Rhizobium Grants the Reduction of Phosphate Fertilization during the Production of Coffee Seedlings
Abstract
1. Introduction
2. Materials and Methods
2.1. Seeds, Bacterial Strain and Substrate
2.2. Rhizobium Inoculation in Seeds
2.3. Experimental Design and Statistical Analysis
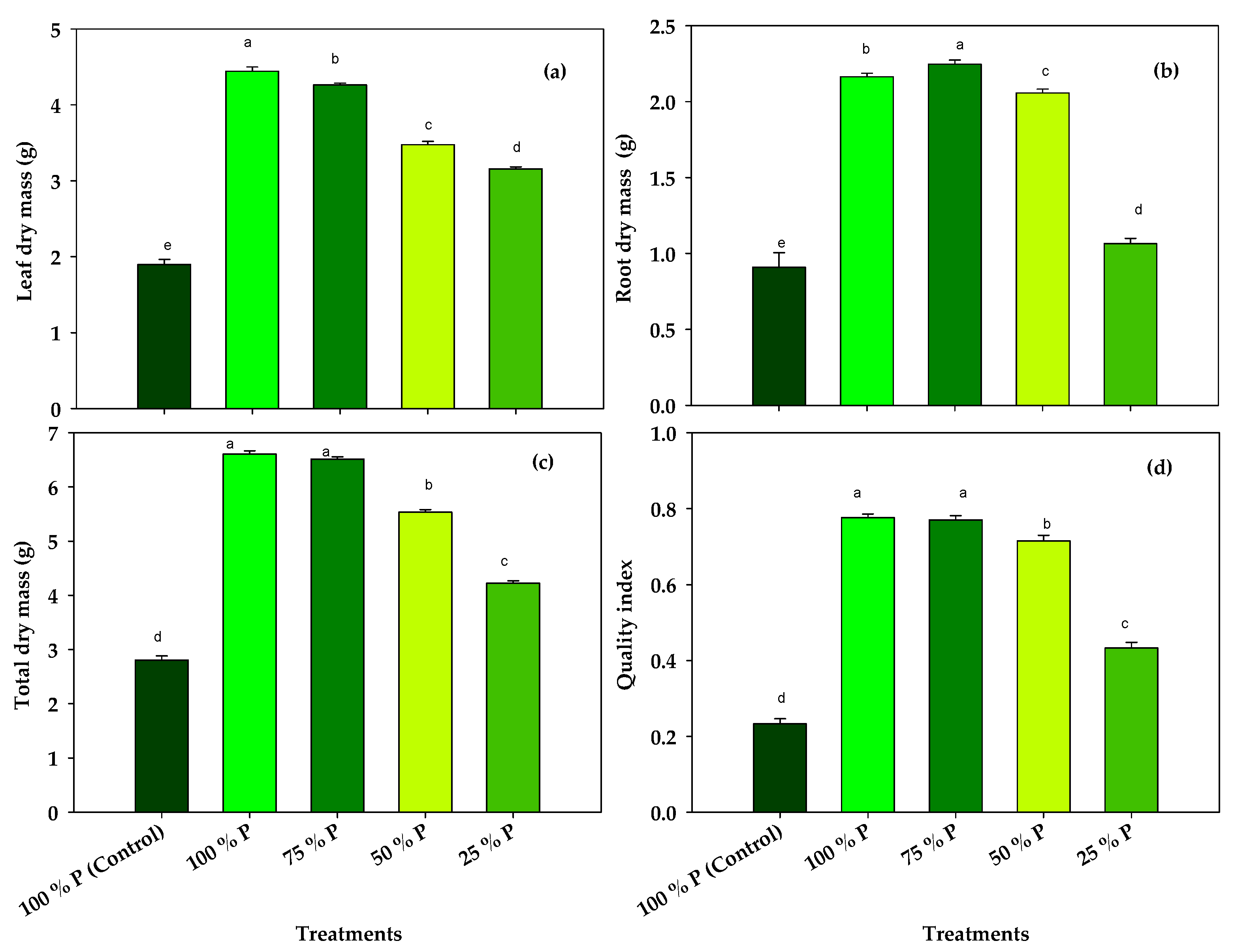
3. Results
4. Discussion
5. Conclusions
Author Contributions
Funding
Institutional Review Board Statement
Informed Consent Statement
Conflicts of Interest
References
- Farah, A.; Dos Santos, T.F. The Coffee Plant and Beans: An Introduction; Elsevier Inc.: Amsterdam, The Netherlands, 2015; Available online: https://www.researchgate.net/profile/Adriana_Farah2/publication/267967496_The_coffee_plant_and_beans_Introduction_Chapter_1/links/546541710cf2f5eb17ff3901/The-coffee-plant-and-beans-Introduction-Chapter-1.pdf (accessed on 7 February 2023).
