, O.; Hamilton, R.G.; et al. Mapping invasive alien species in grassland ecosystems using airborne imaging spectroscopy and remotely observable vegetation functional traits. Remote Sens. Environ. 2022, 271, 112887. [Google Scholar] [CrossRef]
- Bolch, E.A.; Santos, M.J.; Ade, C.; Khanna, S.; Basinger, N.T.; Reader, M.O.; Hestir, E.L. Remote Detection of Invasive Alien Species. In Remote Sensing of Plant Biodiversity; Cavender-Bares, J., Gamon, J., Townsend, P., Eds.; Springer Nature: Cham, Switzerland, 2020; pp. 267–307. [Google Scholar] [CrossRef]
- Khare, S.; Latifi, H.; Ghosh, S.K. Multi-scale assessment of invasive plant species diversity using Pléiades 1A, RapidEye and Landsat-8 data. Geocarto Int. 2018, 33, 681–698. [Google Scholar] [CrossRef]
- Große-Stoltenberg, A.; Hellmann, C.; Thiele, J.; Werner, C.; Oldeland, J. Early detection of GPP-related regime shifts after plant invasion by integrating imaging spectroscopy with airborne LiDAR. Remote Sens. Environ. 2018, 209, 780–792. [Google Scholar] [CrossRef]
- Piiroinena, R.; Fassnacht, F.E.; Heiskanen, J.; Maeda, E.; Mack, B.; Pellikka, P. Invasive tree species detection in the Eastern Arc Mountains biodiversity hotspot using one class classification. Remote Sens. Environ. 2018, 218, 119–131. [Google Scholar] [CrossRef]
- Niphadkar, M.; Nagendra, H. Remote sensing of invasive plants: Incorporating functional traits into the picture. Int. J. Remote Sens. 2016, 37, 3074–3085. [Google Scholar] [CrossRef]
- Diao, C.; Wang, L. Incorporating plant phenological trajectory in exotic saltcedar detection with monthly time series of Landsat imagery. Remote Sens. Environ. 2016, 182, 60–71. [Google Scholar] [CrossRef]
- Rajah, P.; Odindi, J.; Mutanga, O. Evaluating the potential of freely available multispectral remotely sensed imagery in mapping American bramble (Rubus cuneifolius). South Afr. Geogr. J. 2018, 100, 291–307. [Google Scholar] [CrossRef]
- Cheng, Y.B.; Tom, E.; Ustin, S.L. Mapping an invasive species, kudzu (Pueraria montana), using hyperspectral imagery in western Georgia. J. Appl. Remote Sens. 2007, 1, 013514. [Google Scholar] [CrossRef]
- Brenner, J.C.; Christman, Z.; Rogan, J. Segmentation of Landsat Thematic Mapper Imagery Improves Buffelgrass (Pennisetum Ciliare) Pasture Mapping in the Sonoran Desert of Mexico. Appl. Geogr. 2012, 34, 569–575. [Google Scholar] [CrossRef]
- Hantson, W.; Kooistra, L.; Slim, P.A. Mapping invasive woody species in coastal dunes in the Netherlands: A remote sensing approach using LIDAR and high-resolution aerial photographs. Appl. Veg. Sci. 2012, 15, 536–547. [Google Scholar] [CrossRef]
- Omeer, A.A.; Deshmukh, R.R. Improving the classification of invasive plant species by using continuous wavelet analysis and feature reduction techniques. Ecol. Inform. 2021, 61, 101181. [Google Scholar] [CrossRef]
- Tesfamichael, S.G.; Newete, S.W.; Adam, E.; Byrne, M.J. Discriminating pure Tamarix species and their putative hybrids using field spectrometer. Geocarto Int. 2021, 1–20. [Google Scholar] [CrossRef]
- Iqbal, I.M.; Balzter, H.; Shabbir, A. Identifying the Spectral Signatures of Invasive and Native Plant Species in Two Protected Areas of Pakistan through Field Spectroscopy. Remote Sens. 2021, 13, 4009. [Google Scholar] [CrossRef]
