Shifting Limitations to Restoration across Dryland Ecosystems in Hawaiʻi
Abstract
:1. Introduction
2. Materials and Methods
2.1. Study Sites
2.2. Experimental Design and Data Collection
2.3. Statistical Analysis
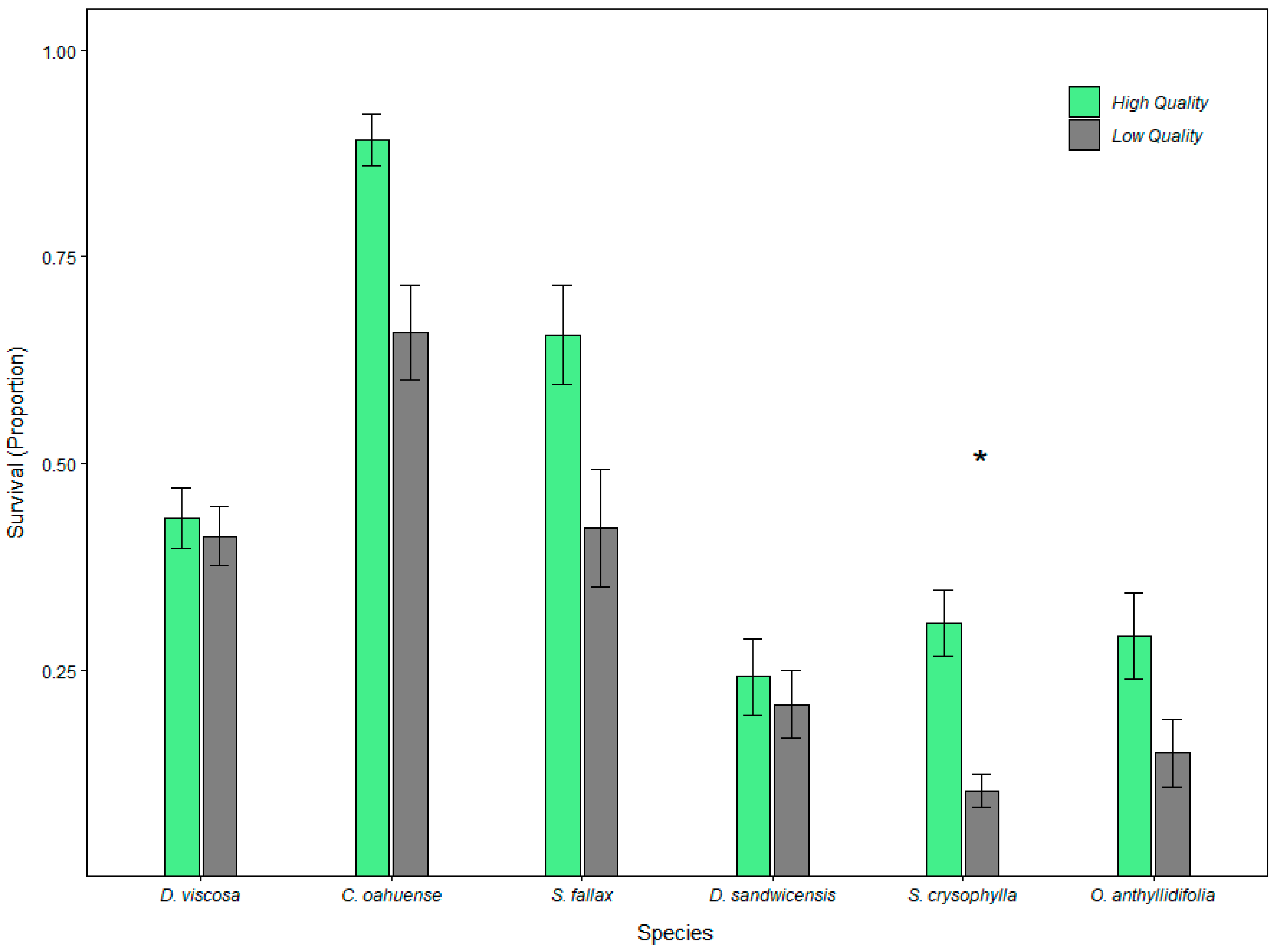
3. Results
3.1. Outplant Survival
| Species | Spring 2010 | Spring 2011 | ||||
|---|---|---|---|---|---|---|
| LP | MP | HP | LP | MP | HP | |
| Dodonaea viscosa | 4 | 9 | 12 | 1 | 0 | 12 |
| Chenopodium oahuense | 10 | 6 | 12 | 0 | 0 | 12 |
| Bidens menziesii | 5 | 5 | N/A | 0 | 0 | N/A |
| Dubautia linearis | 3 | 5 | N/A | 0 | 0 | N/A |
| Sida fallax | 8 | 3 | 11 | 0 | 0 | 9 |
| Sophora chrysophylla | 3 | 7 | 12 | 0 | 0 | 10 |
| Metrosideros polymorpha | 1 | 0 | 0 | 0 | 0 | 0 |
| Diospyros sandwicensis | N/A | N/A | 10 | N/A | N/A | 6 |
| Osteomeles anthyllidifolia | N/A | N/A | 7 | N/A | N/A | 6 |
3.2. Percent Cover
3.3. Native Richness and Diversity
4. Discussion
Supplementary Materials
Author Contributions
Funding
Institutional Review Board Statement
Informed Consent Statement
Data Availability Statement
Acknowledgments
Conflicts of Interest
References
- Loope, L.L. Hawaii and the pacific islands. Status Trends Nation’s Biol. Resour. 1998, 2, 747–774. [Google Scholar]
- Bruegmann, M.M. Hawaii’s dry forests. Endanger. Species Bull. 1996, 21, 26–27. [Google Scholar]
- Mehrhoff, L. Rare Plants in Hawaii: A Status Report. Plant Conserv. 1993, 7, 1–2. [Google Scholar]
- Barton, K.E.; Westerband, A.; Ostertag, R.; Stacy, E.; Winter, K.; Drake, D.R.; Fortini, L.B.; Litton, C.M.; Cordell, S.; Krushelnycky, P.; et al. Hawaiʻi forest review: Synthesizing the ecology, evolution, and conservation of a model system. Perspect. Plant Ecol. Evol. Syst. 2021, 52, 125631. [Google Scholar] [CrossRef]
- Smith, C.; Tunison, J. Fire and Alien Plants in Hawaii: Research and Management Implications for Native Ecosystems; University of Hawaii at Manoa Department of Botany: Honolulu, HI, USA, 1992; pp. 394–408. [Google Scholar]
- Trauernicht, C.; Pickett, E.; Giardina, C.P.; Litton, C.M.; Cordell, S.; Beavers, A. The Contemporary Scale and Context of Wildfire in Hawaii. Pac. Sci. 2015, 69, 427–444. [Google Scholar] [CrossRef]
- Fujioka, F.M.; Fujii, D.M. Physical Characteristics of Selected Fine Fuels in Hawaii—Some Refinements on Surface Area—To Volume Calculations; USDA Forest Service Pacific Southwest Forest and Range Experiment Station: Berkeley, CA, USA, 1980; pp. 1–8.
- Hughes, R.F.; Vitousek, P.M.; Tunison, T. Alien grass invasion and fire in the seasonal submontane zone of Hawaii. Ecology 1991, 72, 743–746. [Google Scholar] [CrossRef]