- Avila-Victor, C.M.; Ordaz-Chaparro, V.M.; Arjona-Suárez, E.d.J.; Iracheta-Donjuan, L.; Gómez-Merino, F.C.; Robledo-Paz, A. In Vitro Mass Propagation of Coffee Plants (Coffea arabica L. var. Colombia) through Indirect Somatic Embryogenesis. Plants 2023, 12, 1237. [Google Scholar] [CrossRef]
- Jaramillo, R.A. La Agroclimatología Del Cafeto. In Clima Andino y Café en Colombia; CENICAFE: Manizales, Colombia, 2005; pp. 149–157. Available online: https://biblioteca.cenicafe.org/bitstream/10778/859/1/Portada.pdf (accessed on 7 February 2023).
- International Coffee Organization. World Coffee Production. Available online: https://www.ico.org/prices/po-production.pdf (accessed on 23 February 2023).
- Flores, D. Mexico Coffee Annual Production Flat with Quality Exports and Robusta Bean Imports Both Rising. Available online: https://apps.fas.usda.gov/newgainapi/api/report/downloadreportbyfilename?filename=Coffee%20Annual_Mexico%20City_Mexico_5-14-2012.pdf (accessed on 17 November 2022).
- Nápoles, V.S.; Milanés, R.S.; Hernández, F.I.; Morales, M.B.; Nápoles, G.M.C. Rhizobia increase germination of Coffea arabica and Coffea canephora seeds. Second evidence from Cuba. Agron. Mesoam. 2022, 33, 45719. [Google Scholar] [CrossRef]
- Galembeck, F.; Galembeck, A.; Santos, L.P.D. NPK: Essentials for sustainability. Química Nova 2020, 42, 1199–1207. [Google Scholar] [CrossRef]
- Tatagiba, S.D.; Pezzopane, J.E.M.; Reis Reis, E.F. Crescimento vegetativo de mudas de café arabica (Coffea arabica L.) submetidas a diferentes níveis de sombreamento. Coffee Sci. 2010, 5, 251–261. Available online: http://www.sbicafe.ufv.br/handle/123456789/5413 (accessed on 10 February 2022).
- Paiva, L.C.; Guimarães, R.J.; Souza, C.A.S. Influência de diferentes níveis de sombreamento sobre o crescimento de mudas de cafeeiro (Coffea arabica L.). Ciênc. e Agrotecnologia 2003, 27, 134–140. [Google Scholar] [CrossRef]
- Unigarro, M.C.A.; Imbachi, Q.L.C.; Cañon, H.M.; Acuña, Z.J.R. Response to applying kaolinite particles in coffee variety seedlings during the nursery stage. J. Saudi Soc. Agric. Sci. 2023; in press. [Google Scholar] [CrossRef]
- Grossnickle, S.; MacDonald, J. Seedling quality: History, application, and plant attributes. Rev. For. 2018, 9, 283. [Google Scholar] [CrossRef]
- Anzueto, F. Guide of Good Practices in Coffee Cultivation for Climate Change Adaptation. Coffee & Climate. 2020. 1–43p. Available online: https://coffeeandclimate.org/wp-content/uploads/2020/06/200611-Gu%C3%ADa-buenas-pr%C3%A1cticas-en-el-cultivo-del-caf%C3%A9-Gu%C3%ADa-buenas-pr%C3%A1cticas-en-el-cultivo-del-caf%C3%A9.pdf (accessed on 10 January 2022).
