Effects of Eco-Friendly Product Application and Sustainable Agricultural Management Practices on Soil Properties and Phytosanitary Condition of Winter Wheat Crops
Abstract
1. Introduction
2. Materials and Methods
2.1. Study Area and Soil Sampling
- -
- Factor A levels: A1 (straw + EM single application, introduced into the soil during post-harvest cultivation in autumn at a dose of 40 dm3 ha−1), A2 (straw + EM dual application introduced into the soil during post-harvest cultivation in autumn at a dose of 20 dm3∙ha−1 and EM applied on leaves in a dose of 20 dm3 ha−1 at BBCH 20–22), A3 (straw + no EM application), A4 (straw removed + EM single application), A5 (straw removed + EM dual application), and A6 (straw + no EM application);
- -
- Factor B levels: B1 (biostimulant Asahi SL applied once on leaves at a dose of 1.0 dm3∙ha−1 at BBCH 20–22), B2 (biostimulant Asahi SL applied twice on leaves in two doses of 0.5 dm3∙ha−1 at BBCH 20–22 and BBCH 27–29), and B3 (no biostimulant application).
2.2. Chemical Properties
2.3. Soil Microbiological Parameters
2.4. Plant Diseases Occurrence
2.5. Data Analyses
3. Results
3.1. Soil Total Organic Carbon and Total Nitrogen Content
3.2. Mineral Nitrogen Content
3.3. Soil P, K, and Mg Content, and Soil pH
3.4. Soil Microorganisms Number
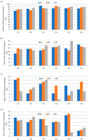
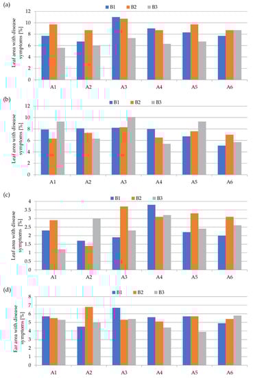
3.5. Occurrence of Wheat Diseases
3.6. Relationship between the Studied Properties—PCA
4. Discussion
5. Conclusions
Author Contributions
Funding
Institutional Review Board Statement
Informed Consent Statement
Data Availability Statement
Acknowledgments
Conflicts of Interest
References
- Murawska, A.; Prus, P. The Progress of Sustainable Management of Ammonia Emissions from Agriculture in European Union States Including Poland—Variation, Trends, and Economic Conditions. Sustainability 2021, 13, 1035. [Google Scholar] [CrossRef]
- Mi, Y.; Zhao, X.; Liu, F.; Sun, C.; Sun, Z.; Liu, L. Changes in soil quality, bacterial community and anti-pepper Phytophthora disease ability after combined application of straw and multifunctional composite bacterial strains. Eur. J. Soil Biol. 2021, 105, 103329. [Google Scholar] [CrossRef]
- Montanarella, L.; Panagos, P. The relevance of sustainable soil management within the European Green Deal. Land Use Policy 2021, 100, 104950. [Google Scholar] [CrossRef]
- Pereira, R.V.; Filgueiras, C.C.; Dória, J.; Peñaflor, M.F.G.V.; Willett, D.S. The Effects of Biostimulants on Induced Plant Defense. Front. Agron. 2021, 3, 630596. [Google Scholar] [CrossRef]
- Björnsson, L.; Prade, T. Sustainable Cereal Straw Management: Use as Feedstock for Emerging Biobased Industries or Cropland Soil Incorporation? Waste Biomass Valorization 2021, 12, 5649–5663. [Google Scholar] [CrossRef]
- Iriti, M.; Scarafoni, A.; Pierce, S.; Castorina, G.; Vitalini, S. Soil Application of Effective Microorganisms (EM) Maintains Leaf Photosynthetic Efficiency, Increases Seed Yield and Quality Traits of Bean (Phaseolus vulgaris L.) Plants Grown on Different Substrates. IJMS 2019, 20, 2327. [Google Scholar] [CrossRef] [PubMed]
- Prus, P. Sustainable farming production and its impact on the natural environment-case study based on a selected group of farmers. In Proceedings of the 8th International Scientific Conference Rural Development 2017: Bioeconomy Challenges, Kaunas, Lithuania, 23–24 November 2017; Raupeliene, A., Ed.; VDU Research Management System: Kaunas, Lithuania, 2017; pp. 1280–1285. [Google Scholar]
- Regulation (EU) 2019/1009 of the European Parliament and of the Council of 5 June 2019 Laying down Rules on the Making Available on the Market of EU Fertilising Products and Amending Regulations (EC) No 1069/2009 and (EC) No 1107/2009 and Repealing Regulation (EC) No 2003/2003. Available online: http://data.europa.eu/eli/reg/2019/1009/2022-10-03 (accessed on 15 September 2022).
