Understanding How Organizational Culture Affects Innovation Performance: A Management Context Perspective
Abstract
1. Introduction
2. Literature Review
2.1. Organizational Culture
2.1.1. Psychological Safety
2.1.2. Collectivism
2.1.3. Power Distance
2.2. Organizational Context
2.2.1. Social Context
2.2.2. Performance Management Context
2.3. Innovation Performance
3. Research Hypothesis
3.1. The Influence of Organizational Culture on Organizational Context
3.1.1. The Impact of Organizational Culture on Social Context
3.1.2. The Impact of Organizational Culture on Performance Management Context
3.2. The Impact of Organizational Context on Innovation Performance
3.2.1. The Impact of Social Context on Innovation Performance
3.2.2. The Impact of the Performance Management Context on Innovation Performance
3.3. The Mediating Role of Organizational Context
3.3.1. The Mediating Role of Social Context
3.3.2. The Mediating Role of the Performance Management Context
4. Method
4.1. Sample
4.2. Measurement
4.3. Construct Validity and Correlations
| Variable | Question Item | Factor Loading | Cronbach’s Alpha | AVE | C.R. |
|---|---|---|---|---|---|
| Social context | In our company, technological innovation is easily accepted | 0.875 | 0.913 | 0.782 | 0.915 |
| In our company, management actively seeks innovative ideas | 0.908 | ||||
| In our company, innovation is readily accepted in program/project management | 0.872 | ||||
| Psychological safety | If you make a mistake on this team, it is often held against you | 0.811 | 0.848 | 0.651 | 0.848 |
| People on this team sometimes reject others for being different | 0.829 | ||||
| It is difficult to ask other members of this team for help | 0.777 | ||||
| Collectivism | In our company, there is close cooperation between team members | 0.778 | 0.785 | 0.561 | 0.790 |
| High loyalty to other people and institutions | 0.802 | ||||
| Interact in an interdependent, cooperative mode | 0.586 | ||||
| Power distance | Managers should make most decisions without consulting subordinates | 0.801 | 0.887 | 0.617 | 0.889 |
| It is frequently necessary for a manager to use authority and power when dealing with subordinates | 0.878 | ||||
| Managers should seldom ask for the opinions of employees | 0.837 | ||||
| Managers should avoid off-the-job social contact with employees | 0.695 | ||||
| Our company has the sufficient resource | 0.697 | ||||
| Performance management context | Our company has sufficient resources to invest in innovation (including talents, funds, facilities, equipment, etc.) | 0.847 | 0.960 | 0.752 | 0.960 |
| Our company attaches great importance to the management of innovative knowledge (including knowledge generation, storage, and exchange) | 0.837 | ||||
| Our company has a clear innovation strategy | 0.866 | ||||
| Our company will adjust the organizational structure to promote innovation | 0.802 | ||||
| Our company’s organizational culture is conducive to innovation | 0.899 | ||||
| Our company will develop supporting management measures to promote innovation | 0.891 | ||||
| Our company can conduct effective project management in innovative projects | 0.902 | ||||