- Díaz, M.A.; López, P.Y.; Suárez, P.C.; Díaz, S.L. Effect of PhytoMas-E and two proportions of organic matter on the growth of coffee seedlings in nursery. C. Agricola 2021, 48, 14–22. Available online: http://scielo.sld.cu/pdf/cag/v48n1/0253-5785-cag-48-01-14.pdf (accessed on 10 February 2022).
- Guevara, F.W.; Machado, C.G.; Bustamante, G.C.A. Relationship between substrate fertility and growth of coffee (Coffea arabica l.) seedlings in Contramaestre, Santiago de Cuba. Sci. Your PC 2021, 1, 94–110. Available online: https://www.redalyc.org/journal/1813/181368034007/html/ (accessed on 10 February 2022).
- Valverde, L.A. Application of Biostimulants in the Development of Arabica Coffee (Coffea arabica) Plants in Nursery Stage. Bachelor’s Thesis, Universidad Estatal Del Sur De Manabí, Manabi, Ecuador, 2018; 71p. Available online: http://repositorio.unesum.edu.ec/bitstream/53000/1378/1/UNESUM-ECUA-ING.AGROPE-2018-20.pdf (accessed on 9 February 2022).
- Díaz, M.A.; Suárez, C.; Díaz, D. Influence of the bionutrient FitoMas-E on the production of coffee (Coffea arabica L.) seedlings. C Agrícola 2016, 43, 29–35. Available online: http://scielo.sld.cu/pdf/cag/v43n4/cag04416.pdf (accessed on 10 January 2022).
- Morales-Aranibar, L.; Yucra, F.E.Y.; Estrada, N.M.P.; Flores, P.Q.; Zevallos, R.N.M.; Zegarra, J.C.L.; Trujillo, U.P.; Aranibar, C.G.M.; Gonzales, H.H.S.; Aguilera, J.G.; et al. Production of New Biopesticides from Cymbopogon citratus for the Control of Coffee Rust (Hemileia vastatrix) under Laboratory and Field Conditions. Plants 2023, 12, 1166. [Google Scholar] [CrossRef]
- Zhu, J.; Li, M.; Whelan, M. Phosphorus activators contribute to legacy phosphorus availability in agricultural soils: A review. Sci. Total Environ. 2018, 612, 522–537. [Google Scholar] [CrossRef] [PubMed]
- Reyes, C.A. Plant Growth Promoting Rhizobacteria (PGPR) and their contribution to the mineral nutrition of tomato (Lycopersicon sculentum L.). Doctoral Thesis, University of Concepción, Chillan, Chile, 2019; 93p. Available online: http://repositorio.udec.cl/bitstream/11594/935/1/Tesis%20Rizobacterias%20promotoras.pdf (accessed on 9 February 2022).
