You are currently viewing a new version of our website. To view the old version click .
Sustainability
  • Article
  • Open Access

13 October 2025

Research on the Impact of Different Photovoltaic Fishery Models on Climate and Water Environment in Aquaculture

,
,
,
,
,
,
and
1
Fisheries Research Institute, Sichuan Academy of Agricultural Sciences (Sichuan Fisheries Research Institute), Chengdu 611731, China
2
Zigong Meteorological Bureau, Zigong 643000, China
3
Fushun Meteorological Bureau, Fushun 643200, China
*
Authors to whom correspondence should be addressed.
This article belongs to the Topic Carbon-Energy-Water Nexus in Global Energy Transition

Abstract

To study the impact of photovoltaic facilities on the climate of aquaculture areas within the new aquaculture model (photovoltaic fishery mode, PFM), meteorological monitoring instruments were used to measure light intensity, temperature, humidity, and water environment in the PFM aquaculture areas of Dongying City and Taishan City. The experimental results showed that photovoltaic facilities (PFs) significantly affected lighting, causing a substantial decrease in light intensity above the ponds, with an annual average reduction ranging from 24.15% to 67.75%, compared to the traditional pond mode (TPM). The impact of flexible PF on lighting was less pronounced than that of fixed photovoltaic facilities, with decreases of only 24.15% and 65.06%, respectively, compared to TPM. PF influenced temperature within a small range, particularly in the Dongying City aquaculture area, where the temperature difference reached 1.48 °C. The effect of flexible PF on temperature, with a decrease of only 0.071%, was much smaller than that of fixed PF, which showed a decrease of 3.28% compared to TPM. In both Dongying City and Taishan City aquaculture areas, PF reduced environmental humidity by 4.71% to 9.62% compared to TPM. In Dongying City, the water temperature under the PFM-fixed system was 0.39 to 3.78 °C lower than that of TPM. The annual biomass variation patterns of zooplankton and phytoplankton in Dongying City and Taishan City were opposite. This study provides data to support further research on the relationship between PFM and aquaculture.

1. Introduction

In aquaculture, various facilities are often added to enhance the production and quality of aquatic products, thereby increasing economic benefits. The most common facilities include water circulation systems [], oxygenation devices [], and insulation equipment []. Water circulation and oxygenation systems increase water movement and dissolved oxygen (DO) levels, while insulation equipment regulates water temperature. All these facilities aim to optimize the aquatic environment, providing a more suitable habitat for cultured organisms and ultimately improving the economic returns of aquaculture. The photovoltaic fishery model (PFM) involves installing photovoltaic (PV) panels over aquaculture ponds to generate electricity while simultaneously cultivating economically valuable aquatic species such as fish and shrimp []. This innovative model also holds potential for leisure and tourism development [,]. PFM maximizes land use by producing substantial amounts of clean energy, reducing fossil fuel consumption, and contributing to environmental protection. Additionally, it can power breeding equipment such as aerators and feeders, generating a surplus of photovoltaic energy and ensuring stable income for fish farmers [,]. However, the placement of photovoltaic panels on the water surface may impact the aquatic environment and potentially alter the microclimate of aquaculture areas.
The photovoltaic fishery mode is currently in the exploratory stage. To date, studies of the PFM have been focused on how to optimize the model to improve efficiency and the output of aquatic products [,]. This includes studies regarding economic improvement, which have explored methods such as (i) adjusting the size, quantity, tilt angle, and spacing of photovoltaic panels to optimize power generation performance [], (ii) developing photovoltaic modules with different temperature sensitivities to improve photovoltaic power generation efficiency in different temperature environments [], and (iii) developing a solar tracking system that can change the orientation and tilt angle of photovoltaic modules to improve power generation efficiency []. For aquatic products, it includes studies showing that (i) when the yield of Eriocheir sinensis under the PFM increased by 13.06%, the survival rate increased by 6.2% [], and (ii) when the shading rate reached 75%, the yield of Tachysurus fulvidraco was increased []. Moreover, there are also some studies on plankton and water quality [,,].
In a fishery facility, the microclimate, such as temperature and light within water-based facilities, is a key environmental factor affecting the development of aquatic facility aquaculture. The most typical example of the impact on the microclimate of aquaculture areas is the aquaculture greenhouse [,]. The main reason for building greenhouses is the convenience of temperature regulation. The horizontal distribution of temperature in a greenhouse varies with the seasons and weather [], but as long as the air temperature is maintained at 33 to 34 °C, the water temperature can be kept at 28 to 32 °C []. Materials with high light transmittance and strong heat preservation can significantly increase the temperature inside the facility [,]. Fishery facilities set up on water surfaces generally reduce the amount of light reaching the water surface (light duration and light intensity). For instance, the light transmittance of plastic greenhouses is 50–60%, and that of glass greenhouses is 60–70% []. The studies on the PFM and climate are mainly focused on light, wind, and radiation. Exley et al. [] found that in the integrated fishing and light mode, the synergistic effects of wind speed and solar radiation could mitigate climate change impacts on water body temperature and stratification. After deploying photovoltaic panels on water, it would affect the heat flow of the lake, turning it into a heat sink [,]. PF significantly reduces the intensity of light, while also affecting the temperature and pH of water bodies []. In addition, PF could prevent 89–93% of solar radiation, reduce light intensity by 94%, weaken wind speed by 41–50% on the surface of ponds, and increase surface temperature by an average of 0.6 °C []. In addition to the decrease in wind speed, PF will also change the wind patterns [].
Aquaculture facilities have both positive and negative impacts on the sustainability of aquaculture production. In the PFM, photovoltaic facilities mainly regulate natural light to affect the surrounding temperature, humidity, water environment, and aquatic organisms. In this study, we investigated the effects of PFM on light, temperature, humidity, water routine indicators, and plankton in aquaculture areas. For the first time, we analyzed the advantages and disadvantages of fixed support structures and flexible support structures in regulating climate and water environments, aiming to lay a data foundation for future in-depth research and provide a basis for the promotion and application of PFM.