| Our company has a mature process for commercializing innovative products | 0.870 | ||||
| Innovation performance | Our company has a high frequency of launching new products/services | 0.863 | 0.937 | 0.754 | 0.939 |
| Our company has a relatively short development cycle for innovative products | 0.760 | ||||
| Our company’s innovative products are well received by the market | 0.885 | ||||
| The new products developed by our company are of high quality | 0.904 | ||||
| Our company has a strong ability to develop markets with new products | 0.899 |
| Innovation Performance | Performance Management Context | Social Context | Psychological Safety | Collectivism | Power Distance | |
|---|---|---|---|---|---|---|
| Innovation performance | (0.868) | |||||
| Performance management context | 0.788 ** | (0.867) | ||||
| Social context | 0.593 ** | 0.646 ** | (0.884) | |||
| Psychological safety | −0.108 | −0.001 | 0.013 | (0.807) | ||
| Collectivism | 0.507 ** | 0.601 ** | 0.520 ** | 0.07 | (0.749) | |
| Power distance | −0.052 | −0.189 ** | −0.221 ** | −0.593 ** | −0.152 ** | (0.785) |
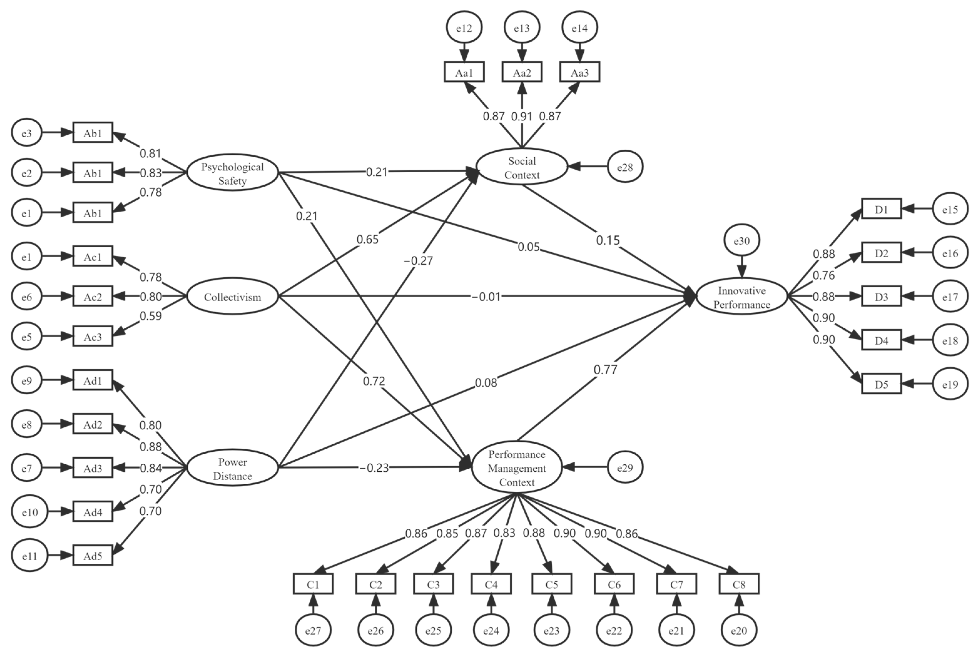
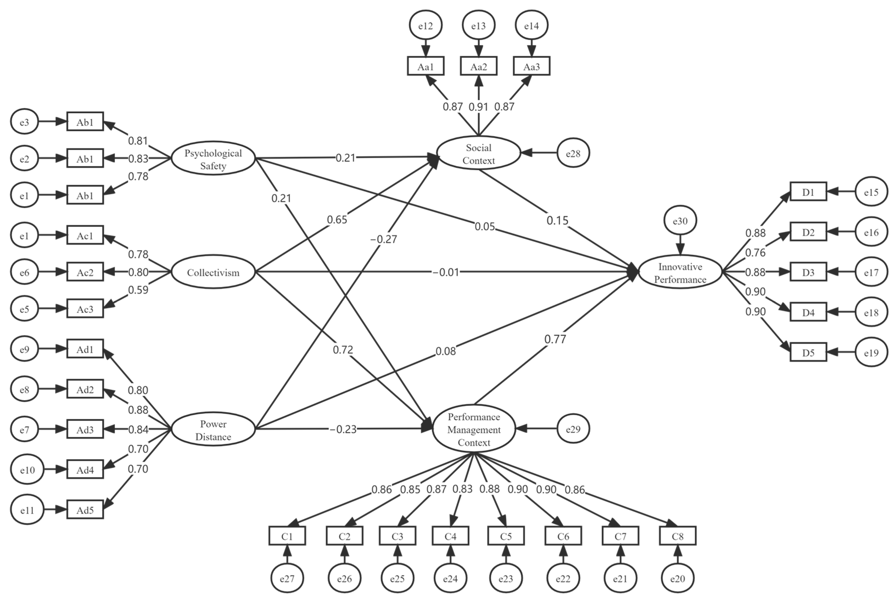
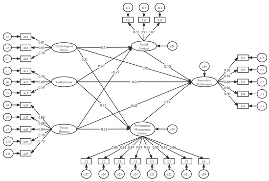
5. Results
| Hypothesis | Standardization Path Coefficient | S.E. | Results |
|---|---|---|---|
| H1a: Psychological safety → social context | 0.215 ** | 0.064 | Supported |
| H1b: Collectivism → social context | 0.655 ** | 0.122 | Supported |
| H1c: Power distance → social context | −0.275 ** | 0.060 | Supported |
| H2a: Psychological safety → performance management context | 0.219 ** | 0.059 | Supported |
| H2b: Collectivism → performance management context | 0.716 ** | 0.126 | Supported |
| H2c: power distance → performance management context | −0.247 ** | 0.056 | Supported |
| H3: Social context → innovation performance | 0.137 * | 0.064 | Supported |
| H4: Performance management context → innovation performance | 0.790 ** | 0.078 | Supported |
| Path | Estimate | S.E. | 95% Confidence Interval | ||
|---|---|---|---|---|---|
| Lower | Upper | ||||
| Direct | Psychological safety → Innovation Performance | 0.047 | 0.085 | −0.15 | 0.195 |
| Indirect | psychological safety → social context → Innovation Performance | 0.042 | 0.027 | 0.006 | 0.115 |
| Psychological safety → performance management context → Innovation Performance | 0.212 | 0.088 | 0.077 | 0.442 | |
| Direct | Collectivism → Innovation Performance | −0.008 | 0.094 | −0.179 | 0.181 |
| Indirect | Collectivism → social context → Innovation Performance | 0.098 | 0.048 | 0.002 | 0.195 |
| Collectivism → performance management context → Innovation Performance | 0.562 | 0.071 | 0.445 | 0.729 | |
| Direct | Power Distance → Innovation Performance | 0.084 | 0.087 | −0.067 | 0.276 |
| Indirect | Power Distance → social context → Innovation Performance | −0.048 | 0.029 | −0.129 | −0.007 |
| Power Distance → performance management context → Innovation Performance | −0.209 | 0.091 | −0.456 | −0.07 | |
6. Discussion
6.1. Implications for Research
6.2. Implications for Practice