- Cisneros, R.C.A.; Martín, F.J.; Realpe, F.M.; Fuenmayor, J.C. Influence of microorganisms on phosphorus availability in coffee (Coffea arabica) seedlings. Biotechnol. Agric. Agroind. Sect. 2017, 15, 19–26. [Google Scholar] [CrossRef]
- Stringlis, I.A.; Proietti, S.; Hickman, R.; Van, V.M.C.; Zamioudis, C.; Corné, P.M.J. Root transcriptional dynamics induced by beneficial rhizobacteria and microbial immune elicitors reveal signatures of adaptation to mutualists. Plant J. 2018, 93, 166–180. [Google Scholar] [CrossRef]
- Nápoles, V.S.; Milanes, R.S.; González, C.L.; Alarcón, M.C.O.; Fernández, A.R.; Aguilera, J.G. Rhizobia inoculation favors the growth of Coffea arabica L. seedlings grafted in a nursery. Res. Soc. Dev. 2021, 10, e10110615722. [Google Scholar] [CrossRef]
- Flores-Félix, J.D.; Menéndez, E.; Rivera, L.P.; Marcos-García, M.; Martínez-Hidalgo, P.; Mateos, P.F.; Martínez-Molina, E.; de la Encarnación, M.; García-Fraile, P.; Rivas, R. Use of Rhizobium leguminosarum as a potential biofertilizer for Lactuca sativa and Daucus carota crops. J. Plant Nutr. Soil Sci. 2013, 176, 876–882. [Google Scholar] [CrossRef]
- Zuan, A.T.K.; Ghazali, A.H.A.; Mia, M.A.B. Progress of N2 Fixation by Rice–Rhizobium Association. In Nitrogen Fixing Bacteria: Sustainable Growth of Nonlegumes; Maheshwari, D.K., Dobhal, R., Dheeman, S., Eds.; Microorganisms for Sustainability; Springer: Singapore, 2022; p. 36. [Google Scholar] [CrossRef]
- Cantos, C.G.; Pinargote, C.J.P.; Palma, P.R. Influence of the phytohormone kinetin on the growth of Coffea arabica L. seedlings grafted on robusta rootstock in nursery. Cuba. J. For. Sci. 2018, 6, 134–145. Available online: https://cfores.upr.edu.cu/index.php/cfores/article/view/327/html (accessed on 10 January 2022).
- Cisneros, R.C.A.; Sánchez de Prager, M.; Menjivar, F.J.C. Effect of phosphate solubilizing bacteria on coffee seedling development. Agron Mesoam. 2017, 28, 149–158. [Google Scholar] [CrossRef]
- Ma, Y.; Chen, R. Nitrogen and Phosphorus Signaling and Transport During Legume–Rhizobium Symbiosis. Front. Plant Sci. 2021, 12, 683601. [Google Scholar] [CrossRef] [PubMed]
- Hernández, F.I.; Nápoles, G.M.C. Resident rhizobia in the rhizosphere of rice plants (Oryza sativa L.) cultivar INCA LP-5. Cultiv. Trop. 2017, 38, 39–49. Available online: http://scielo.sld.cu/pdf/ctr/v38n1/ctr05117.pdf (accessed on 10 January 2022).
- Paneque, P.V.M.; Calaña, N.J.M.; Calderón, V.M.; Borges, B.Y.; Hernández, G.T.C.; Caruncho, C.M. Manual de Técnicas Analíticas para Análisis de Suelo, Foliar, Abonos Orgánicos y Fertilizantes Químicos. Natl. Inst. Agric. Sci. 2010, 157. Available online: https://fertilizantesfertvit.files.wordpress.com/2018/09/analisis-de-suelos-y-abonos-organicos.pdf (accessed on 10 February 2022).
- Julca, O.A.; Andía, A.E.; Estelita, C.S.; Borjas, V.R. Behavior of Coffea arabica L. grafted on Coffea canephora in the presence of nematodes in nursery. Revista Investigaciones Altoandinas 2018, 20, 267–280. [Google Scholar] [CrossRef]
- Sernaque, A.S.; Charcape, J.M.; León, J.M.; Barrionuevo, R.; De La Cruz, A.J.; Correa, V.A. Percentage of bud break in Caesalpinia spinosa "taya" by "t" and "wedge" grafting in Tambogrande, Piura-Peru. Mangrove Mag. 2020, 17, 89–93. Available online: https://www.google.com/url?sa=t&rct=j&q=&esrc=s&source=web&cd=&cad=rja&uact=8&ved=2ahUKEwiL5YH1r634AhUHZDABHem5CnsQFnoECAQQAQ&url=https%3A%2F%2Ferp.untumbes.edu.pe%2Fjournals%2Findex.php%2Fmanglar%2Farticle%2Fdownload%2F151%2F260&usg=AOvVaw25FwPh0pa7_8bdZNnyGuzK (accessed on 10 February 2022).
