Abstract
The Italian territory is largely prone to seismic risk and 6 million buildings require seismic retrofitting. In the last three main seismic events (Abruzzo 2009, Emilia Romagna in 2012 and in Lazio in 2016) 633 people died and considerable financial losses such as the structural collapse of buildings and interruption of production activities were incurred. During the period 1944–2017, economic losses caused by seismic events amounted to EUR 212 billion. More than 80% of the entire building stock does not respect seismic design standards provided by Italian regulations (NTC 2018). Seismic retrofitting of buildings may avoid many deaths and financial losses, as well as increase people’s safety. In addition, seismic retrofitting of buildings may also generate an increase in real estate asset value (namely a market price premium), which may accelerate investments. Despite the relevance of this issue, there is a lack of literature, which investigates the key factors in boosting investments and the market price premium for retrofitted buildings in detail. The aim of this paper is to fill this gap with respect to the Italian Real Estate market. To estimate the capitalization effect of benefits produced by seismic retrofitting on property market values, it is fundamental to know how much people are willing to pay for it. As, to our knowledge, there are no available datasets which provide house characteristics, including seismic performances and market prices of Italian real estate assets, we implemented a contingent valuation approach to determine the market price premium for retrofitted assets. In detail, information about the willingness to pay (WTP) an additional price for a seismically retrofitted home (by considering different risk exposure), ceteris paribus was elicited using open-ended questions in a self-administered web interview. In particular, we applied the methodology to a case study, i.e., a contingent scenario related to masonry-detached houses located in a seismic hazard zone. Our results revealed that individuals are willing to pay an additional price for retrofitted assets and the average market price premium ranges from 10% to 52% of the property market price.
1. Introduction
Over the years, the Italian territory has been exposed to earthquakes that caused victims, financial losses, the structural collapse of buildings and interruption of production activities. During the period 2009–2017, the most relevant seismic events, which occurred in L’Aquila in 2009, in Emilia Region in 2012 and in the Central sector of the Apennines Belt in 2016 and 2017, respectively, led to 665 victims and the dramatic collapse of historical city centers and villages [1]. According to recent estimates, economic losses due to seismic events during the period 1944–2017 amounted to EUR 212 billion [1].
The Italian territory is characterized by a high seismic hazard [2,3,4,5,6,7]. Seismic hazard maps are defined according to intervals of peak ground acceleration (PGA) and territorial seismicity is classified based on local earthquake intensity into four categories from 1 to 4, where zone 1 is the most dangerous area, whereas zone 4 is the least dangerous area [8].
In Italy more than 6 million buildings are prone to high seismic hazards and require seismic retrofitting [1,9,10]: 70% of the entire building stock was built before the entry into force of Act n. 65/1974 [11], which set for the first-time antiseismic design standards. Afterwards, the Italian Parliament and the government enacted a series of norms and regulations, and in 2008 it entered into force in the Ministerial Decree of 14 January 2008 [12] (recently updated by Ministerial Decree of 17 January 2018) [13], which set more stringent and exhaustive antiseismic design standards and provided specific methodologies for the design of antiseismic buildings. By considering seismic zones 1 and 2 more, it emerges than 6.1 million buildings and 22.2 million people are prone to a high and medium seismic hazard [1]. Consequently, more than 80% of the entire building stock does not respect current seismic design standards, which indeed guarantees high safety levels, and are currently vulnerable to seismic hazard.
In this context, buildings seismic retrofitting (BSR) plays a fundamental role and represents a primary policy objective for governments that aim to minimize earthquake disaster losses, by promoting the adoption of risk mitigation measures [2,14,15,16]. These investments are usually undertaken by homeowners, who become key players in BSR investment decisions [17]. To accelerate private investments in BSR, governments can introduce a wide range of policy instruments, such as financial and fiscal incentives, regulatory instruments and programs of training, education and qualification to increase earthquake awareness and preparedness [18,19,20,21,22,23,24,25].
In this respect, to promote the adoption of seismic retrofit measures (SRMs) and reduce the seismic vulnerability of buildings, the Italian government enacted Act n. 90/2013 [26], updated by 2017 Budget Law [27], better known as Sisma Bonus. This incentive scheme consists of a tax credit based on retrofit investment costs: 80% and 85% maximum tax detractions for a single house and condominiums, respectively [28]. According to Sisma Bonus, it is possible to benefit from tax detractions based on investment costs paid to implement SRMs or to buy a house in seismic zone 1 [28]. In detail, taxpayers can pay back a percentage of retrofit costs, which varies from 50% up to 85% by 5 annual equal-value instalments. The percentage of retrofit costs detractions depends on building typology and seismic class of risk achieved through retrofitting. Nonetheless, it is still controversial whether these incentives are cost-effective or not [29]. According to the “Casa Italia” report, due to the potential housing stock prone to seismic hazards, the minimum cost for the government (i.e., lower tax revenues) related to the Sisma Bonus implementation is about EUR 36.8 billion [30]. Therefore, the potential demand for BSR and related government costs can be very high. Cost-effective incentive policies should have the capacity to stimulate investments, reduce social costs and promote innovation. To optimally design policy incentives, policy makers must take into consideration, along with building age and construction materials, both private and social costs and benefits, as well as environmental concerns.
The benefits generated by BSR can indeed be key drivers in retrofit decisions and SRMs adoption. Based on literature, benefits generated by seismic retrofitting can be grouped into two main categories: economic benefits and social benefits. The most relevant economic benefit is related, indeed, to the reduction of future costs associated to building’s structural and nonstructural losses [3,31,32,33,34,35,36,37] and to a potential market price premium for retrofitted buildings [38,39,40,41]. Social benefits are usually related to individuals’ well-being, historical heritage conservation, public recognition, sense of community identity and social inclusion [39,42,43,44]. Nonetheless, the benefit perceived as the most important is related to the safeguarding of life and buildings and infrastructure resilience [39,40,42,43,44,45].
To determine the cost-benefit trade-offs and address the multiple benefits of BSR and the financial barriers (e.g., renovation costs) to its implementation, we cannot prescind from the estimation of the willingness to pay (WTP) for BSR. Starting from the seminal works by [46] and [47], stated-preference methods (SPMs) were widely implemented in literature to investigate consumers’ preferences and their WTP. Nonetheless, to our best knowledge, there is a lack of contributions in literature, which focused on the estimation of homeowners’ WTP and demand for BSR. In this respect, Ref. [38] adopted the WTP approach to evaluate the trade-off between additional costs and increased safety of the seismic retrofit of old masonry buildings in Los Angeles and compared alternative incentive policies. A hedonic price utility model of self-insurance was developed and applied by [48] to high-loss earthquake hazards. The model empirical results proved the existence of a price gradient for safety in Los Angeles and San Francisco, with safer homes commanding higher prices, ceteris paribus. According to [49], who investigated the hedonic price of earthquake-related risks, the Loma Prieta earthquake caused a 2% reduction in housing prices in the San Francisco Bay area, and housing prices have a significant risk premium embedded for increasing hazard risks. More recently, Ref. [50] estimated the WTP and the increase in house value due to building seismic certification in Turkey. In addition, Ref. [39] identified stakeholders’ motivation factors (economic and social) for improved seismic retrofit implementation in New Zealand; whereas [44] investigated how to enhance homeowners’ earthquake hazard preparedness decisions. The economic effect of disaster-mitigation regulations on commercial buildings in New Zealand was analyzed by [51], who determined a 12.5% stigma-discount in response to New Zealand’s earthquake-prone buildings policy. It is nevertheless worth noting that there is a lack of literature on this issue with specific respect to the Italian context. An exception is represented by [52], who estimated the WTP for the reduction of buildings seismic vulnerability in private residential reinforced-concrete buildings.
The aim of this paper is to fill this gap in literature by estimating the market price premium for seismic-retrofitted buildings and, consequently, determining how far it is optimal to push on BSR. According to literature, it is likely that the market premium depends on buildings’ vulnerability and seismic risk classification: the lower the seismic vulnerability, the higher the market price premium.