- Freifelder, R.R.; Vitousek, P.M.; D’Antonio, C.M. Microclimate change and effect on fire following forest-grass conversion in seasonally dry tropical woodland. Biotropica 1998, 30, 286–297. [Google Scholar] [CrossRef]
- D’Antonio, C.M.; Vitousek, P.M. Biological invasions by exotic grasses, the grass/fire cycle, and global change. Annu. Rev. Ecol. Syst. 1992, 23, 63–87. [Google Scholar] [CrossRef]
- Mack, M.C.; D’Antonio, C.M. Impacts of biological invasions on disturbance regimes. Tree 1998, 13, 195–198. [Google Scholar] [CrossRef]
- Angelo, C.L.; Daehler, C.C. Upward expansion of fire-adapted grasses along a warming tropical elevation gradient. Ecography 2013, 36, 551–559. [Google Scholar] [CrossRef]
- Bowman, D.M.; MacDermott, H.J.; Nichols, S.C.; Murphy, B.P. A grass–Fire cycle eliminates an obligate-seeding tree in a tropical savanna. Ecol. Evol. 2014, 421, 4185–4194. [Google Scholar] [CrossRef]
- Goldammer, J.G. Fire in the Tropical Biota: Ecosystem Processes and Global Challenges; Springer Science & Business Media: Berlin/Heidelberg, Germany, 2012; Volume 84. [Google Scholar]
- Loope, L.L.; Hughes, R.F.; Meyer, J.-Y. Plant invasions in protected areas of tropical Pacific Islands, with special reference to Hawaii. In Plant Invasions in Protected Areas; Springer: Berlin/Heidelberg, Germany, 2013; pp. 313–348. [Google Scholar]
- Funk, J.L.; McDaniel, S. Altering Light Availability to Restore Invaded Forest: The Predictive Role of Plant Traits. Restor. Ecol. 2010, 18, 865–872. [Google Scholar] [CrossRef]
- Mueller-Dombois, D. Vegetation dynamics in a coastal grassland of Hawaii. Vegetatio 1981, 46, 131–140. [Google Scholar] [CrossRef]
- Blackmore, M.; Vitousek, P.M. Cattle grazing, forest loss, and fuel loading in a dry forest ecosystem at Pu’u Wa’aWa’a Ranch, Hawai’i. Biotropica 2000, 32, 625–632. [Google Scholar] [CrossRef]
- Scowcroft, P.G.; Giffin, J.G. Feral herbivores suppress mamane and other browse species on Mauna Kea. J. Range Manag. 1983, 36, 638–645. [Google Scholar] [CrossRef]
- Zhu, T.R.; Litton, C.M.; Giardina, C.P.; Trauernicht, C. Moisture availability and ecological restoration limit fine fuels and modeled wildfire intensity following nonnative ungulate removal in Hawaii. J. Appl. Ecol. 2021, 58, 2207–2219. [Google Scholar] [CrossRef]
- Fargione, J.; Brown, C.S.; Tilman, D. Community assembly and invasion: An experimental test of neutral versus niches processes. Proc. Natl. Acad. Sci. USA 2003, 100, 8916–8920. [Google Scholar] [CrossRef] [Green Version]
