Spatial–Spectral Joint Hyperspectral Anomaly Detection Based on a Two-Branch 3D Convolutional Autoencoder and Spatial Filtering
Abstract
1. Introduction
- (1)
- A novel two-branch 3D-CAE was developed to fully extract the spatial–spectral joint features and spectral interband features of HSI, and novel multi-scale spectral difference data were used as the input of the second network branch.
- (2)
- A morphological filter and a total variance curvature filter were used for spatial detection, and the spatial detection result was also used to filter the background sample set for training the network.
- (3)
- A satellite-borne hyperspectral dataset based on the images acquired by the GF-5 satellite was constructed that can be used to validate the effectiveness of many HAD methods. We used six state-of-the-art methods to demonstrate the validity of the proposed method, not only with the commonly used airborne hyperspectral images but also with satellite-borne HSI.
2. Proposed Method
2.1. Spatial Detection
| Algorithm 1. Total variation curvature filter |
| Input: |
| 1: |
| 2: |
| 3: |
| 4: |
| 5: |
| 6: |
| 7: |
| 8: |
| 9: Find |
| Output: |
2.2. Spatial–Spectral Joint Detection
2.2.1. Multi-Scale Spectral Difference Feature Data and Network Inputs
2.2.2. Architecture of the Two-Branch 3D-CAE Network
2.2.3. Loss Function and Final Results of Anomaly Detection
3. Experimental Setting and Results
3.1. Experimental Hyperspectral Datasets
- (1)
- San Diego dataset: The San Diego dataset was acquired by the AVIRIS sensor. The first two airborne HSI used in the experiments are from this dataset. They have a spatial resolution of 3.5 m and a spectral resolution of 10 nm. The spatial size of the images is 100 × 100. After removing the water vapor bands and the low SNR bands, we selected 189 of the 224 bands with spectral coverage ranging from 370 to 2510 nm. The first image, denoted as SanDiego-I, has the anomalous target of three aircraft in the upper right corner, occupying a total of 58 pixels; the second image, denoted as SanDiego-II, has the anomalous target of three aircraft in the lower left and middle positions, occupying a total of 104 pixels. The pseudo-color images and ground truth maps of these two images are shown in Figure 5.
- (2)
- Airport–Beach–Urban (ABU) dataset: The third and fourth airborne HSI used in the experiment were from the ABU dataset. The third HSI was collected by the AVIRIS sensor. The spatial size of the image is 100 × 100, and the spatial resolution is 17.2 m. It has 198 bands selected from a total of 224 bands, with a range of 450–2500 nm and a spectral resolution of 10 nm. The anomalous target is the rock in the middle of the image in five columns, occupying a total of 155 pixels, denoted as Urban-I. The fourth HSI was collected by the ROSIS-03 sensor in Pavia, Italy. The spatial size of the image is 100 × 100, and the spatial resolution is 1.3 m. The number of bands is 102 ranging from 430–860 nm, with a spectral resolution of 3.3 nm. The anomalous targets are vehicles on the bridge, occupying a total of 68 pixels, denoted as Beach-I. The pseudo-color images and ground truth maps of these two images are shown in Figure 6.
- (3)
- G5 anomaly dataset: The AHSI on board the GF-5 satellite acquired a large number of valuable images [48], from which we selected images containing different anomalous targets in different scenes to establish a satellite-borne hyperspectral dataset for anomaly detection, named the G5 anomaly dataset. The images in this dataset are mainly from the visible near-infrared (VNIR) channel of the AHSI, with a spatial resolution of 30 m, a band number of 150, and a spectral resolution of 5 nm, with a spectral coverage ranging from 400 to 1000 nm. We selected four images of different typical anomalous targets in different typical scenes for the experiment. The images with a size of 100 × 100 pixels around the anomalous target were intercepted as the experimental images. G5-I is a pixel-level anomaly against a thin cloudy, and land background. G5-II is a building anomaly against a land background. G5-III is a ship anomaly against an ocean background. G5-IV is a building anomaly against a lake background. The pseudo-color images synthesized using the 74th, 38th, and 12th bands, and the ground truth maps are shown in Figure 7.