2. Materials and Methods

2.1. Experimental Mode and Region

In this study, we used photovoltaic fishery mode with fixed support structure (PFM-fixed) and photovoltaic fishery mode with flexible support structure (PFM-flexible) systems as the research objects, and traditional pond mode (TPM) system was used as controls. This study was conducted simultaneously in Taishan City, Guangdong Province and Dongying City, Shandong Province. The PFM-flexible system was located in 112°25′54″ E, 21°50′30″ N. The PFM-fixed systems were located in 112°28′24″ E, 21°49′35″ N and 118°55′52″ E, 37°38′55″ N, and the TPM systems were located about 10 km away from the PFM-fixed systems. Photovoltaic panels of PFM-flexible were placed >4 m above the water and were located in Taishan City. Photovoltaic panels of PFM-fixed were placed 0.5–1 m above the water and were located in Taishan City and Dongying City.

2.2. Experimental Methods

For climate monitoring, the IoT gas phase monitoring integrated devices CR-GZ206 (BRAND, Weilheim, Germany) were used, which were installed directly below the photovoltaic panels and 75 cm above the water surface. The changes in the light intensity, temperature, and humidity were monitored in the PFM and TPM aquaculture areas. The monitoring period of this study was from September 2023 to August 2024, with data collected every 10 min. The light intensity consisted of daily data collected from 6:00 to 18:00 by the monitoring instrument. Temperature and humidity data were collected from 0:00 to 23:59 each day.
In addition, this study also monitored water quality indicators such as water temperature, DO, transparency, and pH, as well as changes in planktonic organisms. The temperature and DO content of the water body were monitored using a portable dissolved oxygen meter JPB-607A (Shanghai INESA Scientific Instruments Co., Ltd., Shanghai, China), and the transparency of the water body was monitored using a transparency disk, and the pH of the water body was monitored using a portable pH meter PHBJ-261L (Shanghai INESA Scientific Instruments Co., Ltd., China). Using the five-point sampling method, a 1 L organic glass water sampler was used to collect 4 L of surface water samples at each location, for a total of 20 L of water samples. Concentrate with 25 # plankton net and collect in a 150 mL specimen bottle, then add 2 mL of Luger’s solution and 6 mL of 70% ethanol solution for plankton fixation. The samples were stored in a low-temperature car refrigerator and transported back to the laboratory for microscopic examination and counting. The monitoring period of this experiment was from 15 to 20 August 2022, 15 to 20 November 2022, 15 to 20 February 2023, and 15 to 20 May 2023, which were respectively recorded as summer, autumn, winter, and spring. The monitoring was conducted at 7:00, 13:00, and 17:00 every day.

2.3. Data Analysis

All data were preliminarily analyzed using Excel software. One-Way ANOVA analysis was conducted using SAS 9.3. Line charts were created using Excel and Adobe Photoshop CC 2018. All data are expressed as mean ± standard deviation. p > 0.05 indicates no significant difference. p < 0.05 indicates significant difference. p < 0.01 indicates extremely significant difference.

