Influence of Freeze–Thaw Cycles on Physical and Mechanical Properties of Cement-Treated Silty Sand
Abstract
:1. Introduction
2. Experimental Work
2.1. Materials
2.2. Mix Design and Sample Preparation
2.3. Experimental Methods
2.3.1. Freeze–Thaw Test
2.3.2. Ultrasonic Pulse Velocity Test
2.3.3. Unconfined Compressive Strength Test
2.3.4. Scanning Electronic Microscope Test
3. Results and Discussions
3.1. Ultrasonic Pulse Velocity
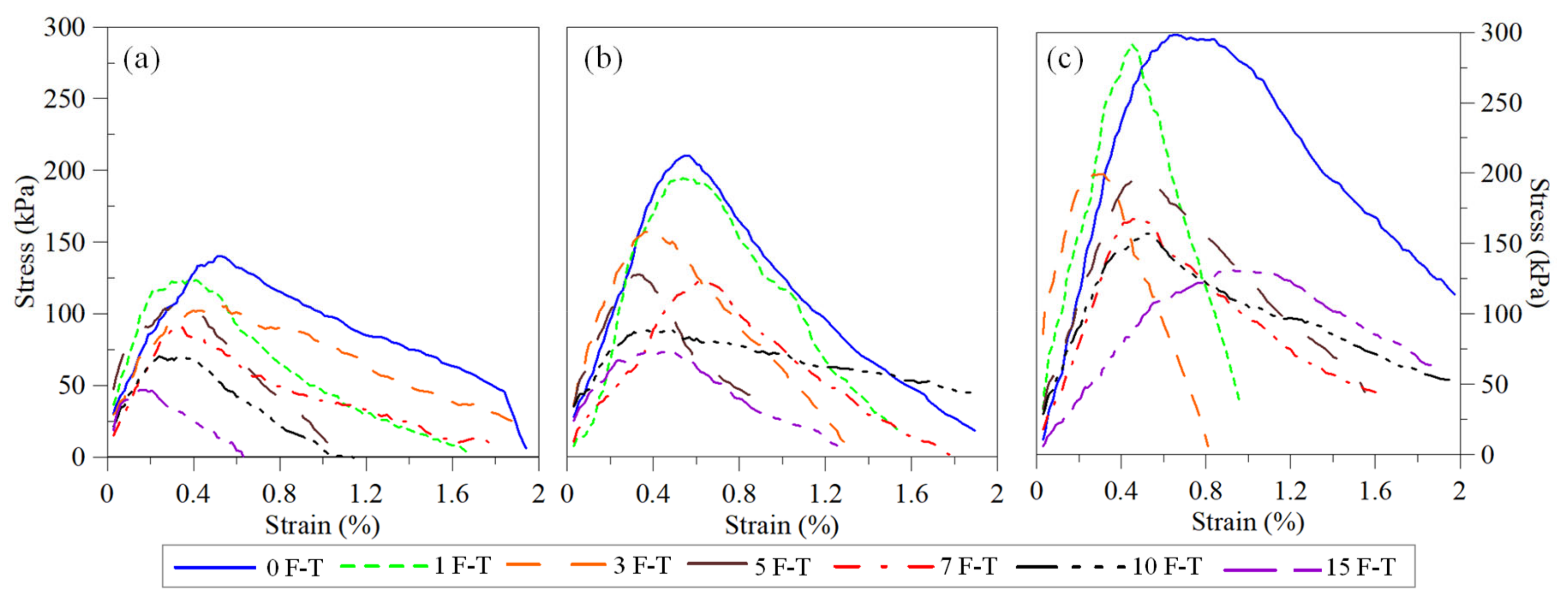
3.2. Stress–Strain Behavior
3.3. UCS Performance
3.4. Estimation of Resilient Modulus
3.5. SEM Observation
4. Conclusions
Author Contributions
Funding
Institutional Review Board Statement
Informed Consent Statement
Data Availability Statement
Conflicts of Interest
References
- Aldaood, A.; Bouasker, M.; Al-Mukhtar, M. Impact of freeze–thaw cycles on mechanical behaviour of lime stabilized gypseous soils. Cold Reg. Sci. Technol. 2014, 99, 38–45. [Google Scholar] [CrossRef]
- Kamei, T.; Ahmed, A.; Shibi, T. Effect of freeze–thaw cycles on durability and strength of very soft clay soil stabilised with recycled Bassanite. Cold Reg. Sci. Technol. 2012, 82, 124–129. [Google Scholar] [CrossRef]
- Zhang, Y.; Johnson, A.E.; White, D.J. Laboratory freeze–thaw assessment of cement, fly ash, and fiber stabilized pavement foundation materials. Cold Reg. Sci. Technol. 2016, 122, 50–57. [Google Scholar] [CrossRef]
- Vinoth, G.; Moon, S.-W.; Moon, J.; Ku, T. Early strength development in cement-treated sand using low-carbon rapid-hardening cements. Soils Found. 2018, 58, 1200–1211. [Google Scholar] [CrossRef]
- Ghazavi, M.; Roustaie, M. The influence of freeze–thaw cycles on the unconfined compressive strength of fiber-reinforced clay. Cold Reg. Sci. Technol. 2010, 61, 125–131. [Google Scholar] [CrossRef]
- Arasan, S.; Nasirpur, O. The effects of polymers and fly ash on unconfined compressive strength and freeze-thaw behavior of loose saturated sand. Geomech. Eng. 2015, 8, 361–375. [Google Scholar] [CrossRef]
- Yilmaz, F.; Fidan, D. Influence of freeze-thaw on strength of clayey soil stabilized with lime and perlite. Geomech. Eng. 2018, 14, 301–306. [Google Scholar]
- Güllü, H.; Fedakar, H.I. Unconfined compressive strength and freeze-thaw resistance of sand modified with sludge ash and polypropylene fiber. Geomech. Eng. 2017, 13, 25–41. [Google Scholar]