- Weiher, E.; Freund, D.; Bunton, T.; Stefanski, A.; Lee, T.; Bentivenga, S. Advances, challenges and a developing synthesis of ecological community assembly theory. Philos. T. R. Soc. B 2011, 366, 2403–2413. [Google Scholar] [CrossRef]
- Young, T.P.; Chase, J.M.; Huddleston, R.T. Community succession and assembly: Comparing, contrasting and combining paradigms in the context of ecological restoration. Ecol. Restor. 2001, 19, 5–18. [Google Scholar] [CrossRef]
- Young, T.P.; Petersen, D.A.; Clary, J.J. The ecology of restoration: Historical links, emerging issues and unexplored realms. Ecol. Lett. 2005, 8, 1–12. [Google Scholar] [CrossRef]
- Funk, J.L.; Cleland, E.E.; Suding, K.N.; Zavaleta, E.S. Restoration through reassembly: Plant traits and invasion resistance. Trends Ecol. Evol. 2008, 23, 695–703. [Google Scholar] [CrossRef] [PubMed]
- Hobbs, R.J.; Jentsch, A.; Temperton, V.M. Restoration as a Process of Assembly and Succession Mediated by Disturbance. In Linking Restoration and Ecological Succession; Walker, L.R., Walker, J., Hobbs, R.J., Eds.; Springer: New York, NY, USA, 2007. [Google Scholar] [CrossRef]
- Temperton, V.M.; Hobbs, R.J.; Nuttle, T.; Halle, S. Assembly Rules and Restoration Ecology: Bridging the Gap between Theory and Practice; Island Press: Washington, DC, USA, 2004. [Google Scholar]
- Weiher, E.; Keddy, P. Ecological Assembly Rules: Perspectives, Advances, Retreats; Cambridge University Press: Cambridge, UK, 1999. [Google Scholar]
- Cabin, R.J.; Weller, S.G.; Lorence, D.H.; Cordell, S.; Hadway, L.J. Effects of microsite, water, weeding, and direct seeding on the regeneration of native and alien species within a Hawaiian dry forest preserve. Biol. Conserv. 2002, 104, 181–190. [Google Scholar] [CrossRef]
- Cabin, R.J.; Weller, S.G.; Lorence, D.H.; Cordell, S.; Hadway, L.J.; Montgomery, R.; Goo, D.; Urakami, A. Effects of light, alien grass, and native species additions on Hawaiian dry forest restoration. Ecol. Appl. 2002, 12, 1595–1610. [Google Scholar] [CrossRef]
- Cabin, R.J.; Weller, S.G.; Lorence, D.H.; Flynn, T.W.; Sakai, A.K.; Sandquist, D.; Hadway, L.J. Effects of long-term ungulate exclusion and recent alien species control on the preservation and restoration of a Hawaiian tropical dry forest. Conserv. Biol. 2000, 14, 439–453. [Google Scholar] [CrossRef]
- Thaxton, J.M.; Cole, T.C.; Cordell, S.; Cabin, R.J.; Sandquist, D.R.; Litton, C.M. Native species regeneration following ungulate exclusion and nonnative grass removal in a remnant Hawaiian dry forest. Pac. Sci. 2010, 64, 533–544. [Google Scholar] [CrossRef]
- Thaxton, J.M.; Cordell, S.; Cabin, R.J.; Sandquist, D.R. Non-native grass removal and shade increase soil moisture and seedling performance during Hawaiian dry forest restoration. Restor. Ecol. 2012, 20, 475–482. [Google Scholar] [CrossRef]
