Urban Flood Risk Assessment through the Integration of Natural and Human Resilience Based on Machine Learning Models
Abstract
1. Introduction
2. Study Area and Materials
2.1. Study Area
2.2. Flooding Event Sample Dataset
3. Methodology
3.1. Risk Assessment Framework
3.2. Factors Affecting Urban Flooding
- (1)
- Digital Elevation Models (DEMs)
- (2)
- Slope, Aspect, and Topographic Relief (TR)
- (3)
- Distance to Rivers (DR)
- (4)
- Distance to pumping stations (DP), pipe network density (PND)
- (5)
- Land use
- (6)
- Daily Precipitation during the Flood Season (FDP)
3.3. Selection of Machine Learning Models
- (1)
- Support Vector Machine (SVM)
- (2)
- Multi-layer sensor (MLP)
- (3)
- Random Forest (RF)
- (4)
- Gradient Lifting Decision Tree (GBDT)
- (5)
- Stacking ensemble learning
- (6)
- Voting ensemble learning
3.4. Model Construction and Hyperparameter Optimization
4. Results
4.1. Evaluation of Model Performance
- (1)
- Mean Squared Error
- (2)
- ROC curve
- (3)
- F-score, precision, accuracy, and recall
4.2. Spatial Distribution of Risk Prediction Results
4.3. Analysis of Impact Factor Contribution
5. Discussion
5.1. Application Potential of Machine Learning Models
5.2. Factors Affecting Urban Flood Risk
5.3. Limitations and Future Directions
6. Conclusions
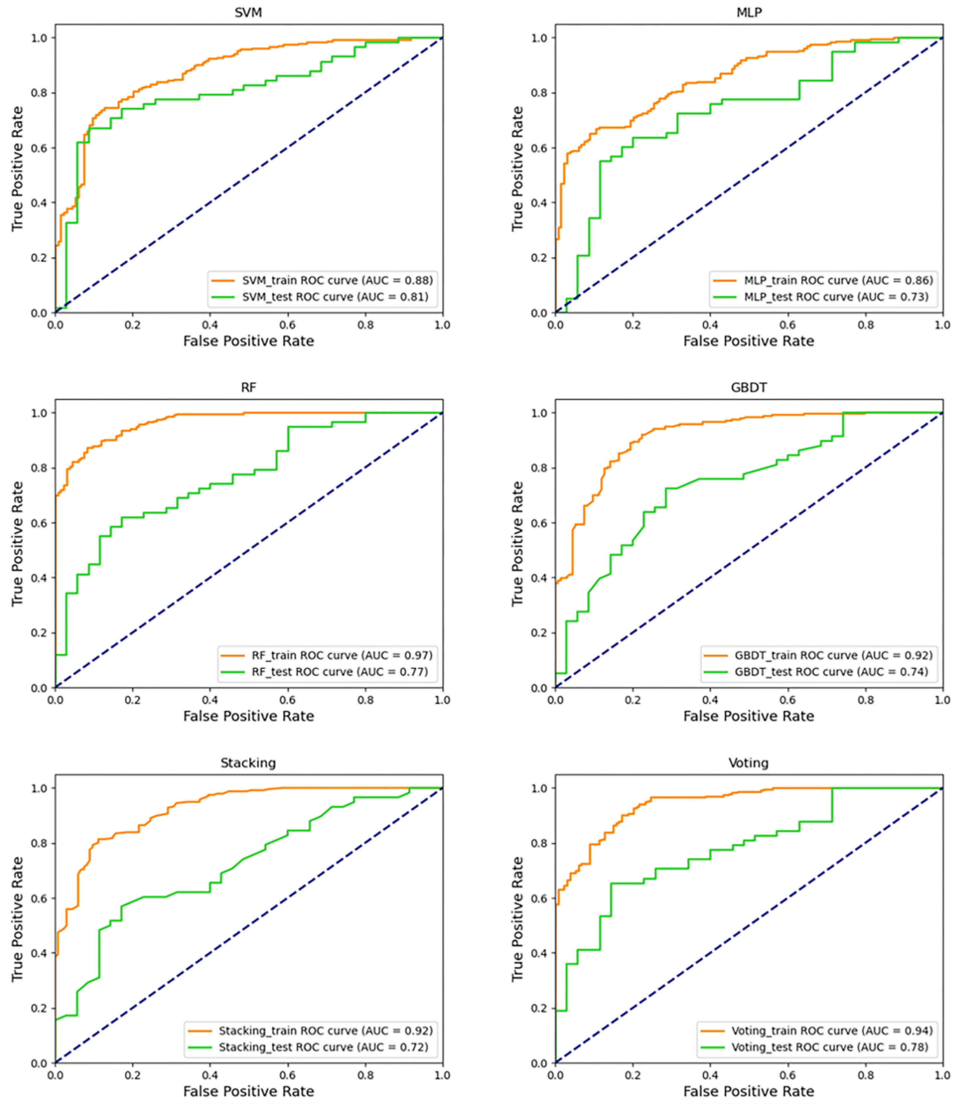
- The results of the MSE analysis reveal that both the RF and voting ensemble models exhibit an excellent performance on both the training and testing datasets. However, it is worth noting that the stacking ensemble model only demonstrates a satisfactory performance on the training dataset, indicating its limited generalization capability. Additionally, based on the ROC curve analysis, the RF model stands out as the top-performing model. These findings, collectively, suggest that the predictive efficacy of ensemble models, which integrate heterogeneous learners, may not necessarily surpass that of their constituent base models.
- The prediction results of the SVR model underestimate the range of extremely high-risk areas. Relatively speaking, the prediction results of the stacking ensemble model underestimate the range of extremely high-risk areas.
- The high-risk and very-high-risk areas are mainly concentrated low-lying areas along rivers and near the Chao Lake region. The areas classified as medium- and high-risk outnumber those classified as low-risk. The overall risk level in the study area underscores the daunting challenge of urban flooding facing the city of Hefei.
- The ranking results of factor importance indicate that geography-related factors constitute the major contributors among the top five contributing factors. It is worth noting that the factor of DP has the second most important driving influence after the DEM. This finding emphasizes the necessity of considering human resilience factors when conducting flood risk analysis in urban areas that are significantly impacted by human activities.
Author Contributions
Funding
Data Availability Statement