- Barbosa, J.M.; Asner, G.P.; Martin, R.E.; Baldeck, C.A.; Hughes, F.; Johnson, T. Determining Subcanopy Psidium cattleianum Invasion in Hawaiian Forests Using Imaging Spectroscopy. Remote Sens. 2016, 8, 33. [Google Scholar] [CrossRef]
- Tesfamichael, S.G.; Newete, S.W.; Adam, E.; Dubula, B. Field spectroradiometer and simulated multispectral bands for discriminating invasive species from morphologically similar cohabitant plants. GIScience Remote Sens. 2018, 55, 417–436. [Google Scholar] [CrossRef]
- Asner, G.P.; Martin, R.E. Spectral and chemical analysis of tropical forests: Scaling from leaf to canopy levels. Remote Sens. Environ. 2008, 112, 3958–3970. [Google Scholar] [CrossRef]
- Resasco, J.; Hale, A.N.; Henry, M.C.; Gorchov, D.L. Detecting an invasive shrub in a deciduous forest understory using late-fall Landsat sensor imagery. Int. J. Remote Sens. 2007, 28, 3739–3745. [Google Scholar] [CrossRef]
- Wilfong, B.N.; Gorchov, D.L.; Henry, M.C. Detecting an invasive shrub in deciduous forest understories using remote sensing. Weed Sci. 2009, 57, 512–520. [Google Scholar] [CrossRef]
- Asner, G.P.; Martin, R.E.K.; Carlson, M.; Rascher, U.; Vitousek, P.M. Vegetation-Climate Interactions among Native and Invasive Species in Hawaiian Rainforest. Ecosystems 2006, 9, 1106–1117. [Google Scholar] [CrossRef]
- Somers, B.; Asner, G.P. Hyperspectral Time Series Analysis of Native and Invasive Species in Hawaiian Rainforests. Remote Sens. 2012, 4, 2510–2529. [Google Scholar] [CrossRef]
- Asner, G.P.; Jones, M.O.; Martin, R.E.; Knapp, D.E.; Hughes, R.F. Remote Sensing of Native and Invasive Species in Hawaiian Forests. Remote Sens. Environ. 2008, 112, 1912–1926. [Google Scholar] [CrossRef]
- Muchoney, D.M. Earth observations for terrestrial biodiversity and ecosystems. Remote Sens. Environ. 2008, 112, 1909–1911. [Google Scholar] [CrossRef]
- Cavender-Bares, J.; Schweiger, A.K.; Pinto-Ledesma, J.N.; Meireles, J.M. Appling Remote Sensing to Biodiversity Science. In Remote Sensing of Plant Biodiversity; Cavender-Bares, J., Gamon, J., Townsend, P., Eds.; Springer Nature: Cham, Switzerland, 2020; pp. 13–42. [Google Scholar] [CrossRef]
- Schumacher, M.V.; Longhi, S.J.; Brun, E.J.; Kilca, R.V. (Eds.) A Floresta Estacional Subtropical—Caracterização e Ecologia no Rebordo do Planalto Meridional; Pallotti: Santa Maria, Brazil, 2011; 320p. [Google Scholar]
- Kilca, R.V.; Pedron, F.A.; Schwartz, G.; Longhi, S.J.; Deobald, G.A. Soil changes in a subtropical seasonal forest chronosequences in the south of Brazil. Ciência Rural 2015, 45, 2174–2180. [Google Scholar] [CrossRef]
- Mallmann, C.L.; Prado, D.A.; Pereira Filho, W. Índice de vegetação por diferença normalizada para caracterização da dinâmica florestal no parque estadual Quarta Colônia, estado do Rio Grande do Sul—Brasil. Rev. Bras. De Geogr. Física 2015, 8, 1–15. [Google Scholar] [CrossRef]
- Scipioni, M.C.; Longhi, S.J.; Reinert, D.J.; Araujo, M.M.; Pedron, F.A. Distribuição do compartimento arbóreo em gradiente de relevo e solos na encosta Meridional da Serra Geral, RS. Ciência Rural 2010, 40, 1295–1301. [Google Scholar] [CrossRef][Green Version]
