Sign in to use this feature.

Years

Between: -

Subjects

remove_circle_outline
remove_circle_outline
remove_circle_outline
remove_circle_outline
remove_circle_outline
remove_circle_outline
remove_circle_outline
remove_circle_outline
remove_circle_outline

Journals

Article Types

Countries / Regions

Search Results (76)

Search Parameters:
Keywords = pedotransfer functions

Order results
Result details
Results per page
Select all
Export citation of selected articles as:
18 pages, 4486 KB  
Article
Estimating Soil Hydraulic Properties Using Random Forest Pedotransfer Functions and SoilGrids Data in Mexico
by Victor M. Rodríguez-Moreno, Josué Delgado-Balbuena, Teresa Alfaro Reyna, César Valenzuela-Solano and Nuria A. López-Hernández
Earth 2026, 7(1), 10; https://doi.org/10.3390/earth7010010 - 19 Jan 2026
Viewed by 134
Abstract
Field capacity (FC) and permanent wilting point (PWP) thresholds are critical parameters in climate-smart agriculture because they directly relate to soil water availability, which is essential for optimizing water use, improving crop yields, and ensuring resilience against climate variability. Using the continuous mosaic [...] Read more.
Field capacity (FC) and permanent wilting point (PWP) thresholds are critical parameters in climate-smart agriculture because they directly relate to soil water availability, which is essential for optimizing water use, improving crop yields, and ensuring resilience against climate variability. Using the continuous mosaic of SoilGrids data, pedotransfer functions based on bulk density, clay content, and sand content were applied to estimate the threshold values of FC and PWP across Mexico utilizing random forest (RF) algorithms. The selection of these parameters was based on their positive contribution to the model’s prediction: bulk density (0.51), clay content (0.21), and sand content (0.16). Soil organic carbon (SOC) contributed negatively; this negative importance score warrants careful interpretation. The 30–60 cm depth was chosen based on the assumption that it is reasonably uniform across other depths and lies below the highly variable surface horizon, which is strongly influenced by management practices and organic matter dynamics. Here we address key technical and scientific critiques regarding the use of SoilGrids for generating FC and PWP data. Additionally, the relevant role of FC and PWP thresholds in the context of climate-smart agriculture is highlighted, from the calculation of available soil water to their role in achieving sustainable development goals. Full article
Show Figures

Figure 1

23 pages, 5602 KB  
Article
Effects of Soil Structure Degradation and Rainfall Patterns on Red Clay Slope Stability: Insights from a Combined Field-Laboratory-Numerical Study in Yunnan Province
by Jianbo Xu, Shibing Huang, Jiawei Zhai, Yanzi Sun, Hao Li, Jianjun Song, Ping Jiang and Yi Luo
Buildings 2026, 16(2), 389; https://doi.org/10.3390/buildings16020389 - 17 Jan 2026
Viewed by 227
Abstract
Rainfall-induced failures in red clay slopes are common, yet the coupled influence of soil structure degradation and rainfall temporal patterns on slope hydromechanical behavior remains poorly understood. This study advances the understanding by investigating a cut slope failure in Yunnan through integrated field [...] Read more.
Rainfall-induced failures in red clay slopes are common, yet the coupled influence of soil structure degradation and rainfall temporal patterns on slope hydromechanical behavior remains poorly understood. This study advances the understanding by investigating a cut slope failure in Yunnan through integrated field monitoring, laboratory testing, and numerical modeling. Key advancements include: (1) elucidating the coupled effect of structure degradation on both shear strength reduction and hydraulic conductivity alteration; (2) systematically quantifying the impact of rainfall temporal patterns beyond total rainfall; and (3) providing a mechanistic explanation for the critical role of early-peak rainfall. Mechanical and hydrological parameters were obtained from intact and remolded samples, with soil-water retention estimated via pedotransfer functions. A hydro-mechanical finite element model of the slope was constructed and calibrated using recorded rainfall, displacement data and failure surface. Six simulation scenarios were designed by combining three strength conditions (intact at natural water content, intact at saturation, remolded at natural water content) with two hydraulic conductivity values (intact vs. remolded). Additionally, four synthetic rainfall patterns, including uniform, peak-increasing, peak-decaying and bell-shaped rainfall, were simulated to evaluate their influence on pore water pressure development and slope stability. Results show remolding reduced hydraulic conductivity 4.7-fold, slowing wetting front advance and increasing shallow pore water pressure. Intact soil facilitated deeper drainage, elevating pressure near the soil-rock interface. Strength reduction induced by structure degradation (water saturating and remolding) enlarged the slope deformation zone by 1.5 times under same hydraulic conductivity. Simulations using saturated intact strength best matched field observations. The results from this specific slope indicate that strength parameters primarily control stability, while permeability affects deformation depth. Simulations considering different rainfall patterns indicate that slope stability depends more critically on the temporal distribution of rainfall intensity than on the total amount. Overall, peak-decaying rainfall led to the most rapid rise in pore water pressure, earliest instability and lowest failure rainfall threshold, whereas peak-increasing rainfall showed the opposite trends. Our findings outline a practical framework for assessing red clay slope stability during rainfall. This framework recommends using saturated intact strength parameters in stability analysis. It highlights the important influence of rainfall temporal patterns, especially those with an early peak, on failure timing and rainfall threshold. Full article
(This article belongs to the Section Building Energy, Physics, Environment, and Systems)
Show Figures