Acknowledgments
Conflicts of Interest
References
- Zhi, G.; Liao, Z.; Tian, W.; Wu, J. Urban flood risk assessment and analysis with a 3D visualization method coupling the PP-PSO algorithm and building data. J. Environ. Manag. 2020, 268, 110521. [Google Scholar] [CrossRef]
- O’Donnell, E.C.; Thorne, C.R. Drivers of future urban flood risk. Philos. Trans. R. Soc. A 2020, 378, 20190216. [Google Scholar] [CrossRef]
- Miller, J.D.; Hutchins, M. The impacts of urbanisation and climate change on urban flooding and urban water quality: A review of the evidence concerning the United Kingdom. J. Hydrol. Reg. Stud. 2017, 12, 345–362. [Google Scholar] [CrossRef]
- Qian, Y.; Chakraborty, T.C.; Li, J.; Li, D.; He, C.; Sarangi, C.; Chen, F.; Yang, X.; Leung, L.R. Urbanization impact on regional climate and extreme weather: Current understanding, uncertainties, and future research directions. Adv. Atmos. Sci. 2022, 39, 819–860. [Google Scholar] [CrossRef]
- Arnold, C.L., Jr.; Gibbons, C.J. Impervious surface coverage: The emergence of a key environmental indicator. J. Am. Plan. Assoc. 1996, 62, 243–258. [Google Scholar] [CrossRef]
- Ding, X.; Liao, W.; Lei, X.; Wang, H.; Yang, J.; Wang, H. Assessment of the impact of climate change on urban flooding: A case study of Beijing, China. J. Water Clim. Chang. 2022, 13, 3692–3715. [Google Scholar] [CrossRef]
- Kourtis, I.M.; Tsihrintzis, V.A. Update of intensity-duration-frequency (IDF) curves under climate change: A review. Water Supply 2022, 22, 4951–4974. [Google Scholar] [CrossRef]
- Miguez, M.G.; Mascarenhas, F.C.B.; Canedo de Magalhães, L.P.; D’Alterio, C.F.V. Planning and design of urban flood control measures: Assessing effects combination. J. Urban Plan. Dev. 2009, 135, 100–109. [Google Scholar] [CrossRef]
- Waghwala, R.K.; Agnihotri, P.G. Flood risk assessment and resilience strategies for flood risk management: A case study of Surat City. Int. J. Disaster Risk Reduct. 2019, 40, 101155. [Google Scholar] [CrossRef]
- Chen, H.; Liu, Y.; Lin, K.; Lan, T.; Liu, Z.; Li, W. Flood Hazard Assessment Methods: Research Review. J. Water Resour. Res. 2020, 9, 597. [Google Scholar] [CrossRef]
- Li, C.; Sun, N.; Lu, Y.; Guo, B.; Wang, Y.; Sun, X.; Yao, Y. Review on Urban Flood Risk Assessment. Sustainability 2023, 15, 765. [Google Scholar] [CrossRef]
- Sado-Inamura, Y.; Fukushi, K. Empirical analysis of flood risk perception using historical data in Tokyo. Land Use Policy 2019, 82, 13–29. [Google Scholar] [CrossRef]
- Zhao, S.; Zhang, Q. Spatio-temporal risk assessment of crop flood in three provinces of Northeast China. J. Catastrophol. 2013, 28, 54–60. [Google Scholar]
- Qin, N.; Jiang, T. Flood risk zoning and assessment in the middle and lower reaches of the Yangtze River based on GIS. J. Nat. Disasters 2005, 14, 5–11. [Google Scholar]
- Liu, X.; Shi, P. Theory and Practice of Regional Flood Risk Assessment Model. J. Nat. Disasters 2001, 2, 66–72. [Google Scholar]