3. Results

3.1. Impact of the PFM on Light Intensity, Temperature, and Humidity

The annual average values indicated that the PF had a significant impact on lighting, resulting in a significant decrease in the light intensity above the ponds. According to the year-long monitoring and statistical results (Table 1), the light intensity on the water surface of the TPM area was higher than that of the PFM areas, with a decrease in light intensity of 24.15–67.75%. The impact of the PFM-flexible was smaller than that of the PFM-fixed, with a decrease of only 24.15% for the former and 65.06% for the latter, compared to the TPM. The comparison of the TPM and PFM-fixed systems showed that the changes in Dongying City were greater than those in Taishan City. Based on monthly monitoring and statistical results (Figure 1), the differences in light intensity between the TPM and PFM reached a significant level (p < 0.05), except for the TPM and PFM-flexible comparison in March from Taishan City (p = 0.423).
Table 1. The differences in annual light intensity between TPM and PFM.
Figure 1. Monthly variation pattern of light intensity, temperature, and humidity in traditional pond mode and photovoltaic fishery mode. Note: (AC) represent the variation patterns of light intensity, temperature, and humidity in Dongying City, respectively. (DF) represent the variation patterns of light intensity, temperature, and humidity in Taishan City, respectively. TPM represents traditional pond mode. PFM-fixed represents photovoltaic fishery mode with fixed support structures. PFM-flexible represents photovoltaic fishery mode with flexible support structures.
The annual average values showed that PF affected temperature within a small range of 1.5 °C. According to the year-long monitoring and statistical results (Table 1), the comparison of the TPM vs. PFM-fixed revealed that the changes in Dongying City were greater than those in Taishan City. In Taishan City, the impact of the PFM-flexible on temperature was much smaller than that of the PFM-fixed, with the former only decreasing by 0.071% and the latter decreasing by 3.28% relative to the TPM. Based on monthly monitoring and statistical results (Figure 1), the differences in temperature between the TPM and PFM reached a significant level (p < 0.05), except for the TPM and PFM-fixed comparison in May from Dongying City (p = 0.242). In Dongying City, during the low-temperature months (from December to April of the following year), the PF accelerated the temperature drop.
The annual average data indicated that PF had a certain impact on humidity (Table 1). In Dongying City and Taishan City, the presence of PF resulted in humidity reduction by 4.71–9.62%. The impact of the PFM-flexible on humidity was smaller than that of the PFM-fixed, with a decrease of only 4.71% for the former and 9.62% for the latter. In Dongying City, the humidity of the TPM area was only lower than that of the PFM-fixed area from August to October, and only the differences among August, September, and October did not reach a significant level (p = 0.127 and p = 0.087). In Taishan City, the humidity of the TPM area was only lower than that of the PFM-fixed area in December, and both reached significant levels (p < 0.05). Compared to the PFM-fixed, the humidity trend of the PFM-flexible was more similar to that of the TPM (Figure 1).

3.2. Impact of the PFM on Water Indicators

The water temperatures in Dongying City and Taishan City both follow a pattern: summer > spring > winter > autumn (Figure 2A,E). From summer to the following spring, water temperature first decreased and then increased. In Dongying City, the water temperature in the TPM farming area was higher than that in the PFM-fixed farming area throughout the year, with a temperature difference ranging from 0.39 to 3.78 °C. The temperature difference was greatest in winter and smallest in autumn. The temperature differences between the TPM and PFM-fixed farming areas in summer and winter were significant (p = 0.000–0.027). In Taishan City, the water temperature in the TPM farming area was lower than that in the PFM-fixed and PFM-flexible farming areas during summer, with significant differences among the three modes (p = 0.000–0.003). Additionally, the differences among the three modes in other seasons were not significant (p > 0.05).
Figure 2. Seasonal variation pattern of temperature, DO, transparency, and pH in traditional pond mode and photovoltaic fishery mode. Note: (AD) represent the variation patterns of temperature, DO, transparency, and pH in Dongying City, respectively. (EH) represent the variation patterns of temperature, DO, transparency, and pH in Taishan City, respectively. The letters with differences above the column map represent that the differences between the comparison groups reached a significant level; the uppercase letters represent very significant (p < 0.01) and lowercase letters represent significant (p < 0.05). TPM represents traditional pond mode. PFM-fixed represents photovoltaic fishery mode with fixed support structures. PFM-flexible represents photovoltaic fishery mode with flexible support structures.
In Dongying City, the DO levels in the water bodies of the TPM and PFM-fixed farming areas exhibited a pattern of first increasing and then decreasing across the seasons in the order of summer, autumn, winter, and spring (Figure 2B). However, the maximum DO level in the TPM farming area (14.39 mg/L) occurred in autumn; whereas in the PFM-fixed farming area, the peak level (13.83 mg/L) was observed in winter. The DO level in the TPM farming area was lower than that in the PFM-fixed farming area only during winter, with the opposite trend observed in the other seasons. The differences between the two models were statistically significant in summer, autumn, and winter (p = 0.000–0.004), but not in spring (p > 0.05). In Taishan City, the DO level in the TPM farming area showed a trend of decreasing initially, then increasing, and finally decreasing again across the seasons in the order of summer, autumn, winter, and spring. The DO level in the PFM-fixed farming area exhibited a consistent downward trend over the same seasonal sequence, while the DO level in the PFM-flexible farming area decreased initially and then increased (Figure 2F). In summer, the DO level in the PFM-fixed farming area was significantly higher than those in the TPM and PFM-flexible farming areas (p = 0.000–0.001). In winter, the DO levels in the TPM and PFM-fixed farming areas were significantly higher than that in the PFM-flexible farming area (p = 0.001). Differences among the farming patterns in the other seasons were not statistically significant (p > 0.05).
In Dongying City, the transparency of water bodies in the TPM and PFM-fixed farming areas exhibited a trend of first increasing and then decreasing across the seasons in the order of summer, autumn, winter, and spring (Figure 2C). However, the maximum transparency value in the TPM farming area (153.40 cm) occurred in winter, whereas in the PFM-fixed farming area, the maximum value (159.60 cm) was observed in autumn. The transparency in the TPM farming area was higher than that in the PFM-fixed farming area only during winter; in other seasons, the pattern was reversed. The differences between the two models were statistically significant in summer, autumn, and winter (p = 0.000–0.001), but not in spring (p > 0.05). In Taishan City, the transparency in the TPM and PFM-fixed farming areas showed a pattern of decreasing initially, then increasing, and finally decreasing again across the seasons in the order of summer, autumn, winter, and spring. In contrast, the transparency in the PFM-flexible farming area increased first and then decreased over the same seasonal sequence (Figure 2G). During summer, the transparency of the TPM farming area was lower than that of the PFM-fixed farming area, while in other seasons, the pattern was reversed; the differences between these models were statistically significant only in summer and autumn (p = 0.000). In summer, the transparency of the TPM farming area was higher than that of the PFM-flexible farming area, with the opposite pattern in other seasons; these differences were statistically significant (p = 0.000–0.005). Similarly, in summer, the transparency of the PFM-fixed farming area was higher than that of the PFM-flexible farming area, with opposite patterns in other seasons; these differences were also statistically significant (p = 0.000–0.006).
In Dongying City, the pH of water bodies in TPM farming areas exhibited a pattern of initially increasing, then decreasing, and finally increasing again across the seasons in the order of summer, autumn, winter, and spring. In contrast, the pH in PFM-fixed farming areas showed an initial increase followed by a decrease over the same seasonal sequence (Figure 2D). The pH in TPM farming areas was lower than that in PFM-fixed farming areas only during winter; in other seasons, the trend was reversed. Significant differences between the farming models were observed in summer, winter, and spring (p = 0.000–0.007), but not in autumn (p > 0.05). In Taishan City, the pH of water bodies in TPM farming areas decreased initially and then increased across the seasons of summer, autumn, winter, and spring. The pH in PFM-fixed farming areas decreased first, then increased, and finally decreased again over the same seasonal order. Additionally, the transparency of water bodies in PFM-flexible farming areas showed a decreasing trend from summer through spring (Figure 2H). During summer, the pH in TPM farming areas was higher than in PFM-fixed farming areas, while the opposite pattern was observed in other seasons. Significant differences between these models were found only in summer and winter (p = 0.000–0.012). The pH in TPM farming areas was lower than in PFM-flexible farming areas, with significant differences in summer, autumn, and winter (p = 0.000–0.010). In winter, the pH in PFM-fixed farming areas was higher than in PFM-flexible farming areas, whereas the opposite trend occurred in other seasons; a significant difference between these models was observed in summer (p = 0.000).

