Predicting Soil Electrical Conductivity of Saturated Paste Extract Using Pedotransfer Functions in Northeastern Tunisia
Abstract
1. Introduction
- (i)
- irrigation using brackish or saline water, which is often characterized by a moderate to high solute concentration.
- (ii)
- irrigation of soils containing naturally occurring fossil salts, especially in arid and semi-arid regions.
- (iii)
- rising saline water tables, which are often associated with deforestation and poor soil drainage.
2. Materials and Methods
2.1. Study Sites
2.2. Soil Physical and Chemical Analyses
- −
- The sedimentation method was used to determine soil texture [43].
- −
- The Walkley–Black method was used to measure soil organic carbon (SOC) [44].
- −
- The Kjeldahl digestion method was used to determine the total nitrogen content [45].
- −
- The BaCl2-MgSO4 complexometric titration method, using EDTA (Ethylene-diamine-tetra-acetic acid) as the titrant, was used to measure the cation exchange capacity (CEC) [46].
- −
- Soil pH was measured in a 1:2.5 soil-to-water suspension.
- −
- The Bernard calcimeter method was used to determine the calcium carbonate (CaCO3) content [47].
- (i)
- EC1:5 method: 20 g of soil was mixed with deionized water at a ratio of 1:5, shaken at 150 rpm for 120 min at 25 °C, and then filtered. The electrical conductivity of the supernatant was measured using a conductivity meter.
- (ii)
- Saturated paste extract (ECe) method: 200 g of soil was gradually moistened and mixed until a saturated paste consistency was achieved, as described by [28].
2.3. Data Elaboration and Statistical Analysis
3. Results
3.1. Descriptive Analysis
| Soil Parameters * | Unit | Mean | SD | Min | Max | Range | Skewness | Kurtosis | CV% |
|---|---|---|---|---|---|---|---|---|---|
| EC1:5 | dS m−1 | 1.38 | 2.97 | 0.13 | 16.31 | 16.18 | 16.17 | 3.88 | 215.21 |
| ECe | dS m−1 | 2.59 | 2.87 | 0.35 | 16.31 | 15.96 | 12.25 | 3.18 | 110.81 |
| pH | --- | 7.39 | 0.33 | 6.44 | 8.04 | 1.60 | 0.78 | −0.32 | 4.46 |
| CaCO3 | % | 25.57 | 14.26 | 0.85 | 47.86 | 47.01 | −1.39 | −0.18 | 55.76 |
| SOC | g·Kg−1 | 33.53 | 0.73 | 0.00 | 2.86 | 2.86 | −0.46 | 0.21 | 2.18 |
| TN | g·Kg−1 | 1.17 | 0.05 | 0.03 | 0.22 | 0.19 | −0.10 | 0.73 | 4.27 |
| CEC | Cmol(+).Kg−1 | 0.11 | 9.43 | 1.88 | 50.00 | 48.12 | 0.85 | −0.10 | 8572 |
| Clay | % | 38.91 | 14.21 | 7.25 | 65.00 | 57.75 | −0.14 | −0.64 | 36.52 |
| Silt | % | 27.07 | 9.20 | 8.35 | 45.00 | 36.65 | −0.59 | −0.04 | 33.98 |
| Sand | % | 33.53 | 18.88 | 6.55 | 75.50 | 68.95 | −0.28 | 0.62 | 56.30 |
3.2. Validation of Literature-Based Pedotransfer Functions (PTFs)
3.3. Development of New PTFs
| Soil Properties | PC1 | PC2 | PC3 | PC4 | PC5 |
|---|---|---|---|---|---|
| EC 1:5 | 0.595 | 0.726 | 0.119 | 0.015 | 0.224 |
| ECe | 0.535 | 0.747 | 0.191 | 0.108 | 0.168 |
| pH | −0.169 | −0.323 | −0.003 | −0.216 | 0.885 |