- Rovedder, A.P.M.; Almeida, C.M.; Araujo, M.M.; Tonetto, T.S.; Scotti, M.S.V. Relação solo-vegetação em remanescente da floresta estacional decidual na Região Central do Rio Grande do Sul. Ciência Rural 2014, 44, 2178–2185. [Google Scholar] [CrossRef]
- Pedron, F.A.; Azevedo, A.C.; Dalmolin, R.S.D.; Stürmer, S.L.K.; Menezes, F.P. Morfologia e Classificação Taxonômica de Neossolos e Saprolitos derivados de rochas vulcânicas da Formação Serra Geral no Rio Grande do Sul. Rev. Bras. Ciência Solo 2009, 33, 119–128. [Google Scholar] [CrossRef]
- Wrege, M.; Steinmetz, S.; Reisser-Junior, C.; Almeida, I. Atlas Climático da Região Sul do Brasil: Estados do Paraná Santa Catarina e Rio Grande do Sul; Embrapa Clima Temperado: Pelotas, Brazil; Embrapa Florestas: Colombo, Brazil, 2011. [Google Scholar]
- Witt, A.B.R.; Luke, Q. Guide to the Naturalized and Invasive Plants of Eastern Africa; CABI: Wallingford, UK, 2017; pp. 416–417. [Google Scholar] [CrossRef]
- Carvalho, P.E.R. Ecologia, silvicultura e usos da uva-do-japão (Hovenia dulcis Thunberg). Embrapa, 23; CNP-Florestas: Colombo, PR, Brazil, 1994; 24p. [Google Scholar]
- Dechoum, M.S.; Castellani, T.T.; Zalba, S.M.; Rejmánek, M.; Peroni, N.; Tamashiro, J.Y. Community structure, succession and invasibility in a seasonal deciduous Forest in southern Brazil. Biol. Inv. 2015, 17, 1697–1712. [Google Scholar] [CrossRef]
- Padilha, L.D.; Loregian, A.C.; Budck, J.C. Forest fragmentation does not matter to invasions by Hovenia dulcis. Biodivers. Conserv. 2015, 24, 2293–2304. [Google Scholar] [CrossRef]
- GBIF Home Page. Available online: https://www.gbif.org (accessed on 1 March 2021).
- CABI. Hovenia dulcis . In Invasive Species Compendium; CAB International: Wallingford, UK, 2020; Available online: http://www.cabi.org/isc. (accessed on 26 November 2020).
- Schorn, L.A.; Meyer, L.; Sevegnani, L.; Vibrans, A.C.; Vanessa, D.; Gasper, L.A.L.; Uhlmman, A.; Verdi, M.; Stival-Santos, A. Fitossociologia de fragmentos de floresta estacional decidual no estado de Santa Catarina—Brasil. Ciência Florest. 2014, 24, 821–831. [Google Scholar] [CrossRef]
- Horus Institute. Horus Institute for Environmental Development and Conservation. Brazilian Invasive Species Database. Available online: http://bd.institutohorus.org.br (accessed on 26 November 2020).
- Zenni, R.D.; Ziller, S.R. Visão geral das plantas exóticas invasoras no Brasil. Rev. Bras. Bot. 2011, 34, 431–446. [Google Scholar] [CrossRef]
- Schaff, L.; Figueiredo Filho, A.; Galvão, F.; Sanquetta, C.R.; Longhi, S.J. Modificações florístico-estruturais de um remanescente de Floresta Ombrofila Mista Montana no período de 1979 e 2000. Ciência Florest. 2006, 16, 271–291. [Google Scholar] [CrossRef]
- Sitther, V.; Zhang, D.; Harris, D.L. Genetic characterization of guava (Psidium guajava L.) germplasm in the United States using microsatellite markers. Genet. Resour. Crop Evol. 2014, 61, 829–839. [Google Scholar] [CrossRef]
- Tuler, A.C.; Carrijo, T.T.; Ferreira, M.F.S.; Peixoto, A.L. Flora of Espírito Santo: Psidium (Myrtaceae). Rodriguésia 2017, 68, 1791–1805. [Google Scholar] [CrossRef]