- Swain, K. Stabilization of Soil Using Geopolymer and Biopolymer. Ph.D. Thesis, Department of Civil Engineering National Institute of Technology, Rourkela, India, 2015. [Google Scholar]
- Moon, S.-W.; Vinoth, G.; Subramanian, S.; Kim, J.; Ku, T. Effect of fine particles on strength and stiffness of cement treated sand. Granul. Matter 2020, 22, 9. [Google Scholar] [CrossRef] [Green Version]
- Subramanian, S.; Moon, S.-W.; Moon, J.; Ku, T. CSA-treated sand for geotechnical application: Microstructure analysis and rapid strength development. J. Mater. Civ. Eng. 2018, 30, 04018313. [Google Scholar] [CrossRef]
- Subramanian, S.; Moon, S.-W.; Ku, T. Effect of Gypsum on the strength of CSA treated sand. In Proceedings of the 16th Asian Regional Conference on Soil Mechanics and Geotechnical Engineering, Taipei, Taiwan, 14–18 October 2019. [Google Scholar]
- Bisserik, A.; Kim, J.; Satyanaga, A.; Moon, S.-W. Characterization of CSA cemented-treated sands via discrete element method. AIP Publ. LLC 2021, 2441, 030001. [Google Scholar]
- Jumassultan, A.; Sagidullina, N.; Kim, J.; Ku, T.; Moon, S.-W. Performance of cement-stabilized sand subjected to freeze-thaw cycles. Geomech. Eng. 2021, 25, 41–48. [Google Scholar]
- Güllü, H.; Khudir, A. Effect of freeze-thaw cycles on unconfined compressive strength of fine-grained soil treated with jute fiber, steel fiber and lime. Cold Reg. Sci. Technol. 2014, 106, 55–65. [Google Scholar] [CrossRef]
- Liu, J.; Chang, D.; Yu, Q. Influence of freeze-thaw cycles on mechanical properties of a silty sand. Eng. Geol. 2016, 210, 23–32. [Google Scholar] [CrossRef]
- Hazirbaba, K.; Gullu, H. California Bearing Ratio improvement and freeze—Thaw performance of fine-grained soils treated with geofiber and synthetic fluid. Cold Reg. Sci. Technol. 2010, 63, 50–60. [Google Scholar] [CrossRef]
- Hotineanu, A.; Bouasker, M.; Aldaood, A.; Al-Mukhtar, M. Effect of freeze–thaw cycling on the mechanical properties of lime-stabilized expansive clays. Cold Reg. Sci. Technol. 2015, 119, 151–157. [Google Scholar] [CrossRef]
- Kravchenko, E.; Liu, J.; Niu, W.; Zhang, S. Performance of clay soil reinforced with fibers subjected to freeze-thaw cycles. Cold Reg. Sci. Technol. 2018, 153, 18–24. [Google Scholar] [CrossRef]