3.2. Comparison Algorithm and Parameter Settings
3.3. Experimental Results and Analysis
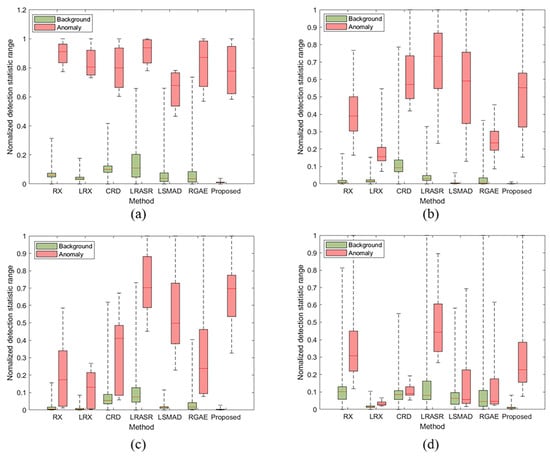
3.3.1. Experimental Results for the Airborne Hyperspectral Image Datasets
3.3.2. Experimental Results for the Satellite-Borne Hyperspectral Image Dataset
4. Conclusions
Author Contributions
Funding
Data Availability Statement
Conflicts of Interest
References
- Tong, Q.; Zhang, B.; Zhang, L. Current progress of hyperspectral remote sensing in China. J. Remote Sens. 2016, 20, 689–707. [Google Scholar]
- Chang, H.W.; Wang, T.; Li, A.H.; Fang, H. Local hyperspectral anomaly detection method based on low-rank and sparse matrix decomposition. J. Appl. Remote Sens. 2019, 13, 026513. [Google Scholar] [CrossRef]
- Jiang, T.; Li, Y.S.; Xie, W.Y.; Du, Q. Discriminative Reconstruction Constrained Generative Adversarial Network for Hyperspectral Anomaly Detection. IEEE Trans. Geosci. Remote Sens. 2020, 58, 4666–4679. [Google Scholar] [CrossRef]
- Hong, D.F.; Gao, L.R.; Yao, J.; Zhang, B.; Plaza, A.; Chanussot, J. Graph Convolutional Networks for Hyperspectral Image Classification. IEEE Trans. Geosci. Remote Sens. 2021, 59, 5966–5978. [Google Scholar] [CrossRef]
- Nasrabadi, N.M. Hyperspectral Target Detection. IEEE Signal Process. Mag. 2014, 31, 34–44. [Google Scholar] [CrossRef]
- Peyghambari, S.; Zhang, Y. Hyperspectral remote sensing in lithological mapping, mineral exploration, and environmental geology: An updated review. J. Appl. Remote Sens. 2021, 15, 031501. [Google Scholar] [CrossRef]
- Irakulis-Loitxate, I.; Guanter, L.; Liu, Y.N.A.; Varon, D.J.; Maasakkers, J.D.; Zhang, Y.Z.; Chulakadabba, A.; Wofsy, S.C.; Thorpe, A.K.; Duren, R.M.; et al. Satellite-based survey of extreme methane emissions in the Permian basin. Sci. Adv. 2021, 7, eabf4507. [Google Scholar] [CrossRef]
- Li, L.; Li, W.; Du, Q.; Tao, R. Low-Rank and Sparse Decomposition with Mixture of Gaussian for Hyperspectral Anomaly Detection. IEEE Trans. Cybern. 2021, 51, 4363–4372. [Google Scholar] [CrossRef] [PubMed]
- Bati, E.; Caliskan, A.; Koz, A.; Alatan, A.A. Hyperspectral Anomaly Detection Method Based on Auto-encoder. In Proceedings of the Conference on Image and Signal Processing for Remote Sensing XXI, Toulouse, France, 21–23 September 2015. [Google Scholar]
- Du, B.; Zhao, R.; Zhang, L.P.; Zhang, L.F. A spectral-spatial based local summation anomaly detection method for hyperspectral images. Signal Process. 2016, 124, 115–131. [Google Scholar] [CrossRef]
- Li, L.; Li, W.; Qu, Y.; Zhao, C.H.; Tao, R.; Du, Q. Prior-Based Tensor Approximation for Anomaly Detection in Hyperspectral Imagery. IEEE Trans. Neural Netw. Learn. Syst. 2022, 33, 1037–1050. [Google Scholar] [CrossRef]