Figure 1

21 pages, 1731 KB  
Article
Hydrodynamic Parameter Estimation for Simulating Soil-Vegetation-Atmosphere Hydrology Across Forest Stands in the Strengbach Catchment
by Benjamin Belfort, Aya Alzein, Solenn Cotel, Anthony Julien and Sylvain Weill
Hydrology 2026, 13(1), 11; https://doi.org/10.3390/hydrology13010011 - 24 Dec 2025
Viewed by 364
Abstract
Modeling the water cycle in the critical zone requires understanding interactions between the soil–vegetation–atmosphere compartments. Mechanistic modeling of soil water flow relies on the accurate determination of hydrodynamic parameters that control hydraulic conductivity and water retention curves. These parameters can be derived either [...] Read more.
Modeling the water cycle in the critical zone requires understanding interactions between the soil–vegetation–atmosphere compartments. Mechanistic modeling of soil water flow relies on the accurate determination of hydrodynamic parameters that control hydraulic conductivity and water retention curves. These parameters can be derived either using pedotransfer functions (PTFs), using soil properties obtained from field samples, or through inverse modeling, which allows the parameters to be adjusted to minimize differences between simulations and observations. While PTFs are widely used due to their simplicity, inverse modeling requires specific instrumentation and advanced numerical tools. This study, conducted at the Hydro-Geochemical Environmental Observatory (Strengbach forested catchment) in France, aims to determine the optimal hydrodynamic parameters for two contrasting forest plots, one dominated by spruce and the other by beech. The methodology integrates granulometric data across multiple soil layers to estimate soil parameters using PTFs (Rosetta). Water content and conductivity data were then corrected to account for soil stoniness, improving the KGE and NSE metrics. Finally, inverse parameter estimation based on water content measurements allowed for refinement of the evaluation of α, Ks, and n. This framework to estimate soil parameter was applied on different time periods to investigate the influence of the calibration chronicles on the estimated parameters. Results indicate that our methodology is efficient and that the optimal calibration period does not correspond to one with the most severe drought conditions; instead, a balanced time series including both wet and dry phases is preferable. Our findings also emphasize that KGE and NSE must be interpreted with caution, and that long simulation periods are essential for evaluating parameter robustness. Full article
(This article belongs to the Section Hydrological and Hydrodynamic Processes and Modelling)
Show Figures

Figure 1

18 pages, 1077 KB  
Article
Predicting Soil Electrical Conductivity of Saturated Paste Extract Using Pedotransfer Functions in Northeastern Tunisia
by Oumayma Hmidi, Feyda Srarfi, Nadhem Brahim, Paola Bambina and Giuseppe Lo Papa
Sustainability 2025, 17(20), 9177; https://doi.org/10.3390/su17209177 - 16 Oct 2025
Cited by 1 | Viewed by 720
Abstract
Soil electrical conductivity is a key indicator of soil salinity and sustainability, particularly in arid and semi-arid regions. Accurate estimation of EC is essential for managing soil salinity and ensuring crop productivity. Five pedotransfer functions (PTFs) were developed and evaluated for predicting electrical [...] Read more.
Soil electrical conductivity is a key indicator of soil salinity and sustainability, particularly in arid and semi-arid regions. Accurate estimation of EC is essential for managing soil salinity and ensuring crop productivity. Five pedotransfer functions (PTFs) were developed and evaluated for predicting electrical conductivity in a saturated paste extract using soil parameters, such as particle size analysis, pH, organic carbon, total nitrogen, cation exchange capacity, and electrical conductivity in a 1:5 soil-to-water extract, in agricultural soils of northern Tunisia. The accuracy of each PTF was systematically evaluated. PTF1 represented an R2 value of 0.85, PTF2 showed an R2 of 0.71 for the stepwise regression model, PTF3 achieved an R2 of 0.84, PTF4, based on Lasso/Ridge regression, reached an R2 of 0.89, and PTF5 reached an R2 of 0.83. Our findings revealed regional variations in soil salinity, with certain areas showing elevated salinity levels that could affect agricultural sustainability. This research emphasizes the importance of developing ad hoc PTFs as a reliable tool for predicting soil salinity and, consequently, assuring sustainable soil management in northeastern Tunisia. Full article
Show Figures