- Ammondt, S.A.; Litton, C.M.; Ellsworth, L.M.; Leary, J. Restoration of native plant commnities in a Hawaiian dry lowland ecoystem dominated by the invasive grass Megathyrsus macimum. Appl. Veg. Sci. 2013, 1, 29–39. [Google Scholar] [CrossRef]
- Questad, E.J.; Thaxton, J.M.; Cordell, S. Patterns and consequences of re-invasion into a Hawaiian dry forest restoration. Biol. Invasions 2012, 14, 2573–2586. [Google Scholar] [CrossRef]
- Questad, E.J.; Kellner, J.R.; Kinney, K.; Cordell, S.; Asner, G.P.; Thaxton, J.; Diep, J.; Uowolo, A.; Brooks, S.; Inman-Narahari, N.; et al. Mapping habitat suitability for at-risk plant species and its implications for restoration and reintroduction. Ecol. Appl. 2014, 24, 385–395. [Google Scholar] [CrossRef]
- Kellner, J.R.; Asner, G.P.; Kinney, K.M.; Loarie, S.R.; Knapp, D.E.; Kennedy-Bowdoin, T.; Questad, E.J.; Cordell, S.; Thaxton, J.M. Remote analysis of biological invasion and the impact of enemy release. Ecol. Appl. 2011, 21, 2094–2104. [Google Scholar] [CrossRef]
- Prach, K.; Hobbs, R.J. Spontaneous succession versus technical reclamation in the restoration of disturbed sites. Restor. Ecol. 2008, 16, 363–366. [Google Scholar] [CrossRef]
- Moore, J.; Clague, D. Volcano growth and evolution of the island of Hawaii. Geol. Soc. Am. Bull. 1992, 104, 1471–1484. [Google Scholar] [CrossRef]
- Rock, J.F. The Indigenous Trees of the Hawaiian Islands, Reprinted in 1974 ed.; Pacific Tropical Botanical Garden: Lawai, HI, USA; Charles F. Tuttle: Rutland, VT, USA, 1913. [Google Scholar]
- Giffin, J.G. Puu Waawaa Biological Assessment, Puu Waawaa, North Kona, Hawaii; State of Hawaii, Department of Land and Natural Resources, Division of Forestry and Wildlife: Hilo, HI, USA, 2003; p. 92.
- Bern, C. Land Condition-Trend Analysis Summary of Vegetation Monitoring, Pohakuloa Training Area, Hawaii, 1893–1993; Center for Ecological Management of Military Lands, Colorado State University: Fort Collins, CO, USA, 1995; p. 102. [Google Scholar]
- Vitousek, P.M.; Aplet, G.; Turner, D.; Lockwood, J.J. The Mauna-Loa Environmental Matrix—Foliar and Soil Nutrients. Oecologia 1992, 89, 372–382. [Google Scholar] [CrossRef]
- Aplet, G.H.; Hughes, R.F.; Vitousek, P.M. Ecosystem development on Hawaiian lava flows: Biomass and species composition. J. Veg. Sci. 1998, 9, 17–26. [Google Scholar] [CrossRef]
- U.S. Army Garrison Hawaii. Pōhakuloa Integrated Natural Resources Management Plan; Center for Environmental Management of Military Lands, Colorado State University: Fort Collins, CO, USA, 2010.