- Lake, C.B.; Yousif, M.A.-M.; Jamshidi, R.J. Examining freeze/thaw effects on performance and morphology of a lightly cemented soil. Cold Reg. Sci. Technol. 2017, 134, 33–44. [Google Scholar] [CrossRef]
- Bozbey, I.; Kelesoglu, M.K.; Demir, B.; Komut, M.; Comez, S.; Ozturk, T.; Mert, A.; Ocal, K.; Oztoprak, S. Effects of soil pulverization level on resilient modulus and freeze and thaw resistance of a lime stabilized clay. Cold Reg. Sci. Technol. 2018, 151, 323–334. [Google Scholar] [CrossRef]
- Gartner, E. Industrially interesting approaches to “low-CO2” cements. Cem. Concr. Res. 2004, 34, 1489–1498. [Google Scholar] [CrossRef]
- ASTM/D698; Standard Test Methods for Laboratory Compaction Characteristics of Soil Using Standard Effort. American Society for Testing and Materials: Philadelphia, PA, USA, 2007.
- Askar, Z.; Zhanbolat, S. Experimental investigations of freezing soils at ground conditions of Astana, Kazakhstan. Sci. Cold Arid. Reg. 2015, 7, 399–406. [Google Scholar]
- Ding, M.; Zhang, F.; Ling, X.; Lin, B. Effects of freeze-thaw cycles on mechanical properties of polypropylene fiber and cement stabilized clay. Cold Reg. Sci. Technol. 2018, 154, 155–165. [Google Scholar] [CrossRef]
- ASTM/597-09; Standard Test Method for Pulse Velocity through Concrete. American Society for Testing and Materials: West Conshohocken, PA, USA, 2009.
- Moon, S.W.; Bainazarova, Z.; Khan, Q.; Ku, T. Discussion on “Dynamic Characterization of Sand Stabilized with Cement and RHA and Reinforced with Polypropylene Fiber” by Ali Ghorbani, and Maysam Salimzadehshooiili. J. Mater. Civ. Eng. 2020, 32, 07020006. [Google Scholar] [CrossRef]
- Moon, S.W.; Bainazarova, Z.; Khan, Q.; Ku, T. Discussion on “Shear wave velocity of zeolite-cement grouted sands”, by Afshin Kordnaeij, Reza Ziaie Moayed and Majid Soleimani. Soil Dyn. Earthq. Eng. 2020, 128, 105845. [Google Scholar] [CrossRef]
- Khan, Q.; Moon, S.W.; Ku, T. Idealized Sine Wave Approach to Determine Arrival Times of Shear Wave Signals Using Bender Elements. Geotech. Test. J. ASTM 2019, 43, 20170121. [Google Scholar] [CrossRef]
- ASTM/2166; Standard Test Method for Unconfined Compressive Strength of Cohesive Soil. American Society for Testing and Materials: Philadelphia, PA, USA, 2003.