- Cronk, Q.C.B.; Fuller, J.L. Plant Invaders: The Threat to Natural Ecosystems; Chapman & Hall: London, UK, 1995; pp. 127–129. [Google Scholar] [CrossRef]
- Smith, C.W. Pest Plants of Hawaiian Native Ecosystems; Department of Botany, University of Hawaii: Honolulu, HI, USA, 1998. [Google Scholar]
- Weber, E. Invasive Plant Species of the World: A Reference Guide to Environmental Weeds; CAB International: Wallingford, UK, 2003. [Google Scholar]
- Henderson, L. Alien Weeds and Invasive Plants. In Plant Protection Research Institute; Handbook, n 12; Paarl Printers: Cape Town, South Africa, 2001; p. 193. [Google Scholar]
- Chapla, T.E.; Campos, J.B. Allelopathic evidence in exotic guava (Psidium guajava L.). Braz. Arch. Biol. Technol. 2010, 53, 1359–1362. [Google Scholar] [CrossRef]
- Hiscox, J.D.; Israelstam, G.F. A Method for Extraction of Chlorophyll from Leaf Tissue without Maceration. Can. J. Botany 1979, 57, 1332–1334. [Google Scholar] [CrossRef]
- Lichtenthaler, H.K. Chlorophylls and Carotenoids - pigments of photosynthetic biomembranes. Methods Enzymol. 1987, 148, 350–382. [Google Scholar] [CrossRef]
- Ogashawara, I.; Curtarelli, M.P.; Souza, A.F.; Augusto-Silva, P.B.; Alcântara, E.H.; Stech, J.L. Interactive Correlation Environment (ICE) - A Statistical Web Tool for Data Collinearity Analysis. Remote Sens. 2014, 6, 3059–3074. [Google Scholar] [CrossRef]
- Hill, J.; Buddenbaum, H.; Townsend, P.A. Imaging Spectroscopy of Forest Ecosystems: Perspectives for the Use of Space-borne Hyperspectral Earth Observation Systems. Surv. Geophys. 2019, 40, 553–588. [Google Scholar] [CrossRef]
- Murrins Misiukas, J.; Carter, S.; Herold, M. Tropical Forest Monitoring: Challenges and Recent Progress in Research. Remote Sens. 2021, 13, 2252. [Google Scholar] [CrossRef]
- Ustin, S.L.; Jacquemoud, S. How the Optical Properties of Leaves Modify the Absorption and Scattering of Energy and Enhance Leaf Functionality. In Remote Sensing of Plant Biodiversity; Cavender-Bares, J., Gamon, J., Townsend, P., Eds.; Springer Nature: Cham, Switzerland, 2020; pp. 349–384. [Google Scholar]
- Danson, F.M.; Bowyer, P. Estimating live fuel moisture content from remotely sensed reflectance. Remote Sens. Environ. 2004, 92, 309–321. [Google Scholar] [CrossRef]
- Riaño, D.; Vaughan, P.; Chuvieco, E.; Zarco-Tejada, P.J.; Ustin, S.L. Estimation of fuel moisture content by inversion of radiative transfer models to simulate equivalent water thickness and dry matter content: Analysis at leaf and canopy level. IEEE Trans. Geosci. Remote Sens. 2005, 43, 819–826. [Google Scholar] [CrossRef]
- Wang, X.; Wotton, B.M.; Cantin, A.S.; Parisien, M.A.; Anderson, K.; Moore, B.; Flannigan, M.D. CFFDRS: An R package for the Canadian forest fire danger rating system. Ecol. Process. 2017, 6, 5–16. [Google Scholar] [CrossRef]
- Yebra, M.; Quanc, X.; Riaño, D.; Larraondo, P.R.; van Dijik, A.I.J.M.; Cary, G.J. A fuel moisture content and flammability monitoring methodology for continental Australia based on optical remote sensing. Remote Sens. Environ. 2018, 212, 260–272. [Google Scholar] [CrossRef]
- Streher, A.S.; Torres, R.S.; Morellato, L.P.C.; Silva, T.S.F. Accuracy and limitations for spectroscopic prediction of leaf traits in seasonally dry tropical environments. Remote Sens. Environ. 2020, 244, 1118–1128. [Google Scholar] [CrossRef]
