Abstract
Procedures for the calculation of capacity of all types of unsignalized intersections, therefore roundabouts as well, represents a combination of the empirical model (exponential regression) and the likelihood of accepting time gaps in the priority flow by drivers who perform a minor manoeuvre. The values of the critical headway, as the minimum necessary time gap for performing the wanted minor manoeuvre, and the follow-up headway, have been given as the recommendations in the existing methodologies for capacity calculation, depending on the type of the manoeuvre. In traffic flow theory it has been known that drivers’ behaviour influences the capacity of roads and intersections, and the assessment of that influence is done through the adoption or correction of the values of certain parameters. At unsignalized intersections the influence of drivers’ behaviour is reflected through the values of critical headway and follow-up headway. The acceptance of the value of time gaps, i.e., the value of the critical headway and follow-up headway, depends on drivers’ knowledge of local conditions. This paper presents the parameter values of critical headway and follow-up headway for resident and non-resident drivers based on the analysis and statistical processing of research results. The research was conducted at four roundabouts in four towns in Bosnia and Herzegovina, and the total number of vehicles covered by the research is 31,053. In that way, it has been confirmed that the capacity of roundabouts depends on the behaviour of the alleged groups of drivers, i.e., with the increase of the level of participation of non-resident drivers in traffic flow, the roundabout capacity decreases. The model for determining the influence of non-resident drivers on the roundabout capacity was created by using multiple linear regression. If the proposed model in the procedures of traffic planning is applied, the influence of roundabouts on the level of service, sustainability, and the emission of Green House Gases (GHG) can be realistically assessed and perceived in accordance with the expected participation of resident and non-resident drivers.
1. Introduction
The largest number of methodologies for roundabout traffic capacity calculation have been based on Harders or Siegloch’s model. These models for capacity calculation have been based on the probability theory of the occurrence of time intervals (gaps) in the priority roundabout, which are sufficient for performing a minor manoeuvre, that is, joining from the entrance (non-priority) flow into the roundabout (priority) traffic flow. The minimal time interval in the priority, roundabout flow, which enables the performance of the minor manoeuvre—joining the priority flow, is called critical headway. Apart from this parameter in the models for the capacity calculation, the term follow-upheadway also occurs, and it represents the time interval from the moment of vehicle’s joining from the overview line to the moment of the stopping of the following vehicle from the queuing line to the overview line. In practice, when capacity is calculated, the recommended values of the critical headway and follow-up headway given in Highway Capacity Manual Edition 6 (HCM 6) [1] are used most commonly. Drivers’ behaviour in local environment has the influence when these time intervals are chosen, therefore local measurement is recommended. Local measurements can serve for the procedures of operative analysis, but for the procedure of plan analysis local measurement has no significance.
The research studies have shown that the knowledge of local conditions has the greatest influence on the drivers’ behaviour, that is, whether the drivers often or daily use the road or they use that part of the road network for the first time or rarely. In contrast to the model for roundabout capacity calculation, in other procedures for capacity calculation the influence of drivers’ characteristics is assessedusing Driver Population Adjustment Factors. In order to determine how the knowledge of local conditions influences drivers’ behaviour at the roundabout, the research study will be directed to determine the parameters of the critical headway and follow-up headway for two completely different groups of drivers: (a) Resident drivers: the traffic flow participants who often or daily go through the observed roundabouts in their vehicles, and (b) Non-resident drivers: participants of traffic flow who occasionally, rarely or for the first time go through the observed roundabouts, and who are identified by their foreign registration plates. The starting hypothesis of the research is that the resident and non-resident drivers at the roundabout differ by their behaviour, that is, the presence of non-resident drivers affects the acceptance of time gaps in minor manoeuvre performance. In accordance with this, it can be objectively assumed that the values of the critical headway and follow-up headway, i.e., the capacity of roundabouts, depends on the presence of non-resident drivers in traffic flow on the approaches to the roundabout.
According to the author’s findings, a similar study analyzing the influence of non-resident drivers on the capacity of roundabouts has not been conducted, which is one of the contributions of this article. The inspiration and the reason for the research carried out is found in the results of the study of the impact of non-resident drivers on the capacity of roads, which has already been implemented in the procedures of the previous editions of Highway Capacity Manual (HCM).
When roundabouts are planned and designed, it is necessary to predict and perceive all influence factors in order to determine the realistic capacity value, in accordance with the characteristics and particularities of the traffic flow and his sustainability. The model for defining the influence of non-resident drivers on the capacity of the roundabout enables determining the real values of capacity and the level of the roundabout service, and thus its influence on the GHG emission. Namely, it is known that delay is influenced by the relation between traffic demand and capacity, and so is GHG emission. Determining real values of the planned roundabouts capacity by seeing it through the influence of the participation of non-resident drivers, is important for planning and defining its geometric characteristics, number of traffic lanes at entry and exit traffic lanes and other factors so as to reduce delays and achieve the satisfactory level of service.
The article consists of six sections. The introductory section focuses on the importance of the topic and justifies the reasons why this particular topic has been chosen. It is followed by Section 2 which includes the overview of the literature, defined factors and elements which affect roundabout capacity, and with the overview of different models used in expert literature for the given topic. The Section 3 contains the research objective with the emphasis on drivers’ behaviour on roundabout capacity. The Section 4 describes the method of data collecting and processing, defining the applied methods and the achieved model. After that, in Section 5, the research results are given and elaborated with the discussion about the results, while in the Section 6 conclusions have been stated with the guidelines for further research studies.
2. Literature Review
The intersection capacity calculation in accordance with the models of the acceptable headway of vehicles has been done since the 1960s [2,3]. Also, previous research studies provide other different models for the assessment of capacity, as well as their comparison [4,5,6,7,8,9,10,11]. Models for calculating the capacity of unsignalized intersections, which include unsignalized roundabouts as well, are in the process of continuous improvement and upgrading. All models used to calculate the capacity of intersections, where there are interrupt traffic flow conditions, are based on the acceptable headway of vehicles. As part of the article, it has been shown that existing models for calculating the capacity of roundabouts can be further improved by considering drivers’ characteristics, which has already been implemented in models for calculating the capacity in uninterrupted traffic flow conditions.
HCM has been widely applied for the calculation of roads and intersections capacity. HCM has been republished and amended a number of times in the period from 1965 to 2016 [1,12,13,14,15,16]. In the practice of almost all countries of the world, the procedures provided in HCM are used to calculate the capacity of all types of intersections. All improvements to the base models for calculating the capacity of unsignalized intersections have been accepted and implemented in six HCM editions published so far. The constant development of HCM points to the continuous improvement of the procedures for calculating the capacity of unsignalized intersections, as well as roundabouts, and adapting the model to driving conditions and drivers’ behaviour. HCM offers a model for the calculation of capacity of unsignalized intersections (with roundabouts included), but not all the types, such as non-standard unsignalized intersections [17]. Different models dealing with intersections capacity calculation are based on many field research studies and statistical methods, with the hypothesis that the values of the critical headway and follow-up headway will be between the minimally accepted and maximally rejected headway.
Numerous articles emphasise the importance of the local research of traffic flow parameters for the accuracy of the calculation of capacity of roads and intersections. Therefore, articles [18,19], as well as manuals for the capacity calculation [1,16] emphasise the importance and the need for local research and measurement. Previous research studies have shown that there is a significant influence of local traffic conditions on the value of traffic flow parameters, consequently on the value of capacity of all types of unsignalized intersections, which include unsignalized roundabout intersections [20,21,22]. With the increase of the headway, the probability that the drivers will accept the gap and perform the wanted manoeuvre, will also increase [23]. The observation and measurements have been used to determine that at the roundabouts which have been used for a longer while, the queues length on approaches is decreased [24]. Local habits of drivers can significantly affect the values of the critical headway and follow-up headway and thus they can change the capacity of roundabouts calculated on the basis of the recommended values of these parameters [25]. Geometric shape, vehicles’ characteristics and traffic conditions, as well as the behaviour of drivers, affect the values of the critical headway and follow-up headway [26].
The drivers who have been queuing for a longer while to perform a minor manoeuvre of joining the priority traffic flow are ready to take a greater risk, that is, they accept lower values of the critical headway, which is of significant importance for the capacity calculation [27]. The increase of the capacity of multi-lane roundabouts can be done through balancing the use of entry traffic lanes and traffic lanes in the circulating flow [28].