- Córdoba, D.; Vargas, J.J.; López, J.; Muñoz, A. Root growth in young Pinus pinceana Gordon plants in response to soil moisture. Agrociencia 2011, 45, 493–506. Available online: http://www.scielo.org.mx/pdf/agro/v45n4/v45n4a8.pdf (accessed on 10 January 2022).
- Borjas, V.R.; Andía, A.E.; Alarcón, Á.G.; Estelita, C.S.; Julca, O.A. Growth and quality of coffee (Coffea arabica) seedlings grafted on Coffea canephora against nematodes in nursery. J. Selva Andin. Biosph. 2018, 6, 28–41. Available online: http://www.scielo.org.bo/pdf/jsab/v6n2/v6n2_a02.pdf (accessed on 10 January 2022).
- Dickson, A.; Leaf, L.; Hosner, F. Quality Appraisal of White Spruce and White Pine Seedling Stock in Nurseries. For. Chron. 1960, 36, 10–13. Available online: https://pubs.cif-ifc.org/doi/pdf/10.5558/tfc36010-1 (accessed on 9 February 2022). [CrossRef]
- Cáñez, C.M.G.; García, A.A.M. Validation of an analytical method for the determination of phosphorus by ultraviolet—visible spectrophotometry. J. Biol. Health Sci. Biotech 2015, XVII, 32–39. Available online: https://www.google.com/url?sa=t&rct=j&q=&esrc=s&source=web&cd=&cad=rja&uact=8&ved=2ahUKEwik94ftlKv4AhVmczABHb2iCpMQFnoECAMQAQ&url=https%3A%2F%2Fbiotecnia.unison.mx%2Findex.php%2Fbiotechnology%2Farticle%2FviewFile%2F15%2F14&usg=AOvVaw1nhMR_6K4hGA_wt9uCXgpW (accessed on 10 February 2022).
- Ibrahim, H.M.; El-Sawah, A.M. The Mode of Integration Between Azotobacter and Rhizobium Affect Plant Growth, Yield, and Physiological Responses of Pea (Pisum sativum L.). J. Soil Sci. Plant Nutr. 2022, 22, 1238–1251. [Google Scholar] [CrossRef]
- Pérez-Pérez, R.; Oudot, M.; Serrano, L.; Hernández, I.; Nápoles, M.; Sosa, D.; Pérez-Martínez, S. Rhizospheric Rhizobia Identification in Maize (Zea mays L.) Plants. Agron. Colomb. 2019, 37, 255–262. [Google Scholar] [CrossRef]
- Hernández, I.; Taulé, C.; Pérez-Pérez, R.; Battistoni, F.; Fabiano, E.; Rivero, D.; Nápoles, M.C. Endophytic rhizobia promote the growth of Cuban rice cultivar. Symbiosis 2021, 85, 175–190. [Google Scholar] [CrossRef]
- Čapek, P.; Manzoni, S.; Kaštovská, E.; Wild, B.; Diáková, K.; Bárta, J.; Schnecker, J.; Biasi, C.; Martikainen, P.J.; Alves, R.J.E.; et al. A plant—microbe interaction framework explaining nutrient effects on primary production. Nat. Ecol. Evol. 2018, 2, 1588–1596. [Google Scholar] [CrossRef] [PubMed]
- Hernández Forte, I.; Nápoles García, M.C. Rhizobia Promote Rice (Oryza sativa L.) Growth: First Evidence in Cuba. In Sustainability in Plant and Crop Protection; Zúñiga-Dávila, D., González-Andrés, F., Ormeño-Orrillo, E., Eds.; Microbial Probiotics for Agricultural Systems; Springer: Berlin/Heidelberg, Germany, 2019. [Google Scholar] [CrossRef]
- Chi, F.; Yang, P.F.; Han, F.; Jing, Y.X.; Shen, S.H. Proteomic analysis of rice seedlings infected by Sinorhizobium meliloti 1021. Proteomics 2010, 10, 1861–1874. [Google Scholar] [CrossRef]
- Barroso, F.L.; Abad, M.M.; Rodríguez, H.P.; Jerez, M.E. Application of Fitomas-E and Ecomic® for the reduction of mineral fertilizer consumption in the production of coffee seedlings. Cultiv. Trop. 2015, 36, 158–167. Available online: http://scielo.sld.cu/pdf/ctr/v36n4/ctr21415.pdf (accessed on 9 February 2022).