- Li, J.; Van Gerrewey, T.; Geelen, D. A Meta-Analysis of Biostimulant Yield Effectiveness in Field Trials. Front. Plant Sci. 2022, 13, 836702. [Google Scholar] [CrossRef] [PubMed]
- Abd El-Mageed, T.A.; Gyushi, M.A.H.; Hemida, K.A.; El-Saadony, M.T.; Abd El-Mageed, S.A.; Abdalla, H.; AbuQamar, S.F.; El-Tarabily, K.A.; Abdelkhalik, A. Coapplication of Effective Microorganisms and Nanomagnesium Boosts the Agronomic, Physio-Biochemical, Osmolytes, and Antioxidants Defenses Against Salt Stress in Ipomoea batatas. Front. Plant Sci. 2022, 13, 883274. [Google Scholar] [CrossRef]
- Drobek, M.; Frąc, M.; Cybulska, J. Plant Biostimulants: Importance of the Quality and Yield of Horticultural Crops and the Improvement of Plant Tolerance to Abiotic Stress—A Review. Agronomy 2019, 9, 335. [Google Scholar] [CrossRef]
- Michałek, W.; Kocira, A.; Findura, P.; Szparaga, A.; Kocira, S. The influence of biostimulant asahi SL on the photosynthetic activity of selected cultivars of Phaseolus vulgaris L. Rocz. Ochr. Sr. 2018, 20, 1286–1301. [Google Scholar]
- Golec, A.F.C.; Pérez, P.G.; Lokare, C. Effective microorganisms: Myth or reality? Rev. Peru. Biol. 2007, 14, 315–319. [Google Scholar]
- Higa, T.; Parr, J.F. Beneficial and Effective Microorganisms for a Sustainable Agriculture and Environment. 1994. Available online: http://www.em-la.com/archivos-de-usuario/base_datos/ (accessed on 10 October 2022).
- Yamada, K.; Xu, H.L. Properties and Applications of an Organic Fertilizer Inoculated with Effective Microorganisms. J. Crop Prod. 2001, 3, 255–268. [Google Scholar] [CrossRef]
- Allahverdiev, S.R.; Minkova, N.O.; Yarigin, D.V.; Gündüz, G. The Silent Heroes: Effective microorganisms. Orman. Derg. 2015, 10, 24–28. [Google Scholar]
- Thakur, N. Organic farming, food quality, and human health: A trisection of sustainability and a move from pesticides to eco-friendly biofertilizers. In Probiotics in Agroecosystem; Kumar, V., Kumar, M., Sharma, S., Prasad, R., Eds.; Springer: Singapore, 2017; pp. 491–515. [Google Scholar]
- Kim, K.-H.; Lee, K.-R. What Are South Korean Consumers’ Concerns When Buying Eco-Friendly Agricultural Products? Sustainability 2019, 11, 4740. [Google Scholar] [CrossRef]
- Jensen, J.L.; Thomsen, I.K.; Eriksen, J.; Christensen, B.T. Spring Barley Grown for Decades with Straw Incorporation and Cover Crops: Effects on Crop Yields and N Uptake. Field Crop. Res. 2021, 270, 108228. [Google Scholar] [CrossRef]
- Ray, R.L.; Griffin, R.W.; Fares, A.; Elhassan, A.; Awal, R.; Woldesenbet, S.; Risch, E. Soil CO2 Emission in Response to Organic Amendments, Temperature, and Rainfall. Sci. Rep. 2020, 10, 5849. [Google Scholar] [CrossRef]
- FAO IUSS Working Group WRB. World References Base for Soil Resources; FAO: Rome, Italy, 2015; p. 132. [Google Scholar]
- United States Department of Agriculture. Soil Mechanics Level I Module 3 USDA Soil Textural Classification Study Guide; United States Department of Agriculture: Washington, DC, USA, 1987. [Google Scholar]
- Lamparski, R.; Kotwica, K. Effect of the use of pro-ecological treatments and previous crop straw on the weed infestation of winter wheat and spring barley cultivated as short-term monoculture. Acta Sci. Pol. Agric. 2020, 19, 201–212. [Google Scholar]
- PN-ISO 10390; Chemical and Agricultural Analysis—Determining Soil pH. Polish Standards Committee: Warsaw, Poland, 1997.