6.3. Limitations and Future Research
7. Conclusions
Author Contributions
Funding
Institutional Review Board Statement
Informed Consent Statement
Data Availability Statement
Conflicts of Interest
References
- de Oliveira, M.J.C.; Coelho, D.A. Integrated total quality management: Beyond zero defects theory and towards innovation. Total Qual. Manag. Bus. Excell. 2011, 22, 891–910. [Google Scholar]
- Mumford, M.D. Managing Creative People: Strategies and Tactics for Innovation. Hum. Resour. Manag. Rev. 2000, 10, 313–351. [Google Scholar] [CrossRef]
- Shiva Sheikhi, C.D.Z.; Ghaleh, H.H.; Mehralian, G. High-Performance Work Systems and Innovation Performance Link: How Dynamic Capabilities Mediate. Acad. Manag. Annu. 2022, 2022, 14268. [Google Scholar] [CrossRef]
- Ahmed, P.K. Culture and climate for innovation. Eur. J. Innov. Manag. 1998, 1, 30–43. [Google Scholar] [CrossRef]
- Albors-Garrigos, J.; Igartua, J.I.; Peiro, A. Innovation Management Techniques And Tools: Its Impact On Firm Innovation Performance. Int. J. Innov. Manag. 2018, 22, 1850051. [Google Scholar] [CrossRef]
- Uzkurt, C.; Kumar, R.; Ensari, N. Assessing Organizational Readiness For Innovation: An Exploratory Study on Organizational Characteristics of Innovativeness. Int. J. Innov. Technol. Manag. 2013, 10, 1350018. [Google Scholar] [CrossRef]
- Bammens, Y.P.M. Employees’ Innovative Behavior in Social Context: A Closer Examination of the Role of Organizational Care. J. Prod. Innov. Manag. 2016, 33, 244–259. [Google Scholar] [CrossRef]
- Schein, E.H. Coming to a new awareness of organizational culture. Sloan Manag. Rev. 1984, 25, 3–16. [Google Scholar]
- Detert, J.R.; Schroeder, R.G.; Mauriel, J.J. A Framework for Linking Culture and Improvement Initiatives in Organizations. Acad. Manag. Rev. 2000, 25, 850–863. [Google Scholar] [CrossRef]
- Choi, Y.; Ingram, P.; Han, S.W. Cultural Breadth and Embeddedness: The Individual Adoption of Organizational Culture as a Determinant of Creativity. Adm. Sci. Q. 2023. [Google Scholar] [CrossRef]
- Schein, E.H. The role o f the founder in creating organizational culture. Organ. Dyn. 1983, 12, 13–28. [Google Scholar] [CrossRef]
- Cadden, T.; Marshall, D.; Cao, G. Opposites attract: Organisational culture and supply chain performance. Supply Chain. Manag. Int. J. 2013, 18, 86–103. [Google Scholar] [CrossRef]
- Kahn, W.A. Psychological Conditions of Personal Engagement and Disengagement at Work. Acad. Manag. J. 1990, 33, 692–724. [Google Scholar] [CrossRef]
- Edmondson, A. Psychological Safety and Learning Behavior in Work Teams. Adm. Sci. Q. 1999, 44, 350–383. [Google Scholar] [CrossRef]
- Baer, M.; Frese, M. Innovation Is Not Enough: Climates for Initiative and Psychological Safety, Process Innovations, and Firm Performance. J. Organ. Behav. 2003, 24, 45–68. [Google Scholar] [CrossRef]
- Andersson, M.; Moen, O.; Brett, P.O. The organizational climate for psychological safety: Associations with SMEs’ innovation capabilities and innovation performance. J. Eng. Technol. Manag. 2020, 55, 101554. [Google Scholar] [CrossRef]
