Simulation of Thermal Infrared Brightness Temperatures from an Ocean Color and Temperature Scanner Onboard a New Generation Chinese Ocean Color Observation Satellite
Abstract
:1. Introduction
2. Datasets
2.1. Terra/MODIS Data
2.2. METOP-B/IASI Spectral Radiance Data
2.3. ECMWF ERA5 Data
3. Methods
3.1. Data Preprocessing
3.2. Simulation of Atmospheric Infrared Radiative Transfer
3.3. BT Simulation of Ocean Color and Temperature Scanner
4. Results
4.1. Spectral BT Difference
4.2. Simulated BT of the Payload
5. Discussion
5.1. IASI Convolution BT
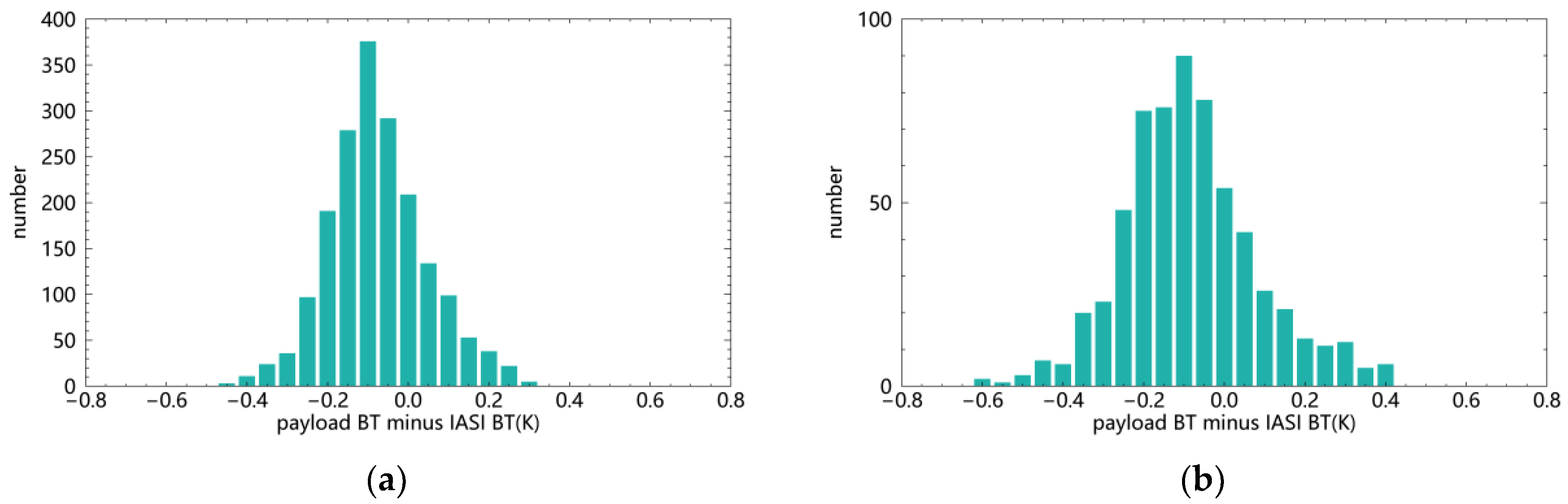
5.2. Validation of the Simulated BT
6. Conclusions
Author Contributions
Funding
Data Availability Statement
Acknowledgments
Conflicts of Interest
References
- Barnes, W.L.; Pagano, T.S.; Salomonson, V.V. Prelaunch Characteristics of the Moderate Resolution Imaging Spectroradiometer (MODIS) on EOS-AM1. IEEE Trans. Geosci. Remote Sens. 1998, 36, 1088–1100. [Google Scholar] [CrossRef]
- Oudrari, H.; McIntire, J.; Xiong, X.; Butler, J.; Lee, S.; Lei, N.; Schwarting, T.; Sun, J. Prelaunch Radiometric Characterization and Calibration of the S-NPP VIIRS Sensor. IEEE Trans. Geosci. Remote Sens. 2015, 53, 2195–2210. [Google Scholar] [CrossRef]
- Oudrari, H.; McIntire, J.; Xiong, X.; Butler, J.; Ji, Q.; Schwarting, T.; Lee, S.; Efremova, B. JPSS-1 VIIRS Radiometric Characterization and Calibration Based on Pre-launch Testing. Remote Sens. 2016, 8, 41. [Google Scholar] [CrossRef]
- Mcintire, J.; Moyer, D.; Oudrari, H.; Xiong, X. Pre-launch Radiometric Characterization of JPSS-1 VIIRS Thermal Emissive Bands. Remote Sens. 2016, 8, 47. [Google Scholar] [CrossRef]
- Chang, T.; Xiong, X.; Shrestha, A. Assessment of MODIS Thermal Emissive Bands Calibration Performance Using Deep Convective Clouds. J. Appl. Remote Sens. 2019, 13, 44526. [Google Scholar] [CrossRef]