- Bécquer, C.J.; Cancio, T.; Nápoles, J.A.; Muir, I.; Ávila, U.; Álvarez, O.; Madrigal, Y. Selection of rhizobia for their effect on germination and incipient development of Moringa oleifera Lam. Phase I: Controlled conditions. Cuba. J. Agric. Sci. 2018, 52, 473–484. Available online: http://scielo.sld.cu/pdf/cjas/v52n4/2079-3480-cjas-52-04-473.pdf (accessed on 10 February 2022).
- Espinoza, C.A.L.; Vásconez, M.G.H.; Tapia, R.C.S.; Duicela, G.L.A. Growth, development and concentration of macronutrients in coffee genotypes (Coffea robusta P.) with different doses of organic fertilizer. Cienc. Lat. Rev. Científica Multidiscip. 2021, 5, 11718–11734. [Google Scholar] [CrossRef]
- Basave, V.E.; García, C.L.C.; Castro, R.A.; Calixto, V.C.G.; Sigala, R.J.A.; García, P.J.L. Plant Quality of Cedrela odorata L. associated with nursery cultural practices. Rev. Mex. Cienc. For. 2016, 7, 65–80. Available online: http://www.scielo.org.mx/pdf/remcf/v7n36/2007-1132-remcf-7-36-00065.pdf (accessed on 9 February 2022).
- Guerreo, L.J. Technical Guide Technical Assistance directed in: Sampling and Fertilization Recommendations in Tropical Crops. Agrobanco UNALM. Satipo, Peru. 2021, 28p. Available online: https://www.agrobanco.com.pe/data/uploads/ctecnica/039-a-tropicales.pdf (accessed on 9 February 2022).
- Quispe, M.F.J. Biofertilization of Mycorrhizal Fungi and PGPR Bacteria in coffee seedlings (Coffea arabica L.) Var. Catimor at nursery level, in Mazamari Satipo. Bachelor’s Thesis, Universidad Nacional del Centro del Perú, Mantaro, Peru, 2021; 52p. Available online: https://repositorio.uncp.edu.pe/bitstream/handle/20.500.12894/7262/T010_48465644_T.pdf?sequence=1&isAllowed=y (accessed on 10 February 2022).