Due to mentality, habits and behaviour of drivers in local environment it can be assumed that the critical headway and follow-up headway are not identical in all research conditions. For this reason, many research studies have been done globally dealing with different factors which affect the values of the critical headway and follow-up headway. Some research studies have implied that the values of the critical headway are affected by the local environment characteristics, such as the size of the town where the intersection is located [20]. The circulation of the conflict flow and the speed of vehicles in the conflict flow are connected with the values of critical headway and follow-up headway, that is, with the increase of these parameters values, the critical headway and follow-up headway are decreased [29]. However, in some research studies, depending on the specific observation conditions, it is underlined that the speed limit at the main road does not affect headways [30].
Drivers who leave the circulating flow affect the roundabout capacity. If the effects of drivers at exit traffic lanes are ignored, the roundabout capacity can be overestimated or underestimated [31]. It has been proved that bad weather conditions (dark and wet weather) have a negative influence on the roundabout capacity [32], as well as fog and heavy rain which influence the drivers’ behaviour in traffic flow on roadways [33,34]. The influence of the intersection geometrical shape on the capacity and the structure of the traffic flow has been considered since 2000 [15], which was also represented in some earlier studies with this topic [35]. Geometrical characteristics of roundabouts, as well as the participation of heavy vehicles in traffic flow, affect roundabout capacity [36]. The type of roundabout, optimization of traffic efficiency and safety, taking into consideration geometrical factors, can be successfully done through a poly-criteria model [37].
The measured values of the critical headway at some intersections can be significantly lower at some intersections (1.5~2.5 s) or even higher than the recommended values [38] due to the influence of local conditions. The calculations of roundabout capacity can vary depending on geometry, environment factors, the intensity ratio of the entry and conflict flow, the factor of the origin-destination point [39].
The spatial characteristics of the road network, reflected through the distance and average speed, are used with high precision for developing the models for predicting traffic flows, with the possibility of including data on weather conditions, incidental locations and road works [40]. The use of the algebraic step-by-step method enables a detailed analysis at each step of the monitored process, thus obtaining the desired information on certain traffic flows [41].
Traffic jams are the common problems that intelligent transport systems (ITS) face, which requires the models for predicting different solutions in urban traffic conditions. Real traffic measurements can significantly contribute to improving traffic congestion modelling, which affects generating an Origin/Destination (O-D) traffic matrix that resembles real traffic distribution [42]. If it is possible to describe the state of traffic forecasting traffic conditions, the routes of autonomous vehicles can be optimized in order to mitigate the effects of traffic congestion, which would improve the flow of traffic [43].
3. Defining the Aim of the Research
Although drivers’ behaviour in local conditions has been recognized as a factor which affects roundabouts’ capacity, the model for the assessment of this influence on the capacity has not been developed yet. In traffic flow theory it is known that the participants of traffic flow who use the same road section often or daily behave differently compared to the drivers who use the same road section occasionally, rarely or for the first time. Driver Population Adjustment Factors are used to assess this influence on roads and their value can affect the capacity up to 25% [1,16,44]. In accordance with that, if it can be proved that the behaviour of non-resident drivers at roundabouts is different compared to resident drivers, it is also possible to evaluate that influence through the Factor of non-resident drivers’ participation (fnre). Once this factor is defined, the conditions to objectively evaluate this influence in the procedures for capacity calculation, especially during planned analysis, would be created. This has been recognized as a problem in previous research studies, but no solution has been found. A lot of research studies do not consider the influence of drivers’ behaviour as a factor which can affect the values of the critical headway and follow-up headway [45]. The influence of behaviour and drivers’ characteristics on the capacity of signalized intersections has been experimentally confirmed [46], and thus it can be assumed it will be confirmed at roundabouts as well.
Even though the influence of the participation of non-resident drivers in traffic flow on the capacity has been proved and defined at other parts and elements of road and street network, it has not been considered and evaluated at roundabouts yet. A database on resident and non-resident drivers’ behaviour at roundabouts has been formed in the scope of the research carried out for the needs of this article. As expected, the analysis of the research results have shown that there is a significant difference in the behaviour of these two groups of drivers which is distinctly seen through the values of traffic flow parameters, critical headway and follow-up headway. The basic aim of this article is to create a model for evaluating the influence of the participation of non-resident drivers in traffic flow on the capacity of roundabout, in accordance with the results of the conducted research. If the model for defining the influence of drivers’ behaviour on the capacity of roundabouts was created, in accordance with the participation of non-resident drivers in traffic flow, the disadvantages of the existing methodologies would be eliminated. Namely, the existing technologies for the calculation of roundabout capacity do not consider the influence of non-resident drivers or non-commuters, therefore their objective influence at roundabouts cannot be assessed, regardless of the fact that it exists in traffic flow theory.
Considering the fact that drivers’ behaviour is in the correlation with the knowledge of local conditions, the research will be conducted in local conditions. Due to the fact that in previous research studies it has been recognized that drivers who daily or often use a certain road network section behave differently in comparison with the drivers who use it rarely, the research will be oriented towards the determination of the influence of drivers’ characteristics, which have been divided into two categories: resident and non-resident drivers. Since non-resident drivers are traffic participants occasionally, rarely or they go through the monitored roundabouts for the first time, it is expected that their way of accepting critical headway and follow-up headway will be different from resident drivers who go through the studied roundabouts in their vehicles on daily basis. It can be objectively assumed that the values of critical headway and follow-up headway are higher with non-resident drivers in relation to resident drivers. For this reason, consequently, the increase of the participation of non-resident drivers will lead to the decrease of roundabout capacity. On the basis of the determined rules between the parameters values for one and the other group of drivers, the calculation model will be defined—the factor for the participation of non-resident drivers in order to advance the existing procedures for the calculation of roundabout capacity.
A higher percentage of non-resident drivers use transit roads and roads in tourist regions, especially during holidays’ season when these drivers are often the majority of the driving population. For this reason, the roundabout capacity calculation with the recommended values of input parameters, without considering the influence of non-resident drivers, can give unrealistic results. All this can lead to the wrong assessment of the current situation, as well as the measures which should be taken in order to improve the service level at roundabouts.
4. Materials and Methods
HCM 6 [1], as well as Highway Capacity Manual 2010 (HCM 2010) [16], describes the model of roundabout capacity as a combination of an empirical model (exponential regression) and the model of accepting time gaps for performing the wanted manoeuvre of a vehicle’s joining a roundabout traffic flow, at single-lane and multi-lane roundabouts. The Equation (1) for the assessment of roundabout capacity, based on the assessment of each entry lane can be shown in the following way:
where:
- ci—capacity for lane i (veh/h),
- ci,pce—capacity for lane i, adjusted for heavy vehicles (passenger car per hour—pc/h),
- vc—conflicting flow (pc/h),
- tc—critical headway (s),
- tf—follow-up headway (s),
- fHV,e—heavy-vehicle adjustment factor for the lane,
- fped—pedestrian impedance factor.
The model presented above by Equations (1)–(4), which is completely taken from HCM 6 [1], is a Siegloch’s model, and allows the calculation of capacities at one-lane and two-lane roundabouts using parameters of critical headway and follow-up headway proposed in HCM 6 or calibrated during the research. For the purpose of simplification, Equation (2) is presented by Equations (3) and (4). Equations (2)–(4) are used to calculate the capacity of roundabouts based on the measured values of critical headway and follow-up headway for two separate groups of drivers (resident and non-resident drivers). Thus, using the interpolation method, the values of the capacity of roundabouts are obtained, depending on the percentage of the participation of non-resident drivers in the traffic flow. It served as the basis for determining the participation factor of non-resident drivers.
The entry lane capacity, thereby the roundabout capacity, depends on the conflicting circulation flow, critical headway, follow-up headway, participation of heavy vehicles in the conflicting circulating and entry flow, and the participation of pedestrians at pedestrian crossings before the conflicting circulating flow. The driver at the entry flow is obliged to let pedestrians cross the pedestrian crossing before the conflicting circulating flow, and go over the pedestrian crossing with the vehicle when the acceptable time interval between pedestrian movement at the pedestrian crossing occurs, and then after that, using the acceptable headway in the circulating flow, join the roundabout traffic flow [47]. Models based on field research, and confirmed by simulations in MATLAB (MATLAB 2013, MathWorks, Natick, USA), give a special contribution to the pedestrian influence [48]. The issue tackled by this article is not the influence of pedestrians and heavy vehicles on the roundabout capacity, and due to that the used value for both factors (fped, fHV,e) in all calculations is 1.00. The selection of intersections for the research has been carried out in such a way that there is no significant participation of heavy vehicles and pedestrians. If such vehicles (pedestrians) still appeared in the traffic flow, the values of the examined parameters were not measured while the vehicles (pedestrians) did not leave the intersection. This influenced the extension of the research time, but the influence of heavy vehicles and pedestrians on the values of the examined parameters was excluded. When there is no impact of heavy vehicles and pedestrians, the value of the parameters fped and fHVe is 1.00. Since the article does not examine the influence of pedestrians or heavy vehicles on the capacity of roundabouts nor performs any simulations, the research has not used MATLAB, nor any other simulator dealing with the subject matter. MINITAB (Minitab 17, State College, Pennsylvania, USA ), which represents a software for the statistical processing of the results of various studies, is used in the article and is often applied when processing a sample for scientific purposes since its reliability is very high.