- Féret, J.B.; Le Maire, G.; Jay, S.; Berveiller, D.; Bendoula, R.; Hmimina, G.; Cheraiet, A.; Oliveira, J.C.; Ponzoni, F.J.; Solanki, T.; et al. Estimating leaf mass per area and equivalent water thickness based on leaf optical properties: Potential and limitations of physical modeling and machine learning. Remote Sens. Environ. 2018, 231, 110959. [Google Scholar] [CrossRef]
- Cheng, T.; Rivard, B.; Sánchez-Azofeifa, G.A.; Féret, J.B.; Jacquemoud, S.; Ustin, S.L. Deriving leaf mass per area (LMA) from foliar reflectance across a variety of plant species using continuous wavelet analysis. J. Photogramm. Remote Sens. 2014, 87, 28–38. [Google Scholar] [CrossRef]
- Asner, G.P.; Martin, R.E.; Knapp, D.E.; Tupayachi, R.; Anderson, C.; Carranza, L.; Martinez, P.; Houcheime, M.; Sinca, F.; Weiss, P. Spectroscopy of canopy chemicals in humid tropical forests. Remote Sens. Environ. 2011, 115, 3587–3598. [Google Scholar] [CrossRef]
- Poorter, H.; Niinemets, U.; Poorter, L.; Wright, I.J.; Villar, R. Causes and consequences of variation in leaf mass per area (LMA): A meta-analysis. New Phytol. 2009, 182, 565–588. [Google Scholar] [CrossRef]
- Wright, I.J.; Reich, P.B.; Westoby, M.; Ackerly, D.D.; Baruch, Z.; Bongers, F.; Cavender-Bares, J.; Chapin, T.; Cornelissen, J.H.C.; Diemer, M.; et al. The worldwide leaf economics spectrum. Nature 2004, 428, 821–827. [Google Scholar] [CrossRef]
- Wright, I.J.; Ackerly, D.D.; Bongers, F.; Harms, K.E.; Ibarra-Manriquez, G.; Martinez-Ramos, M.; Mazer, S.J.; Muller-Landau, H.C.; Paz, H.; Pitman, N.C.A.; et al. Relationships among ecologically important dimensions of plant trait variation in seven neotropical forests. Ann. Bot. 2007, 99, 1003–1015. [Google Scholar] [CrossRef]
- Hoffmann, W.A.; Franco, A.C.; Moreira, M.Z.; Haridasan, M. Specific leaf area explains differences in leaf traits between congeneric savanna and forest trees. Funct. Ecol. 2005, 19, 932–940. [Google Scholar] [CrossRef]
- Bucci, S.J.; Scholz, F.G.; Goldstein, G.; Meinzer, F.C.; Franco, A.C.; Campanello, P.I.; Villalobos-Vega, R.; Bustamante, M.; Miralles-Wilhelm, F. Nutrient availability constrains the hydraulic architecture and water relations of savannah trees. Plant Cell Environ. 2006, 29, 2153–2167. [Google Scholar] [CrossRef]
- Ball, A.; Sanchez-Azofeifa, A.; Portillo Quintero, C.; Rivard, B.; Castro-Contreras, S.; Fernandes, G. Patterns of Leaf Biochemical and Structural Properties of Cerrado Life Forms: Implications for Remote Sensing. PLoS ONE 2015, 10, e0117659. [Google Scholar] [CrossRef]
- Gitelson, A.A.; Merzlyak, M.N.; Chivkunova, O.B. Optical properties and nondestructive estimation of anthocyanin content in plant leaves. Photochem. Photobiol. 2001, 74, 38–45. [Google Scholar] [CrossRef]
- Noomen, M.F.; Skidmore, A.K.; Van Der Meer, F.D.; Prins, H.H.T. Continuum removed band depth analysis for detecting the effects of natural gas, methane and ethane on maize reflectance. Remote Sens. Environ. 2006, 105, 262–270. [Google Scholar] [CrossRef]
- Solovchenko, A. Photoprotection in Plants Optical Screening-Based Mechanisms; Springer: Berlin/Heidelberg, Germany, 2010; pp. 89–159. [Google Scholar]