To estimate the capitalization effect of class upgrades due to strengthening interventions on property market values, it is of paramount importance to understand the monetary amount that people are willing to pay for it. Nonetheless, different to energy performance certification, seismic risk classification of constructions, introduced in Italy in 2017, is not mandatory nor is it a specific requirement for selling or renting a property. Consequently, to our best knowledge, there are no available datasets in Italy, which provide asset characteristics (e.g., size, quality of finishes, energy performance certification, accessibility to school and public services, etc.) and seismic risk certification along with their market price. As a result, we implemented a contingent valuation (CV) exercise to determine the market price premium for retrofitted buildings. In detail, information about the willingness to pay (WTP) an additional price for a property, which, ceteris paribus, underwent class upgrade interventions, was elicited by implementing open-ended questions in self-administered web interviews.
2. Method
As previously mentioned, the aim of this contribution is to estimate the market price premium for seismically retrofitted assets, according to individuals’ WTP for different risk class upgrades. Although the Hedonic Price (HP) method [53] is usually the most adopted in literature to estimate the implicit marginal prices of the characteristics of real estate assets (e.g., location, size, finishing, etc.), numerous data on real estate transactions are needed for its implementation. In Italy, it is rather difficult to collect data on real estate transactions and there are no available datasets, which record home sale transactions and property characteristics. In addition, seismic risk classification of constructions is limited to the buildings whose homeowners applied for fiscal incentives (i.e., tax deductions) according to the Sisma Bonus scheme.
Consequently, to estimate individuals’ WTP for seismic class upgrades (i.e., to estimate the implicit marginal price of seismic risk classes), we implemented a CV approach. CV is a survey-based, stated-preference method, which was originally developed by [46,54,55,56] to estimate the value people place on public goods and nonmarket goods and is currently largely implemented in literature to assess the WTP for specific improvements in individuals’ well-being.
The objective of CV is to measure the compensating (or equivalent) variation for the good under investigation. Individuals are directly asked to express their WTP to obtain a specific good, or their willingness to accept (WTA) to give up the good. As in the CV approach, a hypothetical marketplace (i.e., contingent market) is created, in which no actual transactions occur. CV is successfully implemented when valuing commodities that are not exchanged in markets (e.g., reduction in risk of death) or when it is not possible to observe market transactions under specific conditions [57,58].
In CV studies, several formats to elicit WTP and WTA are available. The most commonly used are Open-Ended (OE) questions, single and double-bonded Dichotomous-Choice (DC) formats [56,59,60] as well as Payments Card (PC) approaches [46,54]. Although the DC approach mimics individuals’ behavior in markets, where people accept or refuse to buy a specific good at a specific price, it does not permit observing directly WTPs or WTAs and it indeed allows for identifying intervals around respondents’ WTP/WTA monetary value.
In our study, the OE format was implemented, as it avoids issues related to the anchoring and starting point bias compared with other CV methodologies [54,57], and it provides good WTP estimates whenever respondents are able to value the good (or service) with reduced cognitive effort, i.e., they know a priori an estimate of the price [54,61,62,63]. As the good under current evaluation is a detached house, which represents a widespread building typology usually exchanged in the real estate market, we made the hypothesis that respondents were able to estimate the market price premium for different risk class upgrades, based on usually well-known market prices and conditions for this market segment. In other words, we assumed that respondents were sufficiently experienced to express their WTP in terms of property market price premiums [64].
Based on survey data collected, WTPs are estimated using descriptive and inferential statistic techniques [65,66,67].
If the elicitation format is OE and the distribution of WTP is normal, the sample average is the lowest-variance estimator of the true population mean and, consequently, the WTP figures reported by respondents can be averaged to produce an estimate of median WTP [58]:
where is the sample size and is the reported WTP amount by the -th respondent.
In detail, descriptive statistics and Q-Q plots were first used to investigate whether the distribution of WTP values was roughly normal (for each seismic class of risk), and secondly the Jarque-Bera test (JB) was implemented to validate the hypothesis that data are normally distributed. The Jarque-Bera test is a goodness-of-fit test, which analyzes the skewness and kurtosis of the sample distribution to verify whether the distribution of data is normal. By fixing a significance level (α-value) the test is performed and if the null hypothesis is accepted data are considered as normally distributed.
Once the JB test was performed, we estimated respondents mean WTP, which was considered as a good estimator of population expected WTP [55]. Finally, confidence intervals for the population mean WTP related to each seismic class of risk were computed.
3. Survey Design and Administration
Our survey was designed to elicit WTP for seismic class upgrades in terms of market price premiums for seismic risk classification of constructions.
According to literature, the benefits of BSR perceived by homeowners as the most relevant are those related to safeguarding of life and minimization of repair costs and economic losses due to future seismic events. Reduction of repair costs and of human and economic losses is strongly related to existing building stock vulnerability and class of risk. In this respect, building codes and regulations’ primary objective is to protect the life of occupants and reduce damages caused by seismic actions in order to favor a rapid reuse of buildings [3]. Seismic risk classification of constructions in Italy is normed by Ministerial Decree n. 58 of 28 February 2017 [68] and Ministerial Decree n. 65 of 20 March 2017 [69] and is based on two indexes: the expected annual losses (EAL) index and the Safety Index of the structure at the Life Safety Limit State (SI-LS). The EAL index measures the overall construction behavior at increasing intensity earthquakes in terms of expected annual losses, whereas the SI-LS index, firstly set in 2003 by the Italian code O.P.C.M 3274 [70] accounts for building performance in accordance with the Life Safety Limit State to guarantee safety of occupants. The EAL index does not provide adequate guarantees for safety of occupants per se; e.g., highly fragile constructions can exhibit inadequate safety at collapse conditions, regardless of low EAL values [3,71,72,73]. The seismic risk class of a building is defined as the minimum between the class associated with the SI-LS index of the structure and the class related to the EAL index. Specifically, Ministerial Decree n. 65 of 20 March 2017 [69] introduced 8 seismic risk classes from A+ (best) to G (worst).
Based on the above considerations, our survey was designed to elicit WTP for seismic class upgrades in terms of market price premiums for seismic risk classification of constructions. We made the hypothesis that individuals may be willing to pay different price premiums for real estate assets depending on their seismic class of risk: the better the class, the greater the asset’s market price premium.
In our survey, respondents were asked to play the role of the homebuyers of a reference building, i.e., a medium-size (i.e., 140 m2) detached house, F-rated seismic class of risk, located in Foligno (province of Perugia), in seismic Zone 1.
The reference building is a two-story, unreinforced masonry building with reinforced concrete floors, built in the 1970s, consisting of 7 rooms and a private garden, whose market price is equal to EUR 120,000. The asset market price was estimated according to the sale comparison approach [74,75,76], by considering recent home sale transactions of detached houses located in Foligno, exhibiting intrinsic, positional and characteristics. This choice was made in order to facilitate respondents in answering the payment question, because by representing one of the most widespread building typologies in Italy—61.5% of the Italian real estate stock is constituted by masonry buildings [77]—they were likely adequately experienced to express their WTP for such a building. In detail, respondents were queried about their WTP an additional price (i.e., a market price premium) for an improvement in the building’s seismic class of risk.
The survey questionnaire was structured into 5 sections. In the Section 1, the research topic was introduced to raise awareness about the issue of seismic hazard and earthquakes impacts and motivate the research. In detail, data about human and financial losses caused by recent relevant seismic events were reported, information on seismic risk classification and seismic hazard zones were illustrated and basic knowledge on the EAL and SI-LS indexes was provided, respectively. Benefits of BSR (e.g., safeguard of life, reduction of repair costs due to the effects of seismic actions, etc.) were listed and briefly described as well. The Section 2 of the questionnaire described the valuation scenario (i.e., the hypothetical scenario) and the specified good, i.e., a 140 m2 detached house, F-rated, built in the 1970s and priced EUR 120,000. Pictures and descriptions of the technical characteristics of the building were provided. In addition, it was clarified and illustrated by means of renderings (Figure 1) that if a seismic event occurred analogous to that that occurred in Amatrice in August 2016, the buildings would suffer from severe structural damages and human losses might be incurred. In the Section 3 of the survey format, primary information on each seismic class of risk was provided and illustrated by means of renderings: (a) hazard rating; (b) entity of damages; (c) inaccessibility and time to reuse; (d) EAL amount in Euros and in percentage terms with respect to the building’s (ex novo) construction costs; (e) potential occupants’ loss of life. In the Section 4, instructions to compile the survey were provided and WTP elicitation questions were posed. Instructions specified that respondents have to express their WTP an additional price to buy a detached house analogous to that described in the hypothetical scenario, but differently rated (i.e., a detached house of upgraded seismic risk class) according to a simplified approach to seismic risk classification, based on the European Macroseismic Scale [78], proposed for masonry buildings in Ministerial Decree n. 58 of 28 February 2017 [68] and Ministerial Decree n. 65 of 7 March 2017 [69]. Respondents were queried about their WTP a market price premium for a detached house rated respectively E, D, C, B and A and payment questions were phrased as OE questions. Finally, the Section 5 of the questionnaire included usual questions about socio-demographic characteristics (gender, educational attainment, age and income per household).