The conflicting circulating flow, the participation of heavy vehicles in the conflicting circulating and entry flow and the participation of pedestrians at pedestrian crossings before the conflicting circulating flow is determined by means of field measurements and the established procedure. The values of critical headway and follow-up headway directly influence the real capacity of roundabout, i.e., their capacity in real, existing conditions. The critical headway and follow-up headway are the parameters given on the basis of real research within standards and traffic regulations, and the traffic environment. HCM 6 [1], compared to HCM 2010 [16], brings certain changes in relation to the given parameters of critical headway and follow-up headway, due to which there are different roundabout capacities. When the capacity is calculated at the entrance to the roundabout, permanent values of critical headway and follow-up headway are used [1,16]. The values of critical headway and follow-up headway in some cases can be different from those estimated in HCM 6 [1], therefore, local measurements are recommended. The critical headway and follow-up headway, during the minor manoeuvre of a vehicle’s joining roundabout traffic flow, are measured in a proper way. Local measurements of these parameters have been done around the world since the mid last century, but it should be highlighted that they have to be specially considered in each local environment.
In practice, special conditions for measuring critical headway and follow-up headway are not always possible during the whole research period. During critical headway measuring (tc) it is necessary that the first vehicle at the entrance flow is stopped, and that the conditions at the conflicting circulating flow are similar to a congested flow, that is, that in certain periods in roundabout field the minor manoeuvre of joining a roundabout flow is enabled. During follow-up headway measuring (tf) it is necessary that at the entry flow the conditions of a congested flow have been created so that there is a queue of vehicles at the entry flow, and that at the conflicting circulating flow there are conditions (time gaps) which enable that two vehicles from the queue at the entry flow, one after the other, perform the minor manoeuvre of joining the conflicting circulating flow. Both vehicles (the first and the second vehicle) in the queue have to be stopped before performing the minor manoeuvre of joining the conflicting circulating flow. For the previously stated reasons, at one observed roundabout, there are rarely conditions for simultaneous measurements of both parameters—critical headway and follow-up headway.
The restrictions related to the impossibility of critical headway measuring occur only in case when conflicting circulating flow is of low intensity, for at this time very often two or more consecutive minor manoeuvres of joining the conflicting circulating flow are realized. On the other hand, the restrictions related to the impossibility of follow-up headway measuring occur in case when traffic flow at the entry flow is of low intensity, as well as when at the conflicting circulating flow is very intensive on account of which it is not possible that two vehicles perform consecutive minor manoeuvres of joining the conflicting circulating flow.
In order to determine the influence of non-resident drivers on the capacity of unsignalized roundabouts, when resident and non-resident drivers perform the minor manoeuvre of joining the roundabout traffic flow, parameters tc and tf were measured in the way the influence of commercial vehicles on the values of parameters tc and tf are excluded. For this reason, the values of the parameters tc have been only considered in the analysis if the first vehicle and the second vehicle in the conflicting circulating flow were passenger cars, and the minor manoeuvre of joining the traffic flow of the roundabout was also performed by a passenger car. On the other hand, the values of the parameter tf have been only considered if the first vehicle and the second vehicle in the entry flow were passenger cars, and the vehicle in the conflicting circulating flow, in relation to which the measurement was done, was also a passenger car. It has been proven that homogeneous traffic flow made exclusively of passenger cars is a good method in data processing and defining a valid model [49].
In order to completely exclude the impact of heavy and other commercial vehicles, in the research, the critical headway and follow-up headway were measured only when in the traffic flow all vehicles were passenger cars. In this way, a sample was created with the values of critical headways and follow-up headways performed by two groups of drivers, resident and non-resident drivers in the conditions of a homogeneous traffic flow consisting of passenger cars. In traffic flow theory, a homogenous traffic flow is considered representative for establishing various impacts on the capacity of roads and intersections, which is used to prove differences in the behaviour of non-resident and resident drivers when performing a minor manoeuvre.
All cases of critical headway and follow-up headway with any types of disturbances of traffic flow have not been considered.
The research has been conducted at four roundabouts in four towns in Bosnia and Herzegovina (Bijeljina (BN)—107,715 residents, Brčko (BC)—83,516 residents, Tuzla (TZ)—110,979 residents, Banja Luka (BL)—185,042 residents).
These towns have been chosen for the research due to the assumption that in summer period there is a larger number of drivers in these towns because of occasional visits or tourist purposes, which was the eliminating prerequisite for conducting the analysis. The summer period has been selected as representative for the research, since a large number of non-resident drivers appear in the territory of Bosnia and Herzegovina in this period. The research has been done for single-lane roundabouts (ne = nc = 1) and for two variants of two-lane roundabouts (the first case: ne = nc = 2, the second case: ne = 1, nc = 2), where:
- ne—number of traffic lanes at the entry to the roundabout (the number of entry traffic lanes),
- nc—number of traffic lanes in the conflicting circulating flow.
In the case of two-lane roundabouts with two entry lanes, the right traffic lane (r) is separately observed, and the left traffic lane (l) separately as well. The basic geometric-location data of the observed roundabouts are given in Table 1. The roundabout in Brčko belongs to turbo roundabouts, while the intersections in Bijeljina, Tuzla and Banja Luka are typical roundabouts.
Table 1.
The basic geometric and location data of the observed roundabouts.
The total recording time was 1740 min. The analysis of the recorded data involved the initial measurement of the parameters of the critical headway and follow-up headway for two separate groups of drivers (resident and non-resident) at the observed roundabouts, after which the processing of the collected data started. The research was carried out in the following periods (Table 1):
- -
- for the observed roundabout in Bijeljina, the research was conducted in the period from 7:00 to 16:00, a total of 9 h or 540 min;
- -
- for the observed roundabout in Brčko, the research was conducted in the period from 7:00 to 16:00, a total of 9 h or 540 min;
- -
- for the observed roundabout in Tuzla, the research was conducted in the period from 9:00 to 15:00, a total of 6 h or 360 min;
- -
- for the observed roundabout in Banja Luka, the research was conducted in the period from 12:00 to 17:00, a total of 5 h or 300 min.
The methods deriving from mathematical, statistical and probability theory have been used for the analysis of critical headway and follow-up headway. The method for data collecting and processing in this article has been based on the use of software packages. The research was done by means of a digital video camera in July and August 2018, when there is a significant number of non-resident drivers in the traffic flow. Due to a specific way of forming registration labels, drivers from other towns in Bosnia and Herzegovina cannot be recognized by their registration plates. For this reason, in order to form a compact sample of non-resident drivers at unsignalized roundabout intersections, only drivers with foreign registration plates have been included in this group. There is a very small number of resident drivers driving vehicles with foreign registration plates, and also, there is a small number of resident drivers who, in the period of the conducted research, visit other towns in Bosnia and Herzegovina which are unfamiliar to them, for tourist, recreational or any other reasons. Therefore, the sample formed in the described way can be considered relevant for the research and drawing a conclusion.
The method used for traffic flow parameters measuring is the method of video recording processing and analysis, which represents one of the oldest methods [50]. This method was later improved by using a more advanced technology which proved to be an extremely efficient method for traffic flow parameters measuring because the influence on the behaviour of drivers was minimized by using this method. Data collected and processed in this way represent an efficient and practical basis in many research studies on traffic flow parameters [51,52]. The oldest objective method for determining the characteristics of a traffic flow, established in 1934, was first applied by a great scientist Bruce D. Greenshields, the founder of traffic flow theory, a new study in those times. This method has been used for determining traffic flow parameters since the way of research does not affect in any way the behaviour of drivers, and accordingly obtains an objective sample that can be processed in all scientifically recognized ways. Namely, drivers practically do not even know that they are participants in the experiment, so their behaviour is common. This is one of the conditions for obtaining objective results related to the influence of behaviour of two different groups of drivers on the values of traffic flow parameters, and hence on the capacities of roundabout. Negative effects on the behaviour of drivers and the movement of vehicles, such as fog, rain and strong wind, may adversely affect the drivers’ behaviour, which is the reason why the research was not conducted in such unfavourable weather conditions. In the theory of traffic flow, the basic ambient, i.e., weather conditions include daily driving conditions, good visibility, dry roadway, no wind conditions, etc. The researchers have chosen these weather conditions when conducting the research, in order to eliminate the impact of weather conditions on drivers’ behaviour, which is the subject of other studies regarding the theory of traffic flow.