Figure 1

32 pages, 15216 KB  
Article
Leveraging Soil Geography for Land Use Planning: Assessing and Mapping Soil Ecosystem Services Indicators in Emilia-Romagna, NE Italy
by Fabrizio Ungaro, Paola Tarocco and Costanza Calzolari
Geographies 2025, 5(3), 39; https://doi.org/10.3390/geographies5030039 - 1 Aug 2025
Cited by 1 | Viewed by 1626
Abstract
An indicator-based approach was implemented to assess the contributions of soils in supplying ecosystem services, providing a scalable tool for modeling the spatial heterogeneity of soil functions at regional and local scales. The method consisted of (i) the definition of soil-based ecosystem services [...] Read more.
An indicator-based approach was implemented to assess the contributions of soils in supplying ecosystem services, providing a scalable tool for modeling the spatial heterogeneity of soil functions at regional and local scales. The method consisted of (i) the definition of soil-based ecosystem services (SESs), using available point data and thematic maps; (ii) the definition of appropriate SES indicators; (iii) the assessment and mapping of potential SESs provision for the Emilia-Romagna region (22.510 km2) in NE Italy. Depending on data availability and on the role played by terrain features and soil geography and its complexity, maps of basic soil characteristics (textural fractions, organic C content, and pH) covering the entire regional territory were produced at a 1 ha resolution using digital soil mapping techniques and geostatistical simulations to explicitly consider spatial variability. Soil physical properties such as bulk density, porosity, and hydraulic conductivity at saturation were derived using pedotransfer functions calibrated using local data and integrated with supplementary information such as land capability and remote sensing indices to derive the inputs for SES assessment. Eight SESs were mapped at 1:50,000 reference scale: buffering capacity, carbon sequestration, erosion control, food provision, biomass provision, water regulation, water storage, and habitat for soil biodiversity. The results are discussed and compared for the different pedolandscapes, identifying clear spatial patterns of soil functions and potential SES supply. Full article
Show Figures

Figure 1

19 pages, 3867 KB  
Article
A Comparative Analysis of Machine Learning and Pedotransfer Functions Under Varying Data Availability in Two Greek Regions
by Panagiotis Tziachris, Panagiota Louka, Eirini Metaxa, Miltiadis Iatrou and Konstantinos Tsiouplakis
Agriculture 2025, 15(11), 1134; https://doi.org/10.3390/agriculture15111134 - 24 May 2025
Viewed by 944
Abstract
The current study evaluates the performance of pedotransfer functions (PTFs) and machine learning (ML) algorithms in predicting the soil bulk density (BD) across two distinct regions in Greece—Kozani and Veroia—using both limited and extended sets of soil parameters. The results reveal significant regional [...] Read more.
The current study evaluates the performance of pedotransfer functions (PTFs) and machine learning (ML) algorithms in predicting the soil bulk density (BD) across two distinct regions in Greece—Kozani and Veroia—using both limited and extended sets of soil parameters. The results reveal significant regional differences in prediction accuracy. In the full dataset scenario, Veroia consistently exhibits superior predictive performance across all models (PDF RMSE: 0.104, ML RMSE: 0.095) compared to Kozani (PDF RMSE: 0.133, ML RMSE: 0.122). Generally, ML models outperform PTFs in terms of the RMSE and MAE in both regions with the full dataset. However, PTFs occasionally demonstrate higher R2 values (Veroia PTF R2: 0.35 vs. ML R2: 0.28), suggesting a better explanation of the overall variance despite larger errors. Notably, the effectiveness of ML appears to be affected by the availability of data. In Kozani, when restricted to basic soil properties, ML’s performance (RMSE: 0.129, R2: 0.16) becomes similar to that of PTFs (RMSE: 0.133, R2: 0.16). However, incorporating the full dataset substantially enhances ML’s predictive power (RMSE: 0.122, R2: 0.26). Conversely, in Veroia, the inclusion of more variables paradoxically results in a slight decline in ML performance (ML_min RMSE: 0.093, R2: 0.31 vs. ML RMSE: 0.095, R2: 0.28). These contrasting results emphasize the need for context-specific modeling strategies, careful feature selection, and caution against the assumption that more data or complexity inherently improves the predictive performance. Full article
(This article belongs to the Section Agricultural Soils)
Show Figures