- Ali, S.A.; Parvin, F.; Pham, Q.B.; Vojtek, M.; Vojteková, J.; Costache, R.; Linh, N.T.T.; Nguyen, H.Q.; Ahmad, A.; Ghorbani, M.A. GIS-based comparative assessment of flood susceptibility mapping using hybrid multi-criteria decision-making approach, naïve Bayes tree, bivariate statistics and logistic regression: A case of Topľa basin, Slovakia. Ecol. Indic. 2020, 117, 106620. [Google Scholar] [CrossRef]
- Paul, P.; Sarkar, R. Flood susceptible surface detection using geospatial multi-criteria framework for management practices. Nat. Hazards 2022, 114, 3015–3041. [Google Scholar] [CrossRef]
- Pham, B.T.; Luu, C.; Van Phong, T.; Nguyen, H.D.; Van Le, H.; Tran, T.Q.; Ta, H.T.; Prakash, I. Flood risk assessment using hybrid artificial intelligence models integrated with multi-criteria decision analysis in Quang Nam Province, Vietnam. J. Hydrol. 2021, 592, 125815. [Google Scholar] [CrossRef]
- Tehrany, M.S.; Kumar, L. The application of a Dempster–Shafer-based evidential belief function in flood susceptibility mapping and comparison with frequency ratio and logistic regression methods. Environ. Earth Sci. 2018, 77, 490. [Google Scholar] [CrossRef]
- Zou, Q.; Zhou, J.; Zhou, C.; Song, L.; Guo, J. Comprehensive flood risk assessment based on set pair analysis-variable fuzzy sets model and fuzzy AHP. Stoch. Environ. Res. Risk Assess. 2013, 27, 525–546. [Google Scholar] [CrossRef]
- Chubey, M.S.; Hathout, S. Integration of RADARSAT and GIS modelling for estimating future Red River flood risk. GeoJournal 2004, 59, 237–246. [Google Scholar] [CrossRef]
- Barredo, J.I. Major flood disasters in Europe: 1950–2005. Nat. Hazards 2007, 42, 125–148. [Google Scholar] [CrossRef]
- Ding, Z.; Li, J.; Li, L. Method for flood submergence analysis based on GIS grid model. J. Hydraul. Eng.-ASCE 2004, 6, 56–67. [Google Scholar]
- Li, J.; Cao, L.; Pu, R. Progresses on monitoring and assessment of flood disaster in remote sensing. J. Hydraul. Eng.-ASCE 2014, 45, 253–260. [Google Scholar]
- Shrestha, B.B.; Kawasaki, A. Quantitative assessment of flood risk with evaluation of the effectiveness of dam operation for flood control: A case of the Bago River Basin of Myanmar. Int. J. Disaster Risk Reduct. 2020, 50, 101707. [Google Scholar] [CrossRef]
- Su, B.; Huang, H.; Zhang, N. Dynamic risk assessment method for urban waterlogging based on scenario simulation. J. Tsinghua Univ. Sci. Technol. 2015, 55, 684–690. [Google Scholar]
- Patro, S.; Chatterjee, C.; Mohanty, S.; Singh, H.; Raghuwanshi, N.S. Flood inundation modeling using MIKE FLOOD and remote sensing data. J. Indian Soc. Remote Sens. 2009, 37, 107–118. [Google Scholar] [CrossRef]
- Rafiei-Sardooi, E.; Azareh, A.; Choubin, B.; Mosavi, A.H.; Clague, J.J. Evaluating urban flood risk using hybrid method of TOPSIS and machine learning. Int. J. Disaster Risk Reduct. 2021, 66, 102614. [Google Scholar] [CrossRef]
- Mosavi, A.; Ozturk, P.; Chau, K. Flood prediction using machine learning models: Literature review. Water 2018, 10, 1536. [Google Scholar] [CrossRef]
