High-Precision Joint Magnetization Vector Inversion Method of Airborne Magnetic and Gradient Data with Structure and Data Double Constraints
Abstract
:1. Introduction
2. Methods
2.1. Previous Inversion Method
2.2. Double Constraints Inversion Method of Data and Structure
3. Theoretical Model Tests
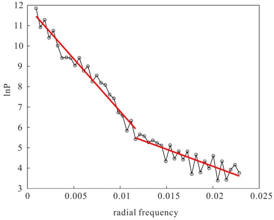
4. Field Data Application
5. Discussion and Conclusions
Author Contributions
Funding
Data Availability Statement
Conflicts of Interest
References
- Nelson, J.B. Calculation of the magnetic gradient tensor from total field gradient measurements and its application to geophysical interpretation. Geophysics 1988, 53, 957–966. [Google Scholar] [CrossRef]
- Schmidt, P.W.; Clark, D.A. The magnetic gradient tensor: Its properties and uses in source characterization. Lead. Edge 2006, 25, 75–78. [Google Scholar] [CrossRef] [Green Version]
- Yang, Y.S.; Li, Y.Y.; Liu, T.Y.; Zhang, Y.L.; Feng, X. Interactive 3D forward modeling of total field surface and three-component borehole magnetic data for the Daye iron-ore deposit (Central China). J. Appl. Geophys. 2011, 75, 254–263. [Google Scholar] [CrossRef]
- Beiki, M.; Clark, D.A.; Austin, J.R.; Foss, C.A. Estimating source location using normalized magnetic source strength calculated from magnetic gradient tensor data. Geophysics 2012, 77, J23–J37. [Google Scholar] [CrossRef] [Green Version]
- Ren, Z.Y.; Chen, C.Y.; Tang, J.T.; Chen, H.; Hu, S.G.; Zhou, C.; Xiao, X. Closed-form formula of magnetic gradient tensor for a homogeneous polyhedral magnetic target: A tetrahedral grid example. Geophysics 2017, 82, WB16–WB28. [Google Scholar] [CrossRef]
- Ren, Z.Y.; Chen, H.; Chen, C.J.; Zhong, Y.Y.; Tang, J.T. New analytical expression of the magnetic gradient tensor for homogeneous polyhedrons. Geophysics 2019, 84, A31–A35. [Google Scholar] [CrossRef]
- Munschy, M.; Fleury, S. Scalar, vector, tensor magnetic anomalies: Measurement or computation. Geophys. Prospect. 2011, 59, 1035–1045. [Google Scholar] [CrossRef]
- Wu, P.L.; Zhang, Q.Y.; Chen, L.Z.; Zhu, W.H.; Fang, G.Y. Aeromagnetic compensation algorithm based on principal component analysis. J. Sens. 2018, 2018, 5798287. [Google Scholar] [CrossRef] [Green Version]
- Davis, K.; Li, Y. Joint processing of total-field and gradient magnetic data. Explor. Geophys. 2011, 42, 199–206. [Google Scholar] [CrossRef]
- Haber, E.; Oldenburg, D.W. Joint inversion: A structural approach. Inverse Probl. 1997, 13, 63–77. [Google Scholar] [CrossRef]
- Zhdanov, M.S.; Gribenko, A.; Wilson, G. Generalized joint inversion of multimodal geophysical data using Gramian constraints. Geophys. Res. Lett. 2012, 39, L09301. [Google Scholar] [CrossRef] [Green Version]
- Kamm, J.; Lundin, I.A.; Bastani, M.; Sadeghi, M.; Pedersen, L.B. Joint inversion of gravity, magnetic, and petrophysical data—A case study from a gabbro intrusion in Boden, Sweden. Geophysics 2015, 80, B131–B152. [Google Scholar] [CrossRef]
- Pilkington, M.; Beiki, M. Mitigating remanent magnetization effects in magnetic data using the normalized source strength. Geophysics 2013, 78, J25–J32. [Google Scholar] [CrossRef]
- Li, Y.; Oldenburg, D.W. Stable reduction to the pole at the magnetic equator. Geophysics 2001, 66, 571–578. [Google Scholar] [CrossRef]
- Nabighian, M.N. The analytic signal of two-dimensional magnetic bodies with polygonal cross-section: Its properties and use for automated anomaly interpretation. Geophysics 1972, 37, 507–517. [Google Scholar] [CrossRef]
- Roest, W.R.; Verhoev, J.; Pilkington, M. Magnetic interpretation using the 3-D analytic signal. Geophysics 1992, 57, 116–125. [Google Scholar] [CrossRef]