- Hofstede, G. Culture’s Consequences: International Differences in Work-Related Values; Sage: Thousand Oaks, CA, USA, 1980. [Google Scholar]
- Minkov, M.; Hofstede, G. The evolution of Hofstede”s doctrine. Cross Cult. Manag. Int. J. 2011, 18, 10–20. [Google Scholar] [CrossRef]
- Triandis, C.H.; Gelfand, J.M. Converging measurement of horizontal and vertical individualism and collectivism. J. Personal. Soc. Psychol. 1998, 74, 118. [Google Scholar] [CrossRef]
- Suh, J.; Son, B. What is the role of collectivism in channel marketing? J. Mark. Thought 2016, 3, 53–63. [Google Scholar]
- Mayfield, C.O.; Tombaugh, J.R.; Lee, M. Psychological collectivism and team effectiveness: Moderating effects of trust and psychological safety. J. Organ. Cult. Commun. Confl. 2016, 20, 78–94. [Google Scholar]
- Earley, P.C. Playing Follow the Leader: Status-Determining Traits in Relation to Collective Efficacy across Cultures. Organ. Behav. Hum. Decis. Process. 1999, 80, 192–212. [Google Scholar] [CrossRef]
- Tang, G.; Chen, Y.; Knippenberg, D.; Yu, B. Antecedents and consequences of empowering leadership: Leader power distance, leader perception of team capability, and team innovation. J. Organ. Behav. 2020, 41, 551–566. [Google Scholar] [CrossRef]
- Tyler, T.R. Psychological Perspectives on Legitimacy And Legitimation. Annu. Rev. Psychol. 2006, 57, 375–400. [Google Scholar] [CrossRef] [PubMed]
- Scott, S.G.; Bruce, R.A. Determinants of Innovative Behavior: A Path Model of Individual Innovation in the Workplace. Acad. Manag. J. 1994, 37, 580–607. [Google Scholar] [CrossRef]
- Gibson, C.B.; Birkinshaw, J. The Antecedents, Consequences, and Mediating Role of Organizational Ambidexterity. Acad. Manag. J. 2004, 47, 209–226. [Google Scholar] [CrossRef]
- Zhou, J.; Fang, Y.; Grover, V. Managing Collective Enterprise Information Systems Compliance: A Social And Performance Management Context Perspective. MIS Q. 2022, 46, 71–99. [Google Scholar] [CrossRef]
- Ellis, K.; Shockley-Zalabak, P. Trust in top management and immediate supervisor: The relationship to satisfaction, perceived organizational effectiveness, and information receiving. Commun. Q. 2001, 49, 382–398. [Google Scholar] [CrossRef]
- Amabile, T.M.; Gryskiewicz, N.D. The creative environment scales: Work environment inventory. Creat. Res. J. 1989, 2, 231–253. [Google Scholar] [CrossRef]
- Waheed, A.; Miao, X.; Waheed, S.; Ahmad, N.; Majeed, A. How New HRM Practices, Organizational Innovation, and Innovative Climate Affect the Innovation Performance in the IT Industry: A Moderated-Mediation Analysis. Sustainability 2019, 11, 621. [Google Scholar] [CrossRef]
- Salavou, H.; Baltas, G.; Lioukas, S. Organisational innovation in SMEs: The importance of strategic orientation and competitive structure. Eur. J. Mark. 2004, 38, 1091–1112. [Google Scholar] [CrossRef]
- Stahl, G.K.; Filatotchev, I.; Ireland, R.D.; Miska, C. Duane Ireland and Christof Miska. Five Decades of Research on the Role of Context in Management: From Universalism Toward Contingent, Multilevel and Polycontextual Perspectives. Acad. Manag. Collect. 2023, 2, 1–18. [Google Scholar]