- PN-R-04022; Chemical and Agricultural Analysis—Determination of the Content Available Potassium in Mineral Soils. Polish Standards Committee: Warsaw, Poland, 1996.
- PN-R-04023; Chemical and Agricultural Analysis—Determination of the Content of Available Phosphorus in Mineral Soils. Polish Standards Committee: Warszawa, Poland, 1996.
- PN-R-04020; Chemical and Agricultural Analysis. Determination of the Content Available Magnesium. Polish Standards Committee: Warsaw, Poland, 1994.
- Atlas, R.M. Handbook of Microbiological Media; CRC Press: Boca Raton, FL, USA, 2010; ISBN 978-0-429-13049-6. [Google Scholar]
- Crawford, D.L.; Lynch, J.M.; Whipps, J.M.; Ousley, M.A. Isolation and Characterization of Actinomycete Antagonists of a Fungal Root Pathogen. Appl. Environ. Microbiol. 1993, 59, 3899–3905. [Google Scholar] [CrossRef] [PubMed]
- Wenda-Piesik, A.; Lemańczyk, G.; Pańka, D.; Piesik, D. Risk assessment posed by diseases in context of integrated management of wheat. J. Plant Diseases Prot. 2016, 123, 3–18. [Google Scholar] [CrossRef]
- Townsend, G.R.; Heuberger, J.W. Methods for estimating losses caused by diseases in fungicide experiments. Plant Disease Rep. 1943, 27, 340–343. [Google Scholar]
- Statistica, Data Analysis Software System; Version 12; TIBCO Software Inc.: Palo Alto, CA, USA, 2019; Available online: https://www.tibco.com/products/data-science (accessed on 10 September 2022).
- Shin, K.; van Diepen, G.; Blok, W.; van Bruggen, A.H.C. Variability of Effective Micro-organisms (EM) in bokashi and soil and effects on soil-borne plant pathogens. Crop Prot. 2017, 99, 168–176. [Google Scholar] [CrossRef]
- Castiglione, A.M.; Mannino, G.; Contartese, V.; Bertea, C.M.; Ertani, A. Microbial Biostimulants as Response to Modern Agriculture Needs: Composition, Role and Application of These Innovative Products. Plants 2021, 10, 1533. [Google Scholar] [CrossRef] [PubMed]
- Javaid, A.; Bajwa, R. Field Evaluation of Effective Microorganisms (EM) Application for Growth, Nodulation, and Nutrition of Mung Bean. Turk. J. Agric. For. 2011, 35, 443–452. [Google Scholar] [CrossRef]
- Hu, C.; Qi, Y. Long-term effective microorganisms application promote growth and increase yields and nutrition of wheat in China. Eur. J. Agron. 2013, 46, 63–67. [Google Scholar] [CrossRef]
- Mason, N.; Lyster, N.; Alkaseem, M.; Papadopoulos, A. Effects of Bacteria on the Yield and Quality of Spring Barley. Int. J. Res. Agric. Sci. 2018, 5, 205–208. [Google Scholar]
- Belova, T.A.; Protasova, M.V. IOP Conference Series: Earth and Environmental Science 2021; IOP Publishing: Bristol, UK, 2021. [Google Scholar]