- Keating, P. Improved use of the local wavenumber in potential-field interpretation. Geophysics 2009, 74, L75–L85. [Google Scholar] [CrossRef]
- Likkason, O.K. Exploring and Using the Magnetic Methods; IntechOpen: London, UK, 2014. [Google Scholar] [CrossRef] [Green Version]
- Gerovska, D.; Araúzo-Bravo, M.J. Calculation of magnitude magnetic transforms with high centricity and low dependence on the magnetization vector direction. Lead. Edge 2006, 71, I21–I30. [Google Scholar] [CrossRef]
- Cordell, L.; McCafferty, A.E. A terracing operator for physical property mapping with potential field data. Geophysics 1989, 54, 621–634. [Google Scholar] [CrossRef]
- Tikhonov, A.N.; Arsenin, V.Y. Solusions of Ill-Posed Problems. SIAM Rev. 1977, 54, 266–267. [Google Scholar] [CrossRef]
- Li, Y.G.; Oldenburg, D.W. 3-D inversion of magnetic data. Geophysics 1996, 61, 394–408. [Google Scholar] [CrossRef]
- Li, Y.G.; Oldenburg, D.W. 3-D inversion of gravity data. Geophysics 1998, 63, 109–119. [Google Scholar] [CrossRef]
- Panagiotakis, C.; Kokinou, E.; Sarris, A. Curvilinear Structure Enhancement and Detection in Geophysical images Based on a Multiple Filtering Scheme. IEEE Trans. Geosci. Remote Sens. 2012, 49, 2040–2048. [Google Scholar] [CrossRef]
- Lelièvre, P.G.; Oldenburg, D.W. A 3D total magnetization inversion applicable when significant, complicated remanence is present. Geophysics 2009, 74, L16. [Google Scholar] [CrossRef]
- Li, Y.G.; Haney, M.M.; Dannemiller, N.; Shearer, S.E. Comprehensive approaches to 3D inversion of magnetic data affected by remanent magnetization. Geophysics 2010, 75, L1. [Google Scholar] [CrossRef]
- Liu, S.; Hu, X.Y.; Liu, T.Y.; Feng, J.; Gao, W.L.; Qiu, L.Q. Magnetization vector imaging for borehole magnetic data based on magnitude magnetic anomaly Magnetization vector imaging. Geophysics 2013, 78, D429–D444. [Google Scholar] [CrossRef]
- Liu, S.; Hu, X.Y.; Xi, Y.F.; Liu, T.Y.; Xu, S. 2D sequential inversion of total magnitude and total magnetic anomaly data affected by remanent magnetization. Geophysics 2015, 80, K1–K12. [Google Scholar] [CrossRef]
- Liu, S.; Hu, X.Y.; Cai, J.C.; Li, J.H.; Shan, C.L.; Wei, W.; Han, Q.; Liu, Y.J. Inversion of borehole magnetic data for prospecting deep-buried minerals in areas with near-surface magnetic distortions: A case study from the Daye iron-ore deposit in Hubei, central China. Near Surf. Geophys. 2017, 15, 298–310. [Google Scholar] [CrossRef]
- Liu, S.; Hu, X.Y.; Zuo, B.X.; Zhang, H.L.; Ou, Y.; Geng, M.X.; Vatankhah, X. Susceptibility and remanent magnetization inversion of magnetic data with a priori information of the Köenigsberger ratio. Geophys. J. Int. 2020, 221, 1090–1109. [Google Scholar] [CrossRef]
- Liu, S.; Hu, X.Y.; Zhang, H.L.; Geng, M.X.; Zuo, B.X. 3D Magnetization Vector Inversion of Magnetic Data: Improving and Comparing Methods. Pure Appl. Geophys. 2017, 174, 4421–4444. [Google Scholar] [CrossRef]
- Roest, W.R.; Pilkington, M. Identifying remanent magnetization effects in magnetic data. Geophysics 1993, 58, 653–659. [Google Scholar] [CrossRef]
- Medeiros, W.E.; CSilva, J.B. Simultaneous estimation of total magnetization direction and 3-D spatial orientation. Geophysics 1995, 60, 1365–1377. [Google Scholar] [CrossRef]
- Bilim, F.; Ates, A. An enhanced method for estimation of body magnetization direction from pseudogravity and gravity data. Comput. Geosci. 2004, 30, 161–171. [Google Scholar] [CrossRef]
- Dannemiller, N.; Li, Y. A new method for determination of magnetization direction. Geophysics 2006, 23, L69–L73. [Google Scholar] [CrossRef] [Green Version]