Figure 1.
Renderings of the reference building (source: our processing).
As previously mentioned, each seismic class of risk was described in terms of hazard rating, severity of damages, time to building’s usability, EAL and occupants’ loss of life, based on the hypothesis that the building suffers from the effects of an intense seismic event, analogous to the earthquake occurred in Amatrice on 24 August 2016, of the sixth degree on the Richter scale.
We defined damage grades according to the European Macroseismic Scale, henceforth EMS-98 [79]. Damage grades were related to 12 earthquake intensity degrees, defined in terms of effects on humans, effects on objects and on nature and damage to buildings by EMS-98 [79]. According to EMS-98, the Amatrice seismic event was classified as a 10-intensity degree, i.e., “Very Destructive” [80]. Table 1 summarizes damage grades for each vulnerability class of a 10-intensity earthquake.
Table 1.
Vulnerability classes and damage grades for a 10-intensity earthquake (source: Ministerial Decree n. 65 of 7 March 2017-Annex A, EMS-98).
Buildings’ deformation under earthquake loading depends on the building type. Figure 2 illustrates classification of damage to masonry buildings based on EMS-98.
Figure 2.
Classification of damage to masonry buildings (source: EMS-98, p. 16).
Based on EMS-98 classification of damage grades and photographic records and reports illustrating building collapse and damage caused by seismic activity [81,82,83,84], we provided respondents with renderings that showed potential damages to the detached house under investigation in the valuation scenario (Figure 3).
Figure 3.
Renderings of the potential damages to the detached house under investigation in the valuation scenario (source: our processing).
Ministerial Decree n. 65 of 7 March 2017 [69] (Annex A) relates seismic risk classification to seismic zones and vulnerability classes, whereas EMS-98 relates damage grades to vulnerability classes. By cross-referencing Annex A and EMS-98, seismic classes of risk were associated to damage grade for a 10-intensity earthquake (Table 2).
Table 2.
Seismic class of risk and related damage grade.
Based on EMS-98 and specific contributions in literature [81,83,84], we organized a focus group with a panel of experts in the field (e.g., engineers, architects, geologists, etc.), who identified 5 attributes to provide respondents with a characterization of seismic classes of risk and create the bases for common knowledge, aimed at reducing information biases: (a) effects of damage (i.e., damage); (b) risk (i.e., risk); (c) time to usability of the building (i.e., time to usability); (d) occurrence of loss of occupants’ life (i.e., loss of occupants’ life); (e) EAL monetary amount (i.e., EAL). Table 3 illustrates discretization scales used to express a continuum of possible degrees of damage, risk, inaccessibility and loss of occupants’ life, whereas Table 4 reports the characterization attributes of each seismic class of risk and their assessment, presented to respondents.
Table 3.
Discretization scale of a continuum of possible degrees of damage, risk, time to usability and loss of occupants’ life (source: our processing).
Table 4.
Seismic classes of risk and relative characterization of attributes.
In detail, EAL lower and upper bounds were estimated according to Ministerial Decree n. 65 of 7 March 2017 [69] and EAL indexes. EAL are a fraction of reconstruction costs (i.e., costs to build the building ex novo). Reconstruction costs were estimated by consulting the 2018 price list provided by DEI. The DEI price list estimates construction costs for different building typologies. For each building typology, the price estimation is obtained by comparison approaches over a sample of homogeneous buildings. We updated the price list to the present by considering the construction cost growth rate index provided by the Italian National Institute of Statistics (ISTAT). Estimated current construction costs for the building under investigation are equal to EUR 157,000.
4. Results and Discussion
The survey was self-administrated via computer-assisted web interviewing (CAWI) in the period 4 November–28 November 2019 to a sample of 200 Italian residents (aged between 18 and 70 years), coming from cities in the North, Centre and South of Italy. A random sample of households was stratified by a survey company on the most important socio-demographics (e.g., age, educational attainment, gender, households’ income, seismic zone of residency) of the 2011 Italian census. Finally, 104 fully filled questionnaires were collected from respondents, who declared to be owner-occupiers of residential units, and stated that at least once in the past 2 years they had consulted online datasets reporting asking prices of real estate assets. Table 5 reports respondents’ descriptive statistics of socio-economic characteristics.
Table 5.
Descriptive statistics of the respondents, percentage.
From direct inspection of Table 5, it emerges that 48% of respondents were males whereas 52% were females, therefore the sample perfectly mirrors the shares in the population of the country [85]. Some 44% of respondents were aged between 20 and 29 years, 35% were aged between 30 and 49 years, whereas respondents aged 60 or more accounted for about 6%. Some 5% of respondents had a middle school diploma, 37.50% had a high school diploma and about 51% had a bachelor degree, whereas some 7% of respondents had a PhD or a master degree. Some 8% of respondents reported an annual household income lower than EUR 15,000, whereas some 29% of respondents reported an annual household income ranging between EUR 15,000 and EUR 30,000. Finally, about 28% of respondents reported an annual household income greater than EUR 55,000. These figures mirrored income shares in the country [85].
We queried respondents about their area of residency, because individuals living in high seismicity zones (Zone 1 and Zone 2) may express WTPs higher than WTPs of respondents living in low seismicity zones (Zone 3 and Zone 4). Therefore, in order to obtain a consistent estimate of mean WTP, we preliminarily checked that the sample mirrored the country share of residency areas per seismic zones.
Some 1% of respondents lived in seismic Zone 1, 20.19% in Zone 2, 40.38% in Zone 3 and 38.46% in Zone 4. According to [1], these figures mirrored the general share in the population of the country: 5% of the Italian population resides in Zone 1, 32% in Zone 2, 43% in Zone 3, whereas 21% of the entire population resides in Zone 4.
Descriptive and inferential statistics of WTP figures computed for each seismic class of risk are displayed in Table 6.
Table 6.
Descriptive and inferential statistics and summary of WTP figures for upgraded seismic classes of risk.
With an exception made for A-class (i.e., minimum WTP equal to EUR 1000), minimum WTP figures for seismic classes of risk resulted null. By direct inspection of our dataset, it emerged that these WTP responses were given by respondents living in low seismicity zones (i.e., Zone 3 and Zone 4). Therefore, it was not surprising that they have a low perception of risk. Nonetheless, respondents living in earthquake-stricken communities expressed conspicuous WTPs for each seismic class of risk (Table 6). A low perception of risk in addition to high costs of BSR have a negative impact on investments in seismic upgrading of the existing building stock, and generate a suboptimal mitigation of risk (i.e., market failure), which calls for a more efficient government intervention, based on incentive mechanisms, to accelerate investments.
The highest maximum WTP values were declared for classes A and B (EUR 160,000 and EUR 120,000, respectively), whereas the lowest maximum WTP value was declared for class E (EUR 30,000). It is worth noting that the maximum WTPs (i.e., the market price premium) for upgrading to class B and class A were equal or greater than the market price of the F-rated reference building (i.e., EUR 120,000), but were in line with construction costs paid to build an analogous detached house, which meets current code requirements and seismic design standards (i.e., EUR 157,000). Thanks to responses to follow-up questions, where respondents were queried about the relative importance of class-of-risk characterization attributes, it emerged that these respondents place the highest importance to safeguard of life and minimization of potential loss of occupants’ life.