Figure 1

27 pages, 27471 KB  
Article
A Novel Method for Estimating Soil Organic Carbon Density Using Soil Organic Carbon and Gravel Content Data
by Jiawen Fan, Guanghui Zheng, Caixia Jiao, Rong Zeng, Yujie Zhou, Yan Wang, Mingxing Xu and Chengyi Zhao
Sustainability 2025, 17(8), 3533; https://doi.org/10.3390/su17083533 - 15 Apr 2025
Cited by 2 | Viewed by 2259
Abstract
Soil organic carbon density (SOCD) is crucial for assessing soil organic carbon (SOC) storage, but its estimation remains challenging when bulk density (BD) data are unavailable. Traditional methods for substituting missing BD data, including using the mean, median, and pedotransfer functions (PTFs), introduce [...] Read more.
Soil organic carbon density (SOCD) is crucial for assessing soil organic carbon (SOC) storage, but its estimation remains challenging when bulk density (BD) data are unavailable. Traditional methods for substituting missing BD data, including using the mean, median, and pedotransfer functions (PTFs), introduce varying degrees of uncertainty in SOCD estimation: (1) The mean and median methods ignore the effects of soil type, environmental conditions, and land use changes on BD. They also heavily rely on the representativeness of soil samples, which may lead to systematic bias. (2) The accuracy of PTFs depends on modeling approaches, variable selection, and dataset characteristics, and differences among PTFs may introduce estimation biases in SOCD. To overcome this challenge, we analyzed 443 soil profiles from the Yangtze River Delta region of China and developed an innovative approach that estimates SOCD using only SOC and gravel content data. By formulating linear, polynomial, and power function regression models, we directly estimated SOCD per centimeter of soil horizon i (SOCDicm) under conditions with and without available gravel content data, followed by SOCD calculation. The results indicated a strong correlation between SOC and SOCDicm, with the three function models for direct SOC-based SOCDicm estimation yielding consistently high accuracy. Neglecting gravel content overall resulted in the overestimation of SOCDicm by 7.01–9.45%. After incorporating gravel content as a correction factor, the accuracy of the new method for estimating SOCD was improved, with the prediction set achieving R² values of 0.927–0.945, an RMSE of 0.819–0.949 kg m−2, and an RPIQ of 4.773–5.533. The accuracy of estimating SOCD surpassed that of the BD mean and median methods and was comparable to that of the PTF method, thus enabling reliable SOCD estimation. This study introduces an innovative approach by developing regional models to estimate SOCDicm, enabling rapid SOCD estimation for samples with missing BD information in historical data, and provides a new methodology for calculating regional and global SOC stocks. This study contributes to improving the accuracy of soil carbon stock estimation, supporting land management and carbon cycle research, and providing scientific evidence for sustainable agricultural development and climate change mitigation strategies. Full article
Show Figures

Figure 1

26 pages, 29644 KB  
Article
From Fertile Grounds to Sealed Fields: Assessing and Mapping Soil Ecosystem Services in Forlì’s Urban Landscape (NE Italy)
by Fabrizio Ungaro, Paola Tarocco, Alessandra Aprea, Stefano Bazzocchi and Costanza Calzolari
Land 2025, 14(4), 719; https://doi.org/10.3390/land14040719 - 27 Mar 2025
Viewed by 875
Abstract
Between 2022 and 2023, the urban soils of Forlì (NE Italy) were surveyed, sampled, analyzed, and mapped over an area of ca. 5700 ha, of which 2820 were sealed. The outcomes of the survey allowed the integration of the existing knowledge about soil [...] Read more.
Between 2022 and 2023, the urban soils of Forlì (NE Italy) were surveyed, sampled, analyzed, and mapped over an area of ca. 5700 ha, of which 2820 were sealed. The outcomes of the survey allowed the integration of the existing knowledge about soil and land use with the urban plan and provided the basis to produce a 1:10,000 map of urban soils along with their land capability and an updated 1:50,000 soil map of the municipality. Soil data (textural fractions, pH, organic carbon content) were interpolated over the entire case study area, providing the inputs for locally calibrated pedotransfer functions whose outputs were used to assess a set of seven indicators for the potential supply of soil ecosystem services (SESs): soil biodiversity, buffer capacity, carbon storage, agricultural production, biomass production, water regulation, and water storage. Maps of the seven ecosystem services on a hybrid resolution grid of 25 and 100 m were complemented with an overall urban soil quality map based on the combinations of four different SES indicators. Results show that for several services, hotspots occur not only in the peri-urban agricultural areas but also in unsealed soils within the urban fabric, and that different soils provide high-quality services in diverse constellations depending on the soil characteristics, age and extent of disturbance and degree of sealing. Full article
(This article belongs to the Special Issue Dynamics of Urbanization and Ecosystem Services Provision II)
Show Figures