| CaCO3 | 0.451 | −0.072 | −0.434 | −0.568 | −0.237 |
| Clay | 0.643 | −0.347 | −0.108 | 0.634 | 0.039 |
| Silt | 0.637 | −0.472 | −0.134 | −0.392 | 0.012 |
| Sand | −0.786 | 0.504 | 0.128 | −0.316 | −0.028 |
| SOC | −0.269 | −0.573 | 0.595 | 0.200 | −0.073 |
| CEC | 0.364 | −0.349 | 0.497 | −0.367 | 0.029 |
| TN | 0.337 | 0.113 | 0.762 | −0.196 | −0.157 |
| Variance % | 26 | 23 | 15 | 13 | 10 |
| Cumulative Variance % | 26 | 49 | 64 | 76 | 86 |
- If EC1:5 < 0.7100, then the average (ECe) = 1.5458 (std.dev = 1.0466 with 21 examples (70.00%))
- EC1:5 >= 0.71000
- ├── If EC1:5 < 8.4150, then the average (ECe) = 4.4012 (std.dev = 1.3537, with 8 examples (26.67%))
- └── If EC1:5 > 8.4150, then the average (ECe) = 11.2400 (std.dev = −99999.0000, with 1 example (3.33%))
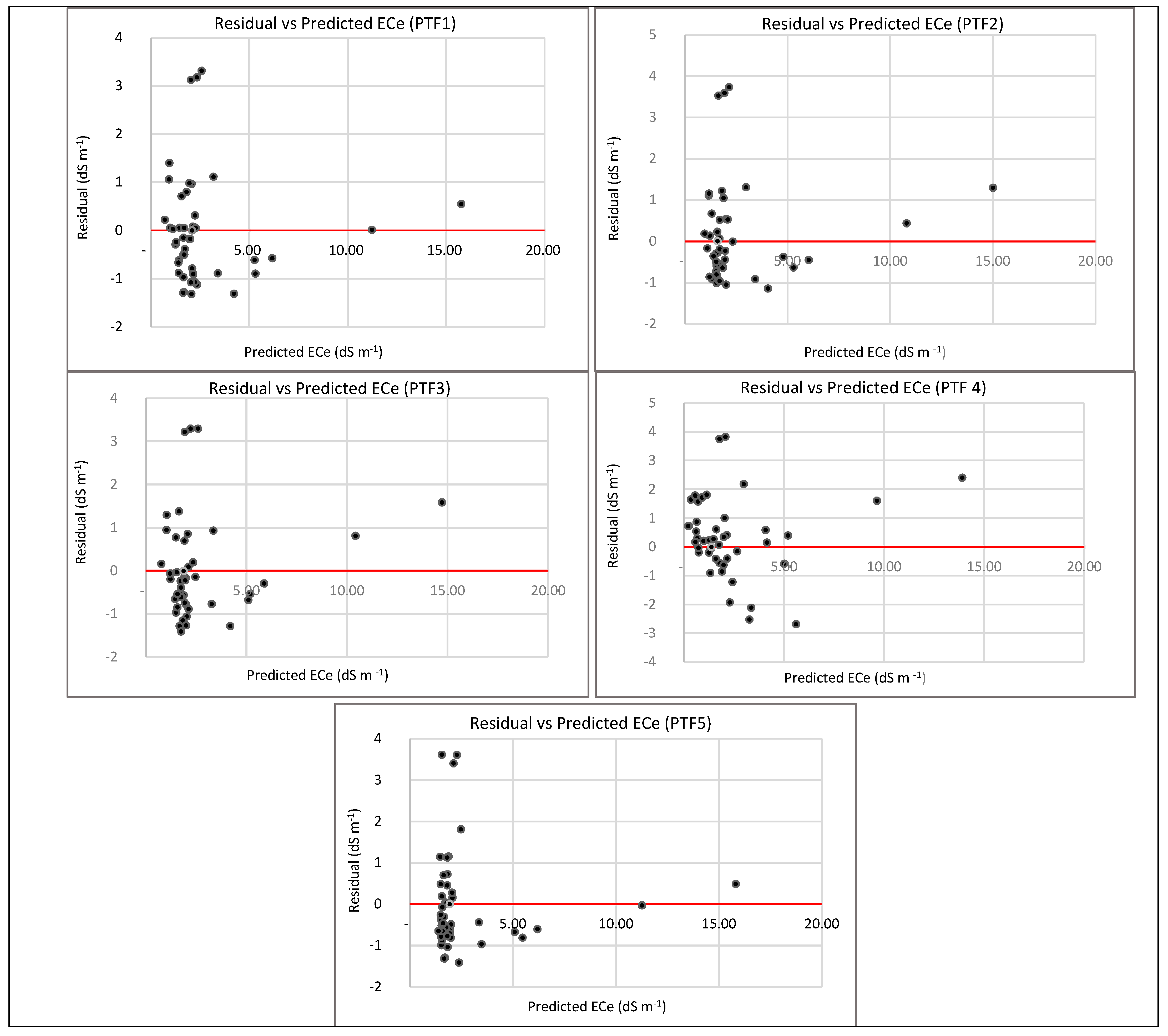
3.4. Model Performance Evaluation
4. Discussion
5. Conclusions
Author Contributions
Funding
Institutional Review Board Statement
Informed Consent Statement
Data Availability Statement
Conflicts of Interest
Abbreviations
| ECe | Electrical conductivity using a saturated paste |
| EC1:5 | Electrical conductivity using a 1:5 soil-to-water ratio |
| PTFs | Pedotransfer functions |
References
- Rhoades, J.D.; Kandiah, A.; Mashali, A.M. The Use of Saline Waters for Crop Production; FAO: Rome, Italy, 1992. [Google Scholar]
- Boudibi, S.; Sakaa, B.; Benguega, Z.; Fadlaoui, H.; Othman, T.; Bouzidi, N. Spatial prediction and modeling of soil salinity using simple cokriging, artificial neural networks, and support vector machines in El Outaya plain, Biskra, southeastern Algeria. Acta Geochim. 2021, 40, 390–408. [Google Scholar] [CrossRef]
- Nawar, S.; Corstanje, R.; Halcro, G.; Mulla, D.; Mouazen, A.M. Delineation of Soil Management Zones for Variable-Rate Fertilization: A Review. In Advances in Agronomy; Sparks, D.L., Ed.; Academic Press: Cambridge, MA, USA, 2017; Volume 143, pp. 175–245. [Google Scholar] [CrossRef]
- Butcher, K.; Wick, A.F.; DeSutter, T.; Chatterjee, A.; Harmon, J. Soil Salinity: A Threat to Global Food Security. Agron. J. 2016, 108, 2189–2200. [Google Scholar] [CrossRef]
- Shahid, S.A.; Zaman, M.; Heng, L. Soil salinity: Historical perspectives and a world overview of the problem. In Guideline for Salinity Assessment, Mitigation and Adaptation Using Nuclear and Related Techniques; Springer: Cham, Switzerland, 2018; pp. 11–32. [Google Scholar] [CrossRef]
- Eswar, D.; Karuppusamy, R.; Chellamuthu, S. Drivers of soil salinity and their correlation with climate change. Curr. Opin. Environ. Sustain. 2021, 50, 310–318. [Google Scholar] [CrossRef]
- Okur, B.; Örçen, N. Soil salinization and climate change. In Climate Change and Soil Interactions; Elsevier: Amsterdam, The Netherlands, 2020; pp. 331–350. ISBN 9780128180327. [Google Scholar]