- Koryagin, Y.; Kulikova, E.; Koryagina, N.; Trishina, V. Application of microbiological fertilizers in barley cultivation technology. In IOP Conference Series: Earth and Environmental Science; IOP Publishing: Bristol, UK, 2022; Volume 953. [Google Scholar]
- Szymanek, M.; Dziwulska-Hunek, A.; Zarajczyk, J.; Michałek, S.; Tana´s, W. The Influence of Red Light (RL) and Effective Microorganism (EM) Application on Soil Properties, Yield, and Quality in Wheat Cultivation. Agronomy 2020, 10, 1201. [Google Scholar] [CrossRef]
- Breza-Boruta, B.; Kotwica, K.; Bauza-Kaszewska, J. Effect of Tillage System and Organic Matter Management Interactions on Soil Chemical Properties and Biological Activity in a Spring Wheat Short-Time Cultivation. Energies 2021, 14, 7451. [Google Scholar] [CrossRef]
- Boligłowa, E.; Gleń, K. Assessment of effective microorganism activity (EM) in winter wheat protection against fungal diseases. Ecol. Chem. Eng. 2008, 15, 23–27. [Google Scholar]
- Roberti, R.; Bergonzoni, F.; Finestrelli, A.; Leonardi, P. Biocontrol of Rhizoctonia solani disease and biostimulant effect by microbial products on bean plants. Italian J. Mycol. 2015, 44, 49–61. [Google Scholar]
- Gugała, M.; Sikorska, A.; Findura, F.; Kapela, K.; Malaga-Tobola, U.; Zarzecka, K.; Domanski, L. Effect of selected plant preparations containing biologically active compounds on winter rape (Brassica napus L.) yielding. Appl. Ecol. Env. Res. 2018, 17, 2779–2789. [Google Scholar] [CrossRef]
- Przybysz, A.; Gawrońska, H.; Kowalkowski, Ł.; Szalacha, E.; Gawroński, S. The biostimulant Asahi SL protects the growth of Arabidopsis thaliana L. plants when cadmium is present. Acta Sci. Pol. Hortorum Cultus 2016, 15, 37–48. [Google Scholar]
- Zhang, P.; Wei, T.; Li, Y.; Wang, K.; Jia, Z.; Han, Q.; Ren, X. Effects of Straw Incorporation on the Stratification of the Soil Organic C, Total N and C:N Ratio in a Semiarid Region of China. Soil Tillage Res. 2015, 153, 28–35. [Google Scholar] [CrossRef]
- Powlson, D.S.; Bhogal, A.; Chambers, B.; Coleman, K.; Macdonald, A.; Goulding, K.; Whitmore, A. The Potential to Increase Soil Carbon Stocks through Reduced Tillage or Organic Material Additions in England and Wales: A Case Study. Agric. Ecosyst. Environ. 2012, 146, 23–33. [Google Scholar] [CrossRef]
- Wang, Q.; Liu, X.; Li, J.; Yang, X.; Guo, Z. Straw Application and Soil Organic Carbon Change: A Meta-Analysis. Soil Water Res. 2021, 16, 112–120. [Google Scholar] [CrossRef]
- Zhao, X.; Liu, B.-Y.; Liu, S.-L.; Qi, J.-Y.; Wang, X.; Pu, C.; Li, S.-S.; Zhang, X.-Z.; Yang, X.-G.; Lal, R.; et al. Sustaining Crop Production in China’s Cropland by Crop Residue Retention: A Meta-Analysis. Land Degrad. Dev. 2020, 31, 694–709. [Google Scholar] [CrossRef]