- Osorio, F.B.D.; Binz, A.; Lima, R.F.; Giongo, A.; Saccol de Sá, E.L. Promotion of rice growth by rhizobia at different levels of nitrogenous fertilization. Ciência Rural 2016, 46, 478–485. [Google Scholar] [CrossRef]
- Moreno, R.A.; García, M.V.; Reyes, C.J.L.; Vásquez, A.J.; Cano, R.P. Plant growth-promoting rhizobacteria: A biofertilization alternative for sustainable agriculture. Colomb. J. Biotechnol. 2018, 20, 68–83. [Google Scholar] [CrossRef]
- Raheem, A.; Shaposhnikov, A.; Belimov, A.; Dodd, I.C.; Ali, B. Auxin production by rhizobacteria was associated with improved yield of wheat (Triticum aestivum L.) under rought stress. Arch. Agronom. Soil Sci. 2018, 64, 574–587. [Google Scholar] [CrossRef]


| P2O5 | KO2 | pH (KCl) | OM (%) | Ca2+ | Mg2+ | Na2+ |
|---|---|---|---|---|---|---|
| ----- mg kg−1 --- | -------------- cmol kg−1 ------------ | |||||
| 75.2 | 22.6 | 6.7 | 0.4 | 31.5 | 13.6 | 0.3 |
| Source of Variation | Sum of Squares | df | Mean Square | F | Sig. | |
|---|---|---|---|---|---|---|
| Stand Height | Between Groups | 1053.798 | 4 | 263.449 | 1285.676 | 0.000 |
| Within Groups | 31.761 | 155 | 0.205 | |||
| Total | 1085.559 | 159 | ||||
| Stem Diameter | Between Groups | 99.539 | 4 | 24.885 | 3399.429 | 0.000 |
| Within Groups | 1.135 | 155 | 0.007 | |||
| Total | 100.674 | 159 | ||||
| Number of Leaf Pairs | Between Groups | 90.438 | 4 | 22.609 | 88.931 | 0.000 |
| Within Groups | 39.406 | 155 | 0.254 | |||
| Total | 129.844 | 159 | ||||
| Root Length | Between Groups | 1216.210 | 4 | 304.052 | 506.170 | 0.000 |
| Within Groups | 93.107 | 155 | 0.601 | |||
| Total | 1309.317 | 159 | ||||
| Root Volume | Between Groups | 62.262 | 4 | 15.566 | 133.753 | 0.000 |
| Within Groups | 18.038 | 155 | 0.116 | |||
| Total | 80.300 | 159 | ||||
| Leaf Phosphorus Content | Between Groups | 0.167 | 4 | 0.042 | 13.562 | 0.000 |
| Within Groups | 0.476 | 155 | 0.003 | |||
| Total | 0.643 | 159 | ||||
| Root Phosphorus Content | Between Groups | 0.066 | 4 | 0.016 | 59.110 | 0.000 |
| Within Groups | 0.043 | 155 | 0.000 | |||
| Total | 0.109 | 159 | ||||
| Dry Mass of the Aerial Part | Between Groups | 132.674 | 4 | 33.168 | 15,396.699 | 0.000 |
| Within Groups | 0.334 | 155 | 0.002 | |||
| Total | 133.008 | 159 | ||||
| Dry Mass of the Root | Between Groups | 53.435 | 4 | 13.359 | 5417.893 | 0.000 |
| Within Groups | 0.382 | 155 | 0.002 | |||
| Total | 53.817 | 159 | ||||
| Dry Mass Total | Between Groups | 335.278 | 4 | 83.820 | 27,400.699 | 0.000 |
| Within Groups | 0.474 | 155 | 0.003 | |||
| Total | 335.753 | 159 | ||||
| Quality Index | Between Groups | 7.513 | 4 | 1.878 | 11,035.998 | 0.000 |
| Within Groups | 0.026 | 155 | 0.000 | |||
| Total | 7.540 | 159 | ||||
| Treatments | Stand Height (cm) | Stem Diameter (mm) | Number of Leaf Pairs | Root Length (cm) | Root Volume (mL) | Phosphorus Content (%) | |
|---|---|---|---|---|---|---|---|
| Foliar | Root | ||||||
| 100% P (Control) a | 19.9 d | 2.0 e | 5.3 c | 20.9 d | 3.9 d | 0.19 d | 0.14 d |