- Poffenbarger, H.J.; Barker, D.W.; Helmers, M.J.; Miguez, F.E.; Olk, D.C.; Sawyer, J.E.; Six, J.; Castellano, M.J. Maximum soil organic carbon storage in Midwest U.S. cropping systems when crops are optimally nitrogen-fertilized. PLoS ONE 2017, 12, e0172293. [Google Scholar] [CrossRef]
- Shahariar, S.; Farrell, R.; Soolanayakanahally, R.; Bedard-Haughn, A. Elevated salinity and water table drawdown significantly affect greenhouse gas emissions in soils from contrasting land-use practices in the Prairie Pothole Region. Biogeochemistry 2021, 155, 127–146. [Google Scholar] [CrossRef]
- Ivuskin, K.; Bartholomeus, H.; Bregt, A.K.; Pulatov, A.; Kempen, B.; de Sousa, L. Global mapping of soil salinity change. Remote Sens. Environ. 2019, 231, 111260. [Google Scholar] [CrossRef]
- Shrivastava, P.; Kumar, R. Soil salinity: A serious environmental issue and plant growth promoting bacteria as one of the tools for its alleviation. Saudi J. Biol. Sci. 2015, 22, 123–131. [Google Scholar] [CrossRef] [PubMed]
- Momirović, N.; Kadović, R.; Perović, V.; Marjanović, M.; Baumgertel, A. Spatial assessment of the areas sensitive to degradation in the rural area of the municipality Čukarica. Int. Soil Water Conserv. Res. 2019, 7, 71–80. [Google Scholar] [CrossRef]
- Mohanavelu, A.; Naganna, S.R.; Al-Ansari, N. Irrigation induced salinity and sodicity hazards on soil and groundwater: An overview of its causes, impacts and mitigation strategies. Agriculture 2021, 11, 983. [Google Scholar] [CrossRef]
- Hassani, A.; Azapagic, A.; Shokri, N. Global predictions of primary soil salinization under changing climate in the 21st century. Nat. Commun. 2021, 12, 6663. [Google Scholar] [CrossRef]
- Tedeschi, A.; Schillaci, M.; Balestrini, R. Mitigating the impact of soil salinity: Recent developments and future strategies. Ital. J. Agron. 2023, 18, 2173. [Google Scholar] [CrossRef]
- Singh, A. Soil salinity: A global threat to sustainable development. Soil Use Manag. 2022, 38, 39–67. [Google Scholar] [CrossRef]
- Metternicht, G.; Zinck, J.A. Remote sensing of soil salinity: Potentials and constraints. Remote Sens. Environ. 2003, 85, 1–20. [Google Scholar] [CrossRef]
- Yensen, N.P. Halophyte uses for the twenty-first century. In Ecophysiology of High Salinity Tolerant Plants; Springer: Dordrecht, The Netherlands, 2006; pp. 367–396. [Google Scholar]
- Mandal, S.; Singh, R.D.; Patra, A.K.; Dwivedi, B.S. Changes in soil quality in response to short-term application of municipal sewage sludge in a Typic Haplustept under cowpea-wheat cropping system. Environ. Nanotechnol. Monit. Manag. 2015, 4, 37–41. [Google Scholar] [CrossRef]
- Haj-Amor, Z.; Ibrahimi, M.K.; Feki, N.; Lhomme, J.P.; Bouri, S. Soil salinisation and irrigation management of date palms in a Saharan environment. Environ. Monit. Assess. 2016, 188, 497. [Google Scholar] [CrossRef]