- Huang, G.; Luo, H.; Lu, X.; Yang, C.; Wang, Z.; Huang, T.; Ma, J. Study on risk analysis and zoning method of urban flood disaster. Water Resour. Prot. 2020, 36, 1–6. [Google Scholar]
- Mekanik, F.; Imteaz, M.A.; Gato-Trinidad, S.; Elmahdi, A. Multiple regression and artificial neural network for long-term rainfall forecasting using large scale climate modes. J. Hydrol. 2013, 503, 11–21. [Google Scholar] [CrossRef]
- Tehrany, M.S.; Pradhan, B.; Jebur, M.N. Spatial prediction of flood susceptible areas using rule based decision tree (DT) and a novel ensemble bivariate and multivariate statistical models in GIS. J. Hydrol. 2013, 504, 69–79. [Google Scholar] [CrossRef]
- Mojaddadi, H.; Pradhan, B.; Nampak, H.; Ahmad, N.; Ghazali, A.H.B. Ensemble machine-learning-based geospatial approach for flood risk assessment using multi-sensor remote-sensing data and GIS. Geomat. Nat. Hazards Risk 2017, 8, 1080–1102. [Google Scholar] [CrossRef]
- Tehrany, M.S.; Pradhan, B.; Jebur, M.N. Flood susceptibility mapping using a novel ensemble weights-of-evidence and support vector machine models in GIS. J. Hydrol. 2014, 512, 332–343. [Google Scholar] [CrossRef]
- Pham, B.T.; Luu, C.; Van Dao, D.; Van Phong, T.; Nguyen, H.D.; Van Le, H.; Von Meding, J.; Prakash, I. Flood risk assessment using deep learning integrated with multi-criteria decision analysis. Knowl.-Based Syst. 2021, 219, 106899. [Google Scholar] [CrossRef]
- Wang, Z.; Lai, C.; Chen, X.; Yang, B.; Zhao, S.; Bai, X. Flood hazard risk assessment model based on random forest. J. Hydrol. 2015, 527, 1130–1141. [Google Scholar] [CrossRef]
- Zhao, G.; Pang, B.; Xu, Z.; Peng, D.; Xu, L. Assessment of urban flood susceptibility using semi-supervised machine learning model. Sci. Total Environ. 2019, 659, 940–949. [Google Scholar] [CrossRef]
- Zhao, G.; Pang, B.; Xu, Z.; Peng, D.; Zuo, D. Urban flood susceptibility assessment based on convolutional neural networks. J. Hydrol. 2020, 590, 125235. [Google Scholar] [CrossRef]
- Wang, Y.; Fang, Z.; Hong, H.; Peng, L. Flood susceptibility mapping using convolutional neural network frameworks. J. Hydrol. 2020, 582, 124482. [Google Scholar] [CrossRef]
- Youssef, A.M.; Pradhan, B.; Jebur, M.N.; El-Harbi, H.M. Landslide susceptibility mapping using ensemble bivariate and multivariate statistical models in Fayfa area, Saudi Arabia. Environ. Earth Sci. 2015, 73, 3745–3761. [Google Scholar] [CrossRef]
- Bui, D.T.; Hoang, N.D.; Martínez-Álvarez, F.; Ngo, P.T.T.; Hoa, P.V.; Pham, T.D.; Samui, P.; Costache, R. A novel deep learning neural network approach for predicting flash flood susceptibility: A case study at a high frequency tropical storm area. Sci. Total Environ. 2020, 701, 134413. [Google Scholar]
- Wang, Y.; Fang, Z.; Hong, H.; Costache, R.; Tang, X. Flood susceptibility mapping by integrating frequency ratio and index of entropy with multilayer perceptron and classification and regression tree. J. Environ. Manag. 2021, 289, 112449. [Google Scholar] [CrossRef]