| 100% P + Rpr2 | 26.9 a | 4.1 a | 7.3 a | 28.3 a | 5.2 b | 0.28 a | 0.18 a |
| 75% P + Rpr2 | 26.6 a | 4.0 b | 7.3 a | 28.1 a | 5.5 a | 0.27 ab | 0.19 a |
| 50% P + Rpr2 | 24.2 b | 3.1 c | 6.4 b | 25.3 b | 4.9 c | 0.24 bc | 0.16 b |
| 25% P + Rpr2 | 22.7 c | 3.4 d | 6.1 b | 23.9 c | 4.1 d | 0.23 cd | 0.15 c |
| EX | 0.2 | 0.1 | 0.1 | 0.2 | 0.1 | 0.005 | 0.002 |
| CV | 6.8 | 0.6 | 0.8 | 8.2 | 0.5 | 0.040 | 0.001 |
| Treatments | pH (H2O) | OM (%) | P2O5 (mg kg−1) |
|---|---|---|---|
| Initial | |||
| 100% P (Control) a | 6.4 | 2.7 | 843.8 |
| 75% P | 6.4 | 2.4 | 791.2 |
| 50% P | 6.5 | 3.1 | 512.1 |
| 25% P | 6.8 | 2.2 | 434.1 |
| Final | |||
| 100% P (Control) a | 7.8 | 2.2 | 804.4 |
| 100% P + Rpr2 | 7.6 | 2.9 | 544.7 |
| 75% P + Rpr2 | 7.5 | 2.5 | 523.9 |
| 50% P + Rpr2 | 7.7 | 3.2 | 387.8 |
| 25% P + Rpr2 | 7.7 | 2.5 | 298.1 |
Disclaimer/Publisher’s Note: The statements, opinions and data contained in all publications are solely those of the individual author(s) and contributor(s) and not of MDPI and/or the editor(s). MDPI and/or the editor(s) disclaim responsibility for any injury to people or property resulting from any ideas, methods, instructions or products referred to in the content. |
© 2023 by the authors. Licensee MDPI, Basel, Switzerland. This article is an open access article distributed under the terms and conditions of the Creative Commons Attribution (CC BY) license (https://creativecommons.org/licenses/by/4.0/).
Share and Cite
Vinent, S.N.; Aguilera, J.G.; Fernandez Aguilera, R.D.J.; Forte, I.H.; Garcias, M.C.N.; Salcedo, E.P.; Chura, R.M.M.; Portilla, R.M.; Huamán, R.N.T.; Ratke, R.F.; et al. Rhizobium Grants the Reduction of Phosphate Fertilization during the Production of Coffee Seedlings. Sustainability 2023, 15, 6559. https://doi.org/10.3390/su15086559
Vinent SN, Aguilera JG, Fernandez Aguilera RDJ, Forte IH, Garcias MCN, Salcedo EP, Chura RMM, Portilla RM, Huamán RNT, Ratke RF, et al. Rhizobium Grants the Reduction of Phosphate Fertilization during the Production of Coffee Seedlings. Sustainability. 2023; 15(8):6559. https://doi.org/10.3390/su15086559
Chicago/Turabian StyleVinent, Sucleidi Nápoles, Jorge González Aguilera, Ruben De Jesus Fernandez Aguilera, Ionel Hernández Forte, María Caridad Nápoles Garcias, Eliseo Pumacallahui Salcedo, Richar Marlon Mollinedo Chura, Roxana Madueño Portilla, Ruth Nancy Tairo Huamán, Rafael Felippe Ratke, and et al. 2023. "Rhizobium Grants the Reduction of Phosphate Fertilization during the Production of Coffee Seedlings" Sustainability 15, no. 8: 6559. https://doi.org/10.3390/su15086559
APA StyleVinent, S. N., Aguilera, J. G., Fernandez Aguilera, R. D. J., Forte, I. H., Garcias, M. C. N., Salcedo, E. P., Chura, R. M. M., Portilla, R. M., Huamán, R. N. T., Ratke, R. F., Luna, A. M. M., & Morales-Aranibar, L. (2023). Rhizobium Grants the Reduction of Phosphate Fertilization during the Production of Coffee Seedlings. Sustainability, 15(8), 6559. https://doi.org/10.3390/su15086559