- Stout, G. Associates. In Integrated Natural Resources Management Plan; Center for Ecological Management of Military Lands, Colorado State University: Fort Collins, CO, USA, 2002; p. 290. [Google Scholar]
- Trusdell, F.A.; Wolfe, E.W.; Morris, J. Digital Database of the Geologic Map of the Island of Hawaiʻi: U.S.; Geological Survey Data: 2005. Available online: https://pubs.usgs.gov/ds/2005/144/ (accessed on 20 April 2022).
- Rhodes, J.; Lockwood, J. Mauna Loa Revealed: Structure, Composition, History, and Hazards.; American Geophysical Union: 1995. Available online: https://www.researchgate.net/publication/281245937_Mauna_Loa_Revealed_Structure_Composition_History_and_Hazards (accessed on 20 April 2022).
- Giambelluca, T.W.; Nullet, M.A.; Schroeder, T.A. Rainfall Atlas of Hawaii; State of Hawaii, Department of Land and Natural Resources, Division of Water and Land Development: Honolulu, HI, USA, 1986.
- Asner, G.P.; Sousan, S.; Knapp, D.E.; Selmants, P.C.; Martin, R.E.; Hughes, R.F.; Giardina, C.P. Rapid forest carbon assessments of oceanic islands—a case study of the Hawaiian archipelago. Carbon Balance Manag. 2016, 11, 13. [Google Scholar] [CrossRef] [Green Version]
- R Core Team. R: A Language and Environment for Statistical Computing; R Foundation for Statistical Computing: Vienna, Austria, 2020. [Google Scholar]
- Bates, D.; Machler, M.; Bolker, B.M.; Walker, S.C. Fitting linear mixed-effects models using lme4. J. Stat. Softw. 2015, 67, 1–48. [Google Scholar] [CrossRef]
- Lenth, R.V. Emmeans: Estimated Marginal Means, Aka Least-Squares Means. 2021. Available online: https://cran.r-project.org/web/packages/emmeans/emmeans.pdf (accessed on 20 April 2022).
- Mack, M.C.; D’Antonio, C.M. Exotic grasses alter controls over soil nitrogen dynamics in a Hawaiian woodland. Ecol. Appl. 2003, 13, 154–166. [Google Scholar] [CrossRef]
- Cordell, S.; Ostertag, R.; Michaud, J.; Warman, L. Quandaries of a decade-long restoration experiment trying to reduce invasive species: Beat them, join them, give up, or start over? Restor. Ecol. 2016, 24, 139–144. [Google Scholar] [CrossRef]
- Cordell, S.; McClellan, M.; Carter, Y.Y.; Hadway, L.J. Towards restoration of Hawaiian tropical dry forests: The Kaupulehu outplanting programme. Pac. Conserv. Biol. 2008, 14, 279–284. [Google Scholar] [CrossRef]
- Hnatiuk, S.; Rayner, I.; Brookhouse, M.; Freudenberger, D. Survival of native seedlings planted by volunteers: The Lower Cotter, ACT case study. Ecol. Manag. Restor. 2020, 21, 151–154. [Google Scholar] [CrossRef]
- Brancalion, P.H.S.; Holl, K.D. Guidance for successful tree planting initiatives. J. Appl. Ecol. 2020, 57, 2349–2361. [Google Scholar] [CrossRef]
- Holl, K.D.; Brancalion, P.H.S. Tree planting is not a simple solution. Science 2020, 368, 580–581. [Google Scholar] [CrossRef] [PubMed]





| LDF Cohort 1 | LDF Cohort 2 | |||||
|---|---|---|---|---|---|---|
| Num df | Den df | F | Num df | Den df | F | |
| Habitat Quality | 1 | 8 | 2.03 | 1 | 8 | 1.82 |
| Weed Control | 1 | 8 | 0.24 | 1 | 8 | 2.98 |
| Species | 5 | 301 | 83.57 *** | N/A | N/A | N/A |
| Date | 4 | 301 | 6.90 *** | 1 | 9 | 28.17 *** |