Figure 1

29 pages, 8412 KB  
Article
Sensitivity Analysis of Soil Hydraulic Parameters for Improved Flow Predictions in an Atlantic Forest Watershed Using the MOHID-Land Platform
by Dhiego da Silva Sales, Jader Lugon Junior, David de Andrade Costa, Renata Silva Barreto Sales, Ramiro Joaquim Neves and Antonio José da Silva Neto
Eng 2025, 6(4), 65; https://doi.org/10.3390/eng6040065 - 27 Mar 2025
Cited by 3 | Viewed by 2018
Abstract
Soil controls water distribution, which is crucial for accurate hydrological modeling. MOHID-Land is a physically based, spatially distributed model that uses van Genuchten–Mualem (VGM) functions to calculate water content in porous media. The hydraulic soil parameters of VGM are dependent on soil type [...] Read more.
Soil controls water distribution, which is crucial for accurate hydrological modeling. MOHID-Land is a physically based, spatially distributed model that uses van Genuchten–Mualem (VGM) functions to calculate water content in porous media. The hydraulic soil parameters of VGM are dependent on soil type and are typically estimated from experimental data; however, they are often obtained using pedotransfer functions, which carry significant uncertainty. As a result, calibration is frequently required to account for both the natural spatial variability of soil and uncertainties estimation. This study focuses on a representative Atlantic Forest watershed. It assesses the sensitivity of channel flow to VGM parameters using a mathematical approach based on residuals derivative, aimed at enhancing soil calibration efficiency for MOHID-Land. The model’s performance significantly improved following calibration, considering only five parameters. The NSE improved from 0.16 on the base simulation to 0.53 after calibration. A sensitivity analysis indicated the curve adjustment parameter (n) as the most sensitive parameter, followed by saturated water content (θs) considering the 10% variation. Additionally, a combined change in θs, n, residual water content (θr), curve adjustment parameter (α), and saturated conductivity (Ksat) values by 10% significantly improves the model’s performance, by reducing channel flow peaks and increasing baseflow. Full article
(This article belongs to the Special Issue Interdisciplinary Insights in Engineering Research)
Show Figures

Figure 1

22 pages, 2412 KB  
Article
Evaluating Modified Soil Erodibility Factors with the Aid of Pedotransfer Functions and Dynamic Remote-Sensing Data for Soil Health Management
by Pooja Preetha and Naveen Joseph
Land 2025, 14(3), 657; https://doi.org/10.3390/land14030657 - 20 Mar 2025
Cited by 3 | Viewed by 1214
Abstract
Soil erosion is a critical factor impacting soil health and agricultural productivity, with soil erodibility often quantified using the K-factor in erosion models such as the universal soil loss equation (USLE). Traditional K-factor estimation lacks spatiotemporal precision, particularly under varying soil moisture and [...] Read more.
Soil erosion is a critical factor impacting soil health and agricultural productivity, with soil erodibility often quantified using the K-factor in erosion models such as the universal soil loss equation (USLE). Traditional K-factor estimation lacks spatiotemporal precision, particularly under varying soil moisture and land cover conditions. This study introduces modified K-factor pedotransfer functions (Kmlr) integrating dynamic remotely sensed data on land use land cover to enhance K-factor accuracy for diverse soil health management applications. The Kmlr functions from multiple approaches, including dynamic crop and cover management factor (Cdynamic), high resolution satellite data, and downscaled remotely sensed data, were evaluated across spatial and temporal scales within the Fish River watershed in Alabama, a coastal watershed with significant soil–water interactions. The results highlighted that the Kmlr model provided more accurate sediment yield (SY) predictions, particularly in agricultural areas, where traditional models overestimated erosion by upto 59.23 ton/ha. SY analysis across the 36 hydrological response units (HRUs) in the watershed showed that the Kmlr model captured more accurate soil loss estimates, especially in regions with varying land use. The modified K-factor model (Kmlr-c) using Cdynamic and high-resolution soil surface moisture data outperformed the traditional USLE K-factors in predicting SY, with a strong correlation to observed SY data (R² = 0.980 versus R² = 0.911). The total sediment yield predicted by Kmlr-c (525.11 ton/ha) was notably lower than that of USLE-based estimates (828.62 ton/ha), highlighting the overestimation in conventional models. The identification of erosive hotspots revealed that 6003 ha of land was at high erosion risk (K-factor > 0.25), with an average soil loss of 24.2 ton/ha. The categorization of erosive hotspots highlighted critical areas at high risk for erosion, underscoring the need for targeted soil conservation practices. This research underscores the improvement of remotely sensed data-based models and perfects them for the application of soil erodibility assessments thus promoting the development of such models. Full article
Show Figures