- Saleh, A.M.; Abd-Elwahed, M.; Metwally, Y.; Arafat, S. Capabilities of hyperspectral remote sensing data to detect soil salinity. Arab. Univ. J. Agric. Sci. 2021, 29, 943–952. [Google Scholar] [CrossRef]
- Hopmans, J.W.; Qureshi, A.S.; Kisekka, I.; Munns, R.; Grattan, S.R.; Rengasamy, P.; Ben-Gal, A.; Assouline, S.; Javaux, M.; Minhas, P.S.; et al. Chapter One—Critical knowledge gaps and research priorities in global soil salinity. In Advances in Agronomy; Sparks, D.L., Ed.; Academic Press: Cambridge, MA, USA, 2021; Volume 169. [Google Scholar]
- Qadir, M.; Quillérou, E.; Nangia, V.; Murtaza, G.; Singh, M.; Thomas, R.; Drechsel, P.; Noble, A. Economics of salt-induced land degradation and restoration. Nat. Resour. Forum 2014, 38, 282–295. [Google Scholar] [CrossRef]
- Brahim, N.; Ibrahim, H.; Jaouadi, J.; Bol, R. Impact of secondary salinization in alluvial soils on organic carbon stock: A case of the Lower Medjerda Valley in Northern Tunisia. In Recent Research on Environmental Earth Sciences, Geomorphology, Soil Science, Paleoclimate, and Karst, MedGU 2021; Springer: Cham, Switzerland, 2023. [Google Scholar] [CrossRef]
- Tomaz, A.; Palma, P.; Alvarenga, P.; Gonçalves, M.C. Soil salinity risk in a climate change scenario and its effect on crop yield. In Climate Change and Soil Interactions; Prasad, M.N.V., Pietrzykowski, M., Eds.; Elsevier: Amsterdam, The Netherlands, 2020; pp. 351–396. ISBN 9780128180327. [Google Scholar]
- Glick, B.R.; Todorovic, B.; Czarny, J.; Cheng, Z.; Duan, J.; McConkey, B. Promotion of plant growth by bacterial ACC deaminase. Crit. Rev. Plant Sci. 2007, 26, 227–242. [Google Scholar] [CrossRef]
- Nachshon, U. Cropland soil salinization and associated hydrology: Trends, processes and examples. Water 2018, 10, 1030. [Google Scholar] [CrossRef]
- Rhoades, J.D. Soluble salts. In Methods of Soil Analysis, Part 2. Chemical and Microbiological Properties, 2nd ed.; Page, A.L., Ed.; Agronomy Monograph No. 9; ASA; SSSA: Madison, WI, USA, 1982; pp. 167–179. [Google Scholar]
- Ayers, R.S.; Westcot, D.W. Water Quality for Agriculture; FAO Irrigation and Drainage Paper No. 29, Rev. 1; Food and Agriculture Organization of the United Nations: Rome, Italy, 1985. [Google Scholar]
- Liu-Khorsandi, F.; Yazdi, F.A. Estimation of saturated paste extracts’ electrical conductivity from 1:5 soil/water suspension and gypsum. Commun. Soil Sci. Plant Anal. 2011, 42, 315–321. [Google Scholar] [CrossRef]
- Schillaci, C.; Scarpa, S.; Yunta, F.; Lipani, A.; Visconti, F.; Szatmári, G.; Balog, K.; Koganti, T.; Greve, M.; Bondi, G.; et al. Corrigendum to “Empirical estimation of saturated soil-paste electrical conductivity in the EU using pedotransfer functions and Quantile Regression Forests: A mapping approach based on LUCAS topsoil data”. Geoderma 2025, 454, 117199. [Google Scholar] [CrossRef]
- Slama, F.; Gargouri-Ellouze, E.; Bouhlila, R. Impact of rainfall structure and climate change on soil and groundwater salinization. Clim. Change 2020, 163, 395–413. [Google Scholar] [CrossRef]