3.3. Impact of the PFM on Phytoplankton and Zooplankton

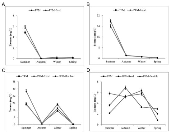
In Dongying City, the annual biomass of zooplankton exceeded that of phytoplankton. The difference was 6.24 times greater in the TPM aquaculture area and 4.30 times greater in the PFM-fixed aquaculture area. Under both TPM and PFM-fixed models, the temporal patterns of zooplankton and phytoplankton were generally similar: zooplankton exhibited a gradual decreasing trend, while phytoplankton showed an initial decrease followed by an increase (Figure 3A,B). The biomass of phytoplankton in the TPM aquaculture area was lower than that in the PFM-fixed area, whereas the biomass of zooplankton in the TPM aquaculture area was higher than in the PFM-fixed area. In Taishan City, the annual biomass of phytoplankton was greater than that of zooplankton. The difference was 2.18 times in the TPM aquaculture area, and 4.06 times in the PFM-fixed aquaculture area, and 2.54 times in the PFM-flexible aquaculture area. Under the TPM, PFM-fixed, and PFM-flexible models, the temporal patterns of phytoplankton were similar, showing an initial decrease followed by an increase (Figure 3C). Zooplankton in the TPM aquaculture area exhibited a pattern of decreasing, then increasing, and finally decreasing again; in the PFM aquaculture areas, zooplankton showed an initial increase followed by a decrease. Notably, the peak biomass in the PFM-fixed area occurred in winter, while in the PFM-flexible area it occurred in autumn (Figure 3D). During summer, autumn, and spring, the biomass of phytoplankton in the TPM aquaculture area was lower than that in the PFM area, while the biomass of zooplankton was higher. However, in spring, both phytoplankton and zooplankton biomass in the TPM aquaculture area were lower than those in the PFM area.
Figure 3. Seasonal variation pattern of phytoplankton and zooplankton in traditional pond mode and photovoltaic fishery mode. Note: (A,B) represent the variation patterns of phytoplankton and zooplankton in Dongying City, respectively. (C,D) represent the variation patterns of phytoplankton and zooplankton in Taishan City, respectively. TPM represents traditional pond mode. PFM-fixed represents photovoltaic fishery mode with fixed support structures. PFM-flexible represents photovoltaic fishery mode with flexible support structures.