- Harrison, D.; Rivard, B.; Sánchez-Azofeifa, A. Classification of tree species based on longwave hyperspectral data from leaves, a case study for a tropical dry forest. Int. J. Appl. Earth Obs. Geoinf. 2018, 66, 93–105. [Google Scholar] [CrossRef]
- Gamon, J.A.; Somers, B.; Malenovský, Z.; Middleton, E.M.; Rascher, U.; Schaepman, M.E. Assessing vegetation function with imaging spectroscopy. Surv. Geophys. 2019, 40, 489–513. [Google Scholar] [CrossRef]
- Le Maire, G.; Francois, C.; Soudani, K.; Berveiller, D.; Pontailler, J.Y.; Bréda, N.; Genet, H.; Davi, H.; Dufrêne, E. Calibration and validation of hyperspectral indices for the estimation of broadleaved forest leaf chlorophyll content, leaf mass per area, leaf area index and leaf canopy biomass. Remote Sens. Environ. 2008, 112, 3846–3864. [Google Scholar] [CrossRef]
- Penuelas, J.; Filella, I.; Biel, C.; Serrano, L.; Savé, R. The reflectance at the 950–970 nm region as an indicator of plant water status. Int. J. Remote Sens. 1993, 14, 1887–1905. [Google Scholar] [CrossRef]
- Gitelson, A. Towards a generic approach to remote non-invasive estimation of foliar carotenoid-to-chlorophyll ratio. J. Plant Physiol. 2020, 252, 153227. [Google Scholar] [CrossRef] [PubMed]
- Danson, F.M.; Steven, M.D.; Malthus, T.J.; Clark, J.A. High-spectral resolution data for determining leaf water content. Int. J. Remote Sens. 1992, 13, 461–470. [Google Scholar] [CrossRef]
- Kumar, L. High-spectral resolution data for determining leaf water content in Eucalyptus species: Leaf level experiments. Geocarto Int. 2007, 22, 3–16. [Google Scholar] [CrossRef]









| Leaf Trait | Acronym | Unit | Indicator of |
|---|---|---|---|
| Water content | |||
| Fuel moisture content | FMC | % | susceptibility of vegetation to fire |
| Liquid water content | LWC | % | water content estimate |
| Equivalent water thickness | EWT | g cm−2 | hydric stress |
| Vegetation structure | |||
| Leaf mass per area | LMA | g cm−2 | leaf longevity and hardness |
| Specific leaf area | SLA | cm2 g−1 | light capture efficiency |
| Photosynthetic pigments | |||
| Chlorophyll a | Chla | µg cm−2 | main photosynthetic pigment |
| Chlorophyll b | Chlb | µg cm−2 | accessory pigment |
| Total chlorophyll | Chl | µg cm−2 | photosynthetic activity |
| Carotenoid | Car | µg cm−2 | photoprotective pigments |
| Chlorophyll a:b ratio | Chla/Chlb | - | photosynthetic response of the acclimatization process |
| Carotenoid:total chlorophyll ratio | Car/Chl | - | changes in development and stress photosynthetic responses |
| Sum of chlorophyll a and b | Chla + b | µg cm−2 | photosynthetic activity |
| chi-Squared | df | p-Value | |
|---|---|---|---|
| LWC | 10.747 | 3 | 0.01318 |
| FMC | 10.747 | 3 | 0.01318 |
| EWT | 53.874 | 3 | 1.19 × 10−8 |
| Trait | Species Group_ | Statistic | p-Value | p.Adjust | |
|---|---|---|---|---|---|
| LWC | HD | LD | −2.34 | 0.0194 | 0.117 |
| HD | PC | −2.09 | 0.0368 | 0.221 | |
| HD | PG | −3.14 | 0.00169 | 0.0101 | |
| LD | PC | 0.249 | 0.804 | 1 | |
| LD | PG | −0.803 | 0.422 | 1 | |
| PC | PG | −1.05 | 0.293 | 1 | |
| FMC | HD | LD | −2.34 | 0.0194 | 0.117 |
| HD | PC | −2.09 | 0.0368 | 0.221 | |