- Pachepsky, Y.A.; van Genuchten, M.T. Pedotransfer functions. In Encyclopedia of Agrophysics; Springer: Dordrecht, The Netherlands, 2014; pp. 556–561. [Google Scholar] [CrossRef]
- Rawls, W.J.; Brakensiek, D.L.; Saxton, K.E. Estimation of soil water properties. Trans. ASAE 1982, 25, 1316–1320. [Google Scholar] [CrossRef]
- Srimani, P.K.; Koti, M.S. Application of data mining techniques for outlier mining in medical databases. Int. J. Curr. Res. 2011, 3, 402–407. [Google Scholar]
- Hessine, R.; Ghannem, S.; Ben Mariem, S.; Bilal, E.; Kanzari, S. Establishing the first database of soil hydraulic properties in Tunisia based on pedotransfer functions. Carpathian J. Earth Environ. Sci. 2024, 19, 61–72. [Google Scholar] [CrossRef]
- FAO. Rapport de Synthèse par Pays. Tunisie, 30 May 2024. Available online: https://www.fao.org/giews/countrybrief/country.jsp?code=TUN (accessed on 19 November 2024).
- Brahim, N.; Bernoux, M.; Gallali, T. Pedotransfer functions to estimate soil bulk density for Northern Africa: Tunisia case. J. Arid. Environ. 2012, 81, 77–83. [Google Scholar] [CrossRef]
- DGRE (Direction Générale des Ressources en Eau). Annuaire Hydrologique de la Tunisie; Ministère de l’Agriculture: Tunis, Tunisia, 2021.
- CRDA Manouba. Atlas du Gouvernorat de Manouba; Commissariat Régional au Développement Agricole: Manouba, Tunisia, 2019.
- Smaali, H. Une alternative cartographique pour l’évaluation des performances de la gestion collective de l’irrigation: Le cas des GDA du gouvernorat de la Manouba (Nord-Est de la Tunisie). Geo-Eco-Trop 2021, 45, 681–698. Available online: https://www.geoecotrop.be/uploads/publications/pub_454_13.pdf (accessed on 1 August 2025).
- Boutib, L. Disposition et Géométrie des plis de l’Atlas Centro-Méridional de Tunisie: Découpage et Cisaillement en Lanières Tectoniques. Ph.D. Thesis, Université Tunis, Tunis, Tunisia, 1998; 326p. [Google Scholar]
- Day, P.R. Physical basis of particle-size analysis by the hydrometer method. Soil Sci. 1950, 70, 363–374. [Google Scholar] [CrossRef]
- Walkley, A.; Black, I.A. An examination of the Degtjareff method for determining soil organic matter, and a proposed modification of the chromic acid titration method. Soil Sci. 1934, 37, 29–38. [Google Scholar] [CrossRef]
- Lu, R.K. Analysis Method of Soil Agricultural Chemistry; China Agricultural Science and Technology Press: Beijing, China, 2000. [Google Scholar]
- Metson, A.J. Methods of chemical analysis for soil survey samples. Soil Sci. 1957, 83, 245. [Google Scholar] [CrossRef]
- FAO. Standard Operating Procedure for Soil Calcium Carbonate Equivalent—Volumetric Calcimeter Method; Global Soil Laboratory Network (GLOSOLAN), FAO: Rome, Italy, 2020; Available online: https://www.fao.org/3/ca8620en/ca8620en.pdf (accessed on 7 September 2025).