4. Discussion

Climate refers to the average atmospheric conditions of a region over the years, with major climatic elements including light, temperature, humidity, etc. Various factors affect climate change, including natural factors such as solar radiation, volcanic activity, and changes in sea surface temperature [,], etc. The microclimate in water areas is characterized by smoother temperature changes in water bodies compared to land temperatures, as the thermal inertia of water is greater than that of soil []. The average humidity in most oceans is 75–80% throughout the year, while the average humidity in most land areas is 70–80%, except deserts and plateaus where the average humidity is 30–60% []. Meanwhile, there are also some human factors that can affect the climate, such as fossil fuel combustion [], vegetation degradation [], and waste emissions [], etc. In addition, humans can also influence the climate by building various facilities, although their real purpose is to improve the economy. At present, climate-related research related to aquaculture facilities mainly uses greenhouses to regulate temperature and light [,,]. In this study, the PFM combines photovoltaic power generation with aquaculture, which can generate green energy and harvest healthy aquatic products. However, its larger photovoltaic facilities create a typical climate in the PFM area. At the same time, it will have an impact on the temperature, dissolved oxygen, transparency, and pH of the water body, and thereby affect the plankton.
The most direct impact of installing facilities on the water surface is reducing the intensity and duration of light reaching the water surface [], and the same applies to installing photovoltaic panels. In this study, the PF could reduce the amplitude of changes in light intensity caused by natural cycles, and the stronger the light intensity, the greater the impact of PF; this result is similar to the research of Niu et al. []. Compared to the PFM-fixed area, the reduction in light intensity in the PFM-flexible was smaller and the trend of change was more similar to that of the TPM, which means that the impact of PFM-flexible on the environment is relatively smaller and more in line with the development of PFM. Photovoltaic panels can regulate the microclimate temperature between the photovoltaic panel and the water surface by reducing solar radiation and heat dissipation. Air convection on the water surface is an important factor in heat loss, and having a covering on the water in aquaculture ponds could affect air convection on the water surface and reduce heat flow [], while solar radiation is the main factor responsible for increases in water temperature []. In this study, PFM reduced the temperature between the photovoltaic panel and the water surface by a maximum of approximately 1.5 °C, which may be attributed to the photovoltaic panel’s shading of sunlight. The obstruction of the photovoltaic panels leads to a decrease in wind speed, which in turn reduces the air convection for heat dissipation [], which might be an important factor contributing to the irregular temperature changes observed in this study. In addition, this study found that PFM-flexible had a smaller impact on the air temperature in aquaculture areas, with a decrease of only 0.71% compared to TPM; the former has more advantageous for non-cold water fish aquaculture. The air humidity in aquaculture areas is mainly affected by water evaporation, rainfall, wind, and other factors [,,]. In this study, the lower temperature may have contributed to the lower humidity of the PFM in Dongying City and Taishan City. High humidity causes rust and mold to develop in aquaculture facilities, especially steel structure facilities, which affect their appearance and service life and also cause water pollution in aquaculture ponds []. Compared to PFM-fixed, PFM-flexible had relatively higher humidity, which may increase facility maintenance costs.
In this study, water temperature under the PFM-fixed mode in Dongying City was 0.39–3.78 °C lower than in the non-PFM mode. This finding aligns with the research of Zhao [], Li et al. [], and Qian et al. [], and may be related to reduced light reaching the water surface. Conversely, in Taishan City, water temperature under the PFM was higher than under the TPM during summer. This phenomenon can be explained by the findings of Song et al. [], who reported that PF reduces wind speed and decreases water heat dissipation, resulting in a slight temperature increase. Regarding dissolved oxygen, the PFM in Dongying City exhibited lower levels in spring, summer, and autumn, compared to the TPM model, possibly due to reduced light and diminished phytoplankton photosynthesis. This observation is consistent with Zhao []. However, significant differences between the results from Taishan City and Dongying City suggest that further research is needed to elucidate the underlying mechanisms. In this study, under the PFM-fixed mode in Dongying City, water transparency in spring, summer, and autumn was higher than under TPM, likely due to a significant reduction in light intensity that inhibited plankton growth, consistent with the plankton growth patterns observed in Dongying City. Zhao [] and Li et al. [] also reported a decreasing trend in pH under PFM conditions, which aligns with the results observed in Dongying City in this study. The impact of the PFM on the aquatic environment is a complex process involving multiple interacting factors. It alters key water parameters such as temperature, DO, transparency, and pH, as well as the structure of the biological community through mechanisms including shading effects, changes in heat exchange, and community regulation. The intensity and duration of light determine the photosynthetic efficiency of phytoplankton; light limitation can reduce the overall temperature sensitivity of phytoplankton growth and cause a decrease of about 5 °C in the optimal adaptation temperature of plankton, although the community structure itself is affected by temperature []. Photosynthesis may be inhibited due to an increase in dissolved oxygen content []. Reducing the intensity of light will significantly reduce the population of plankton []. The excessive proliferation of plankton can also lead to the occurrence of oxygen deficiency []. Phytoplankton growth corresponds to a range of saturated light intensities, within which growth rate accelerates as light intensity increases; beyond this range, the photosynthetic rate declines []. This may be a key factor explaining the differences in phytoplankton growth between Dongying City and Taishan City.
Furthermore, the research related to “photovoltaic power generation + aquaculture + climate” over the past five years (2020–2024) was discussed and analyzed in tabular form (Table 2).
Table 2. The research related to “photovoltaic power generation + aquaculture + climate” over the past five years (2020–2024).