- Chang, C.I. Effective Anomaly Space for Hyperspectral Anomaly Detection. IEEE Trans. Geosci. Remote Sens. 2022, 60, 5526624. [Google Scholar] [CrossRef]
- Su, H.J.; Wu, Z.Y.; Zhang, H.H.; Du, Q. Hyperspectral Anomaly Detection: A Survey. IEEE Geosci. Remote Sens. Mag. 2022, 10, 64–90. [Google Scholar] [CrossRef]
- Matteoli, S.; Diani, M.; Corsini, G. A Tutorial Overview of Anomaly Detection in Hyperspectral Images. IEEE Aerosp. Electron. Syst. Mag. 2010, 25, 5–27. [Google Scholar] [CrossRef]
- Reed, I.S.; Yu, X.L. Adaptive multiple-band cfar detection of an optical-pattern with unknown spectral distribution. IEEE Trans. Acoust. Speech Signal Process. 1990, 38, 1760–1770. [Google Scholar] [CrossRef]
- Liu, W.M.; Chang, C.I. Multiple-Window Anomaly Detection for Hyperspectral Imagery. IEEE J. Sel. Top. Appl. Earth Obs. Remote Sens. 2013, 6, 644–658. [Google Scholar] [CrossRef]
- Matteoli, S.; Veracini, T.; Diani, M.; Corsini, G. Models and Methods for Automated Background Density Estimation in Hyperspectral Anomaly Detection. IEEE Trans. Geosci. Remote Sens. 2013, 51, 2837–2852. [Google Scholar] [CrossRef]
- Guo, Q.D.; Zhang, B.; Ran, Q.; Gao, L.R.; Li, J.; Plaza, A. Weighted-RXD and Linear Filter-Based RXD: Improving Background Statistics Estimation for Anomaly Detection in Hyperspectral Imagery. IEEE J. Sel. Top. Appl. Earth Obs. Remote Sens. 2014, 7, 2351–2366. [Google Scholar] [CrossRef]
- Du, B.; Zhang, L.P. Random-Selection-Based Anomaly Detector for Hyperspectral Imagery. IEEE Trans. Geosci. Remote Sens. 2011, 49, 1578–1589. [Google Scholar] [CrossRef]
- Kwon, H.; Nasrabadi, N.M. Kernel RX-algorithm: A nonlinear anomaly detector for hyperspectral imagery. IEEE Trans. Geosci. Remote Sens. 2005, 43, 388–397. [Google Scholar] [CrossRef]
- Banerjee, A.; Burlina, P.; Diehl, C. A support vector method for anomaly detection in hyperspectral imagery. IEEE Trans. Geosci. Remote Sens. 2006, 44, 2282–2291. [Google Scholar] [CrossRef]
- Xiang, P.; Zhou, H.X.; Li, H.; Song, S.Z.; Tan, W.; Song, J.L.Q.; Gu, L. Hyperspectral anomaly detection by local joint subspace process and support vector machine. Int. J. Remote Sens. 2020, 41, 3798–3819. [Google Scholar] [CrossRef]
- Carlotto, M.J. A cluster-based approach for detecting man-made objects and changes in imagery. IEEE Trans. Geosci. Remote Sens. 2005, 43, 374–387. [Google Scholar] [CrossRef]
- Messinger, D.W.; Albano, J. A graph theoretic approach to anomaly detection in hyperspectral imagery. In Proceedings of the 2011 3rd Workshop on Hyperspectral Image and Signal Processing: Evolution in Remote Sensing (WHISPERS), Lisbon, Portugal, 6–9 June 2011; p. 4. [Google Scholar] [CrossRef]
- Yuan, Z.Z.; Sun, H.; Ji, K.F.; Li, Z.Y.; Zou, H.X. Local Sparsity Divergence for Hyperspectral Anomaly Detection. IEEE Geosci. Remote Sens. Lett. 2014, 11, 1697–1701. [Google Scholar] [CrossRef]