- Arvey, D.R.; Davis, A.G.; Nelson, M.S. Use of discipline in an organization: A field study. J. Appl. Psychol. 1984, 69, 448. [Google Scholar] [CrossRef]
- Liang, H.; Xue, Y.; Wu, L. Ensuring Employees’ IT Compliance: Carrot or Stick? Inf. Syst. Res. 2013, 24, 279–294. [Google Scholar] [CrossRef]
- Ghoshal, S.; Bartlett, C.A. Linking Organizational Context and Managerial Action: The Dimensions of Quality of Management. Strateg. Manag. J. 1994, 15, 91–112. [Google Scholar] [CrossRef]
- Glaser, L.; Stam, W.; Takeuchi, R. Managing The Risks Of Proactivity: A Multilevel Study Of Initiative And Performance In The Middle Management Context. Acad. Manag. J. 2016, 59, 1339–1360. [Google Scholar] [CrossRef]
- Thompson, K.R.; Hochwarter, W.A.; Mathys, N.J.; Hockwarter, W.A. Stretch Targets: What Makes Them Effective? Acad. Manag. Exec. 1997, 11, 48–60. [Google Scholar] [CrossRef]
- Herbst, T.D.; Hausberg, P. Open Innovation-Innovation Performance: Do Entrepreneurial Orientation and IT Capability Moderate? Acad. Manag. Proc. 2021, 2021, 12459. [Google Scholar] [CrossRef]
- Hammond, M.M.; Neff, L.N.; Farr, L.J.; Schwall, R.A.; Zhao, X. Predictors of individual-level innovation at work: A meta-analysis. Psychol. Aesthet. Creat. Arts 2011, 5, 90. [Google Scholar] [CrossRef]
- Oldham, G.R.; Cummings, A. Employee Creativity: Personal and Contextual Factors at Work. Acad. Manag. J. 1996, 39, 607–634. [Google Scholar] [CrossRef]
- McAllister, D.J.; Bigley, G.A. Work Context and the Definition of self: How Organizational Care Influences Organization-Basei Self-Esteem. Acad. Manag. J. 2002, 45, 894–904. [Google Scholar] [CrossRef]
- Brachos, D.; Kostopoulos, K.; Soderquist, K.E.; Prastacos, G. Knowledge effectiveness, social context and innovation. J. Knowl. Manag. 2007, 11, 31–44. [Google Scholar] [CrossRef]
- Schneider, B.; Reichers, A.E. On The Etiology Of Climates. Pers. Psychol. 1983, 36, 19–39. [Google Scholar] [CrossRef]
- Hu, Q.; Dollard, M.F.; Taris, T.W. Organizational context matters: Psychosocial safety climate as a precursor to team and individual motivational functioning. Saf. Sci. 2022, 145, 105524. [Google Scholar] [CrossRef]
- Chen, X.-P.; Eberly, M.B.; Chiang, T.-J.; Farh, J.-L.; Cheng, B.-S. Affective Trust in Chinese Leaders: Linking Paternalistic Leadership to Employee Performance. J. Manag. 2014, 40, 796–819. [Google Scholar] [CrossRef]
- Hameed, M.A.; Arachchilage, N.A.G. The role of self-efficacy on the adoption of information systems security innovations: A meta-analysis assessment. Pers. Ubiquitous Comput. 2021, 25, 911–925. [Google Scholar] [CrossRef]
- Earley, P.C. Self or Group? Cultural Effects of Training on Self-efficacy and Performance. Adm. Sci. Q. 1994, 39, 89–117. [Google Scholar] [CrossRef]
- Randall, K.R.; Resick, C.J.; De Church, L.A. Building team adaptive capacity: The roles of sensegiving and team composition. J. Appl. Psychol. 2011, 96, 525–540. [Google Scholar] [CrossRef]
- Saldanha, T.J.V.; John, M.B.; Wu, M.X.; Mithas, S. How Information and Communication Technology Shapes the Influence of Culture on Innovation: A Country-level Analysis. J. Manag. Inf. Syst. 2021, 38, 108–139. [Google Scholar] [CrossRef]