| HD | PG | −3.14 | 0.00169 | 0.0101 | |
| LD | PC | 0.249 | 0.804 | 1 | |
| LD | PG | −0.803 | 0.422 | 1 | |
| PC | PG | −1.05 | 0.293 | 1 | |
| EWT | HD | LD | 1.29 | 1.97 × 10−11 | 0 |
| HD | PC | 6.84 | 7.67 × 10−12 | 4.60 × 10−11 | |
| HD | PG | 3.51 | 4.43 × 10−4 | 2.66 × 10−3 | |
| LD | PC | 5.55 | 2.78 × 10−8 | 1.67 × 10−7 | |
| LD | PG | 2.22 | 2.62 × 10−2 | 1.57 × 10−1 | |
| PC | PG | −3.33 | 8.63 × 10−4 | 5.18 × 10−3 | |
| chi-Squared | df | p-Value | |
|---|---|---|---|
| LMA | 46.129 | 3 | 5.33 × 10−7 |
| SLA | 46.554 | 3 | 4.32 × 10−7 |
| Trait | Species Group_ | Statistic | p-Value | p.Adjust | |
|---|---|---|---|---|---|
| LMA | HD | LD | 1.86 | 0.0622 | 0.373 |
| HD | PC | 6.01 | 1.81 × 10−9 | 1.08 × 10−8 | |
| HD | PG | 4.97 | 6.79 × 10−7 | 4.08 × 10−6 | |
| LD | PC | 4.15 | 3.34 × 10−5 | 2.00 × 10−4 | |
| LD | PG | 3.10 | 0.00192 | 0.0115 | |
| PC | PG | 1.05 | 0.295 | 1 | |
| SLA | HD | LD | −1.99 | 0.0461 | 0.260 |
| HD | PC | −6.04 | 1.58 × 10−9 | 9.46 × 10−9 | |
| HD | PG | −5.09 | 3.62 × 10−7 | 2.17 × 10−6 | |
| LD | PC | −4.04 | 5.31 × 10−5 | 3.19 × 10−4 | |
| LD | PG | −3.09 | 0.00198 | 0.0119 | |
| PC | PG | 0.948 | 0.343 | 1 | |
| chi-Squared | df | p-Value | |
|---|---|---|---|
| Chla | 37.419 | 3 | 3.75 × 10−5 |
| Chlb | 24.978 | 3 | 1.56 × 10−2 |
| Chltotal | 33.853 | 3 | 2.13 × 10−4 |
| Car | 39.859 | 3 | 1.14 × 10−5 |
| Chla/Chlb | 36.271 | 3 | 6.56 × 10−5 |
| Car/Chl | 51.107 | 3 | 0.1639 |
| Chla + b | 34.322 | 3 | 1.70 × 10−4 |
| Trait | Group_Species | Statistic | p-Value | p.Adjust | |
|---|---|---|---|---|---|
| Chla | HD | LD | 2.94 | 0.00325 | 0.0195 |
| HD | PC | −2.68 | 0.00728 | 0.0437 | |
| HD | PG | 2.04 | 0.0412 | 0.247 | |
| LD | PC | −5.63 | 1.83 × 10−8 | 1.10 × 10−7 | |
| LD | PG | −0.902 | 0.367 | 1 | |
| PC | PG | 4.73 | 2.30 × 10−6 | 1.38 × 10−5 | |
| Chlb | HD | LD | 3.28 | 1.34 × 10−4 | 8.05 × 10−4 |
| HD | PC | 0.663 | 0.507 | 1 | |
| HD | PG | 3.85 | 1.18 × 10−4 | 7.09 × 10−4 | |
| LD | PC | −3.16 | 0.00160 | 0.00961 | |
| LD | PG | 0.0311 | 0.975 | 1 | |
| PC | PG | 3.19 | 0.00144 | 0.00864 | |
| Chltotal | HD | LD | 3.34 | 0.000603 | 0.00362 |
| HD | PC | −1.63 | 0.103 | 0.616 | |
| HD | PG | 2.78 | 0.00540 | 0.0324 | |
| LD | PC | −5.06 | 4.14 × 10−7 | 2.49 × 10−6 | |
| LD | PG | −0.648 | 0.517 | 1 | |
| PC | PG | 4.41 | 1.01 × 10−5 | 6.07 × 10−5 | |
| Car | HD | LD | 3.63 | 0.000287 | 0.00172 |
| HD | PC | −1.29 | 0.197 | 1 | |
| HD | PG | 3.82 | 0.000134 | 0.000805 | |
| LD | PC | −4.92 | 8.78 × 10−7 | 5.27 × 10−6 | |
| LD | PG | 0.192 | 0.848 | 1 | |
| PC | PG | 5.11 | 3.24 × 10−7 | 1.94 × 10−6 | |
| Chla/Chlb | HD | LD | −2.27 | 0.229 | 0.138 |
| HD | PC | −5.63 | 1.78 × 10−8 | 1.07 × 10−7 | |
| HD | PG | −4.30 | 1.70 × 10−5 | 1.02 × 10−4 | |
| LD | PC | −3.36 | 0.000786 | 0.00472 | |
| LD | PG | −2.03 | 0.0428 | 0.257 | |
| PC | PG | 1.33 | 0.183 | 1 | |
| Car/Chl | HD | LD | −2.27 | 0.229 | 0.138 |
| HD | PC | −5.63 | 1.78 × 10−8 | 1.07 × 10−7 | |
| HD | PG | −4.30 | 1.70 × 10−5 | 1.02 × 10−4 | |
| LD | PC | −3.36 | 0.000786 | 0.00472 | |
| LD | PG | −2.03 | 0.0428 | 0.257 | |
| PC | PG | 1.33 | 0.183 | 1 | |
| Chla + b | HD | LD | 3.39 | 0.000702 | 0.00421 |