During the recording the weather was sunny with the temperature of 25–35 °C, without fog, rain, gales or other unfavourable climate conditions which can cause negative effects on drivers’ behaviour and the movement of the vehicle [53].
Data processing and determination of traffic flow parameters has been performed as follows: video recording is transmitted on one of the application software with precise timer; the researcher identifies situations that correspond to the definition of critical headway and follow-up headway in the traffic flow. After identifying the specific situations for resident or non-resident drivers, the recording stops and returns at a moment when the vehicle in the peripheral flow starts the movement from the stop position and enters the circulating zone. The recording stops again when a vehicle from the conflict flow approach a predefined conflict point. Both specific times are recorded in a pre-prepared Excel table for both resident and non-resident drivers. If, for some reason, conditions that characterize the critical headway or follow-up headway are not fulfilled, e.g., there are no vehicles from the conflict flow, the vehicle from the peripheral flow enters the intersection with a flying start, etc., the researchers have not stopped the recordings nor they have recorded the time. Such a manual method of research significantly prolonged the time for the creation of the database, but the quality of the data obtained is very high. Practically, there is no more objective and better quality way of determining the values of examined traffic flow parameters.
The recordings were analyzed using a video player, whereby critical headway and follow-up headway parameters were measured in realistic conditions. The results were statistically processed in the MINITAB (. Critical headway and follow-up headway were measured while performing minor manoeuvre of joining the conflicting circulating flow, resulting in the values of these parameters in real conditions (Table 2 and Table 3).
Table 2.
Collected value of the sample for critical headway (tc).
Table 3.
Collected value of the sample for follow-up headway(tf).
The total number of vehicles covered by the research and used to calculate the values of tc and tf parameters is 31,053. The total number of vehicles that is the subject of the research, on the basis of which the values of the critical follow-up intervals and follow-up time are obtained, is not completely same for all four roundabouts observed. The following text provides detailed reviews of all vehicles participated in the research, as follows:
- -
- for the observed roundabout in Bijeljina, the total number of vehicles that is the subject of the research is 6744, where the number of observed vehicles in the entry lane (ve) is 4111, while the number of observed vehicles in circulating flow (vc) is 2633;
- -
- for the observed roundabout in Brčko, the total number of vehicles that is the subject of the research is 7849, where the number of observed vehicles in the entry lane (ve) is 4968, while the number of observed vehicles in circulating flow (vc) is 2881;
- -
- for the observed roundabout in Tuzla, the total number of vehicles that is the subject of the research is 7842, where the number of observed vehicles in the entry lane (ve) is 1203, while the number of observed vehicles in circulating flow (vc) is 6639 (2273 vehicles in the internal traffic lane, 4.366 vehicles in the external traffic lane);
- -
- for the observed roundabout in Banja Luka, the total number of vehicles that is the subject of the research is 8618, where the number of observed vehicles in the entry lanes (ve) is 2291 (953 vehicles in the left entry lane, 1338 vehicles in the right entry lane) while the number of observed vehicles in circulating flow (vc) is 6327 (3337 vehicles in the internal traffic lane, 2990 vehicles in the external traffic lane).
According to the above data for the analyzed vehicles at all roundabouts, the total number of observed vehicles during the research is 31,053 (6744 + 7849 + 7842 + 8618 = 31,053).
On the basis of the measured values of the critical headway and follow-up headway, in order to assess the capacity of roundabouts, depending on the percentage of the participation of non-resident drivers in the traffic flow, a multiple linear regression was used to determine the model. When using the multiple linear regression model, the aim is to use the model to predict the variations of dependent variable—factor of non-resident driver participation for different combinations of the values of two independent variables—the percentage of the participation of non-resident drivers and the intensity of conflict flow (Equation (5)).
Generally, a dependent variable Y can be connected with k independent variables. The following Equation (5) shows the model for multiple linear regression with k in dependent variables:
Parameters βj, j= 0,1,…,k, are called regression coefficients. Models (Equation (6)) which are more complex in the structure than the model from Equation (5), can be further analyzed by means of the techniques of multiple linear regression, through appropriate transformation (Equation (7)).
If the transformation is introduced (Equation (7)):
Then Equation (6), can be written as Equation (8):
For models with the interaction of independent variables, the methods of multiple linear regression can also be applied for analysis. The interaction of these two variables is represented by their reciprocal result and appropriate regression coefficient (Equation (9)).
If transformations are introduced (Equation (10)):
Then Equation (9) is written in the form of Equation (11), which can be solved through multiple linear regression:
By means of the MINITAB, using multiple linear regression, Equation for the calculation of the factor of non-resident drivers’ participation (fnre) on the capacity of entry traffic lane can be obtained. Since it is a two-factor linear regression, the following formula will be used (Equation (12)):