5. Conclusions

The PFM is a new model that integrates solar energy with aquaculture, representing an efficient use of land and space. Our research indicates that the PFM can significantly reduce the amount of solar radiation reaching the pond’s water surface, and can affect the temperature of the water and the air, as well as alter air humidity. However, different PFM have varying effects on the aquaculture environment. PFM-flexible has a smaller impact on the climate; however, the air humidity is higher compared to PFM-fixed, which may result in higher maintenance costs in the later stages than those associated with PFM-fixed, which means that PFM-fixed in environments with higher humidity may offer more advantages.

Author Contributions

Conceptualization, Q.L., L.W., J.Z., X.L. and Y.D.; methodology, W.L., Q.L., L.W., X.L. and Y.D.; software, W.L., L.W. and J.Z.; validation, Q.L., X.L. and J.Z.; formal analysis, Q.L.; investigation, J.Z.; resources, Y.L. (Yurui Li); data curation, Y.L. (Yongyang Lv); writing—original draft preparation, W.L. and Q.L.; writing—review and editing, J.Z. and Y.D.; visualization, Y.L. (Yurui Li); supervision, Y.L. (Yongyang Lv); project administration, X.L.; funding acquisition, W.L. and Y.D. All authors have read and agreed to the published version of the manuscript.

Funding

This study was supported by the Zigong Meteorological Expert Workstation Project, National Key Research and Development Program Project (2024YFD2301305), Science and Technology Development Fund Project of Sichuan Provincial Key Laboratory of Plateau and Basin Rainstorm and Drought-Flood Disasters (Provincial Key Laboratory 2018-Key-05-07), Science and Technology Development Fund Project of Sichuan Provincial Key Laboratory of Plateau and Basin Rainstorm and Drought-Flood Disasters (SCQXKJYJXMS202304), Provincial Financial Independent Innovation Project (2022ZZCX094), Sichuan Freshwater Fish Innovation Team of the National Modern Agricultural Industrial Technology System (SCCXTD-2025-15).

Institutional Review Board Statement

Not applicable.

Data Availability Statement

The datasets used and/or analyzed during the current study are available from the corresponding author upon reasonable request.

Acknowledgments

We would like to express my gratitude to Yue Li and her team from the Public Laboratory of the Institute of Fishery Machinery and Instruments of the Chinese Academy of Fishery Sciences for completing the sample testing of this paper.

Conflicts of Interest

The authors declare no conflicts of interest.