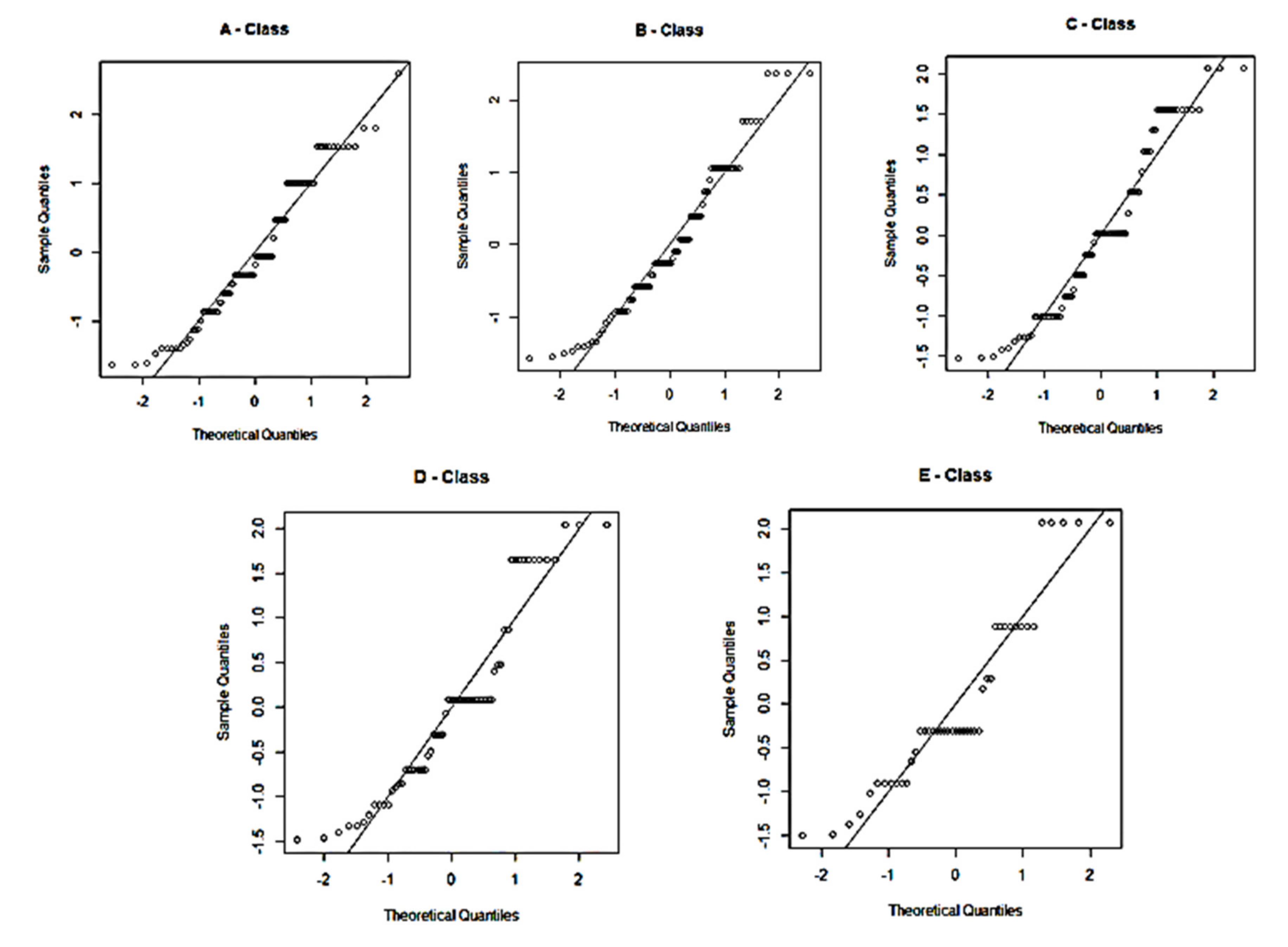
In order to verify whether WTP distribution is normal, we firstly displayed the Quantile-Quantile plot (QQ-plot) relative to each seismic class of risk. As illustrated in Figure 4, the sample quartiles fell approximately along the reference line. This suggested that WTP distribution is normal.
Figure 4.
Quantile-Quantile plot (QQ-plot) of WTP values for different seismic classes of risk (A–E).
To confirm whether WTP is normally distributed, we implemented the Jarque-Bera test, by fixing a significance level (α-value) equal to 0.05. We then calculated the confidence intervals for each seismic class of risk. All the p-values were greater than the α-value, and consequently the null hypothesis that the WTP values are normally distributed could be accepted. Finally, we determined the population mean WTP for each seismic class of risk (Table 6).
In Figure 5, MWTP is plotted against seismic classes of risk to represent market demand for upgrading of seismic class, which is decreasing according to theoretical expectations.
Figure 5.
MWTP for different seismic classes of risk.
Our results revealed that the Italian population is (on average) willing to pay a price premium for upgrading the seismic class. This in turn proves that Italians care about seismic hazards and their related issues, which is not surprising as the Italian territory is largely prone to seismic hazards. The highest seismic activity is concentrated in the central-southern part of the peninsula, along the Apennine ridge, in Calabria and Sicily, and in some northern areas, including Friuli, Veneto and part of Western Liguria.
Table 7 illustrates the mean market price premium per each seismic class of risk (i.e., coincident with MWTP), expressed both in Euros (rounded to the nearest thousand Euros), and in percentage terms (rounded to the nearest unit) with respect to the reference building price (equal to EUR 120,000). The average price premium for upgrading to class A is about 52%, whereas the average price premium for upgrading to class E is about 11% (Table 7). These findings acknowledge that a limited risk mitigation is less valuable to individuals than a significant risk mitigation, and consequently individuals’ WTP is not strongly dependent on EAL, but it is indeed very affected by the occurrence of a loss of occupants’ life. Our mean WTP estimates were in line with costs of seismic upgrade of existing masonry buildings in Italy [86,87,88,89,90]. Specifically, according to analyses by the RELUIS Consortium (i.e., the Laboratories University Network of seismic engineering, financed by the Italian Civil Protection Department), retrofit costs for seismic upgrades from seismic class of risk F to E amount to 68 EUR/m2, whereas costs for upgrading from class F to class A or B fall in the range 320–400 EUR/m2 (www.reluis.it).
Table 7.
Market price premium per each class of seismic risk.
It is worth noting that, according to literature, market price premiums for energy retrofitting buildings in Italy range from 22% to 45% for A-EPC labelled buildings and from 2% to 10% for F and E-EPC labelled buildings, respectively [91,92,93]. Compared to the energy retrofitting of buildings, the price premiums for BSR we obtained were larger, probably due to higher non-use values (mostly related to the safeguarding of life), which respondents commended to BSR compared to non-use values (mostly related to environmental concerns) attributable to the energy retrofitting of buildings [94].
5. Conclusions
Italy is one of the European Countries with the highest seismicity. The frequency and intensity of seismic events that have affected this territory over the years caused disruptive social and economic impacts. More than 6 million buildings are exposed to high seismic hazard due to their vulnerability and require urgent seismic retrofitting. BSR is therefore a primary policy objective for the government, which have tried to promote the adoption of risk mitigation measures by introducing policy incentives. Despite the introduction of incentive schemes, good practice in mitigating buildings vulnerability is still far from being implemented and the number of seismic upgrading interventions is still limited. Homeowners play a key de facto role in undertaking investments in BSR and their perception of risk, as well as of the other benefits produced, and are fundamental in driving the decision process.
To determine the cost-benefit trade-offs of BSR and the monetary value of its benefits, a CV study was implemented. In detail, since no similar studies have been conducted in literature so far and no datasets are currently available, to assess the WTP for BSR and market price premiums of retrofitted buildings in Italy, in our survey-based approach, starting from an F-rated reference building, respondents were queried about their WTP an additional price for the building, by class-of-risk upgraded construction. Via a self-administered web interview, respondents were asked to play the role of homebuyers of a detached 140 m2 masonry house, located in Foligno (seismic Zone 1), with a price equal to EUR 120,000, and were queried about the market price premium they were willing to pay in case it were better seismic-class rated. We interviewed a heterogeneous sample of Italian respondents, aged between 18 and 70 years and coming from the North, Centre and South of Italy, and we obtained statistically significant WTP estimates for different seismic class upgrades.