Figure 1

24 pages, 10495 KB  
Article
Dependence of Soil Moisture and Strength on Topography and Vegetation Varies Within a SMAP Grid Cell
by Joseph R. Bindner, Holly Proulx, Kevin Wickham, Jeffrey D. Niemann, Joseph Scalia, Timothy R. Green and Peter J. Grazaitis
Hydrology 2025, 12(2), 34; https://doi.org/10.3390/hydrology12020034 - 15 Feb 2025
Cited by 1 | Viewed by 1349
Abstract
Off-road vehicle mobility assessments rely on fine-resolution (~10 m) estimates of soil moisture and strength across the region of interest. Such estimates are often produced by downscaling soil moisture from a microwave satellite like SMAP, then using the soil moisture in a soil [...] Read more.
Off-road vehicle mobility assessments rely on fine-resolution (~10 m) estimates of soil moisture and strength across the region of interest. Such estimates are often produced by downscaling soil moisture from a microwave satellite like SMAP, then using the soil moisture in a soil strength model. Soil moisture downscaling methods typically assume consistent relationships between the moisture and topographic, vegetation, and soil composition characteristics within the microwave satellite grid cells. The objective of this study is to examine whether soil moisture and strength exhibit heterogenous dependencies on topography, vegetation, and soil composition characteristics within a SMAP grid cell. Soil moisture and strength data were collected at four geographically separated regions within a 9 km SMAP grid cell in the Front Range foothills of northern Colorado. Laboratory methods and pedotransfer functions were used to characterize soil attributes, and remote sensing data were used to determine topographic and vegetation attributes. Pearson correlation analyses were used to quantify the direction, strength, and significance of the relationships of both soil moisture and strength with topography, vegetation, and soil composition. Contrary to the common assumption, spatial variations in the slope and correlation of the relationships are observed for both soil moisture and strength. The findings indicate that improved predictions of soil moisture and soil strength may be achievable by soil moisture downscaling procedures that use spatially variable parameters across the downscaling extent. Full article
(This article belongs to the Section Soil and Hydrology)
Show Figures

Figure 1

25 pages, 9665 KB  
Article
Simulating Soil Moisture Dynamics in a Diversified Cropping System Under Heterogeneous Soil Conditions
by Anna Maria Engels, Thomas Gaiser, Frank Ewert, Kathrin Grahmann and Ixchel Hernández-Ochoa
Agronomy 2025, 15(2), 407; https://doi.org/10.3390/agronomy15020407 - 6 Feb 2025
Cited by 3 | Viewed by 3597
Abstract
Agro-ecosystem models are useful tools to assess crop diversification strategies or management adaptations to within-field heterogeneities, but require proper simulation of soil water dynamics, which are crucial for crop growth. To simulate these, the model requires soil hydraulic parameter inputs which are often [...] Read more.
Agro-ecosystem models are useful tools to assess crop diversification strategies or management adaptations to within-field heterogeneities, but require proper simulation of soil water dynamics, which are crucial for crop growth. To simulate these, the model requires soil hydraulic parameter inputs which are often derived using pedotransfer functions (PTFs). Various PTFs are available and show varying performance; therefore, in this study, we calibrated and validated an agro-ecosystem model using the Hypres PTF and the German Manual of Soil Mapping approach and adjusting bulk density for the top- and subsoil. Experimental data were collected at the “patchCROP” landscape laboratory in Brandenburg, Germany. The daily volumetric soil water content (SWC) at 12 locations and above ground biomass at flowering were used to evaluate model performance. The findings highlight the importance of calibrating agro-ecosystem models for spatially heterogeneous soil conditions not only for crop growth parameters, but also for soil water-related processes—in this case by PTF choice—in order to capture the interplay of top- and especially subsoil heterogeneity, climate, crop management, soil moisture dynamics and crop growth and their variability within a field. The results showed that while the impact of bulk density was rather small, the PTF choice led to differences in simulating SWC and biomass. Employing the Hypres PTF, the model was able to simulate the climate and seasonal crop growth interactions at contrasting soil conditions for soil moisture and biomass reasonably well. The model error in SWC was largest after intense rainfall events for locations with a loamy subsoil texture. The validated model has the potential to be used to study the impact of management practices on soil moisture dynamics under heterogeneous soil and crop conditions. Full article
(This article belongs to the Section Precision and Digital Agriculture)
Show Figures