- Ling, Q.; Guo, Y.L.; Lin, Z.P.; An, W. A Constrained Sparse Representation Model for Hyperspectral Anomaly Detection. IEEE Trans. Geosci. Remote Sens. 2019, 57, 2358–2371. [Google Scholar] [CrossRef]
- Li, W.; Du, Q. Collaborative Representation for Hyperspectral Anomaly Detection. IEEE Trans. Geosci. Remote Sens. 2015, 53, 1463–1474. [Google Scholar] [CrossRef]
- Sun, W.W.; Liu, C.; Li, J.L.; Lai, Y.M.; Li, W.Y. Low-rank and sparse matrix decomposition-based anomaly detection for hyperspectral imagery. J. Appl. Remote Sens. 2014, 8, 083641. [Google Scholar] [CrossRef]
- Zhang, Y.X.; Du, B.; Zhang, L.P.; Wang, S.G. A Low-Rank and Sparse Matrix Decomposition-Based Mahalanobis Distance Method for Hyperspectral Anomaly Detection. IEEE Trans. Geosci. Remote Sens. 2016, 54, 1376–1389. [Google Scholar] [CrossRef]
- Cheng, T.K.; Wang, B. Graph and Total Variation Regularized Low-Rank Representation for Hyperspectral Anomaly Detection. IEEE Trans. Geosci. Remote Sens. 2020, 58, 391–406. [Google Scholar] [CrossRef]
- Xu, Y.; Wu, Z.B.; Li, J.; Plaza, A.; Wei, Z.H. Anomaly Detection in Hyperspectral Images Based on Low-Rank and Sparse Representation. IEEE Trans. Geosci. Remote Sens. 2016, 54, 1990–2000. [Google Scholar] [CrossRef]
- Jiang, T.; Xie, W.Y.; Li, Y.S.; Lei, J.; Du, Q. Weakly Supervised Discriminative Learning with Spectral Constrained Generative Adversarial Network for Hyperspectral Anomaly Detection. IEEE Trans. Neural Netw. Learn. Syst. 2022, 33, 6504–6517. [Google Scholar] [CrossRef]
- Li, W.; Wu, G.D.; Du, Q. Transferred Deep Learning for Anomaly Detection in Hyperspectral Imagery. IEEE Geosci. Remote Sens. Lett. 2017, 14, 597–601. [Google Scholar] [CrossRef]
- Song, S.Z.; Zhou, H.X.; Yang, Y.X.; Song, J.L.Q. Hyperspectral Anomaly Detection via Convolutional Neural Network and Low Rank with Density-Based Clustering. IEEE J. Sel. Top. Appl. Earth Obs. Remote Sens. 2019, 12, 3637–3649. [Google Scholar] [CrossRef]
- Fan, G.H.; Ma, Y.; Mei, X.G.; Fan, F.; Huang, J.; Ma, J.Y. Hyperspectral Anomaly Detection with Robust Graph Autoencoders. IEEE Trans. Geosci. Remote Sens. 2022, 60, 5511314. [Google Scholar] [CrossRef]
- Xie, W.Y.; Lei, J.; Liu, B.Z.; Li, Y.S.; Jia, X.P. Spectral constraint adversarial autoencoders approach to feature representation in hyperspectral anomaly detection. Neural Netw. 2019, 119, 222–234. [Google Scholar] [CrossRef] [PubMed]
- Zhao, C.H.; Li, X.Y.; Zhu, H.F. Hyperspectral anomaly detection based on stacked denoising autoencoders. J. Appl. Remote Sens. 2017, 11, 042605. [Google Scholar] [CrossRef]
- Gong, Y.H.; Sbalzarini, I.F. Curvature Filters Efficiently Reduce Certain Variational Energies. IEEE Trans. Image Process. 2017, 26, 1786–1798. [Google Scholar] [CrossRef] [PubMed]