References

  1. He, K.; Tong, C.; He, L.H.; Liu, H.Y.; Hu, H.Y. Design and testing of a new type of push-water aerator device for integrated pond aquaculture systems. Preprints 2023. [Google Scholar] [CrossRef]
  2. Boyd, C.E.; Torrans, E.L.; Tucker, C.S. Dissolved oxygen and aeration in ictalurid catfish aquaculture. J. World Aquac. Soc. 2018, 49, 7–70. [Google Scholar] [CrossRef]
  3. Yang, Z.; Li, D.; Song, J.; Bao, E.; Wang, Q.; Qiu, Y.; Wu, Z. Numerical calculation and experimental analysis of thermal environment in industrialized aquaculture facilities. PLoS ONE 2023, 18, e0290449. [Google Scholar] [CrossRef]
  4. Liang, Q. The photovoltaic fishery mode promotes the transformation and upgrading of modern fisheries. Sci. Fish Farming 2016, 10, 13–15. (In Chinese) [Google Scholar] [CrossRef]
  5. Eltawil, M.A.; ElSbaay, A.M. Utilisation of solar photovoltaic pumping for aeration systems in aquaculture ponds. Int. J. Sustain. Energy 2014, 35, 629–644. [Google Scholar] [CrossRef]
  6. Sahu, A.; Yadav, N.; Sudhakar, K. Floating photovoltaic power plant: A review. Renew. Sustain. Energy Rev. 2016, 66, 815–824. [Google Scholar] [CrossRef]
  7. Zhang, W. Overflow space of artificial aquaculture-complementary fishing and light. Sci. Fish Farming 2016, 10, 15–16. (In Chinese) [Google Scholar] [CrossRef]
  8. Château, P.A.; Wunderlich, R.F.; Wang, T.W.; Lai, H.T.; Chen, C.C.; Chang, F.J. Mathematical modeling suggests high potential for the deployment of floating photovoltaic on fish ponds. Sci. Total Environ. 2019, 687, 654–666. [Google Scholar] [CrossRef]
  9. Wu, L.; Niu, C.; Zhang, H.; Wu, Z.; Cheng, Y.; Li, N.; Cheng, Y.; Chen, X.; Zhang, F.; Ou, J.; et al. Comparison study of the growth of Eriocheir sinensis in the photovoltaic and non-photovoltaic area in the Yuguangyiti ponds. Freshw. Fish. 2021, 51, 108–112. (In Chinese) [Google Scholar] [CrossRef]
  10. Carlos, F.G.; Jose, F.G.; Miguel, R.S.; Pablo, F.G.; Francisco, S.R.; Juan, B.T.S. A new photovoltaic floating cover system for water reservoirs. Renew. Energy 2013, 60, 63–70. [Google Scholar] [CrossRef]
  11. Dubey, S.; Sarvaiya, J.N.; Seshadri, B. Temperature dependent photovoltaic (PV) efficiency and its effect on PV production in the world-a review. Energy Procedia 2013, 33, 311–321. [Google Scholar] [CrossRef]
  12. Choi, Y.K. A study on power generation analysis of floating PV system considering environmental impact. Int. J. Softw. Eng. Its Appl. 2014, 8, 75–84. [Google Scholar] [CrossRef]
  13. Qu, B.; Xie, W.; Wu, Z.; Jiang, L.; Li, L.; Tang, H.; Deng, Y.; Liang, Q.; Bao, B. Simulating the effect of photovoltaic fishery mode shading on the growth of Tachysurus fulvidraco. Sci. Fish Farming 2015, 11, 38. (In Chinese) [Google Scholar] [CrossRef]
  14. Qu, B.; Wu, Z.; Xie, W.; Zhong, L.; Jiang, L.; Li, L.; Chen, Z.; Tang, H.; Liang, Q. Effect of “Fishing light complementary” on plankton in catfish pond. J. Aquac. 2015, 36, 6–9. (In Chinese) [Google Scholar] [CrossRef]
  15. Zhao, B. Study on Community Structure and Diversity of Environmental Microbial in the Photovoltaic Fishery Mode; Huazhong Agricultural University: Wuhan, China, 2019. (In Chinese) [Google Scholar]
  16. Li, P.; Gao, X.; Jiang, J.; Yang, L.; Li, Y. Characteristic analysis of water quality variation and fish impact study of fish-lighting complementary photovoltaic power station. Energies 2020, 13, 4822. [Google Scholar] [CrossRef]
  17. Li, S.; Willits, D.H.; Browdy, C.L.; Timmons, M.B.; Losordo, T.M. Thermal modeling of greenhouse aquaculture raceway systems. Aquac. Eng. 2009, 41, 1–13. [Google Scholar] [CrossRef]
  18. Zhang, S.; Guo, Y.; Li, S.; Ke, Z.; Zhao, H.; Yang, J.; Wang, Y.; Li, D.; Wang, L.; Yang, W.; et al. Investigation on environment monitoring system for a combination of hydroponics and aquaculture in greenhouse. Inf. Process. Agric. 2022, 9, 123–134. [Google Scholar] [CrossRef]
  19. Wang, L.; Cui, S.; Liu, Y. Analysis of indoor temperature field and its characteristics in factory aquaculture greenhouse. J. Zhejiang Meteorol. 1998, 2, 3–4. (In Chinese) [Google Scholar] [CrossRef]
  20. Yu, J.; Wang, S. Micro-climate environment conditions and its control in aquatic animal raising in greenhouse. Chin. J. Agrometeorol. 2004, 2, 63–66. (In Chinese) [Google Scholar]
  21. Li, T.; Zhu, M.; Yang, Z.; Song, J.; Dai, J.; Yao, Y.; Luo, W.; Pastel, G.; Yang, B.; Hu, L. Wood composite as an energy efficient building material: Guided sunlight transmittance and effective thermal insulation. Adv. Energy Mater. 2016, 6, 1601122. [Google Scholar] [CrossRef]
  22. Peng, Y.; Fan, L.; Jin, W.; Ye, Y.; Huang, Z.; Zhai, S.; Luo, X.; Ma, Y.; Tang, J.; Zhou, J.; et al. Coloured low-emissivity films for building envelopes for year-round energy savings. Nat. Sustain. 2022, 5, 339–347. [Google Scholar] [CrossRef]
  23. Exley, G.; Armstrong, A.; Page, T.; Jones, I.D. Floating photovoltaics could mitigate climate change impacts on water body temperature and stratification. Sol. Energy 2021, 219, 24–33. [Google Scholar] [CrossRef]
  24. Li, P.; Gao, X.; Li, Z.; Zhou, X. Physical analysis of the environmental impacts of fishery complementary photovoltaic power plant. Environ. Sci. Pollut. Res. 2022, 29, 46108–46117. [Google Scholar] [CrossRef] [PubMed]