- Nembhard, I.M.E.; Edmondson, A.C. Making It Safe: The Effects of Leader Inclusiveness and Professional Status on Psychological Safety and Improvement Efforts in Health Care Teams. J. Organ. Behav. 2006, 27, 941–966. [Google Scholar] [CrossRef]
- Offermann, L.R. Culture’s Consequences for Leadership Behavior. J. Cross-Cult. Psychol. 1997, 28, 342–351. [Google Scholar] [CrossRef]
- Banerjee, S.; Srivastava, D.K. Power distance: A deterrent or a facilitator for innovation. Int. J. Bus. Excell. 2012, 5, 677. [Google Scholar] [CrossRef]
- Graham, J.W. Leadership, Moral Development, and Citizenship Behavior. Bus. Ethics Q. 1995, 5, 43–54. [Google Scholar] [CrossRef]
- Kark, R.; Carmeli, A. Alive and creating: The mediating role of vitality and aliveness in the relationship between psychological safety and creative work involvement. J. Organ. Behav. 2009, 30, 785–804. [Google Scholar] [CrossRef]
- Heckathorn, D.D. Collective Sanctions and Compliance Norms: A Formal Theory of Group-Mediated Social Control. Am. Sociol. Rev. 1990, 55, 366–384. [Google Scholar] [CrossRef]
- Becton, J.B.; Field, H.S. Cultural differences in organizational citizenship behavior: A comparison between Chinese and American employees. Int. J. Hum. Resour. Manag. 2009, 20, 1651–1669. [Google Scholar] [CrossRef]
- Drach-Zahavy, A. Exploring Team Support: The Role of Team’s Design, Values, and Leader’s Support. Group Dyn. Theory Res. Pract. 2004, 8, 235. [Google Scholar] [CrossRef]
- Jackson, C.L.; Colquitt, J.A.; Wesson, M.J.; Zapata-Phelan, C.P. Psychological collectivism: A measurement validation and linkage to group member performance. J. Appl. Psychol. 2006, 91, 884–899. [Google Scholar] [CrossRef]
- Morrison, E.W.; Milliken, F.J. Organizational Silence: A Barrier to Change and Development in a Pluralistic World. Acad. Manag. Rev. 2000, 25, 706–725. [Google Scholar] [CrossRef]
- Chandra, V. Work–life balance: Eastern and western perspectives. J. Hum. Resour. Manag. 2012, 23, 1040–1056. [Google Scholar] [CrossRef]
- Xiao, Y.; Cooke, F.L. Work–life balance in China? Social policy, employer strategy and individual coping mechanisms. Asia Pac. J. Hum. Resour. 2012, 50, 6–22. [Google Scholar] [CrossRef]
- MChukri, I.; Alptekin, D. Innovation Management Systems and Standards: A Systematic Literature Review and Guidance for Future Research. Sustainability 2021, 13, 8151. [Google Scholar]
- Szczepańska-Woszczyna, K. Leadership and Organizational Culture as the Normative Influence of Top Management on Employee’s Behaviour in the Innovation Process. Procedia Econ. Financ. 2015, 34, 396–402. [Google Scholar] [CrossRef]
- Hurley, R.F.; Hult, G.T.M. Innovation, Market Orientation, and Organizational Learning: An Integration and Empirical Examination. J. Mark. 1998, 62, 42–54. [Google Scholar] [CrossRef]
- Lendel, V.; Varmus, M. Evaluation of the Innovative Business Performance. Procedia—Soc. Behav. Sci. 2014, 129, 504–511. [Google Scholar] [CrossRef]
- Doney, P.M.; Cannon, J.P.; Mullen, M.R. Understanding the Influence of National Culture on the Development of Trust. Acad. Manag. Rev. 1998, 23, 601–620. [Google Scholar] [CrossRef]