- Nalepa, J.; Myller, M.; Imai, Y.; Honda, K.I.; Takeda, T.; Antoniak, M. Unsupervised Segmentation of Hyperspectral Images Using 3-D Convolutional Autoencoders. IEEE Geosci. Remote Sens. Lett. 2020, 17, 1948–1952. [Google Scholar] [CrossRef]
- Wang, M.H.; Wang, Q.; Hong, D.F.; Roy, S.K.; Chanussot, J. Learning Tensor Low-Rank Representation for Hyperspectral Anomaly Detection. IEEE Trans. Cybern. 2023, 53, 679–691. [Google Scholar] [CrossRef]
- Terol-Villalobos, I.R. Nonincreasing filters using morphological gradient criteria. Opt. Eng. 1996, 35, 3172–3182. [Google Scholar] [CrossRef]
- Xiang, P.; Song, J.L.Q.; Qin, H.L.; Tan, W.; Li, H.; Zhou, H.X. Visual Attention and Background Subtraction with Adaptive Weight for Hyperspectral Anomaly Detection. IEEE J. Sel. Top. Appl. Earth Obs. Remote Sens. 2021, 14, 2270–2283. [Google Scholar] [CrossRef]
- Otsu, N. Threshold selection method from gray-level histograms. IEEE Trans. Syst. Man Cybern. 1979, 9, 62–66. [Google Scholar] [CrossRef]
- Sun, B.Y.; Zhao, Z.; Hu, B.L.; Yu, T. Hyperspectral Anomaly Detection Based on 3D Convolutional Autoencoder and Law Rank Representation. Acta Photonica Sin. 2021, 50, 254. [Google Scholar] [CrossRef]
- Yu, J.C.; Zhang, L.; Li, Q.; Li, Y.C.A.; Huang, W.; Sun, Z.W.; Ma, Y.N.; He, P. 3D autoencoder algorithm for lithological mapping using ZY-1 02D hyperspectral imagery: A case study of Liuyuan region. J. Appl. Remote Sens. 2021, 15, 042610. [Google Scholar] [CrossRef]
- Mei, S.H.; Ji, J.Y.; Geng, Y.H.; Zhang, Z.; Li, X.; Du, Q. Unsupervised Spatial-Spectral Feature Learning by 3D Convolutional Autoencoder for Hyperspectral Classification. IEEE Trans. Geosci. Remote Sens. 2019, 57, 6808–6820. [Google Scholar] [CrossRef]
- Kingma, D.P.; Ba, J. Adam: A method for stochastic optimization. arXiv 2014, arXiv:1412.6980. [Google Scholar]
- Liu, Y. Visible-shortwave Infrared Hyperspectral Imager of GF-5 Satellite. Spacecr. Recovery Remote Sens. 2018, 39, 25–28. [Google Scholar]
- Molero, J.M.; Garzon, E.M.; Garcia, I.; Plaza, A. Analysis and Optimizations of Global and Local Versions of the RX Algorithm for Anomaly Detection in Hyperspectral Data. IEEE J. Sel. Top. Appl. Earth Obs. Remote Sens. 2013, 6, 801–814. [Google Scholar] [CrossRef]











| Method | Parameter | San Diego-I | San Diego-II | Urban-I | Beach-I | G5 |
|---|---|---|---|---|---|---|
| LRX | ) | (25, 23) | (25, 23) | (21, 19) | (9, 7) | (9, 5) |
| CRD | ) | (17, 15) | (17, 15) | (9, 5) | (9, 7) | (9, 5) |
| 10−6 | 10−6 | 10−6 | 10−6 | 10−6 | ||
| LRASR | 𝐾 | 15 | 15 | 15 | 15 | 15 |
| 𝑃 | 20 | 20 | 20 | 20 | 20 | |
| 𝛽 | 0.005 | 0.005 | 0.005 | 0.005 | 0.005 | |
| 𝜆 | 0.01 | 0.01 | 0.01 | 0.01 | 0.01 | |