Our findings confirmed that people in Italy do care about seismic risk: the lower the building’s seismic vulnerability, the higher the market price premium. Market price premiums ranged from about 52% to 11%. In detail, the average price premium for upgrading to class A was about 52%, whereas the average price premium for upgrading to class E was about 11%. Our results confirmed that limited risk mitigation is less valuable to individuals than a significant risk mitigation, and individuals’ WTP is not strongly dependent on EAL, but it mainly depends on the potential reduction in number of deaths. In addition, respondents living in earthquake-stricken communities expressed conspicuous WTPs for each seismic class of risk. By contrast, minimum WTP (i.e., null) values were (not surprisingly) expressed by respondents living in low seismicity zones, who have a low perception of risk.
Some limitations of this study relate to the usual drawbacks of CV studies. In a hypothetical market, people may express WTP values greater than WTPs generated in a real market, due to the discrepancy between intentions and behavior in hypothetical and real contexts. As the occurrence of hypothetical bias is mainly related to respondents’ failure to understand the value of the specific good and the contingent scenario, to mitigate this issue we provided a detailed and realistic description of both the building and the effects of mitigation of seismic risk, due to different class upgrades. In addition, it is worth mentioning that social desirability bias is reduced in self-administered surveys such as ours, and starting point bias is inherently annulled in open-ended elicitation formats. Nonetheless, the concern related to potential measurement errors, i.e., to the relation between the response and the unobserved value that generates it, may persist. The reduction of measurement error effects on WTP figures is very challenging with respect to the Italian context, as to our best knowledge, there are no available WTP estimates in literature nor another criterion against which we can compare our WTP figures. Our results, though, indicated that respondents are sensitive to scope (i.e., they are willing to pay more for greater risk reduction) and therefore consistent with economic theory, and that stated WTPs were in line with retrofitting costs.
Although usual caveats apply in that WTP amounts may diverge from reality to preclude predicting behavior with the degree of accuracy required for robust monetary benefit estimates, our findings can provide preliminary interesting policy implications for the design of optimal policy incentives. Italian residents are willing to pay significant monetary amounts for upgrades of seismic class of risk in high seismicity zones. The role of incentives and their impact on private investment decisions is therefore fundamental in determining how far it is optimal to push on BSR. Nonetheless, analogously to evidence on the cost-efficiency of incentives set to improve buildings’ energy efficiency, it is still controversial whether incentives set to reduce buildings’ vulnerability are cost-effective or not. Suboptimal incentive designs may generate significant de facto losses to the government and attract free riders. In order to reduce the costs of current incentive schemes, the government may revise upward fiscal incentives paid to investments, aiming at both seismic and energy retrofitting simultaneously, whereas it may revise downward incentives paid to upgrading solely the energy performance or seismic performance of buildings. In addition, information campaigns to increase social awareness on BSR-related benefits should be organized.
Further research may investigate the opportunity to introduce innovative regulatory instruments, such as mandatory certification of buildings’ seismic performance (analogous to energy performance certification), and its cost-effectiveness in promoting BSR.
Author Contributions
Conceptualization, C.D.; Methodology, C.D.; Validation, C.D. and P.B.; Formal analysis, P.B.; Data curation, P.B.; Writing—original draft, C.D. and P.B.; Writing—review & editing, C.D. and P.B.; Funding acquisition, C.D. All authors have read and agreed to the published version of the manuscript.
Funding
This research was funded by University of Padova grant number BIRD197719/19.
Acknowledgments
The authors wish to acknowledge E. Morbiato for her collaboration in renderings and testing of the survey questionnaire.
Conflicts of Interest
The authors declare no conflict of interest.
References
- Centro Ricerche Economiche, Sociologiche e di Mercato NELL’EDILIZIA—CRESME (2018). Incentivi e Riduzione del Rischio Sismico in Italia, Cosa Fare, Come Fare. Available online: http://www.cresmeantisismica.it/doc/abstract.pdf (accessed on 23 June 2020). (In Italian).
- Paleari, S. Natural disasters in Italy: Do we invest enough in risk prevention and mitigation? Int. J. Environ. Stud. 2018, 75, 673–687. [Google Scholar] [CrossRef]
- Cosenza, E.; Del Vecchio, C.; Di Ludovico, M.; Dolce, M.; Moroni, C.; Prota, A.; Renzi, E. The Italian guidelines for seismic risk classification of constructions: Technical principles and validation. Bull. Earthq. Eng. 2018, 16, 5905–5935. [Google Scholar] [CrossRef]
- Forte, G.; Chioccarelli, E.; De Falco, M.; Cito, P.; Santo, A.; Iervolino, I. Seismic soil classification of Italy based on surface geology and shear-wave velocity measurements. Soil Dyn. Earthq. Eng. 2019, 122, 79–93. [Google Scholar] [CrossRef]
- Zanini, M.A.; Hofer, L.; Pellegrino, C. A framework for assessing the seismic risk map of Italy and developing a sustainable risk reduction program. Int. J. Disaster Risk Reduct. 2019, 33, 74–93. [Google Scholar] [CrossRef]
- Valluzzi, M.R.; Sbrogiò, L. Vulnerability of Architectural Heritage in Seismic Areas: Constructive Aspects and Effect of Interventions. Lect. Notes Civ. Eng. 2019, 26, 203–218. [Google Scholar]
- Valluzzi, M.R.; Calò, S.; Giacometti, G. Correlation of vulnerability and damage between artistic assets and structural elements: The DataBAES archive for the conservation planning of CH masonry buildings in seismic areas. Sustainability 2020, 12, 653. [Google Scholar] [CrossRef]
- Ordinanza del Presidente del Consiglio dei Ministri (OPCM) n. 3519. Criteri Generali per L’individuazione delle Zone Sismiche e per la Formazione e L’aggiornamento Degli Elenchi delle Medesime Zone. Gazzetta Ufficiale n. 108 dell’11 Maggio 2006. Available online: http://www.protezionecivile.gov.it/amministrazione-trasparente/provvedimenti/dettaglio/-/asset_publisher/default/content/opcm-n-3519-del-28-aprile-2006-criteri-generali-per-l-individuazione-delle-zone-sismiche-e-per-la-formazione-e-l-aggiornamento-degli-elenchi-delle-ste (accessed on 23 June 2020). (In Italian)
- Centro Ricerche Economiche, Sociologiche e di Mercato nell’Edilizia—CRESME (2012). Lo Stato del Territorio Italiano 2012 Insediamento e Rischio Sismico e Idrogeologico. Available online: http://www.camera.it/temiap/temi16/CRESME_rischiosismico.pdf (accessed on 24 May 2019). (In Italian).
- Camera dei deputati 2017, Commissione Parlamentare D’Inchiesta Sulle Condizioni di Sicurezza e Sullo Stato di Degrado delle Città e delle Loro Periferie, Associazione Nazionale Costruttori Edili (ANCE). Available online: https://www.sunia.info/wp-content/uploads/2017/12/sintesiproposte-commperiferie.pdf (accessed on 23 June 2020). (In Italian).
- Act n. 64 of 02/02/1974. Legge n. 64 del 02/02/1974: Provvedimenti per le Costruzioni con Particolari Prescrizioni per le Zone Sismiche. Available online: https://www.bosettiegatti.eu/info/norme/statali/1974_0064.htm (accessed on 19 October 2020). (In Italian).
- Ministerial Decree of 14/01/2008 (Ministero delle Infrastrutture e dei Trasporti) Nuove Norme Tecniche per le Costruzioni. Available online: https://www.camera.it/cartellecomuni/leg15/RapportoAttivitaCommissioni/commissioni/allegati/08/08_all_dm_2008.pdf (accessed on 23 June 2020). (In Italian).
- Ministerial Decree of 17/01/2018 (Ministero delle Infrastrutture e dei Trasporti) Aggiornamento delle Norme Tecniche per le Costruzioni. Available online: https://www.gazzettaufficiale.it/eli/gu/2018/02/20/42/so/8/sg/pdf (accessed on 23 June 2020). (In Italian).