| Habitat Quality: Weed Control | 1 | 8 | 1.98 | 1 | 8 | 0.02 |
| Habitat Quality: Date | 4 | 301 | 0.20 | 1 | 9 | 2.67 |
| Habitat Quality: Species | 5 | 301 | 3.75 ** | N/A | N/A | N/A |
| Weed Control: Species | 5 | 301 | 2.22 | N/A | N/A | N/A |
| Weed Control: Date | 4 | 301 | 0.04 | 1 | 9 | 4.17 |
| Species: Date | 24 | 301 | 0.29 | N/A | N/A | N/A |
| Num df | Den df | Native Cover | Non-Native Cover | |||||
|---|---|---|---|---|---|---|---|---|
| LP | MP | HP | LP | MP | HP | |||
| Habitat Quality | 1 | 4 | 2.76 | 6.03 | 2.82 | 16.34 * | 1.43 | 1.17 |
| Weed Control | 1 | 22 | 3.11 | 2.35 | 0.003 | 244.51 *** | 66.36 *** | 287.62 *** |
| Species Addition | 2 | 22 | 0.81 | 3.53 * | 7.06 ** | 3.42 | 0.07 | 0.87 |
| Year | 2 | 62 | 7.54 ** | 2.22 | 32.89 *** | 22.45 *** | 33.08 *** | 3.28 * |
| Habitat Quality: Weed Control | 1 | 22 | 1.22 | 2.86 | 1.52 | 24.64 *** | 4.69 * | 2.36 |
| Habitat Quality: Year | 2 | 62 | 3.02- | 0.51 | 1.59 | 1.23 | 1.37 | 0.01 |
| Habitat Quality: Species Addition | 2 | 22 | 0.08 | 0.47 | 0.09 | 1.30 | 1.35 | 0.58 |
| Weed Control: Species Addition | 2 | 22 | 0.20 | 2.92 | 0.72 | 3.87 * | 1.54 | 0.16 |
| Weed Control: Year | 2 | 62 | 1.06 | 0.96 | 3.53 * | 4.47 * | 1.37 | 0.33 |
| Species Addition: Year | 4 | 62 | 0.65 | 0.38 | 19.63 *** | 0.87 | 1.19 | 1.72 |
| Low LP | Moderate MP | High HP | Initial Productivity | ||
|---|---|---|---|---|---|
| Metric | Treatment | ||||
| Outplant Survival | Habitat quality | + | |||
| Weed removal | |||||
| Non-native cover | Habitat quality | + | – | ||
| Weed removal | ++ | ++ | ++ | ||
| Outplanting | + | ||||
| Native cover | Habitat quality | ||||
| Weed removal | |||||
| Outplanting | + | ||||
| Native richness | Habitat quality | ||||
| Weed removal | |||||
| Outplanting | + | ++ | |||
| Native diversity | Habitat quality | * | |||
| Weed removal | * | ||||
| Outplanting | + | ++ |
Publisher’s Note: MDPI stays neutral with regard to jurisdictional claims in published maps and institutional affiliations. |
© 2022 by the authors. Licensee MDPI, Basel, Switzerland. This article is an open access article distributed under the terms and conditions of the Creative Commons Attribution (CC BY) license (https://creativecommons.org/licenses/by/4.0/).
Share and Cite
Questad, E.J.; Uowolo, A.; Brooks, S.; Cordell, S. Shifting Limitations to Restoration across Dryland Ecosystems in Hawaiʻi. Sustainability 2022, 14, 5421. https://doi.org/10.3390/su14095421
Questad EJ, Uowolo A, Brooks S, Cordell S. Shifting Limitations to Restoration across Dryland Ecosystems in Hawaiʻi. Sustainability. 2022; 14(9):5421. https://doi.org/10.3390/su14095421
Chicago/Turabian StyleQuestad, Erin J., Amanda Uowolo, Samuel Brooks, and Susan Cordell. 2022. "Shifting Limitations to Restoration across Dryland Ecosystems in Hawaiʻi" Sustainability 14, no. 9: 5421. https://doi.org/10.3390/su14095421
APA StyleQuestad, E. J., Uowolo, A., Brooks, S., & Cordell, S. (2022). Shifting Limitations to Restoration across Dryland Ecosystems in Hawaiʻi. Sustainability, 14(9), 5421. https://doi.org/10.3390/su14095421