- Daly, C.; Neilson, R.P.; Phillips, D.L. A statistical-topographic model for mapping climatological precipitation over mountainous terrain. J. Appl. Meteorol. Climatol. 1994, 33, 140–158. [Google Scholar] [CrossRef]
- Gumbo, B.; Munyamba, N.; Sithole, G.; Savenije, H.H.G. Coupling of digital elevation model and rainfall-runoff model in storm drainage network design. Phys. Chem. Earth Parts A/B/C 2002, 27, 755–764. [Google Scholar] [CrossRef]
- Saravanan, S.; Abijith, D.; Reddy, N.M.; Parthasarathy, K.S.S.; Janardhanam, N.; Sathiyamurthi, S.; Sivakumar, V. Flood susceptibility mapping using machine learning boosting algorithms techniques in Idukki district of Kerala India. Urban Clim. 2023, 49, 101503. [Google Scholar] [CrossRef]
- Gao, H.; Cai, H.; Duan, Z. Understanding the impacts of catchment characteristics on the shape of the storage capacity curve and its influence on flood flows. Hydrol. Res. 2018, 49, 90–106. [Google Scholar] [CrossRef]
- Mudashiru, R.B.; Sabtu, N.; Abustan, I.; Balogun, W. Flood hazard mapping methods: A review. J. Hydrol. 2021, 603, 126846. [Google Scholar] [CrossRef]
- Chan, S.W.; Abid, S.K.; Sulaiman, N.; Nazir, U.; Azam, K. A systematic review of the flood vulnerability using geographic information system. Heliyon 2022, 8, e09075. [Google Scholar] [CrossRef]
- Shi, P.; Ma, X.; Hou, Y.; Li, Q.; Zhang, Z.; Qu, S.; Chen, C.; Cai, T.; Fang, X. Effects of land-use and climate change on hydrological processes in the upstream of Huai River, China. Water Resour. Manag. 2013, 27, 1263–1278. [Google Scholar] [CrossRef]
- Khorn, N.; Ismail, M.H.; Nurhidayu, S.; Kamarudin, N.; Sulaiman, M.S. Land use/land cover changes and its impact on runoff using SWAT model in the upper Prek Thnot watershed in Cambodia. Environ. Earth Sci. 2022, 81, 466. [Google Scholar] [CrossRef]
- Sun, X.; Li, R.; Shan, X.; Xu, H.; Wang, J. Assessment of climate change impacts and urban flood management schemes in central Shanghai. Int. J. Disaster Risk Reduct. 2021, 65, 102563. [Google Scholar] [CrossRef]
- Roy, S.; Bose, A.; Singha, N.; Basak, D.; Chowdhury, I.R. Urban waterlogging risk as an undervalued environmental challenge: An Integrated MCDA-GIS based modeling approach. Environ. Chall. 2021, 4, 100194. [Google Scholar] [CrossRef]
- Qin, R.; Zhao, Z.; Xu, J.; Ye, J.; Li, F.; Zhang, F. HRLT: A high-resolution (1 day, 1 km) and long-term (1961–2019) gridded dataset for temperature and precipitation across China. Earth Syst. Sci. Data 2022, 14, 4793–4810. [Google Scholar] [CrossRef]
- Cortes, C.; Vapnik, V. Support-vector networks. Mach. Learn. 1995, 20, 273–297. [Google Scholar] [CrossRef]
- Vapnik, V.N. An overview of statistical learning theory. IEEE Trans. Neural Netw. 1999, 10, 988–999. [Google Scholar] [CrossRef]
- Choubin, B.; Moradi, E.; Golshan, M.; Adamowski, J.; Sajedi-Hosseini, F.; Mosavi, A. An ensemble prediction of flood susceptibility using multivariate discriminant analysis, classification and regression trees, and support vector machines. Sci. Total Environ. 2019, 651, 2087–2096. [Google Scholar] [CrossRef]