- Calzolari, C.; Ungaro, F. Analisi e Valutazione dei dati di Salinità in Relazione al Metodo di Misura di Laboratorio e di Campagna e alla Definizione di Funzioni di Trasferimento per la Stima della Densità Apparente dei suoli a Tessitura Grossolana; Rapporto 1.3, CNR IRPI, Unità Operativa di Sesto Fiorentino—Pedologia Applicata: Firenze, Italy, 2011. (In Italian) [Google Scholar]
- Kargas, G.; Chatzigiakoumis, I.; Kollias, A.; Spiliotis, D.; Massas, I.; Kerkides, P. Soil salinity assessment using saturated paste and mass soil:water 1:1 and 1:5 ratios extracts. Water 2018, 10, 1589. [Google Scholar] [CrossRef]
- Ahmed, A.; Yamamoto, T.; Bakheit, C.; Cookson, P. Soil salinity assessment by some destructive and non-destructive methods in calcareous soils. Jpn. Soc. Soil Phys. 2006, 104, 27–40. [Google Scholar]
- Contreras, C.P.; Bonilla, C.A. A comprehensive evaluation of pedotransfer functions for predicting soil water content in environmental modeling and ecosystem management. Sci. Total Environ. 2018, 644, 1580–1590. [Google Scholar] [CrossRef] [PubMed]
- Zhou, M.; Li, Y. Digital mapping and scenario prediction of soil salinity in coastal lands based on multi-source data combined with machine learning algorithms. Remote Sens. 2024, 16, 2681. [Google Scholar] [CrossRef]
- Zounemat-Kermani, M.; Scholz, M. Modeling of dissolved oxygen applying stepwise regression and a template-based fuzzy logic system. J. Environ. Eng. 2014, 140, 69–76. [Google Scholar] [CrossRef]
- Zounemat-Kermani, M.; Ramezani-Charmahineh, A.; Razavi, R.; Alizamir, M.; Ouarda, T.B. Machine learning and water economy: A new approach to predicting dams water sales revenue. Water Resour. Manag. 2020, 34, 1893–1911. [Google Scholar] [CrossRef]
- Beniaich, A.; Otten, W.; Shin, H.-C.; Cooper, H.V.; Rickson, J.; Soulaimani, A.; El Gharous, M. Evaluation of pedotransfer functions to estimate some soil hydraulic characteristics in North Africa: A case study from Morocco. Front. Environ. Sci. 2023, 11, 1090688. [Google Scholar] [CrossRef]
- Zhou, Y.; Chen, S.; Hu, B.; Ji, W.; Li, S.; Hong, Y.; Xu, H.; Wang, N.; Xue, J.; Zhang, X.; et al. Global soil salinity prediction by open soil Vis-NIR spectral library. Remote Sens. 2022, 14, 5627. [Google Scholar] [CrossRef]
- Abdelfattah, M.A.; Shahid, S.A. A comparative characterization and classification of soils in Abu Dhabi coastal area in relation to arid and semi-arid conditions using USDA and FAO soil classification systems. Arid. Land Res. Manag. 2007, 21, 245–271. [Google Scholar] [CrossRef]
- Al Qasmi, A.S.; Ibrahim, M.; Al-Quraishi, A.M.F.; Saibi, H.; AlFugara, A.; Kaplan, G. Detection and modeling of soil salinity variations in arid lands using remote sensing data: A case study from Abu Dhabi. Open Geosci. 2020, 12, 443–453. [Google Scholar] [CrossRef]
- El Bahjaouy, K.; Barakat, A.; Oussilkane, A.; El Mandour, A.; El Halouani, H. Spatial mapping of soil salinity in a semiarid region using a machine learning model based on spectral indices and ground data. Model. Earth Syst. Environ. 2025, 11, 257. [Google Scholar] [CrossRef]