- Xiong, X.; Angal, A.; Chang, T.; Chiang, K.; Lei, N.; Li, Y.; Sun, J.; Twedt, K.; Wu, A. MODIS and VIIRS Calibration and Characterization in Support of Producing Long-Term High-Quality Data Products. Remote Sens. 2020, 12, 3167. [Google Scholar] [CrossRef]
- Barnes, W.L.; Xiong, X.; Salomonson, V.V. Status of Terra MODIS and Aqua MODIS. Adv. Space Res. 2003, 32, 2099–2106. [Google Scholar] [CrossRef]
- MODIS Level 1B Product User’s Guide. 2012. Available online: https://mcst.gsfc.nasa.gov/sites/default/files/file_attachments/M1054D_PUG_083112_final.pdf (accessed on 28 August 2020).
- MODIS Geolocation Fields Product. 2017. Available online: https://ladsweb.modaps.eosdis.nasa.gov/missions-and-measurements/products/MOD03 (accessed on 13 August 2020).
- MODIS Atmosphere L2 Cloud Mask Product. 2015. Available online: https://ladsweb.modaps.eosdis.nasa.gov/missions-and-measurements/products/MOD35_L2 (accessed on 13 August 2020).
- Klaes, K.D.; Holmlund, K. EUMETSAT Programmes and Plans. In Proceedings of the SPIE Optical Engineering + Applications, San Diego, CA, USA, 17–21 August 2014; Proceedings Volume 9218. Earth Observing Systems XIX, 92181D. [Google Scholar] [CrossRef]
- Simeoni, D.; Astruc, P.; Miras, D.; Alis, C.; Andreis, O.; Scheidel, D.; Degrelle, C.; Nicol, P.; Bailly, B.; Guiard, P.; et al. Design and Development of IASI Instrument. In Proceedings of the Optical Science and Technology, The SPIE 49th Annual Meeting, Denver, CO, USA, 2–6 August 2004; Proceedings Volume 5543. Infrared Spaceborne Remote Sensing XII. [Google Scholar] [CrossRef]
- Generic Product Format Specification. 2010. Available online: http://eodg.atm.ox.ac.uk/user/dudhia/iasi/documents/PDF_TEN_96167-EPS-GPFS.pdf (accessed on 13 February 2022).
- IASI Level 1: Product Guide. 2019. Available online: https://www-cdn.eumetsat.int/files/2020-04/pdf_iasi_pg.pdf (accessed on 17 October 2021).