- Rumelhart, D.E.; Hinton, G.E.; Williams, R.J. Learning representations by back-propagating errors. Nature 1986, 323, 533–536. [Google Scholar] [CrossRef]
- Firoozishahmirzadi, P.; Rahimi, S.; Esmaeili Seraji, Z. Application of Machine Learning Models for flood risk assessment and producing map to identify flood prone areas: Literature Review. Int. J. Data Envel. Anal. 2021, 9, 43–88. [Google Scholar]
- Lai, C.; Shao, Q.; Chen, X.; Wang, Z.; Zhou, X.; Yang, B.; Zhang, L. Flood risk zoning using a rule mining based on ant colony algorithm. J. Hydrol. 2016, 542, 268–280. [Google Scholar] [CrossRef]
- Pourghasemi, H.R.; Kariminejad, N.; Amiri, M.; Edalat, M.; Zarafshar, M.; Blaschke, T.; Cerda, A. Assessing and mapping multi-hazard risk susceptibility using a machine learning technique. Sci. Rep. 2020, 10, 3203. [Google Scholar] [CrossRef]
- Lai, C.; Chen, X.; Zhao, S.; Wang, Z.; Wu, X. A flood risk assessment model based on random forest and its application. J. Hydraul. Eng.-ASCE 2015, 46, 58–66. [Google Scholar]
- Friedman, J.H. Greedy function approximation: A gradient boosting machine. Ann. Stat. 2001, 29, 1189–1232. [Google Scholar] [CrossRef]
- Wolpert, D.H. Stacked generalization. Neural Netw. 1992, 5, 241–259. [Google Scholar] [CrossRef]
- Karunasingha, D.S.K. Root mean square error or mean absolute error? Use their ratio as well. Inf. Sci. 2022, 585, 609–629. [Google Scholar] [CrossRef]
- Lin, K.; Chen, H.; Xu, C.Y.; Yan, P.; Lan, T.; Liu, Z.; Dong, C. Assessment of flash flood risk based on improved analytic hierarchy process method and integrated maximum likelihood clustering algorithm. J. Hydrol. 2020, 584, 124696. [Google Scholar] [CrossRef]
- Chen, J.; Huang, G.; Chen, W. Towards better flood risk management: Assessing flood risk and investigating the potential mechanism based on machine learning models. J. Environ. Manag. 2021, 293, 112810. [Google Scholar] [CrossRef]
- Yao, J.; Zhang, X.; Luo, W.; Liu, C.; Ren, L. Applications of Stacking/Blending ensemble learning approaches for evaluating flash flood susceptibility. Int. J. Appl. Earth Obs. 2022, 112, 102932. [Google Scholar] [CrossRef]
- Lee, S.; Kim, J.C.; Jung, H.S.; Lee, M.J.; Lee, S. Spatial prediction of flood susceptibility using random-forest and boosted tree models in Seoul metropolitan city. Korea Geomat. Nat. Hazards Risk 2017, 8, 1185–1203. [Google Scholar] [CrossRef]
- Li, K.; Wu, S.; Dai, E.; Xu, Z. Flood loss analysis and quantitative risk assessment in China. Nat. Hazards 2012, 63, 737–760. [Google Scholar] [CrossRef]









| Data | Data Source |
|---|---|
| DEM | Geospatial Data Cloud (https://www.gscloud.cn, accessed on 10 December 2022) |
| Land use | Star Cloud Data Service Platform (http://data.starcloud.pcl.ac.cn/zh, accessed on 10 December 2022) |
| Pump station, pipe network | Flood control and drainage planning of Hefei City |
| Precipitation | HRLT dataset (https://doi.org/10.1594/PANGAEA.941329, accessed on 6 March 2023) |
| Model | Hyperparameters |
|---|---|
| SVM | epsilon = 0.3 |
| MLP | Default |