- Wang, X.; Jia, Z.; Liang, L.; Zhao, Y.; Yang, B.; Ding, R.; Wang, J.; Nie, J. Changes in Soil Characteristics and Maize Yield under Straw Returning System in Dryland Farming. Field Crop. Res. 2018, 218, 11–17. [Google Scholar] [CrossRef]
- Akhtar, K.; Wang, W.; Ren, G.; Khan, A.; Feng, Y.; Yang, G. Changes in Soil Enzymes, Soil Properties, and Maize Crop Productivity under Wheat Straw Mulching in Guanzhong, China. Soil Tillage Res. 2018, 182, 94–102. [Google Scholar] [CrossRef]
- Sharma, S.; Singh, P.; Kumar, S. Responses of Soil Carbon Pools, Enzymatic Activity, and Crop Yields to Nitrogen and Straw Incorporation in a Rice-Wheat Cropping System in North-Western India. Front. Sustain. Food Syst. 2020, 4, 532704. [Google Scholar] [CrossRef]
- Hofgaard, I.S.; Seehusen, T.; Aamot, H.U.; Riley, H.; Razzaghian, J.; Le, V.H.; Hjelkrem, A.-G.R.; Dill-Macky, R.; Brodal, G. Inoculum potential of Fusarium spp. relates to tillage and straw management in Norwegian fields of spring oats. Front. Microbiol. 2016, 7, 556. [Google Scholar] [CrossRef] [PubMed]
- Rodgers-Gray, B.S.; Shaw, M.W. Substantial reductions in winter wheat diseases caused by addition of straw but not manure to soil. Plant Pathol. 2000, 49, 590–599. [Google Scholar] [CrossRef]
- Jenkyn, J.; Christian, D.; Bacon, E.; Gutteridge, R.; Todd, A. Effects of incorporating different amounts of straw on growth, diseases and yield of consecutive crops of winter wheat grown on contrasting soil types. J. Agric. Sci. 2001, 136, 1–14. [Google Scholar] [CrossRef]




| Biopreparation and Straw Management (Factor A) | Biostimulant (Factor B) | ||||||
|---|---|---|---|---|---|---|---|
| 1 | 2 | 3 | Mean | ||||
| Content | Ic | Content | Ic | Content | Ic | ||
| Total Organic Carbon—TOC (g C kg−1 soil) | |||||||
| 1 | 29.6 | 1.03 | 31.2 | 1.03 | 28.9 | 1.02 | 29.90 |
| 2 | 30.1 | 1.02 | 29.6 | 1.03 | 29.3 | 1.03 | 29.67 |
| 3 | 26.5 | 1.01 | 27.2 | 1.02 | 27.9 | 1.01 | 27.20 |
| 4 | 27.8 | 0.98 | 30.2 | 0.97 | 30.1 | 0.98 | 29.40 |
| 5 | 28.2 | 0.97 | 29.2 | 0.98 | 27.5 | 0.99 | 28.30 |
| 6 | 27.8 | 0.95 | 26.4 | 0.94 | 24.5 | 0.98 | 26.23 |
| Mean | 28.4 | 29.0 | 28.0 | 28.45 | |||
| LSD0.05 for Factor A = 1.448; Factor B = 0.822; Interaction A/B = 2.508; B/A = 2.014 | |||||||
| Total Nitrogen—TN (g N kg−1 soil) | |||||||
| 1 | 2.99 | 1.04 | 2.92 | 1.06 | 2.66 | 1.04 | 2.86 |
| 2 | 2.78 | 1.05 | 2.82 | 1.04 | 2.52 | 1.04 | 2.71 |
| 3 | 2.66 | 1.02 | 2.64 | 1.04 | 2.48 | 1.03 | 2.59 |
| 4 | 2.56 | 0.92 | 2.62 | 0.94 | 2.78 | 0.94 | 2.65 |
| 5 | 2.59 | 0.94 | 2.54 | 0.92 | 2.66 | 0.93 | 2.60 |