| HD | PC | −1.74 | 0.0817 | 0.490 | |
| HD | PG | 2.73 | 0.00642 | 0.0385 | |
| LD | PC | −5.13 | 2.90 × 10−7 | 1.74 × 10−6 | |
| LD | PG | −0.663 | 0.507 | 1 | |
| PC | PG | 4.47 | 7.96 × 10−6 | 4.77 × 10−5 | |
| P. cattleianum | P. guajava | H. dulcis | L.divaricata | n | |
| P. cattleianum | 21 | 1 | 2 | 24 | |
| P. guajava | 2 | 22 | 24 | ||
| H. dulcis | 24 | 24 | |||
| L. divaricata | 2 | 1 | 21 | 24 |
| Blue | Green | Red |
|---|---|---|
| 403–407 | 503–504 | 614 |
| 467 | 516 | 668 |
| 484 | 532–535 | 694–696 |
| 497 | 545–548 | 705 |
| 553 | 711 | |
| 561–564 | ||
| 579–580 | ||
| 585 | ||
| 589–592 |
| Traits | SR | n | Mean | r | r2 | RMSE | CV% | RSS |
|---|---|---|---|---|---|---|---|---|
| Psidium guajava | ||||||||
| LWC | R817/R802 | 22 | 64.125 | 0.91 | 0.83 | 1.76 | 0.027 | 62.55 |
| SLA | R822/R801 | 18 | 85.89 | 0.97 | 0.95 | 3.20 | 0.037 | 172.2 |
| Car/Chl | R839/R785 | 20 | 0.171 | 0.75 | 0.56 | 0.01 | 0.061 | 0.002 |
| Hovenia dulcis | ||||||||
| LWC | R706/R531 | 22 | 70.4 | 0.92 | 0.85 | 1.67 | 0.02 | 56.2 |
| SLA | R706/R531 | 21 | 147 | 0.88 | 0.77 | 15.4 | 0.10 | 488 |
| Chla/Chlb | R818/R769 | 23 | 4.0 | 0.7 | 0.47 | 0.66 | 0.16 | 9.6 |
Disclaimer/Publisher’s Note: The statements, opinions and data contained in all publications are solely those of the individual author(s) and contributor(s) and not of MDPI and/or the editor(s). MDPI and/or the editor(s) disclaim responsibility for any injury to people or property resulting from any ideas, methods, instructions or products referred to in the content. |
© 2023 by the authors. Licensee MDPI, Basel, Switzerland. This article is an open access article distributed under the terms and conditions of the Creative Commons Attribution (CC BY) license (https://creativecommons.org/licenses/by/4.0/).
Share and Cite
Mallmann, C.L.; Pereira Filho, W.; Dreyer, J.B.B.; Tabaldi, L.A.; Durgante, F.M. Leaf-Level Field Spectroscopy to Discriminate Invasive Species (Psidium guajava L. and Hovenia dulcis Thunb.) from Native Tree Species in the Southern Brazilian Atlantic Forest. Remote Sens. 2023, 15, 791. https://doi.org/10.3390/rs15030791
Mallmann CL, Pereira Filho W, Dreyer JBB, Tabaldi LA, Durgante FM. Leaf-Level Field Spectroscopy to Discriminate Invasive Species (Psidium guajava L. and Hovenia dulcis Thunb.) from Native Tree Species in the Southern Brazilian Atlantic Forest. Remote Sensing. 2023; 15(3):791. https://doi.org/10.3390/rs15030791
Chicago/Turabian StyleMallmann, Caroline Lorenci, Waterloo Pereira Filho, Jaqueline B. B. Dreyer, Luciane A. Tabaldi, and Flavia Machado Durgante. 2023. "Leaf-Level Field Spectroscopy to Discriminate Invasive Species (Psidium guajava L. and Hovenia dulcis Thunb.) from Native Tree Species in the Southern Brazilian Atlantic Forest" Remote Sensing 15, no. 3: 791. https://doi.org/10.3390/rs15030791
APA StyleMallmann, C. L., Pereira Filho, W., Dreyer, J. B. B., Tabaldi, L. A., & Durgante, F. M. (2023). Leaf-Level Field Spectroscopy to Discriminate Invasive Species (Psidium guajava L. and Hovenia dulcis Thunb.) from Native Tree Species in the Southern Brazilian Atlantic Forest. Remote Sensing, 15(3), 791. https://doi.org/10.3390/rs15030791