| LSMAD | 𝑟 | 2 | 2 | 2 | 1 | 2 |
| 𝑘 | 0.005 | 0.005 | 0.01 | 0.01 | 0.002 | |
| RGAE | 𝜆 | 0.01 | 0.01 | 0.01 | 0.01 | 0.01 |
| 𝑆 | 150 | 150 | 100 | 150 | 150 | |
| Proposed | 𝑃 | 2 | 2 | 2 | 2 | 2 |
| 𝑠𝑒 | (5, 5) | (5, 5) | (5, 5) | (5, 5) | (3, 3) | |
| d | 200 | 200 | 200 | 200 | 200 |
| AUC | San Diego-I | San Diego-II | Beach-I | Urban-I |
|---|---|---|---|---|
| RX | 0.9053 | 0.9403 | 0.9885 | 0.9951 |
| LRX | 0.8725 | 0.9675 | 0.9284 | 0.9188 |
| CRD | 0.9788 | 0.9293 | 0.9570 | 0.9283 |
| LRASR | 0.9836 | 0.8803 | 0.9778 | 0.9456 |
| LSMAD | 0.9864 | 0.9813 | 0.9903 | 0.9927 |
| RGAE | 0.9791 | 0.9919 | 0.9914 | 0.9887 |
| Proposed | 0.9974 | 0.9927 | 0.9940 | 0.9980 |
| AUC | G5-I | G5-II | G5-III | G5-IV |
|---|---|---|---|---|
| RX | 0.9999 | 0.9945 | 0.9135 | 0.9663 |
| LRX | 0.9999 | 0.9903 | 0.8865 | 0.8691 |
| CRD | 0.9999 | 0.9938 | 0.8758 | 0.6394 |
| LRASR | 0.9999 | 0.9992 | 0.9993 | 0.9720 |
| LSMAD | 0.9997 | 0.9995 | 0.9998 | 0.5482 |
| RGAE | 0.9997 | 0.9619 | 0.9929 | 0.6136 |
| Proposed | 0.9999 | 0.9995 | 0.9998 | 0.9949 |
Disclaimer/Publisher’s Note: The statements, opinions and data contained in all publications are solely those of the individual author(s) and contributor(s) and not of MDPI and/or the editor(s). MDPI and/or the editor(s) disclaim responsibility for any injury to people or property resulting from any ideas, methods, instructions or products referred to in the content. |
© 2023 by the authors. Licensee MDPI, Basel, Switzerland. This article is an open access article distributed under the terms and conditions of the Creative Commons Attribution (CC BY) license (https://creativecommons.org/licenses/by/4.0/).
Share and Cite
Lv, S.; Zhao, S.; Li, D.; Pang, B.; Lian, X.; Liu, Y. Spatial–Spectral Joint Hyperspectral Anomaly Detection Based on a Two-Branch 3D Convolutional Autoencoder and Spatial Filtering. Remote Sens. 2023, 15, 2542. https://doi.org/10.3390/rs15102542
Lv S, Zhao S, Li D, Pang B, Lian X, Liu Y. Spatial–Spectral Joint Hyperspectral Anomaly Detection Based on a Two-Branch 3D Convolutional Autoencoder and Spatial Filtering. Remote Sensing. 2023; 15(10):2542. https://doi.org/10.3390/rs15102542
Chicago/Turabian StyleLv, Shuai, Siwei Zhao, Dandan Li, Boyu Pang, Xiaoying Lian, and Yinnian Liu. 2023. "Spatial–Spectral Joint Hyperspectral Anomaly Detection Based on a Two-Branch 3D Convolutional Autoencoder and Spatial Filtering" Remote Sensing 15, no. 10: 2542. https://doi.org/10.3390/rs15102542
APA StyleLv, S., Zhao, S., Li, D., Pang, B., Lian, X., & Liu, Y. (2023). Spatial–Spectral Joint Hyperspectral Anomaly Detection Based on a Two-Branch 3D Convolutional Autoencoder and Spatial Filtering. Remote Sensing, 15(10), 2542. https://doi.org/10.3390/rs15102542