In this model Yi,j is the dependent variable, xPnre,i and xvc,j are independent variables, while β0, β1, β2, and β3 are unknown parameters or regression coefficients.
The Equation (12) will represent the basis for obtaining a model for defining the influence of non-resident drivers on the capacity of roundabouts.
5. Results and Discussion
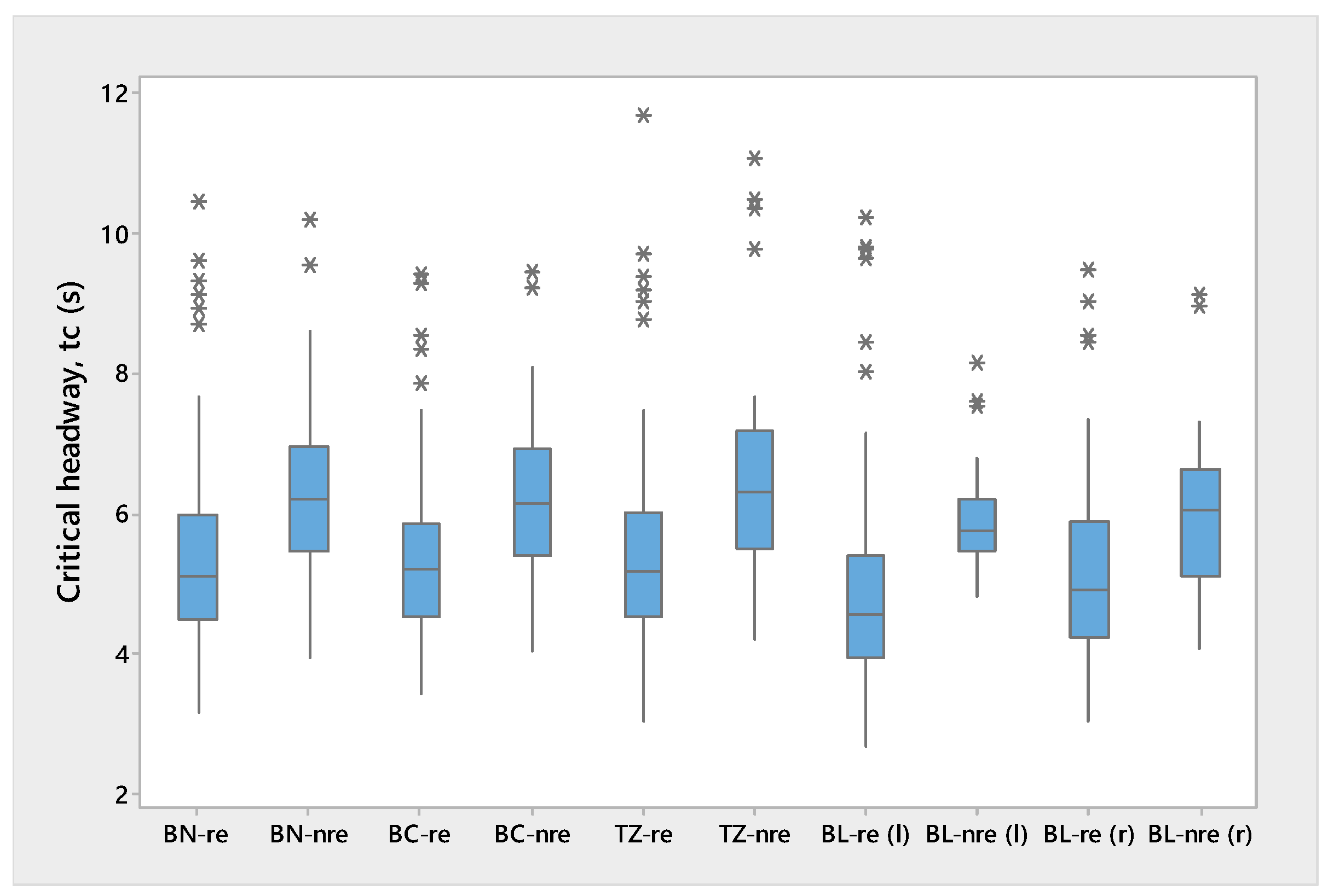
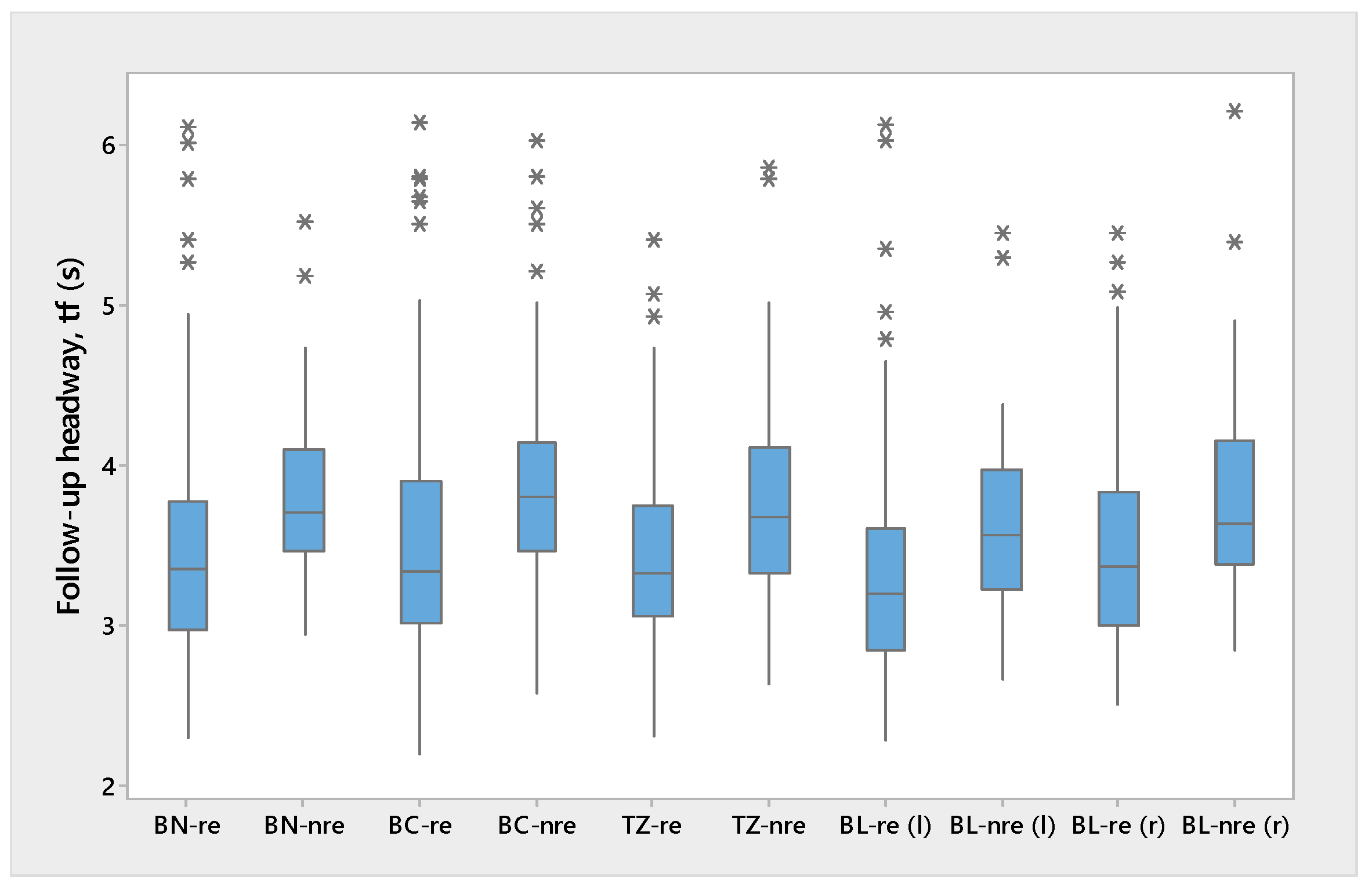
The values of critical headway (tc) and follow-up headway (tf) were statistically processed in the MINITAB, and are given depending on the research location and type of drivers (resident (re) and non-resident (nre) drivers). The values tc and tf are primarily processed by means of the Box Plot (Figure 1, Figure 2, Figure 3 and Figure 4), resulting in the graphic display of data with the displayed values of median, the first and third quartile, minimal and maximum values of the analyzed data. Within the four Figures (Figure 1, Figure 2, Figure 3 and Figure 4), the results are shown separately for the critical headway–tc (Figure 1 and Figure 2) and follow-up headway—tf (Figure 3 and Figure 4) and each observed roundabout, where the sample is processed and displayed by Box Plots separately for:
Figure 1.
Box-plot for the values of the parameter tc of the monitored roundabouts with outliers.
Figure 2.
Box–plot for the values of the parameter tc of the monitored roundabouts without outliers.
Figure 3.
Box-plot for the values of parameter tf of the monitored roundabouts with outliers.
Figure 4.
Box-plot for the values of parameter tf of the monitored roundabouts without outliers.
- -
- BN-re—resident drivers at the roundabout in Bijeljina,
- -
- BN-nre—non-resident drivers at the roundabout in Bijeljina,
- -
- BC-re—resident drivers at the roundabout in Brčko,
- -
- BC-nre—non-resident drivers at the roundabout in Brčko,
- -
- TZ-re—resident drivers at the roundabout in Tuzla,
- -
- TZ-nre—non-resident drivers at the roundabout in Tuzla,
- -
- BL-re (l)—resident drivers at the roundabout in Banja Luka, the left entry traffic lane,
- -
- BL-nre (l)—non-resident drivers at the roundabout in Banja Luka, the left entry traffic lane,
- -
- BL-re (r)—resident drivers at the roundabout in Banja Luka, the right entry traffic lane,
- -
- BL-nre (r)—non-resident drivers at the roundabout in Banja Luka, the right entry traffic lane.
An integral part of each Figure is ten Box Plots, i.e., separate Box Plots for resident and non-resident drivers at observed roundabouts. Outliers marked with * in Figure 1 and Figure 3 were excluded from further analysis, after which Figure 2 and Figure 4 were formed. In Figure 1, Figure 2, Figure 3 and Figure 4, Box Plots show that the values are symmetrically arranged in relation to the median. In all Box Plots (Figure 1, Figure 2, Figure 3 and Figure 4), observing the first and third quartiles, as well as the interquartile spacing, it is concluded that the values of the parameters of the critical headway and follow-up headway are not much dissolved, which is a good basis for drawing conclusions. Box Plot diagrams (Figure 1, Figure 2, Figure 3 and Figure 4) show that the values of the above-mentioned parameters for the observed roundabouts are quite equal for both resident drivers, on one hand, and non-resident drivers, on the other hand.
After the exclusion of outlier from further analysis, the descriptive measures of parameters tc and tf were obtained and they were further used in model determining (Table 4 and Table 5). In the Tables the following descriptive measures have been displayed: the sample count, mean, standard deviation (StDev), minimum value (Min), maximum value (Max). Apart from the previously stated, the values of the first quartile (Q1), the third quartile (Q3) and Median have been given, as well as p-values of parameters tc and tf setting with lognormal distribution (in Table 4 and Table 5 labeled as: p for Ln). By values tc and tf measuring for each observed roundabout, the hypothesis on agreement with lognormal distribution cannot be rejected, which is in accordance with the recommendations of different research studies [18,54].
Table 4.
Descriptive measures for the values of parameter tc for the monitored roundabouts.
Table 5.
Descriptive measures for parameter tf values at the monitored roundabouts.
The obtained values tc and tf are valid for the homogeneous traffic flow composed of passenger cars, which can be modified by different influence factors (fped and fHV,e), whereby the obtained values tc and tf are for inhomogeneous flow, after which the output result for the roundabout capacity is represented in the unit (veh/h).
On the basis of the results displayed in Table 6 and Table 7, it can be concluded that the values of the measured critical headway and follow-up headway deviate from those recommended in HCM, which indicates that local measurement is useful to be conducted. The greatest deviation from the recommended values given in HCM 6 [1], with parameter tc, is at the roundabout in Tuzla, while with the parameter tf the highest deviation has been recorded in the right entry traffic lane of the roundabout in Banja Luka. On the other hand, it is important to highlight that the analysis results imply that non-resident drivers use higher values of time gaps for performing the manoeuvre, that is, critical headway and follow-up headway, in order to perform the minor manoeuvre of joining the conflicting circulating flow, that is, they need more time for making decisions and performing the manoeuvre in relation to resident drivers. Consequently, the participation of non-resident drivers in traffic flow directly leads to the reduction of the capacity at entry to the roundabout flow, thus the reduction of the capacity of the whole roundabout.