- Li, J.P.; Zhang, Y.T.; Yin, G.; Fan, H.B.; Li, Z.N. An approach for estimating the magnetization direction of magnetic anomalies. J. Appl. Geophys. 2017, 137, 1–7. [Google Scholar] [CrossRef]
- Zhang, H.L.; Ravat, D.; Marangoni, Y.R.; Chen, G.X.; Hu, X.Y. Improved total magnetization direction determination by correlation of the normalized source strength derivative and the RTP fields. Geophysics 2018, 83, J75–J85. [Google Scholar] [CrossRef]
- Pilkington, M. Analysis of gravity gradiometer inverse problems using optimal design measures. Geophysics 2012, 77, G25–G31. [Google Scholar] [CrossRef]
- Meju, M.A.; Gallardo, L.A.; Mohamed, A.K. Evidence for correlation of electrical resistivity and seismic velocity in heterogeneous near-surface materials. Geophys. Res. Lett. 2003, 30, 1373. [Google Scholar] [CrossRef]
- Gerovska, D.; Araú-Bravo, M.J.; Stavrev, P. Estimating the magnetization direction of sources from southeast Bulgaria through correlation between reduced to the pole and total magnitude anomalies. Geophys. Prospect. 2009, 57, 491–505. [Google Scholar] [CrossRef]
- Gallardo, L.A. Multiple cross-gradient joint inversion for geospectral imaging. Geophys. Res. Lett. 2007, 34, 1–5. [Google Scholar] [CrossRef]
- Gallardo, L.A.; Fregoso, E. Cross-gradients joint 3D inversion with applications to gravity and magnetic data. Geophysics 2009, 74, L31. [Google Scholar] [CrossRef]
- Manukyan, E.; Maurer, H. Elastic VTI full waveform inversion using cross-gradient constraints—An application towards high-level radioactive waste monitoring. Geophysics 2020, 85, R313–R323. [Google Scholar] [CrossRef]
- Gao, X.H.; Xiong, S.Q.; Yu, C.C.; Zhang, D.H.; Wu, C.P. The Estimation of Magnetite Prospective Resources Based on Aeromagnetic Data: A Case Study of Qihe Area, Shandong Province, China. Remote Sens. 2021, 13, 1216. [Google Scholar] [CrossRef]
- García-Abdesle, J.; Ness, G.E. Inversion of the power spectrum from magnetic anomalies. Geophysics 1994, 59, 391–401. [Google Scholar] [CrossRef]
- Yang, D.F.; Liu, J.; Li, J.G.; Liu, D.L. Q-factor estimation using bisection algorithm with power spectrum. Geophysics 2020, 85, V233–V248. [Google Scholar] [CrossRef]















Publisher’s Note: MDPI stays neutral with regard to jurisdictional claims in published maps and institutional affiliations. |
© 2022 by the authors. Licensee MDPI, Basel, Switzerland. This article is an open access article distributed under the terms and conditions of the Creative Commons Attribution (CC BY) license (https://creativecommons.org/licenses/by/4.0/).
Share and Cite
Ma, G.; Zhao, Y.; Xu, B.; Li, L.; Wang, T. High-Precision Joint Magnetization Vector Inversion Method of Airborne Magnetic and Gradient Data with Structure and Data Double Constraints. Remote Sens. 2022, 14, 2508. https://doi.org/10.3390/rs14102508
Ma G, Zhao Y, Xu B, Li L, Wang T. High-Precision Joint Magnetization Vector Inversion Method of Airborne Magnetic and Gradient Data with Structure and Data Double Constraints. Remote Sensing. 2022; 14(10):2508. https://doi.org/10.3390/rs14102508
Chicago/Turabian StyleMa, Guoqing, Yanan Zhao, Bowen Xu, Lili Li, and Taihan Wang. 2022. "High-Precision Joint Magnetization Vector Inversion Method of Airborne Magnetic and Gradient Data with Structure and Data Double Constraints" Remote Sensing 14, no. 10: 2508. https://doi.org/10.3390/rs14102508
APA StyleMa, G., Zhao, Y., Xu, B., Li, L., & Wang, T. (2022). High-Precision Joint Magnetization Vector Inversion Method of Airborne Magnetic and Gradient Data with Structure and Data Double Constraints. Remote Sensing, 14(10), 2508. https://doi.org/10.3390/rs14102508