- Dowrick, D.J. Earthquake risks reduction actions for New Zealand. Bull. N. Z. Soc. Earthq. Eng. 2003, 36, 249–259. [Google Scholar] [CrossRef][Green Version]
- Rossi, L.; Holtschoppen, B.; Butenweg, C. Official data on the economic consequences of the 2012 Emilia-Romagna earthquake: A first analysis of database SFINGE. Bull. Earthq. Eng. 2019, 17, 4855–4884. [Google Scholar] [CrossRef]
- Porcelli, F.; Trezzi, R. The impact of earthquakes on economic activity: Evidence from Italy. Empir. Econ. 2019, 56, 1167–1206. [Google Scholar] [CrossRef]
- Fujimi, T.; Tatano, H. Promoting seismic retrofit implementation through “nudge”: Using warranty as a driver. Risk Anal. 2013, 33, 1858–1883. [Google Scholar] [CrossRef]
- Spence, R. Risk and regulation: Can improved government action reduce the impacts of natural disasters? Build. Res. Inf. 2004, 32, 391–402. [Google Scholar] [CrossRef]
- Keefer, P.; Neumayer, E.; Plümper, T. Earthquake Propensity and the Politics of Mortality Prevention. World Dev. 2011, 39, 1530–1541. [Google Scholar] [CrossRef]
- Alesch, D.J.; Arendt, L.A.; Petak, W.J. Natural hazard mitigation policy: Implementation, organizational choice, and contextual dynamics. In Natural Hazard Mitigation Policy: Implementation, Organizational Choice, and Contextual Dynamics; Springer: Dordrecht, The Netherlands, 2011; pp. 1–238. [Google Scholar]
- Allen, R.M. Earthquake Hazard Mitigation: New Directions and Opportunities. Treatise Geophys. 2007, 4, 607–647. [Google Scholar]
- Ferreira, T.M.; Maio, R.; Vicente, R. Analysis of the impact of large scale seismic retrofitting strategies through the application of a vulnerability-based approach on traditional masonry buildings. Earthq. Eng. Eng. Vib. 2017, 16, 329–348. [Google Scholar] [CrossRef]
- D’Alpaos, C.; Bragolusi, P. Multicriteria prioritization of policy instruments in buildings energy retrofit. Valori E Valutazioni 2018, 21, 15–25. [Google Scholar]
- Sigmund, Z. Barriers and Incentives for Extensive Implementation of Combined Seismic and Energy Efficiency Retrofits. In Proceedings of the IOP Conference Series: Earth and Environmental Science, Saint Petersburg, Russia, 17–18 April 2019. [Google Scholar]
- Morshedi, M.A.; Kashani, H. A system dynamics model to evaluate the housing market response to vulnerability reduction promotion policies. Int. J. Disaster Risk Reduct. 2020, 44, 101438. [Google Scholar] [CrossRef]
- Act n. 90 of 03/08/2013. Legge n. 90 del 03/08/2013: Conversione in Legge, con Modificazioni, del Decreto-Legge 4 Giugno 2013, n. 63, Recante Disposizioni Urgenti per il Recepimento della Direttiva 2010/31/UE del Parlamento Europeo e del Consiglio del 19 Maggio 2010, Sulla Prestazione Energetica Nell’edilizia per la Definizione delle Procedure D’infrazione Avviate dalla Commissione Europea, Nonché Altre Disposizioni in Materia di Coesione Sociale. Available online: https://www.gazzettaufficiale.it/eli/id/2013/08/03/13G00133/sg (accessed on 23 June 2020). (In Italian).
- Act n. 205 of 27/12/2017. Legge n. 205 del 27/12/2017: Bilancio di Previsione dello Stato per L’anno Finanziario 2018 e Bilancio Pluriennale per il Triennio 2018–2020. Available online: https://www.gazzettaufficiale.it/eli/id/2017/12/29/17G00222/sg (accessed on 23 June 2020). (In Italian).
- Agenzia Delle Entrate. Sisma Bonus: Le Detrazioni Per Gli Interventi Antisismici. 2019. Available online: https://www.agenziaentrate.gov.it/portale/documents/20143/233439/Sisma+bonus+le+detrazioni+per+gli+interventi+antisismici_Guida_Sisma_Bonus.pdf/ee5ec719-05ae-0584-897e-f60d34060498 (accessed on 23 June 2020). (In Italian)
- Camera dei Deputati, 2018. Il Recupero e La Riqualificazione Energetica Del Patrimonio Edilizio: Una Stima Dell’impatto Delle Misure Di Incentivazione. Available online: https://temi.camera.it/leg18/dossier/OCD18-11192/il-recupero-e-riqualificazione-energetica-del-patrimonio-edilizio-stima-impatto-misure-incentivazione.html (accessed on 24 May 2020).
- Presidenza Del Consiglio Dei Ministri, 2017. Casa Italia Report. Available online: http://www.casaitalia.governo.it/media/1319/sintesi_rapporto_casa_italia_2017.pdf (accessed on 24 May 2020). (In Italian)
- Krawinkler, H.; Zareian, F.; Medina, R.A.; Ibarra, L.F. Decision support for conceptual performance-based design. Earthq. Eng. Struct. Dyn. 2005, 35, 115–133. [Google Scholar] [CrossRef]
- Goulet, C.A.; Haselton, C.B.; Mitrani-Reiser, J.; Beck, J.L.; Deierlein, G.G.; Keith, A.P.; Stewart, J.P. Evaluation of the seismic performance of a code-conforming reinforced-concrete frame building—From seismic hazard to collapse safety and economic losses. Earthq. Eng. Struct. Dyn. 2007, 36, 1973–1997. [Google Scholar] [CrossRef]
- Rojas, H.A.; Foley, C.; Pezeshk, S. Risk-based seismic design for optimal structural and non-structural system performance. In Proceedings of the Structures Congress 2008: 18th Analysis and Computation Specialty Conference, Vancouver, BC, Canada, 24–26 April 2008. [Google Scholar]
- Ramirez, C.M.; Liel, A.B.; Mitrani-Reiser, J.; Haselton, C.B.; Spear, A.D.; Steiner, J.; Deierlein, G.G.; Miranda, E. Expected earthquake damage and repair costs in reinforced concrete frame buildings. Earthq. Eng. Struct. Dyn. 2012, 41, 1455–1475. [Google Scholar] [CrossRef]
- O’Reilly, G.J.; Sullivan, T.J. Probabilistic seismic assessment and retrofit considerations for Italian RC frame buildings. Bull. Earthq. Eng. 2018, 16, 1447–1485. [Google Scholar] [CrossRef]
- Pohoryles, D.A.; Maduta, C.; Bournas, D.A.; Kouris, L.A. Energy performance of existing residential buildings in Europe: A novel approach combining energy with seismic retrofitting. Energy Build. 2020, 223, 110024. [Google Scholar] [CrossRef]
- Di Trapani, F.; Bolis, V.; Basone, F.; Preti, M. Seismic reliability and loss assessment of RC frame structures with traditional and innovative masonry infills. Eng. Struct. 2020, 208, 110306. [Google Scholar] [CrossRef]
- Sarin, R.K. A Social Decision Analysis of the Earthquake Safety Problem: The Case of Existing Los Angeles Buildings. Risk Anal. 1983, 3, 35–50. [Google Scholar] [CrossRef]
- Egbelakin, T.; Wilkinson, S. Factors affecting motivation for improved seismic retrofit implementation. In Proceedings of the Australian Earthquake Engineering Conference, AEES, Ballarat, Australia, 21–23 November 2008. [Google Scholar]
- Egbelakin, T.; Wilkinson, S.; Potangaroa, R.; Ingham, J. Economic impediments to successful seismic retrofitting decisions. Struct. Surv. 2014, 32, 449–466. [Google Scholar] [CrossRef]
- Kashani, H.; Movahedi, A.; Morshedi, M.A. An agent-based simulation model to evaluate the response to seismic retrofit promotion policies. Int. J. Disaster Risk Reduct. 2019, 33, 181–195. [Google Scholar] [CrossRef]
- Rose, A.; Porter, K.; Dash, N.; Bouabid, J.; Huyck, C.; Whitehead, J.; Shaw, D.; Eguchi, R.; Taylor, C.; McLane, T.; et al. Benefit–cost analysis of FEMA hazard mitigation grants. Nat. Hazards Rev. 2007, 8, 97–111. [Google Scholar] [CrossRef]