| 6 | 2.44 | 0.91 | 2.52 | 0.89 | 2.46 | 0.91 | 2.47 |
| Mean | 2.67 | 2.68 | 2.59 | 2.65 | |||
| LSD0.05 for Factor A = n.s.; Factor B = n.s.; Interaction A/B = n.s.; B/A = n.s. | |||||||
| Biopreparation and Straw Management (Factor A) * | Biostimulant (Factor B) | |||
|---|---|---|---|---|
| 1 | 2 | 3 | Mean | |
| N-NO3 and N-NH4 (mg·kg−1)—autumn | ||||
| 1 | 23.2 | 20.6 | 21.8 | 21.9 |
| 2 | 24.0 | 21.4 | 24.5 | 23.3 |
| 3 | 21.8 | 20.6 | 24.9 | 22.4 |
| 4 | 23.1 | 25.5 | 25.6 | 24.7 |
| 5 | 23.2 | 27.5 | 26.7 | 25.8 |
| 6 | 24.2 | 27.7 | 26.5 | 26.1 |
| Mean | 23.3 | 23.9 | 25.0 | 24.0 |
| LSD0.05 for Factor A = 3.46; Factor B = n.s.; Interaction A/B = n.s.; B/A = n.s. | ||||
| N-NO3 and N-NH4 (mg·kg−1)—spring | ||||
| 1 | 26.3 | 24.0 | 25.6 | 25.3 |
| 2 | 25.6 | 23.2 | 25.2 | 24.7 |
| 3 | 26.1 | 20.6 | 24.7 | 23.8 |
| 4 | 21.9 | 19.7 | 20.7 | 20.8 |
| 5 | 21.8 | 17.8 | 21.1 | 20.2 |
| 6 | 20.9 | 16.6 | 18.5 | 18.7 |
| Mean | 23.8 | 20.3 | 22.6 | 22.2 |
| LSD0.05 for Factor A = 6.09; Factor B = n.s.; Interaction A/B = n.s.; B/A = n.s. | ||||
| Biopreparation and Straw Management (Factor A) * | Biostimulant (Factor B) | ||||||
|---|---|---|---|---|---|---|---|
| 1 | 2 | 3 | Mean | ||||
| Content | Ic | Content | Ic | Content | Ic | ||
| Phosphorus—P (mg kg−1 soil) | |||||||
| 1 | 155.3 | 0.95 | 178.7 | 0.96 | 171.3 | 0.98 | 168.4 |
| 2 | 170.0 | 0.96 | 144.4 | 0.97 | 187.5 | 0.98 | 167.3 |
| 3 | 161.6 | 0.91 | 152.5 | 0.91 | 134.0 | 0.96 | 149.4 |
| 4 | 188.1 | 0.98 | 185.7 | 0.96 | 137.5 | 0.99 | 170.4 |
| 5 | 154.1 | 0.96 | 165.0 | 0.98 | 153.1 | 0.99 | 157.4 |
| 6 | 166.5 | 0.91 | 154.2 | 0.95 | 160.8 | 0.98 | 160.5 |
| Mean | 165.9 | 163.4 | 157.4 | 162.2 | |||
| Potassium—K (mg kg−1 soil) | |||||||
| 1 | 176.2 | 1.04 | 135.9 | 1.04 | 114.8 | 1.09 | 142.3 |
| 2 | 166.8 | 1.02 | 131.4 | 1.03 | 156.8 | 1.07 | 151.7 |
| 3 | 198.4 | 1.02 | 188.2 | 1.04 | 199.4 | 1.06 | 195.3 |
| 4 | 234.0 | 0.88 | 134.6 | 0.81 | 202.3 | 0.91 | 190.3 |
| 5 | 162.8 | 0.86 | 144.5 | 0.92 | 160.9 | 0.96 | 156.1 |
| 6 | 103.9 | 0.78 | 90.3 | 0.78 | 158.4 | 0.89 | 117.5 |
| Mean | 173.7 | 137.5 | 165.4 | 158.9 | |||
| Magnesium—Mg (mg kg−1 soil) | |||||||
| 1 | 32.9 | 0.91 | 33.1 | 0.91 | 22.2 | 0.88 | 29.4 |
| 2 | 23.9 | 0.84 | 26.7 | 0.84 | 27.1 | 0.90 | 25.9 |
| 3 | 30.7 | 0.86 | 27.1 | 0.86 | 27.2 | 0.90 | 28.3 |
| 4 | 43.9 | 0.86 | 25.8 | 0.86 | 20.3 | 0.84 | 30.0 |
| 5 | 27.3 | 0.81 | 27.6 | 0.81 | 32.4 | 0.89 | 29.1 |
| 6 | 27.1 | 0.81 | 27.8 | 0.83 | 28.3 | 0.82 | 27.7 |
| Mean | 31.0 | 28.0 | 26.3 | 28.4 | |||
| pH | |||||||
| 1 | 7.0 | 0.96 | 7.1 | 0.96 | 7.2 | 0.97 | 7.1 |
| 2 | 6.9 | 0.96 | 7.0 | 0.94 | 7.2 | 0.97 | 7.0 |