Table 6.
Measured mean values of the parameter critical headway (tc).
Table 7.
The measured mean values of the parameter follow-up headway (tf).
Resident drivers use smaller critical headway and follow-up headway when performing the minor manoeuvre of joining the conflicting circulating flow, that is, they react faster and more explosively. The research implies that in the left entry traffic lane of the roundabout in the town of Banja Luka, the biggest difference between the measured values of critical headway for resident and non-resident drivers is 1.10 s, while the smallest difference, also recorded in Banja Luka, but in the right entry traffic lane is 0.78 s. The differences of the measured values of follow-up headways for resident and non-resident drivers are around 0.3 s, with certain deviations depending on the measuring point. It is obvious that habits, behaviour, customs and different legislation affect non-resident drivers to use bigger critical headways and follow-up headways in order to perform minor manoeuvre of joining the conflicting circulating flow.
As can be seen from the research results presented, the differences between the values of the critical headways and follow-up headways for both resident and non-resident drivers are approximately the same for all observed roundabouts (Table 6 and Table 7), so that a greater number of observed roundabouts will certainly not affect greater reliability of results. This is a scientific confirmation that the participation of the examined groups of drivers significantly influences the capacity of roundabouts.
The research has been carried out at various types of roundabouts to verify whether the geometric characteristics of roundabouts influence the behaviour of non-resident and resident drivers. On the basis of the results obtained (Table 4, Table 5, Table 6 and Table 7), it is evident that the values of the critical headway and follow-up headway at the turbo roundabout do not deviate significantly from the values of the parameters at other observed roundabouts. By the analysis of the results, it is determined that the values of the examined traffic flow parameters at the turbo roundabouts are very similar compared to the other roundabouts observed. Namely, approximately equal differences in the values of the parameters of the critical headway and follow-up headway for the resident and non-resident drivers have been obtained at all examined types of roundabouts, which led to the decision that the results of the research on the turbo roundabout should be analyzed and presented in this article.
According to the previously stated, it is obvious that the values of critical headway and follow-up headway when performing the minor manoeuvre of joining conflicting circulating flow are higher with non-resident drivers in relation to resident drivers. As it has been stated in Section 4 “Materials and Methods”, for the factors fped and fHV,e the value 1.00 is used, whereby the influence of heavy vehicles and pedestrians on roundabout capacity has been excluded, so that the influence of non-resident drivers on the capacity of roundabouts could be precisely determined. On the basis of the obtained values of critical headway and follow-up headway, by using the interpolation method, depending on the degree of non-resident drivers’ participation in traffic flow and the conflicting flow rate (vc), the potential value of the entry lane capacity can be obtained, which is the basis for obtaining the factor of non-resident drivers participation (fnre).
Data processed in the MINITAB, have been displayed in textual and graph display in the following part (Table 8 and Figure 5, Figure 6 and Figure 7).
Table 8.
Regression analysis of the factors of the participation of non-resident drivers.
Figure 5.
Contour Plot for the values of parameter fnre—image one.
Figure 6.
Contour Plot for the values of parameter fnre—image two.
Figure 7.
Surface Plot for the values of parameter fnre.
By evaluating the regression, Equation (Table 8) and Figure 5, Figure 6 and Figure 7, made by applying MINITAB, the dependence between the factor fnre on one hand and the values of the parameters Pnre and vc on the other hand, has become visible. In accordance with the stated displays (Figure 5, Figure 6 and Figure 7) and if vc values are equal, it is clear that the increase of the percentage of non-resident drivers participation in traffic flow (Pnre) directly affects the reduction of the values of factor fnre, which consequently reduces the roundabout capacity. On the other hand, by reducing the percentage participation of non-resident drivers in the traffic flow (Pnre), the influence of the fnre factor is also reduced, so the factor fnre will be equal to one, i.e., it will not have an impact on the capacity in the case of absence of non-resident drivers in the traffic flow. The smallest value of the factor fnre, and therefore its greatest impact on the capacity of roundabouts occurs in the maximum participation of non-resident drivers in the traffic flow and with the highest intensity of the conflict flow. For example, in case of a conflict flow intensity of 2200 pc/h, with the participation of non-resident drivers in the traffic flow of 90%, the value of the factor fnre will be 0.6, which reduces the capacity at the entry traffic lane of the roundabout by as much as 40%.
It is important to highlight that the analysis results imply that non-resident drivers use higher values of time gaps for performing the minor manoeuvre. The research has shown that non-resident drivers use the higher critical headway and follow-up headway in order to perform the minor manoeuvre, i.e., they need more time for making decisions and performing the minor manoeuvre in relation to resident drivers.
The hypothesis on regression parameter βj testing has been done through the following hypotheses:
- (a1)
- H0: β1 = 0— there is not a linear connection between fnre and factor Pnre;
- (a2)
- H1: β1 ≠ 0—there is a linear connection.
- (b1)
- H0: β2 = 0—there is not a linear connection between fnre and vc;
- (b2)
- H1: β2 ≠ 0—there is a linear connection.
In the analysis of the variance, it is obtained that the p-values for all factors are lower than 0.05, therefore hypotheses H0 are rejected, which means that alternative hypotheses are accepted and that:
- (a)
- Dependence between fnre and the percentage of non-resident drivers’ participation (Pnre) is reliably linear;
- (b)
- Dependence between fnre and the conflicting flow rate (vc) is reliably linear.
The assessment of multiple determination coefficient (R-Sq) is 96.93% (Table 8) and implies how much the variation of dependent variable is explained throughout a multiple regression model. Since the multiple determination coefficient (R-Sq) is within the limits of 90% to 100%, then the model set in the article gives statistically strong results.
As Pearson coefficient of linear correlation shows the direction and the strength of quantitative linear connection between the two variables (fnre and Pnre), then the obtained coefficient r = −0.777 implies a strong negative connection.
Spearman coefficient of rank correlation represents a non-parametric analogy of linear correlation coefficient. This correlation coefficient represents a coefficient of a simple linear correlation between the ranks of data of two variables. If two variables (fnre and Pnre), are observed, then the obtained Spearman coefficient = −0.811 shows that there is also a strong negative connection.
The proposed model for determining the influence of non-resident drivers on the capacity of priority roundabouts is, according to the data processed in the MINITAB (Table 8), given in Equations (13)–(17), graphically displayed in Figure 5, Figure 6 and Figure 7, where with the model [1] has been supplemented by the factor of non-resident drivers participation (fnre):
where:
- ci—capacity for lane i (veh/h),
- ci,pce—capacity for lane i, adjusted for heavy vehicles (pc/h),
- vc—conflicting flow (pc/h),
- tc—critical headway (s),
- tf—follow-up headway (s),
- fHV,e—heavy-vehicle adjustment factor for the lane,
- fped—pedestrian impedance factor,
- fnre—factor of non-resident drivers participation on the capacity of entry lane,
- Pnre—percentage participation of non-resident drivers in traffic flow.
Factor fnre will be equal to one, if the percentage of non-resident drivers in traffic flow is equal to 0. According to Equation (13), it is noticeable that the factor of non-resident drivers participation affects the capacity of roundabout intersections. In this research it has established that there are differences between the capacity achieved by resident drivers on one hand, and, on the other hand, the capacity achieved by non-resident drivers. All this affects the total capacity of entry flow, thus, the capacity of the roundabout. The increase of non-resident drivers’ participation in the total traffic flow affects the capacity reduction at the entry flow, as well as the reduction of the capacity of the whole roundabout. Application of this model, proportionally to the participation of non-resident drivers, will result in certain deviations from the estimated values of capacity obtained by applying the parameters tc and tf given in the manual HCM 6 (Figure 8).
Figure 8.
Comparative diagram of mean values of capacity according to the research and HCM 6.
Increasing the intensity of the conflict flow (vc) affects the exponential reduction of the capacity at the entry lanes of roundabouts (ci,pce). According to Figure 8, it is visible that the capacity at the entry lanes of roundabouts depends on the percentage of the participation of non-resident drivers in the traffic flow, so that the increase in the percentage of the participation of non-resident drivers reduces the capacity at the entry traffic lanes of the roundabout, and consequently reduces the capacity of the entire roundabout. In addition, the research identifies the deviations from the recommended values of the capacity obtained by applying the parameters of the critical headway and follow-up headway given in HCM 6. In fact, the capacity obtained by the research is reduced with the increase in the participation percentage of non-resident drivers in the traffic flow and is less than the capacity given in HCM 6. Since HCM 6 does not include the influence of non-resident drivers on the capacity of roundabouts (fnre), this article recommends the introduction of this factor in order to eliminate the shortcomings in the existing literature.