| Curing Time | Freezing Time and Temp. | Thawing Time and Temp. | Freeze−Thaw Cycles | Reference | |
|---|---|---|---|---|---|
| 1 | 28 days | −20 °C, 24 h | +20 °C, 24 h | 0, 1 | Gullu and Hazirbaba [15] |
| 2 | 28 days | −15 °C, 12 h | +5 °C, 12 h | 0, 1, 3, 6, 8, and 10 | Liu et al. [16] |
| 3 | 28 days, soaking 96 h | −20 °C, 24 h | 21 °C, 24 h | - | Hazirbaba and Gullu [17] |
| 4 | 28 days | −10 °C, 24 h | 24 h, room temp. | 0,1, 2, and 5 | Kamei et al. [2] |
| 5 | - | −20 °C, 6 h | +25 °C, 6 h | 0, 1, 3, 5, and 10 | Ghazavi and Roustaie [5] |
| 6 | No curing | −18 °C, 24 h | 18 °C, 24 h | 1, 2 and 3 | Gullu and Khudir [15] |
| 7 | 7 days | −10 °C, 24 h | at room temp., 24 h | 5 | Zhang et al. [3] |
| 8 | 7 days | −10 °C, 18 h | 23 ± 2 °C, 6 h | 0, 1, 5, and 10 | Hotineanu et al. [18] |
| 9 | 7 days | −15 °C, 12 h | +20 °C, 12 h | 0, 2, 5, 8, 10, 15 | Kravchenco et al. [19] |
| 10 | 28 days | −10 °C (±1 °C), 24 h | 22 °C (±1 °C), 24 h | 3 | Lake et al. [20] |
| 11 | 7, 28, and 56 days | −23 °C, 24 h | 23 °C, 23 h | 12 | Bozbey et al. [21] |
| Properties | Value | Standard | Test Methods (Instrument Models) |
|---|---|---|---|
| D10 (mm) | 0.11 | ASTM D1921 | Sieve Analysis (ELE Sieve shaker) |
| D30 (mm) | 0.55 | ASTM D1921 | Sieve Analysis (ELE Sieve shaker) |
| D60 (mm) | 1.8 | ASTM D1921 | Sieve Analysis (ELE Sieve shaker |
| Coefficient of curvature | 1.53 | ASTM D1921 | Sieve Analysis (ELE Sieve shaker) |
| Coefficient of uniformity | 16.36 | ASTM D1921 | Sieve Analysis (ELE Sieve shaker) |
| USCS classification | SW-SM | ASTM D1921 | Sieve Analysis (ELE Sieve shaker) |
| Optimum Moisture Content (%) | 16.5 | ASTM D698 | Standard Proctor Test (ELE Automatic Soil Compactor) |
| Maximum dry density (kN/m3) | 1.75 | ASTM D698 | Standard Proctor Test (ELE Automatic Soil Compactor) |
| Plastic Limit (%) | 40.35 | ASTM D4318 |
Atterberg limits Test (ELE Liquid Limit Device) |
| Liquid Limit (%) | 44.31 | ASTM D4318 |
Atterberg limits Test (ELE Liquid Limit Device) |
| Plasticity Index (%) | 3.96 | ASTM D4318 |
Atterberg limits Test (ELE Liquid Limit Device) |
| Cement Content | Optimum Moisture Content (%) | Maximum Dry Density (kN/m3) |
|---|---|---|
| 3% | 20.80 | 1.67 |
| 5% | 21.00 | 1.62 |
| 7% | 22.00 | 1.56 |
Publisher’s Note: MDPI stays neutral with regard to jurisdictional claims in published maps and institutional affiliations. |
© 2022 by the authors. Licensee MDPI, Basel, Switzerland. This article is an open access article distributed under the terms and conditions of the Creative Commons Attribution (CC BY) license (https://creativecommons.org/licenses/by/4.0/).
Share and Cite
Sagidullina, N.; Abdialim, S.; Kim, J.; Satyanaga, A.; Moon, S.-W. Influence of Freeze–Thaw Cycles on Physical and Mechanical Properties of Cement-Treated Silty Sand. Sustainability 2022, 14, 7000. https://doi.org/10.3390/su14127000
Sagidullina N, Abdialim S, Kim J, Satyanaga A, Moon S-W. Influence of Freeze–Thaw Cycles on Physical and Mechanical Properties of Cement-Treated Silty Sand. Sustainability. 2022; 14(12):7000. https://doi.org/10.3390/su14127000
Chicago/Turabian StyleSagidullina, Nazerke, Shynggys Abdialim, Jong Kim, Alfrendo Satyanaga, and Sung-Woo Moon. 2022. "Influence of Freeze–Thaw Cycles on Physical and Mechanical Properties of Cement-Treated Silty Sand" Sustainability 14, no. 12: 7000. https://doi.org/10.3390/su14127000
APA StyleSagidullina, N., Abdialim, S., Kim, J., Satyanaga, A., & Moon, S.-W. (2022). Influence of Freeze–Thaw Cycles on Physical and Mechanical Properties of Cement-Treated Silty Sand. Sustainability, 14(12), 7000. https://doi.org/10.3390/su14127000