- Ouzemou, J.-E.; Laamrani, A.; El Battay, A.; Whalen, J.K. Predicting soil salinity based on soil/water extracts in a semi-arid region of Morocco. Soil Syst. 2025, 9, 3. [Google Scholar] [CrossRef]
- Wang, Z.; Chen, S.; Lu, R.; Zhang, X.; Ma, Y.; Shi, Z. Non-linear memory-based learning for predicting soil properties using a regional Vis-NIR spectral library. Geoderma 2024, 435, 116752. [Google Scholar] [CrossRef]
- Qadir, M.; Oster, J.D.; Schubert, S.; Noble, A.D.; Sahrawat, K.L. Phytoremediation of sodic and saline-sodic soils. Adv. Agron. 2007, 96, 197–247. [Google Scholar]




| PTF | Soil Covariates | Equation | R2 Value |
|---|---|---|---|
| PTF1 Multiple linear regression | EC1:5−pH CEC−Clay CaCO3−SOC TN | ECe = 8.58 + (0.90) × EC1:5 + (0.0047) × CEC + (−0.916) × pH + (−0.002) × Clay + (0.020) × CaCO3 + (0.14) × SOC + (−1.10) × TN | 0.85 |
| PTF2 Stepwise linear regression | EC1:5−pH | ECe = 7.63 + (0.83) × EC1:5 + (−0.85) × pH | 0.83 |
| PTF3 Multiple linear regression | EC1:5−pH CEC−Clay–Silt–Sand CaCO3−SOC TN | ECe = −0.34 + (0.86) × EC1:5 + (0.003) × CEC + (−0.96) × pH + (−0.019) × CaCO3 + (0.089) × Clay + (0.098) × Silt + (0.091) × Sand + (0.07) × SOC + (−0.70) × TN | 0.81 |
| PTF4 Lasso and Ridge regression | EC1:5−pH CEC−Clay CaCO3−SOC TN | ECe = 15.39 + (0.76) × EC1:5 + (0.002) × CEC + (−1.58) × pH + (−0.04) × CaCO3 + (−0.04) × Clay + (−0.23) × SOC + (2.62) × TN | 0.89 |
| PTF5 Multiple linear regression | EC1:5−pH CEC−SOC TN | ECe = 1.226 + (0.905) × EC1:5 + (−0.005) × CEC + (0.220) × SOC + (−0.105) × TN | 0.83 |
Disclaimer/Publisher’s Note: The statements, opinions and data contained in all publications are solely those of the individual author(s) and contributor(s) and not of MDPI and/or the editor(s). MDPI and/or the editor(s) disclaim responsibility for any injury to people or property resulting from any ideas, methods, instructions or products referred to in the content. |
© 2025 by the authors. Licensee MDPI, Basel, Switzerland. This article is an open access article distributed under the terms and conditions of the Creative Commons Attribution (CC BY) license (https://creativecommons.org/licenses/by/4.0/).
Share and Cite
Hmidi, O.; Srarfi, F.; Brahim, N.; Bambina, P.; Lo Papa, G. Predicting Soil Electrical Conductivity of Saturated Paste Extract Using Pedotransfer Functions in Northeastern Tunisia. Sustainability 2025, 17, 9177. https://doi.org/10.3390/su17209177
Hmidi O, Srarfi F, Brahim N, Bambina P, Lo Papa G. Predicting Soil Electrical Conductivity of Saturated Paste Extract Using Pedotransfer Functions in Northeastern Tunisia. Sustainability. 2025; 17(20):9177. https://doi.org/10.3390/su17209177
Chicago/Turabian StyleHmidi, Oumayma, Feyda Srarfi, Nadhem Brahim, Paola Bambina, and Giuseppe Lo Papa. 2025. "Predicting Soil Electrical Conductivity of Saturated Paste Extract Using Pedotransfer Functions in Northeastern Tunisia" Sustainability 17, no. 20: 9177. https://doi.org/10.3390/su17209177
APA StyleHmidi, O., Srarfi, F., Brahim, N., Bambina, P., & Lo Papa, G. (2025). Predicting Soil Electrical Conductivity of Saturated Paste Extract Using Pedotransfer Functions in Northeastern Tunisia. Sustainability, 17(20), 9177. https://doi.org/10.3390/su17209177