The results of the research can be of paramount importance for more effective traffic regulation at intersections where autonomous vehicles would appear. Autonomous vehicles would receive information on the basis of foreign registration plates of manual vehicles that they are crossing the intersection together with a vehicle operated by a non-resident driver, which in autonomous vehicles would significantly affect the safe and efficient avoidance of unnecessary stopping and faster manoeuvre when crossing the intersection [55].
Knowing the values of the capacity of any type of intersections is necessary for determining the objective, average time losses that occur at intersections. The results of the research presented in the article will enable time losses at roundabouts to be determined in a far more precise way compared to the existing procedure. Taking into account that the emissions of Green House Gases in the intersection zone depend primarily on time losses, it is clear that using the results of this article, much more accurate and valid data on harmful emissions can be obtained. This is very important for tourist regions where there is noticeable large presence of non-resident drivers in certain periods during the year. Determining the real capacity of roundabouts during the periods of the year when an increased number of non-resident drivers appear will enable local communities to determine the real level of service by an objective method and, if necessary, take regulatory actions to reduce time losses and consequently Green House Gases.
6. Conclusions
In previous research studies it has been proved that the values of critical headway and follow-up headway are affected by different factors, due to which it is useful to conduct local measurements. The influence of characteristics and behaviour of non-resident drivers is, according to the model HCM 6 [1] and HCM 2010 [16], not taken into consideration in the analysis of roundabouts capacity calculation, regardless of the fact that this influence is evaluated in other cases, such as, for example, in the procedure for roads capacity calculation. However, research study has shown that the capacity of roundabouts is significantly affected by the characteristics and the behaviour of non-resident drivers. When calculating the roundabout capacity, the influence of non-resident drivers is necessary to evaluate as a factor of the participation of non-resident drivers established by Equation (17). Within this article, the influence of resident and non-resident drivers on the values of the parameters of critical headway and follow-up headway has been analyzed, which is necessary for roundabouts capacity calculation, after which, by using multiple linear regression, a model was determined for establishing the influence of non-resident drivers on the capacity of unsignalized roundabout intersections.
In local measurements, conducted within this research study, non-resident drivers are those who drive vehicles with foreign registration plates at the roundabouts, because they are the ones who for the first time, occasionally or very rarely go through the observed roundabouts. As in many previous research studies, it has been confirmed that there are certain deviations in local measurements, in relation to the values recommended by HCM 6 [1]. The conducted analyses have confirmed the starting hypothesis that there are differences in the values of parameters achieved by resident and non-resident drivers, thus the model has been given for determining the influence of non-resident drivers on the capacity of unsignalized roundabout intersections, on the basis of the determined values of critical headway and follow-up headway of vehicles. The research of the influence of non-resident drivers are to be done at other locations as well, and other types of unsignalized intersections, and the results of these research studies can be significant in the procedures of design and projects analyses, especially if the capacity analysis is conducted for the needs of transit directions or in tourist regions. The application of the proposed model would make it possible to determine roundabout capacity and level of service in accordance with real traffic flow characteristics, which enables objective evaluation of its influence on the environment and sustainability. Future researches related to this paper are in relation to the development of a model that will enable the measurement of parameters that enhance traffic sustainability [56] and the possibility of developing new approaches for solving similar problems.
Author Contributions
Conceptualization, S.D.; Data curation, D.S.; Investigation, D.S. and S.D.; Methodology, V.B.; Supervision, V.B. and E.K.Z.; Validation, Ž.S.; Writing–original draft, D.S. and V.B.; Writing–review & editing, E.K.Z. and Ž.S.
Funding
This research received no external funding.
Conflicts of Interest
The authors declare no conflict of interest.
References
- National Research Council. Highway Capacity Manual; Transportation Research Board, National Research Council: Washington, DC, USA, 2016. [Google Scholar]
- Harders, J. Die Leistungsfähigkeit Nicht Signalgeregelter Städtischer Verkehrsknoten; Schriftenreihe Strassenbau und Strassenverkehrstechnik: Bonn, Germany, 1968. [Google Scholar]
- Siegloch, W. Die Leistungsermittlung an Knotenpunkten Ohne Lichtsignalanlagen; Schriftenreihe Strassenbau und Strassenverkehrstechnik: Bonn, Germany, 1973. [Google Scholar]
- Hagring, O.; Rouphail, N.M.; Sørensen, H.A. Comparison of Capacity Models for Two-Lane Roundabouts. Transp. Res. Rec. 2003, 1852, 114–123. [Google Scholar] [CrossRef]
- Akçelik, R. A Roundabout Case Study Comparing Capacity Estimates from Alternative Analytical Models. In Proceedings of the 2nd Urban Street Symposium, Anaheim, CA, USA, 28–30 July 2003. [Google Scholar]
- Wu, N. A New Model of Estimating Critical Headway and Its Distribution at Unsignalized Intersections Based on the Equilibrium of Probabilities. In Proceedings of the 5th International Symposium on Highway Capacity and Quality of Service, Yokohama, Japan, 25–29 July 2006. [Google Scholar]
- Akçelik, R. An Assessment of the Highway Capacity Manual 2010 Roundabout Capacity Model; Transportation Research Board: Carmel, IN, USA, 2011. [Google Scholar]
- Vasconcelos, L.; Seco, Á.; Silva, A.B.; Abreu, T.; Silva, J.P. A Comparison of Roundabout Capacity Models. In Proceedings of the 23rd IASTED International Conference on Modelling and Simulation (MS 2012), Banff, AB, Canada, 3–5 July 2012; pp. 165–170. [Google Scholar]
- McGowen, P.; Stanley, L. Alternative Methodology for Determining Gap Acceptance for Two-Way Stop-Controlled Intersections. J. Transp. Eng. 2012, 138, 495–501. [Google Scholar] [CrossRef]
- Rossi, R.; Meneguzzer, C.; Gastaldi, M. Transfer and updating of Logit models of gap-acceptance and their operational implications. Transp. Res. C Emerg. 2013, 28, 142–154. [Google Scholar] [CrossRef]
- Macioszek, E.; Akçelik, R. A Comparison of Two Roundabout Capacity Models; Transportation Research Board: Green Bay, WI, USA, 2017. [Google Scholar]
- National Research Council. Highway Capacity Manual; Transportation Research Board, National Research Council: Washington, DC, USA, 1965. [Google Scholar]
- National Research Council. Highway Capacity Manual; Transportation Research Board, National Research Council: Washington, DC, USA, 1985. [Google Scholar]
- National Research Council. Highway Capacity Manual; Transportation Research Board, National Research Council: Washington, DC, USA, 1994. [Google Scholar]
- National Research Council. Highway Capacity Manual; Transportation Research Board, National Research Council: Washington, DC, USA, 2000. [Google Scholar]
- National Research Council. Highway Capacity Manual; Transportation Research Board, National Research Council: Washington, DC, USA, 2010. [Google Scholar]
- Bogdanović, V.; Ruškić, N.; Basarić, V.; Tanackov, I. Capacity Analysis Procedure for Four-leg Non-Standard Unsignalised Intersections. Promet Traffic Transp. 2017, 29, 543–550. [Google Scholar] [CrossRef]