| RF | n_estimators = 42, max_depth = 5 |
| GBDT | n_estimators = 53, learning_rate = 0.03, max_depth = 3 |
| Stacking | Base regressors: SVM, RF, GBDT, Final regressor: RF |
| Voting | Base regressors: SVM, RF, GBDT, Finally, take the average |
| Model | SVM | MLP | RF | GBDT | Stacking | Voting |
|---|---|---|---|---|---|---|
| Training | 0.396 | 0.387 | 0.310 | 0.375 | 0.332 | 0.355 |
| Testing | 0.432 | 0.451 | 0.429 | 0.440 | 0.459 | 0.428 |
| Model | Accuracy | Precision | Recall | F-Score | ||||
|---|---|---|---|---|---|---|---|---|
| Training | Testing | Training | Testing | Training | Testing | Training | Testing | |
| GBDT | 0.835 | 0.677 | 0.911 | 0.792 | 0.822 | 0.655 | 0.864 | 0.717 |
| MLP | 0.757 | 0.699 | 0.838 | 0.778 | 0.767 | 0.724 | 0.801 | 0.750 |
| RF | 0.886 | 0.688 | 0.949 | 0.774 | 0.869 | 0.707 | 0.907 | 0.739 |
| SVM | 0.792 | 0.710 | 0.835 | 0.754 | 0.839 | 0.793 | 0.837 | 0.773 |
| STACKING | 0.841 | 0.634 | 0.928 | 0.731 | 0.814 | 0.655 | 0.867 | 0.691 |
| VOTIING | 0.859 | 0.699 | 0.911 | 0.768 | 0.864 | 0.741 | 0.887 | 0.754 |
| Risk Level | Waterlogging Points | |||||
|---|---|---|---|---|---|---|
| SVM | MLP | RF | GBDT | Stacking | Voting | |
| Very low | 2 | 3 | 2 | 1 | 3 | 1 |
| Low | 5 | 11 | 5 | 2 | 18 | 4 |
| Moderate | 61 | 52 | 62 | 69 | 67 | 63 |
| High | 208 | 106 | 100 | 118 | 75 | 134 |
| Very high | 18 | 122 | 125 | 104 | 131 | 92 |
Disclaimer/Publisher’s Note: The statements, opinions and data contained in all publications are solely those of the individual author(s) and contributor(s) and not of MDPI and/or the editor(s). MDPI and/or the editor(s) disclaim responsibility for any injury to people or property resulting from any ideas, methods, instructions or products referred to in the content. |
© 2023 by the authors. Licensee MDPI, Basel, Switzerland. This article is an open access article distributed under the terms and conditions of the Creative Commons Attribution (CC BY) license (https://creativecommons.org/licenses/by/4.0/).
Share and Cite
Zhang, W.; Hu, B.; Liu, Y.; Zhang, X.; Li, Z. Urban Flood Risk Assessment through the Integration of Natural and Human Resilience Based on Machine Learning Models. Remote Sens. 2023, 15, 3678. https://doi.org/10.3390/rs15143678
Zhang W, Hu B, Liu Y, Zhang X, Li Z. Urban Flood Risk Assessment through the Integration of Natural and Human Resilience Based on Machine Learning Models. Remote Sensing. 2023; 15(14):3678. https://doi.org/10.3390/rs15143678
Chicago/Turabian StyleZhang, Wenting, Bin Hu, Yongzhi Liu, Xingnan Zhang, and Zhixuan Li. 2023. "Urban Flood Risk Assessment through the Integration of Natural and Human Resilience Based on Machine Learning Models" Remote Sensing 15, no. 14: 3678. https://doi.org/10.3390/rs15143678
APA StyleZhang, W., Hu, B., Liu, Y., Zhang, X., & Li, Z. (2023). Urban Flood Risk Assessment through the Integration of Natural and Human Resilience Based on Machine Learning Models. Remote Sensing, 15(14), 3678. https://doi.org/10.3390/rs15143678