- Egbelakin, T.; Wilkinson, S.; Potangaroa, R.; Ingham, J. Challenges to successful seismic retrofit implementation: A socio-behavioural perspective. Build. Res. Inf. 2011, 39, 286–300. [Google Scholar] [CrossRef]
- Egbelakin, T.; Wilkinson, S.; Potangaroa, R.; Ingham, J. Stakeholders’ practices: A challenge to earthquake risk mitigation decisions. Int. J. Strat. Prop. Manag. 2015, 19, 395–408. [Google Scholar] [CrossRef]
- Egbelakin, T.; Wilkinson, S. Sociological and behavioural impediments to earthquake hazard mitigation. Int. J. Disaster Resil. Built. Environ. 2010, 1, 310–321. [Google Scholar] [CrossRef]
- Mitchell, R.C.; Carson, R.T. Using Surveys to Value Public Goods: The Contingent Valuation Method; RFF Press: Washington, DC, USA, 1989; pp. 1–484. [Google Scholar]
- Hanley, N.; Mourato, S.; Wright, R.E. Choice modelling approaches: A superior alternative for environmental valuation. J. Econ. Surv. 2001, 15, 435–462. [Google Scholar] [CrossRef]
- Brookshire, D.S.; Thayer, M.A.; Tschirhart, J.; Schulze, W.D. A test of the expected utility model: Evidence from earthquake risks. J. Polit. Econ. 1985, 93, 369–389. [Google Scholar] [CrossRef]
- Murdoch, J.C.; Singh, H.; Thayer, M. The impact of natural hazards on housing values: The Loma Prieta earthquake. Real Estate Econ. 1993, 21, 167–184. [Google Scholar] [CrossRef]
- Taylan, A. Factors influencing homeowners’ seismic risk mitigation behavior: A case study in Zeytinburnu district of Istanbul. Int. J. Disaster Risk Reduct. 2015, 13, 414–426. [Google Scholar] [CrossRef]
- Filippova, O.; Xiao, Y.; Rehm, M.; Ingham, J. Economic effects of regulating the seismic strengthening of older buildings. Build. Res. Inf. 2018, 46, 711–724. [Google Scholar] [CrossRef]
- Manganelli, B.; Vona, M.; De Paola, P. Evaluating the cost and benefits of earthquake protection of buildings. J. Eur. Real Estate Res. 2018, 11, 263–278. [Google Scholar] [CrossRef]
- Rosen, S. Hedonic Prices and Implicit Markets: Product Differentiation in Pure Competition. J. Polit. Econ. 1974, 82, 34–55. [Google Scholar] [CrossRef]
- Mitchell, R.C.; Carson, R.T. An Experiment in Determining Willingness to Pay for National Water Quality Improvements; Report to the Environmental Protection Agency; Resources for the Future: Washington, DC, USA, 1981. Available online: https://www.epa.gov/environmental-economics/experiment-determining-willingness-pay-national-water-quality-improvements (accessed on 24 May 2020).
- Hanemann, W.M. Welfare Evaluations in Contingent Valuation Experiments with Discrete Responses. Am. J. Agric. Econ. 1984, 66, 332–341. [Google Scholar] [CrossRef]
- Hanemann, M.; Loomis, J.; Kanninen, B. Statistical efficiency of double-bounded dichotomous choice contingent valuation. Am. J. Agric. Econ. 1991, 73, 1255–1263. [Google Scholar] [CrossRef]
- Pearce, D.; Atkinson, G.; Mourato, S. Cost-Benefit Analysis and the Environment; Organization for Economic Organization For Economic Co-Operation and Development (OECD): Paris, France, 2006; pp. 1–314. [Google Scholar]
- Alberini, A.; Longo, A. Valuing Environmental Resources Using Stated Preferences. In Valuing Complex Natural Resource Systems: The Case of the Lagoon of Venice; Alberini, A., Rosato, P., Turvani, M., Eds.; Edward Elgar: Cheltenham, UK, 2006; pp. 3–22. [Google Scholar]
- Cameron, T.A.; Quiggin, J. Estimation using contingent valuation data from a dichotomous choice with follow-up questionnaire. J. Environ. Econ. Manag. 1994, 27, 218–234. [Google Scholar] [CrossRef]
- Loomis, J.; Kent, P.; Strange, L.; Fausch, K.; Covich, A. Measuring the total economic value of restoring ecosystem services in an impaired river basin: Results from a contingent valuation survey. Ecol. Econ. 2000, 33, 103–117. [Google Scholar] [CrossRef]
- Hoffman, E.; Menkhaus, D.J.; Chakravarti, D.; Ray, A.F.; Whipple, G.D. Using Laboratory Experimental Auctions in Marketing Research: A Case Study of New Packaging for Fresh Beef. Mark. Sci. 1993, 12, 318–338. [Google Scholar] [CrossRef]
- Wertenbroch, K.; Skiera, B. Measuring consumers’ willingness to pay at the point of purchase. J. Mark. Res. 2002, 39, 228–242. [Google Scholar] [CrossRef]
- Carson, R.T.; Groves, T. Incentive and informational properties of preference questions. Environ. Resour. Econ. 2007, 37, 181–210. [Google Scholar] [CrossRef]
- D’Alpaos, C.; Bragolusi, P. The Market Price Premium for Residential PV Plants. In New Metropolitan Perspectives. NMP 2020. Smart Innovation, Systems and Technologies; Bevilacqua, C., Calabrò, F., Della Spina, L., Eds.; Springer: Cham, Switzerland, 2020; Volume 178, pp. 1208–1216. [Google Scholar] [CrossRef]
- Tussupova, K.; Berndtsson, R.; Bramryd, T.; Beisenova, R. Investigating willingness to pay to improve water supply services: Application of contingent valuation method. Water 2015, 7, 3024–3039. [Google Scholar] [CrossRef]
- Song, H.J.; Lee, E.K. Evaluation of willingness to pay per quality-adjusted life year for a cure: A contingent valuation method using a scenario-based survey. Medicine 2018, 97, e12453. [Google Scholar] [CrossRef]
- Costa, C.A.B.; Grazhdan, D.; Fiutowski, J.; Nebling, E.; Blohm, L.; Lofink, F.; Rubahn, H.-G.; De Oliveira Hansen, R. Meat and fish freshness evaluation by functionalized cantilever-based biosensors. Microsyst. Technol. 2020, 26, 867–871. [Google Scholar] [CrossRef]
- Ministerial Decree n. 58 of 28/02/2017. Ministero delle Infrastrutture e dei Trasporti. Sisma Bonus-Linee Guida per la Classificazione del Rischio Sismico delle Costruzioni Nonché le Modalità per L’attestazione, da Parte di Professionisti Abilitati, Dell’efficacia Degli Interventi Effettuati. Available online: https://www.mit.gov.it/normativa/decreto-ministeriale-numero-58-del-28022017 (accessed on 23 June 2020). (In Italian)
- Ministerial Decree n. 65 of 07/03/2017. Ministero delle Infrastrutture e dei Trasporti. Sisma Bonus-Linee Guida per la Classificazione del Rischio Sismico delle Costruzioni e i Relativi Allegati. Modifiche All’articolo 3 del Decreto Ministeriale n. 58 del 28/02/2017. Available online: http://www.mit.gov.it/normativa/decreto-ministeriale-numero-65-del-07032017 (accessed on 23 June 2020). (In Italian)
- Ordinanza del Presidente del Consiglio dei Ministri (OPCM) n. 3274. Primi Elementi in Materia di Criteri Generali per la Classificazione Sismica del Territorio Nazionale e di Normative Tecniche per le Costruzioni in Zona Sismica. Supplemento Ordinario n. 72 della Gazzetta Ufficiale n. 105 dell’8 Maggio 2003. Available online: http://zonesismiche.mi.ingv.it/documenti/gazzetta.pdf (accessed on 19 October 2020). (In Italian).
- Dolce, M.; Moroni, C. Classificazione Del Rischio Sismico: Perché Considerare Due Indici? Ingenio 2017. Available online: https://www.ingenio-web.it/7018-classificazione-del-rischio-sismico-perche-considerare-due-indici (accessed on 20 June 2020). (In Italian).