Figure 1

17 pages, 2887 KB  
Article
Assessing Roles of Aggregate Structure on Hydraulic Properties of Saline/Sodic Soils in Coastal Reclaimed Areas
by Yuanhang Fei, Dongli She, Shengqiang Tang, Hongde Wang, Xiaoqin Sun, Xiao Han and Dongdong Liu
Agronomy 2024, 14(12), 2877; https://doi.org/10.3390/agronomy14122877 - 3 Dec 2024
Cited by 3 | Viewed by 1435
Abstract
During coastal reclamation processes, land use conversion from natural coastal saline/sodic soils to agricultural land changes the soil’s physicochemical properties. However, the impact of soil structure evolution on soil hydraulic properties (SHPs, e.g., hydraulic conductivity and soil water retention curves) during long-term reclamation [...] Read more.
During coastal reclamation processes, land use conversion from natural coastal saline/sodic soils to agricultural land changes the soil’s physicochemical properties. However, the impact of soil structure evolution on soil hydraulic properties (SHPs, e.g., hydraulic conductivity and soil water retention curves) during long-term reclamation has rarely been reported. In this study, we aimed to evaluate the effect of reclamation duration and land use types on the soil aggregate stability and SHPs of coastal saline/sodic soils and incorporate the aggregate structures into the SHPs. In this study, a total of 90 soil samples from various reclaimed years (2007, 1960, and 1940) and land use patterns (cropland, grassland, forestland, and wasteland) were taken to analyze the quantitative effects of soil saline/sodic characteristics and the aggregate structure on SHPs through pedotransfer functions (PTFs). We found that soil macroaggregate contents in the old reclaimed areas (reclaimed in 1940 and 1960) were significantly larger than those in the new reclamation area (reclaimed in 2007). The soil saturated hydraulic conductivity (Ks) of forestland was larger than that of grassland in each reclamation year. Soil structure contributed to 22.13%, 24.52%, and 23.93% of the total variation in Ks and soil water retention parameters (α and n). The PTFs established in our study were as follows: log(Ks) = 0.524 − 0.177 × Yk3 − 0.093 × Yk1 + 0.135 × Yk4 − 0.054 × Yk2, 1/α = 477.244 − 91.732 × Yα2 − 81.283 × Yα4 + 38.106 × Yα3, and n = 1.679 − 0.086 × Yn2 + 0.045 × Yn1 − 0.042 × Yn3 (Y are principal components). The mean relative errors of the prediction models for log(Ks), 1/α, and n were 79.30%, 36.1%, and 9.89%, respectively. Our findings quantify the vital roles of the aggregate structure on the SHPs of coastal saline/sodic soils, which will help us understand related hydrological processes. Full article
(This article belongs to the Special Issue Soil Evolution, Management, and Sustainable Utilization)
Show Figures