  25. Li, P.; Gao, X.; Li, Z.; Ye, T.; Zhou, X. Effects of fishery complementary photovoltaic power plant on near-surface meteorology and energy balance. Renew. Energy 2022, 187, 698–709. [Google Scholar] [CrossRef]
  26. Song, F.W.; Lu, Z.Q.; Guo, Z.H.; Wang, Y.; Ma, L. The effects of a fishery complementary photovoltaic power plant on the near-surface meteorology and water quality of coastal aquaculture ponds. Water 2024, 16, 526. [Google Scholar] [CrossRef]
  27. Millstein, D.; Menon, S. Regional climate consequences of large-scale cool roof and photovoltaic array deployment. Environ. Res. Lett. 2011, 6, 034001. [Google Scholar] [CrossRef]
  28. Ding, Y.; Ren, G.; Zhao, Z.; Xu, Y.; Luo, Y.; Li, Q.; Zhang, J. Detection, causes and projection of climate change over China: An overview of recent progress. Adv. Atmos. Sci. 2007, 24, 954–971. [Google Scholar] [CrossRef]
  29. Hegerl, G.C.; Brönnimann, S.; Cowan, T.; Friedman, A.R.; Hawkins, E.; Iles, C.; Müller, W.; Schurer, A.; Undorf, S. Causes of climate change over the historical record. Environ. Res. Lett. 2019, 14, 123006. [Google Scholar] [CrossRef]
  30. Fily, M.; Royer, A.; Goıta, K.; Prigent, C. A simple retrieval method for land surface temperature and fraction of water surface determination from satellite microwave brightness temperatures in sub-arctic areas. Remote Sens. Environ. 2003, 85, 328–338. [Google Scholar] [CrossRef]
  31. Dai, A. Recent climatology, variability, and trends in global surface humidity. J. Clim. 2006, 19, 3589–3606. [Google Scholar] [CrossRef]
  32. Krane, J. Climate change and fossil fuel: An examination of risks for the energy industry and producer states. MRS Energy Sustain. 2017, 4, E2. [Google Scholar] [CrossRef]
  33. Jiang, L.; Bao, A.; Guo, H.; Ndayisaba, F. Vegetation dynamics and responses to climate change and human activities in Central Asia. Sci. Total Environ. 2017, 599, 967–980. [Google Scholar] [CrossRef]
  34. Yang, S.; Büttner, O.; Kumar, R.; Basso, S.; Borchardt, D. An analytical framework for determining the ecological risks of wastewater discharges in river networks under climate change. Earth’s Future 2022, 10, e2021EF002601. [Google Scholar] [CrossRef]
  35. Niu, C.; Wu, L.; Pang, Y.; Yang, X.; Song, Y.; Song, X.; Shi, A.; Shi, X.; Cheng, Y.; Wu, Z. Research on the effect of photovoltaic panels on the water environment and growth performance of Eriocheir sinensis. J. Fudan Univ. 2021, 60, 253–261. (In Chinese) [Google Scholar] [CrossRef]
  36. Pei, L. Research on the Thermal Performance of Large Aquaculture Greenhouse with a Double Layer of Plastic Film in Winter; Zhejiang University: Hangzhou, China, 2015. (In Chinese) [Google Scholar]
  37. Chow, L.C.; Chung, J.N. Evaporation of water into a laminar stream of air and superheated steam. Int. J. Heat Mass Transf. 1983, 26, 373–380. [Google Scholar] [CrossRef]
  38. Zakaria, N.H.; Salleh, S.A.; Asmat, A.; Chan, A.; Isa, N.A.; Hazali, N.A.; Islam, M.A. Analysis of wind speed, humidity and temperature: Variability and trend in 2017. InIOP Conf. Ser. Earth Environ. Sci. 2020, 489, 012013. [Google Scholar] [CrossRef]
  39. Acero, J.A.; Kestel, P.; Dang, H.T.; Norford, L.K. Impact of rainfall on air temperature, humidity and thermal comfort in tropical urban parks. Urban Clim. 2024, 56, 102051. [Google Scholar] [CrossRef]
  40. Li, B.; Yang, G. Research on the current situation of temperature and humidity in different aquaculture facilities. China Fish. 2020, 10, 86–89. (In Chinese) [Google Scholar]
  41. Qian, H.; Jiang, L.; Liang, Q.; Niu, J.; Song, X.; Xie, W.; Tang, H.; Gao, X. The effect of “Fishery-PV Integration” module shading rate on pond ecology and grass carp growth. Fish. Mod. 2021, 48, 42–49. (In Chinese) [Google Scholar]
  42. Edwards, K.F.; Thomas, M.K.; Klausmeier, C.A.; Litchman, E. Phytoplankton growth and the interaction of light and temperature: A synthesis at the species and community level. Limnol. Oceanogr. 2016, 61, 1232–1244. [Google Scholar] [CrossRef]
  43. Pope, D.H. Effects of light intensity, oxygen concentration, and carbon dioxide concentration on photosynthesis in algae. Microb. Ecol. 1975, 2, 1–16. [Google Scholar] [CrossRef]
  44. Elser, J.J.; Frost, P.; Kyle, M.; Urabe, J.; Andersen, T. Effects of light and nutrients on plankton stoichiometry and biomass in a P-limited lake. Hydrobiologia 2002, 481, 101–112. [Google Scholar] [CrossRef]
  45. Xu, J.; Yin, K.; Lee, J.H.; Liu, H.; Ho, A.Y.; Yuan, X.; Harrison, P.J. Long-term and seasonal changes in nutrients, phytoplankton biomass, and dissolved oxygen in Deep Bay, Hong Kong. Estuaries Coasts 2010, 33, 399–416. [Google Scholar] [CrossRef]
Disclaimer/Publisher’s Note: The statements, opinions and data contained in all publications are solely those of the individual author(s) and contributor(s) and not of MDPI and/or the editor(s). MDPI and/or the editor(s) disclaim responsibility for any injury to people or property resulting from any ideas, methods, instructions or products referred to in the content.

Article Metrics

Citations

Article Access Statistics

Multiple requests from the same IP address are counted as one view.