- Brilon, W.; Koenig, R.; Troutbeck, R.J. Useful estimation procedures for critical gaps. Transp. Res. Part A Policy Pract. 1999, 33, 161–186. [Google Scholar] [CrossRef]
- Weinert, A. Estimation of critical gap and follow-up time at rural unsignalized intersections in Germany. In Proceedings of the Transportation Research Circular E-C018: 4th International Symposium on Highway Capacity, Transportation Research Board of the National Research Council, Maui, HI, USA, 27 June–1 July 2000; pp. 409–421. [Google Scholar]
- Bogdanović, V. Prilog Proučavanju Kapaciteta i Nivoa Usluge na Trokrakim I Kružnim Prioritetnim Raskrsnicama po Novom Konceptu, Faculty of Technical Sciences; University of Novi Sad: Novi Sad, Serbia, 2005. [Google Scholar]
- Cheng, J.; Yang, X.; Deng, W.; Huang, X. Driver’s critical gap calibration at urban roundabouts: A case study in China. Tsinghua Sci. Technol. 2008, 13, 237–242. [Google Scholar] [CrossRef]
- Gazzarri, A.; Martello, M.T.; Pratelli, A.; Souleyrette, R.R. Gap acceptance parameters for HCM 2010 roundabout capacity model applications in Italy. In Intersections Control and Safety. Transportation Systems & Traffic Engineering; WitPress: Boston, MA, USA, 2013; pp. 1–16. [Google Scholar]
- Beanland, V.; Lenné, M.G.; Candappa, N.; Corben, B. Gap acceptance at stop-controlled T-intersections in a simulated rural environment. Transp. Res. Part F Traffic Psychol. Behav. 2013, 20, 80–89. [Google Scholar] [CrossRef]
- Belz, N.P.; Aultman-Hall, L.; Montague, J. Influence of priority taking and abstaining at single-lane roundabouts using cellular automata. Transp. Res. C Emerg. 2016, 69, 134–149. [Google Scholar] [CrossRef]
- Vasconcelos, A.L.P.; Seco, Á.J.M.; Silva, A.M.C.B. Comparison of Procedures to Estimate Critical Headways at Roundabouts. Promet Traffic Transp. 2013, 25, 43–53. [Google Scholar]
- Tian, Z.; Troutbeck, R.; Kyte, M.; Brilon, W.; Vandehey, M.; Kittelson, W.; Robinson, B. A Further Investigation on Critical Gap and Follow-Up Time. In Proceedings of the Transportation Research Circular E-C018: 4th International Symposium on Highway Capacity, Maui, HI, USA, 27 June–1 July 2000; pp. 397–408. [Google Scholar]
- Pollatschek, M.A.; Polus, A.; Livneh, M. A decision model for gap acceptance and capacity at intersections. Transp. Res. B Meth. 2002, 36, 649–663. [Google Scholar] [CrossRef]
- Bie, J.; Lo, H.K.; Wong, S.C. Capacity evaluation of multi-lane traffic roundabout. J. Adv. Transp. 2010, 44, 245–255. [Google Scholar] [CrossRef]
- Xu, F.; Tian, Z.Z. Driver Behavior and Gap-Acceptance Characteristics at Roundabouts in California. Transp. Res. Rec. 2008, 2071, 117–124. [Google Scholar] [CrossRef]
- Zhou, H.; Ivan, J.N.; Gårder, P.E.; Ravishanker, N. Gap acceptance for left turns from the major road at unsignalized intersections. Transport 2017, 32, 252–261. [Google Scholar] [CrossRef]
- Qu, X.; Ren, L.; Wang, S.; Oh, E. Estimation of Entry Capacity for Single-Lane Modern Roundabouts: Case Study in Queensland, Australia. J. Transp. Eng. 2014, 140, 05014002. [Google Scholar] [CrossRef]
- Tenekeci, G.; Montgomery, F.; Wainaina, S. Roundabout capacity in adverse weather and light conditions. Proc. Inst. Civ. Eng. Transp. 2010, 163, 29–39. [Google Scholar] [CrossRef]
- Ahmed, M.M.; Ghasemzadeh, A. The impacts of heavy rain on speed and headway Behaviors: An investigation using the SHRP2 naturalistic driving study data. Transp. Res. C Emerg. 2018, 91, 371–384. [Google Scholar] [CrossRef]
- Khan, M.N.; Ghasemzadeh, A.; Ahmed, M.M. Investigating the Impact of Fog on Freeway Speed Selection using the SHRP2 Naturalistic Driving Study Data. Transp. Res. Rec. 2018, 2672, 93–104. [Google Scholar] [CrossRef]
- Hagring, O. Capcal 2—A New Version of the Snra Capacity, Delay, and Voc Software; 3rd International Symposium on Intersections Without Traffic Signals: Portland, OR, USA, 1997; pp. 115–123. [Google Scholar]
- Dahl, J.; Lee, C. Empirical Estimation of Capacity for Roundabouts Using Adjusted Gap-Acceptance Parameters for Trucks. Transp. Res. Rec. 2012, 2312, 34–45. [Google Scholar] [CrossRef]
- Pilko, H.; Mandžuka, S.; Barić, D. Urban single-lane roundabouts: A new analytical approach using multi-criteria and simultaneous multi-objective optimization of geometry design, efficiency and safety. Transp. Res. C Emerg. 2017, 80, 257–271. [Google Scholar] [CrossRef]
- Kim, T.-Y.; Park, M.-K.; Park, B.-H. A Critical Gap Model for Roundabouts in Korea. J. Korean Soc. Transp. 2012, 30, 93–100. [Google Scholar] [CrossRef]
- Akçelik, R. An Assessment of the Highway Capacity Manual Edition 6 Roundabout Capacity Model; Transportation Research Board: Green Bay, WI, USA, 2017. [Google Scholar]
- Min, W.; Wynter, L. Real-time road traffic prediction with spatio-temporal correlations. Transp. Res. C Emerg. Technol. 2011, 19, 606–616. [Google Scholar] [CrossRef]
- Castillo, E.; Conejo, A.J.; Menéndez, J.M.; Jiménez, P. The observability problem in traffic network models. Comput. Aided Civ. Inf. 2008, 23, 208–222. [Google Scholar] [CrossRef]
- Zambrano-Martinez, J.L.; Calafate, C.T.; Soler, D.; Cano, J.C. Towards realistic urban traffic experiments using DFROUTER: Heuristic, validation and extensions. Sensors 2017, 17, 2921. [Google Scholar] [CrossRef] [PubMed]
- Zambrano-Martinez, J.L.; Calafate, C.T.; Soler, D.; Cano, J.C. Modeling and characterization of traffic flows in urban environments. Sensors 2018, 18, 2020. [Google Scholar] [CrossRef] [PubMed]
- Sharma, S.C. Driver Population Factor in New Highway Capacity Manual. J. Transp. Eng. 1987, 113, 575–579. [Google Scholar] [CrossRef]
- Giuffrè, O.; Granà, A.; Tumminello, M.L. Gap-accepteance parameters for roundabouts: A systematic review. Eur. Transp. Res. Rev. 2016, 8, 2. [Google Scholar] [CrossRef]
- Zhou, Y.; Lu, J.J.; Mierzejewski, E.A.; Le, X. Development of Driver Population Factors for Capacity Analysis of Signalized Intersections. Transp. Res. Rec. 2000, 1710, 239–245. [Google Scholar] [CrossRef]
- Tolazzi, T. The Contribution to the Procedure of Capacity Determination at Unsignalized Priority-controlled Intersections. Promet Traffic Transp. 2004, 16, 31–36. [Google Scholar]
- Zheng, Y.; Elefteriadou, L. A model of pedestrian delay at unsignalized intersections in urban networks. Transp. Res. B Meth. 2017, 100, 138–155. [Google Scholar] [CrossRef]
- Tanackov, I.; Dragić, D.; Sremac, S.; Bogdanović, V.; Matić, B.; Milojević, M. New Analytic Solutions of Queueing System for Shared–Short Lanes at Unsignalized Intersections. Symmetry 2019, 11, 55. [Google Scholar] [CrossRef]
- Greenshields, B.D.; Thompson, J.T.; Dickinson, H.C.; Swinton, R.S. The photographic method of studying traffic behavior. Highw. Res. Board Proc. 1934, 13, 382–399. [Google Scholar]
- Bogdanović, V.; Papić, Z.; Ruškić, N.; Jeftić, N. Karakteristike brzina NA signalisanim raskrižjima. Suvrem. Promet 2011, 31, 196–200. [Google Scholar]
- Bogdanović, V.; Ruškić, N.; Kulović, M.; Han, L.D. Toward a Capacity Analysis Procedure for Nonstandard Two-Way Stop-Controlled Intersections. Transp. Res. Rec. 2013, 2395, 132–138. [Google Scholar] [CrossRef]
- Goodwin, L.C. Weather Impacts on Arterial Traffic Flow; Mitretek Systems Inc.: Fairview Park, OH, USA, 2002. [Google Scholar]
- Hagring, O. Estimation of critical gaps in two major streams. Transp. Res. B Meth. 2000, 34, 293–313. [Google Scholar] [CrossRef]
- Onieva, E.; Milanés, V.; Villagra, J.; Pérez, J.; Godoy, J. Genetic optimization of a vehicle fuzzy decision system for intersections. Expert Syst. Appl. 2012, 39, 13148–13157. [Google Scholar] [CrossRef]
- Stević, Ž.; Pamučar, D.; Subotić, M.; Antuchevičiene, J.; Zavadskas, E. The location selection for roundabout construction using Rough BWM-Rough WASPAS approach based on a new Rough Hamy aggregator. Sustainability 2018, 10, 2817. [Google Scholar] [CrossRef]
© 2019 by the authors. Licensee MDPI, Basel, Switzerland. This article is an open access article distributed under the terms and conditions of the Creative Commons Attribution (CC BY) license (http://creativecommons.org/licenses/by/4.0/).