| 3 | 6.9 | 0.95 | 7.0 | 0.92 | 7.4 | 0.95 | 7.1 |
| 4 | 7.1 | 0.99 | 7.0 | 0.98 | 7.4 | 0.99 | 7.2 |
| 5 | 7.2 | 0.97 | 7.1 | 0.97 | 7.2 | 0.97 | 7.2 |
| 6 | 7.4 | 0.97 | 7.4 | 0.96 | 7.3 | 0.96 | 7.4 |
| Mean | 7.1 | 7.1 | 7.3 | 7.2 | |||
| Biopreparation and Straw Management (Factor A) * | Biostimulant (Factor B) | ||||||
|---|---|---|---|---|---|---|---|
| 1 | 2 | 3 | Mean | ||||
| Content | Ic | Content | Ic | Content | Ic | ||
| Heterotrophic bacteria (106 cfu g−1) | |||||||
| 1 | 48.5 | 1.60 | 49.8 | 1.61 | 52.8 | 1.66 | 50.3 |
| 2 | 71.7 | 2.37 | 72.5 | 2.34 | 59.3 | 1.86 | 67.8 |
| 3 | 26.0 | 1.47 | 27.0 | 1.37 | 43.3 | 1.36 | 32.1 |
| 4 | 35.7 | 1.19 | 37.1 | 1.06 | 38.3 | 1.10 | 37.0 |
| 5 | 39.7 | 1.32 | 48.0 | 1.24 | 43.3 | 1.37 | 43.7 |
| 6 | 32.7 | 1.09 | 30.0 | 0.86 | 27.0 | 0.77 | 29.9 |
| Mean | 42.4 | 44.1 | 44.0 | 43.5 | |||
| LSD0.05 for Factor A = 3.78; Factor B = n.s.; Interaction A/B = 5.69; B/A = 7.36 | |||||||
| Actinobacteria (105 cfu g−1) | |||||||
| 1 | 40.1 | 1.15 | 40.7 | 1.12 | 40.9 | 1.09 | 40.6 |
| 2 | 41.3 | 1.18 | 42.0 | 1.15 | 47.0 | 0.95 | 43.4 |
| 3 | 37.7 | 1.08 | 38.3 | 1.05 | 35.7 | 1.25 | 37.2 |
| 4 | 39.9 | 1.06 | 40.6 | 1.06 | 34.9 | 1.07 | 38.5 |
| 5 | 37.3 | 1.00 | 38.0 | 0.99 | 39.0 | 1.11 | 38.1 |
| 6 | 44.7 | 1.09 | 45.7 | 1.02 | 33.3 | 1.03 | 41.2 |
| Mean | 40.2 | 40.9 | 38.5 | 39.8 | |||
| LSD0.05 for Factor A = n.s.; Factor B = 2.24.; Interaction A/B = 12.82; B/A = 5.67 | |||||||
| Fungi filamentous (104 cfu g−1) | |||||||
| 1 | 13.3 | 1.21 | 13.7 | 1.30 | 12.7 | 1.21 | 13.2 |
| 2 | 11.0 | 1.37 | 11.3 | 1.21 | 11.7 | 1.28 | 11.3 |
| 3 | 16.3 | 1.48 | 16.7 | 1.59 | 14.7 | 1.40 | 15.9 |
| 4 | 8.3 | 1.06 | 8.6 | 1.04 | 13.8 | 1.06 | 10.2 |
| 5 | 9.7 | 1.04 | 10.0 | 1.13 | 14.7 | 1.06 | 11.4 |
| 6 | 6.3 | 1.05 | 6.7 | 1.12 | 13.3 | 1.03 | 8.8 |
| Mean | 10.8 | 11.2 | 13.5 | 11.8 | |||
| LSD0.05 for Factor A = 3.46; Factor B = n.s.; Interaction A/B = 4.21.; B/A = 4.62 | |||||||
| Total number of microorganisms (106 cfu g−1) | |||||||
| 1 | 52.6 | 1.56 | 54.0 | 1.56 | 57.0 | 1.60 | 54.5 |
| 2 | 75.9 | 2.24 | 76.8 | 2.21 | 64.4 | 1.76 | 72.5 |
| 3 | 29.3 | 1.30 | 31.0 | 1.31 | 47.0 | 1.35 | 35.8 |
| 4 | 39.8 | 1.06 | 41.2 | 1.09 | 42.0 | 1.10 | 41.0 |
| 5 | 43.5 | 1.14 | 51.9 | 1.13 | 47.3 | 1.18 | 47.6 |
| 6 | 37.2 | 1.01 | 34.6 | 1.02 | 30.5 | 1.05 | 34.1 |
| Mean | 46.5 | 48.3 | 48.0 | 47.6 | |||
| LSD0.05 for Factor A = 4.65; Factor B = n.s.; Interaction A/B = 6.45; B/A = 7.29 | |||||||
| Biopreparation and Straw Management (Factor A) | Biostimulant (Factor B) | |||
|---|---|---|---|---|
| B1 | B2 | B3 | Mean | |
| Take-all (Ta) | ||||