- Caterino, N.; Cosenza, E. A multi-criteria approach for selecting the seismic retrofit intervention for an existing structure accounting for expected losses and tax incentives in Italy. Eng. Struct. 2018, 174, 840–850. [Google Scholar] [CrossRef]
- Vitiello, U.; Ciotta, V.; Salzano, A.; Asprone, D.; Manfredi, G.; Cosenza, E. BIM-based approach for the cost-optimization of seismic retrofit strategies on existing buildings. Autom. Constr. 2019, 98, 90–101. [Google Scholar] [CrossRef]
- You, S.-M.; Chang, C. Weight regression model from the sales comparison approach. Prop. Manag. 2009, 27, 302–318. [Google Scholar]
- Kontrimas, V.; Verikas, A. The mass appraisal of the real estate by computational intelligence. Appl. Soft Comput. J. 2011, 11, 443–448. [Google Scholar] [CrossRef]
- Thanos, S.; Dubé, J.; Legros, D. Putting time into space: The temporal coherence of spatial applications in the housing market. Reg. Sci. Urban. Econ. 2016, 58, 78–88. [Google Scholar] [CrossRef]
- Istituto Nazionale di Statistica–ISTAT. Edifici E Abitazioni. 2014. Available online: https://www.istat.it/it/files//2014/08/Nota-edifici-e-abitazioni_rev.pdf (accessed on 24 June 2020). (In Italian).
- Grünthal, G. European Macroseismic Scale 1998 (EMS-98): Cahiers du Centre Européen de Géodynamique et de Séismologie; Centre Europèen de Géodynamique et de Séismologie: Luxembourg, 1998; Volume 15, p. 99. [Google Scholar]
- European Seismological Commission. European Macroseismic Scale 1998—EMS-98. Available online: http://media.gfz-potsdam.de/gfz/sec26/resources/documents/PDF/EMS-98_Original_englisch.pdf (accessed on 23 June 2020).
- Tertulliani, A.; Azzaro, R. Rilievo Macrosismico in EMS-98 Per Il Terremoto di Amatrice del 24 Agosto 2016. 2016, Gruppo Operativo QUEST, INGV—Istituto Nazionale di Geofisica E Vulcanologia. Available online: http://www.ingv.it/quest/images/rilievimacrosismici/Amatrice%2024:08:2016%20-%20(Ml=6.0)%20Rapporto%20sul%20Rilievo%20macrosismico%20EMS98.pdf (accessed on 24 June 2020). (In Italian).
- Milano, L.; Mannella, A.; Morisi, C.; Martinelli, A. Schede Illustrative Dei Principali Meccanismi Di Collasso Locali Negli Edifici Esistenti in Muratura E Dei Relativi Modelli Cinematici Di Analisi. 2009, Allegato alle Linee Guida per la Riparazione E Il Rafforzamento Di Elementi Strutturali, Tamponature e Partizioni. RELUIS (Rete dei Laboratori Universitari Di Ingegneria Sismica), Protezione Civile Nazionale. Available online: http://www.reluis.it/doc/emergenza_terremoto_abruzzo/Schede_Meccanismi.pdf (accessed on 24 June 2020). (In Italian).
- Studer, J.A.; Jordi, M.; Lateltin, O.; Werner, C. Manuale Per La Valutazione Degli Edifici Dopo Un Terremoto. 2010, Ufficio Federale Della Protezione Della Popolazione UFPP, Associazione Degli Istituti Cantonali di Assicurazione Antincendio AICAA E Associazione Svizzera D’assicurazioni ASA, Berna. Available online: https://www.babs.admin.ch/content/babs-internet/it/publikservice/downloads/unterlagen-ereignisbewaeltigung/_jcr_content/contentPar/accordion/accordionItems/erdbebenbew_ltigung/accordionPar/downloadlist/downloadItems/246_1467960984939.download/88028erdbebenv6it.pdf (accessed on 24 June 2020). (In Italian).
- Baggio, C.; Bernardini, A.; Colozza, R.; Corazza, L.; Della Bella, M.; Di Pasquale, G.; Dolce, M.; Goretti, A.; Martinelli, A.; Orsini, G.; et al. Manuale Per La Compilazione Della Scheda Di 1° Livello Di Rilevamento Danno, Pronto Intervento E Agibilità Per Edifici Ordinari Nell’emergenza Post-Sismica (AeDES). 2014, Presidenza Del Consiglio Dei Ministri, Dipartimento Della Protezione Civile. Available online: http://www.protezionecivile.gov.it/resources/cms/documents/2_LRManualeAedes_31_ottobre_GU_.pdf (accessed on 24 June 2020). (In Italian).
- Menna, C.; Frascadore, R.; Moroni, C.; Lignola, G.P.; De Martino, G.; Salzano, A.; Di Ludovico, M.; Prota, A.; Manfredi, G.; Cosenza, E. Rapporto Fotografico Relativo Ai Danni Subiti Da Alcuni Edifici a Seguito Del Sisma del Centro Italia del 2016. 2016, RELUIS (Rete dei Laboratori Universitari di Ingegneria Sismica), Dipartimento di Strutture per l’Ingegneria e l’Architettura, Università di Napoli Federico II. Available online: http://www.reluis.it/images/stories/report%20fotografico%20sisma%20agosto%202016_31_08_Finale.pdf (accessed on 24 June 2020). (In Italian).
- Istituto Nazionale di Statistica–ISTAT. Indicatori Demografici 2019. 2020. Available online: https://www.istat.it/it/files/2020/02/Indicatori-demografici_2019.pdf (accessed on 17 August 2020). (In Italian).
- Mora, T.D.; Pinamonti, M.; Teso, L.; Boscato, G.; Peron, F.; Romagnoni, P. Renovation of a School Building: Energy Retrofit and Seismic Upgrade in a School Building in Motta Di Livenza. Sustaiability 2018, 10, 969. [Google Scholar] [CrossRef]
- Formisano, A.; Vaiano, G.; Fabbrocino, F. Seismic and Energetic Interventions on a Typical South Italy Residential Building: Cost Analysis and Tax Detraction. Front. Built Environ. 2019, 5, 12. [Google Scholar] [CrossRef]
- Mistretta, F.; Stochino, F.; Sassu, M. Structural and thermal retrofitting of masonry walls: An integrated cost-analysis approach for the Italian context. Build. Environ. 2019, 155, 127–136. [Google Scholar] [CrossRef]
- Miano, A.; Sezen, H.; Jalayer, F.; Prota, A. Performance-Based Assessment Methodology for Retrofit of Buildings. J. Struct. Eng. 2019, 145, 4019144. [Google Scholar] [CrossRef]
- Sisti, R.; Di Ludovico, M.; Borri, A.; Prota, A. Damage assessment and the effectiveness of prevention: The response of ordinary unreinforced masonry buildings in Norcia during the Central Italy 2016–2017 seismic sequence. Bull. Earthq. Eng. 2019, 17, 5609–5629. [Google Scholar] [CrossRef]
- Bonifaci, P.; Copiello, S. Price premium for buildings energy efficiency: Empirical findings from a hedonic model. Valori e Valutazioni 2015, 14, 5–15. [Google Scholar]
- Morano, P.; Tajani, F.; Di Liddo, F.; Guarnaccia, C. The value of the energy retrofit in the Italian housing market: Two case-studies compared. WSEAS Trans. Bus. Econ. 2018, 15, 249–258. [Google Scholar]
- Dell’Anna, F.; Bravi, M.; Marmolejo-Duarte, C.; Bottero, M.C.; Chen, A. EPC green premium in two different European climate zones: A comparative study between Barcelona and Turin. Sustainability 2019, 11, 5605. [Google Scholar] [CrossRef]
- D’Alpaos, C.; Bragolusi, P. Energy Retrofit in Public Housing and Fuel Poverty Reduction: Cost-Benefit Trade-Offs. In Smart and Sustainable Planning for Cities and Regions; Results of SSPCR 2019; Bisello, A., Vettorato, D., Haarstad, H., Borsboom-van Beurden, J., Eds.; Springer—Green Energy and Technology: New York, NY, USA, in press.
Publisher’s Note: MDPI stays neutral with regard to jurisdictional claims in published maps and institutional affiliations. |
© 2020 by the authors. Licensee MDPI, Basel, Switzerland. This article is an open access article distributed under the terms and conditions of the Creative Commons Attribution (CC BY) license (http://creativecommons.org/licenses/by/4.0/).