- Farh, J.-L.; Hackett, R.D.; Liang, J. Individual-Level Cultural Values as Moderators of Perceived Organizational Support-Employee Outcome Relationships in China: Comparing the Effects of Power Distance and Traditionality. Acad. Manag. J. 2007, 50, 715–729. [Google Scholar] [CrossRef]
- Adams, R.; Bessant, J.; Phelps, R. Innovation management measurement: A review. Int. J. Manag. Rev. 2006, 8, 21–47. [Google Scholar] [CrossRef]
- Alexe, C.-G.; Alexe, C.-M. The Importance of the Dimensions of the Innovation Management in Evaluating the Innovation Capability of the Firms in the Machine Building Industry in Romania. Procedia Technol. 2016, 22, 999–1005. [Google Scholar] [CrossRef]
- McGinnis, M.A.; Ackelsberg, M.R. Effective Innovation Management: Missing Link In Strategic Planning? J. Bus. Strategy 1983, 4, 59–66. [Google Scholar] [CrossRef]
- Zhang, Y.; Li, H. Innovation Search of New Ventures in a Technology Cluster: The Role of Ties with Service Intermediaries. Strateg. Manag. J. 2010, 31, 88–109. [Google Scholar] [CrossRef]
- Badawy, T.A.E.; Chinta, R.; Magdy, M.M. ‘Collectivism’ and ‘assertiveness’ as determinants of innovation in small and medium enterprises in Egypt. Int. J. Bus. Environ. 2017, 9, 138–151. [Google Scholar] [CrossRef]


| Metric | CMIN/DF | RMSEA | TLI | IFI | CFI |
|---|---|---|---|---|---|
| Judgment criteria | <3 | <0.08 | >0.9 | >0.9 | >0.9 |
| Correcting model data | 2.304 | 0.066 | 0.933 | 0.942 | 0.942 |
| Fits | ideal | ideal | ideal | ideal | ideal |
Disclaimer/Publisher’s Note: The statements, opinions and data contained in all publications are solely those of the individual author(s) and contributor(s) and not of MDPI and/or the editor(s). MDPI and/or the editor(s) disclaim responsibility for any injury to people or property resulting from any ideas, methods, instructions or products referred to in the content. |
© 2023 by the authors. Licensee MDPI, Basel, Switzerland. This article is an open access article distributed under the terms and conditions of the Creative Commons Attribution (CC BY) license (https://creativecommons.org/licenses/by/4.0/).
Share and Cite
Zhang, W.; Zeng, X.; Liang, H.; Xue, Y.; Cao, X. Understanding How Organizational Culture Affects Innovation Performance: A Management Context Perspective. Sustainability 2023, 15, 6644. https://doi.org/10.3390/su15086644
Zhang W, Zeng X, Liang H, Xue Y, Cao X. Understanding How Organizational Culture Affects Innovation Performance: A Management Context Perspective. Sustainability. 2023; 15(8):6644. https://doi.org/10.3390/su15086644
Chicago/Turabian StyleZhang, Wen, Xiaoshuang Zeng, Huigang Liang, Yajiong Xue, and Xuanze Cao. 2023. "Understanding How Organizational Culture Affects Innovation Performance: A Management Context Perspective" Sustainability 15, no. 8: 6644. https://doi.org/10.3390/su15086644
APA StyleZhang, W., Zeng, X., Liang, H., Xue, Y., & Cao, X. (2023). Understanding How Organizational Culture Affects Innovation Performance: A Management Context Perspective. Sustainability, 15(8), 6644. https://doi.org/10.3390/su15086644