- Hersbach, H.; Bell, B.; Berrisford, P.; Hirahara, S.; Horányi, A.; Muñoz-Sabater, J.; Nicolas, J.; Peubey, C.; Radu, R.; Schepers, D.; et al. The ERA5 Global Reanalysis. Q. J. R. Meteorol. Soc. 2020, 146, 1999–2049. [Google Scholar] [CrossRef]
- Chander, G.; Hewison, T.J.; Fox, N.; Wu, X.; Xiong, X.; Blackwell, W.J. Overview of Intercalibration of Satellite Instruments. IEEE Trans. Geosci. Remote Sens. 2013, 51, 1056–1080. [Google Scholar] [CrossRef]
- Hilton, F.; Armante, R.; August, T.; Barnet, C.; Bouchard, A.; Camy-Peyret, C.; Capelle, V.; Clarisse, L.; Clerbaux, C.; Coheur, P.-F.; et al. Hyperspectral Earth Observation from IASI: Five Years of Accomplishments. Bull. Am. Meteorol. Soc. 2012, 93, 347–370. [Google Scholar] [CrossRef]
- Blumstein, D.; Chalon, G.; Carlier, T.; Buil, C.; Hebert, P.; Maciaszek, T.; Ponce, G.; Phulpin, T.; Tournier, B.; Simeoni, D.; et al. IASI Instrument: Technical Overview and Measured Performances. In Proceedings of the Optical Science and Technology, The SPIE 49th Annual Meeting, Denver, CO, USA, 2–6 August 2004; Proceedings Volume 5543. Infrared Spaceborne Remote Sensing XII. [Google Scholar] [CrossRef]
- GSICS Traceability Statement for IASI and AIRS. 2014. Available online: https://www-cdn.eumetsat.int/files/2020-04/pdf_trace_stat_iasi_airs.pdf (accessed on 13 July 2023).
- Liu, M. Retrieval of Infrared and Microwave Sea Surface Temperature from HY-1B and HY-2A Satellite Observations. Ph.D. Thesis, Ocean University of China, Qingdao, China, 2019. [Google Scholar]
- Liu, M.; Merchant, C.J.; Guan, L.; Mittaz, J.P.D. Inter-Calibration of HY-1B/COCTS Thermal Infrared Channels with MetOp-A/IASI. Remote Sens. 2018, 10, 1173. [Google Scholar] [CrossRef]
- Liu, M.; Guan, L.; Liu, J.; Song, Q.; Ma, C.; Li, N. First Assessment of HY-1C COCTS Thermal Infrared Calibration Using MetOp-B IASI. Remote Sens. 2021, 13, 635. [Google Scholar] [CrossRef]























Disclaimer/Publisher’s Note: The statements, opinions and data contained in all publications are solely those of the individual author(s) and contributor(s) and not of MDPI and/or the editor(s). MDPI and/or the editor(s) disclaim responsibility for any injury to people or property resulting from any ideas, methods, instructions or products referred to in the content. |
© 2023 by the authors. Licensee MDPI, Basel, Switzerland. This article is an open access article distributed under the terms and conditions of the Creative Commons Attribution (CC BY) license (https://creativecommons.org/licenses/by/4.0/).
Share and Cite
Qu, L.; Liu, M.; Guan, L. Simulation of Thermal Infrared Brightness Temperatures from an Ocean Color and Temperature Scanner Onboard a New Generation Chinese Ocean Color Observation Satellite. Remote Sens. 2023, 15, 5059. https://doi.org/10.3390/rs15205059
Qu L, Liu M, Guan L. Simulation of Thermal Infrared Brightness Temperatures from an Ocean Color and Temperature Scanner Onboard a New Generation Chinese Ocean Color Observation Satellite. Remote Sensing. 2023; 15(20):5059. https://doi.org/10.3390/rs15205059
Chicago/Turabian StyleQu, Liqin, Mingkun Liu, and Lei Guan. 2023. "Simulation of Thermal Infrared Brightness Temperatures from an Ocean Color and Temperature Scanner Onboard a New Generation Chinese Ocean Color Observation Satellite" Remote Sensing 15, no. 20: 5059. https://doi.org/10.3390/rs15205059
APA StyleQu, L., Liu, M., & Guan, L. (2023). Simulation of Thermal Infrared Brightness Temperatures from an Ocean Color and Temperature Scanner Onboard a New Generation Chinese Ocean Color Observation Satellite. Remote Sensing, 15(20), 5059. https://doi.org/10.3390/rs15205059