| A1 | 21.4 | 22.8 | 23.3 | 22.5 |
| A2 | 26.9 | 23.9 | 25.3 | 25.4 |
| A3 | 33.6 | 24.7 | 26.1 | 28.1 |
| A4 | 25.8 | 32.5 | 29.2 | 29.2 |
| A5 | 25.8 | 27.8 | 30.6 | 28.1 |
| A6 | 25.3 | 29.2 | 29.4 | 28.0 |
| Mean | 26.5 | 26.8 | 27.3 | |
| Fusarium foot rot (Ff) | ||||
| A1 | 10.3 | 16.1 | 16.7 | 14.4 |
| A2 | 14.7 | 15.0 | 13.6 | 14.4 |
| A3 | 15.0 | 16.4 | 21.1 | 17.5 |
| A4 | 17.5 | 20.3 | 19.7 | 19.2 |
| A5 | 15.3 | 15.3 | 24.7 | 18.4 |
| A6 | 19.4 | 17.5 | 17.8 | 18.2 |
| Mean | 15.4 | 16.8 | 18.9 | |
| Eyespot (E) | ||||
| A1 | 4.2 | 5.0 | 1.4 | 3.5 |
| A2 | 2.2 | 1.7 | 2.8 | 2.2 |
| A3 | 3.1 | 4.7 | 3.9 | 3.9 |
| A4 | 2.5 | 3.9 | 0.3 | 2.2 |
| A5 | 2.5 | 0.8 | 1.4 | 1.6 |
| A6 | 2.8 | 4.2 | 1.9 | 3.0 |
| Mean | 2.9 | 3.4 | 2.0 | |
| Sharp eyespot (S) | ||||
| A1 | 9.7 | 9.4 | 10.8 | 10.0 |
| A2 | 6.9 | 8.6 | 11.1 | 8.9 |
| A3 | 12.5 | 10.6 | 6.7 | 9.9 |
| A4 | 7.8 | 13.1 | 9.7 | 10.2 |
| A5 | 9.4 | 16.9 | 1.4 | 9.2 |
| A6 | 3.6 | 4.2 | 4.7 | 4.2 |
| Mean | 8.3 | 10.5 | 7.4 | |
Publisher’s Note: MDPI stays neutral with regard to jurisdictional claims in published maps and institutional affiliations. |
© 2022 by the authors. Licensee MDPI, Basel, Switzerland. This article is an open access article distributed under the terms and conditions of the Creative Commons Attribution (CC BY) license (https://creativecommons.org/licenses/by/4.0/).
Share and Cite
Bauza-Kaszewska, J.; Breza-Boruta, B.; Lemańczyk, G.; Lamparski, R. Effects of Eco-Friendly Product Application and Sustainable Agricultural Management Practices on Soil Properties and Phytosanitary Condition of Winter Wheat Crops. Sustainability 2022, 14, 15754. https://doi.org/10.3390/su142315754
Bauza-Kaszewska J, Breza-Boruta B, Lemańczyk G, Lamparski R. Effects of Eco-Friendly Product Application and Sustainable Agricultural Management Practices on Soil Properties and Phytosanitary Condition of Winter Wheat Crops. Sustainability. 2022; 14(23):15754. https://doi.org/10.3390/su142315754
Chicago/Turabian StyleBauza-Kaszewska, Justyna, Barbara Breza-Boruta, Grzegorz Lemańczyk, and Robert Lamparski. 2022. "Effects of Eco-Friendly Product Application and Sustainable Agricultural Management Practices on Soil Properties and Phytosanitary Condition of Winter Wheat Crops" Sustainability 14, no. 23: 15754. https://doi.org/10.3390/su142315754
APA StyleBauza-Kaszewska, J., Breza-Boruta, B., Lemańczyk, G., & Lamparski, R. (2022). Effects of Eco-Friendly Product Application and Sustainable Agricultural Management Practices on Soil Properties and Phytosanitary Condition of Winter Wheat Crops. Sustainability, 14(23), 15754. https://doi.org/10.3390/su142315754