Figure 1

16 pages, 3148 KB  
Article
Salinity Effects on Soil Structure and Hydraulic Properties: Implications for Pedotransfer Functions in Coastal Areas
by Xiao Zhang, Yutao Zuo, Tiejun Wang and Qiong Han
Land 2024, 13(12), 2077; https://doi.org/10.3390/land13122077 - 2 Dec 2024
Cited by 14 | Viewed by 4524
Abstract
Understanding the effects of salinity on soil structure and hydraulic properties is critical for addressing environmental challenges in coastal saline and sodic areas. In this study, soil samples were collected from a coastal region in eastern China to investigate how salinity affected the [...] Read more.
Understanding the effects of salinity on soil structure and hydraulic properties is critical for addressing environmental challenges in coastal saline and sodic areas. In this study, soil samples were collected from a coastal region in eastern China to investigate how salinity affected the soil structure and hydraulic properties based on lab experiments. A comprehensive soil dataset was also compiled from the experimental results to develop a salinity-based pedotransfer function (PTF-S) tailored to the coastal environment. The results showed that salinity significantly altered the soil aggregate size distribution and hydraulic properties. Higher salinity promoted the formation of larger aggregates (0.25–2 mm), particularly in silty clay soil. Salinity positively correlated with the saturated hydraulic conductivity (Ks) in sandy loam soil, regardless of the cation type (Na⁺ or Ca2⁺). By comparison, Na+ increased the Ks of silty clay soil up to a certain threshold, while Ca2+ enhanced the Ks regardless of the soil texture. Increased salinity also reduced the soil water retention of sandy loam soil; however, Na+ increased the soil water retention of silty clay soil and Ca2+ had different effects depending on the suction levels. The newly developed PTF-S model, which included the electrical conductivity (EC) and cation exchange capacity (CEC), showed better predictions for the volumetric water content (R = 0.886 and RMSE = 0.057 cm3/cm3) and log Ks (R = 0.991 and RMSE = 0.073 mm/h) than the traditional model that excludes the salinity variables EC and CEC (PTF-N) (R = 0.839 and RMSE = 0.066 cm3/cm3 for the volumetric water content, and R = 0.966 and RMSE = 0.140 mm/h for the log Ks). This study highlights the importance of developing salinity-based PTFs for addressing soil salinization challenges. Full article
(This article belongs to the Section Land, Soil and Water)
Show Figures

Figure 1

21 pages, 7802 KB  
Article
Estimation of Cation Exchange Capacity for Low-Activity Clay Soil Fractions Using Experimental Data from South China
by Jun Zhu and Zhong-Xiu Sun
Agronomy 2024, 14(11), 2671; https://doi.org/10.3390/agronomy14112671 - 13 Nov 2024
Cited by 6 | Viewed by 3628
Abstract
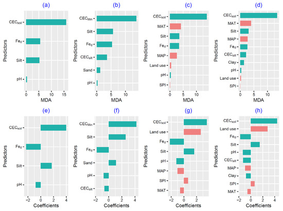
The cation exchange capacity (CEC) of the clay fraction (<2 μm), denoted as CECclay, serves as a crucial indicator for identifying low-activity clay (LAC) soils and is an essential criterion in soil classification. Traditional methods of estimating CECclay, such [...] Read more.
The cation exchange capacity (CEC) of the clay fraction (<2 μm), denoted as CECclay, serves as a crucial indicator for identifying low-activity clay (LAC) soils and is an essential criterion in soil classification. Traditional methods of estimating CECclay, such as dividing the whole-soil CEC (CECsoil) by the clay content, can be problematic due to biases introduced by soil organic matter and different types of clay minerals. To address this issue, we introduced a soil pedotransfer functions (PTFs) approach to predict CECclay from CECsoil using experimental soil data. We conducted a study on 122 pedons in South China, focusing on highly weathered and strongly leached soils. Samples from the B horizon were used, and eight models and PTFs (four machine learning methods, multiple linear regression (MLR) and three PTFs from publication) were evaluated for their predictive performance. Four covariate datasets were combined based on available soil data and environmental variables and various parameters for machine learning techniques including an artificial neural network, a deep belief network, support vector regression and random forest were optimized. The results, based on 10-fold cross-validation, showed that the simple division of CECsoil by clay content led to significant overestimation of CECclay, with a mean error of 14.42 cmol(+) kg−1. MLR produced the most accurate predictions, with an R2 of 0.63–0.71 and root mean squared errors (RMSE) of 3.21–3.64 cmol(+) kg−1. The incorporation of environmental variables improved the accuracy by 2–10%. A linear model was fitted to enhance the current calculation method, resulting in the equation: CECclay = 15.31 + 15.90 × (CECsoil/Clay), with an R2 of 0.41 and RMSE of 4.48 cmol(+) kg−1. Therefore, given limited soil data, the MLR PTFs with explicit equations were recommended for predicting the CECclay of B horizons in humid subtropical regions. Full article
(This article belongs to the Section Soil and Plant Nutrition)
Show Figures

Figure 1

Back to TopTop