Abstract
Urban agriculture is becoming a timely environmental friendly practice to strengthen cities’ resilience to climate change. However, there is a lack of academic literature regarding the thermodynamic potential of interior urban agriculture. Furthermore, there is always a need to develop, from scratch, an updated methodological approach that aims to assist architects of conceiving such specific thermodynamically complex interior environments. In this paper, urban space is identified as a ‘flow system’, and Bejan’s constructal law of generation of flow structure is used to morph and discover the system flow architecture that offers greater global performance (greater access to what flows). More precisely, a macroscale thermodynamic model of spherical urban greenhouse form with double thermal envelope has been developed while the methodological approach resulted in the definition of a decisional flowchart that can be reproduced by other researchers. On the basis of this macroscale constructal model, the present paper proposes reduced models that link thermodynamic and geometric parameters in an accurate manner and can be used at early design stages for pedagogic and qualitative optimization purposes, integrating urban farming to architectural programming.
1. Introduction and General Context
From 1973 until today, the Occidental World and especially Europe and USA supported a meteoric economic development, which is considered as the main factor of a complex physical phenomenon that is well documented under the name of “climate change” [1]. As a consequence, a variety of economic–environmental multifaceted reforms are applied in an international level so as to “experiment with urban and peri-urban economic bases which make the city the center of transition towards a ‘low carbon’ economy” [1]. Since the early 1970s, the first petrol crisis of 1973, architecture—and the building sector in general—became a target of environmental reform [1,2,3,4,5,6,7,8,9,10,11,12,13,14,15,16,17,18,19,20]. This reform resulted in segregating disciplines and creating antagonist relations. More precisely, architectural design is put in the back of the scene and as a consequence scientific methodologies to anticipate the new climatic and institutional context were not developed in a synergistic manner. Consequently, during the last 46 years, due to a variety of scientific and political fermentations, the status of architecture has been transformed losing its notion of being able to “design an environment” obtaining from now on a secondary role as part of an “environment by design” [2].
The impossibility of establishing throughout architectural design a new universe of sustainable forms and programs remains on the fact that a rigid distinction between method and content regarding this discipline cannot be created due to the impossibility of making connections between the artistic and the scientific dimension of architecture on the perspective of an innovative programmatic vision [3,4,5,6,7].
The main idea of the present paper is to support the need of refurbishing the urban context through the integration of urban agriculture elements within the thermodynamic architectural design while developing a scientific methodology that assists the artistic dimension of the architecture that consists of creating forms to accompany life. Past research clearly showed that urban agriculture projects reside on a global strategy for greening cities to regulate urban temperature and to improve microclimates, while having a thermodynamic potential increase food production and waste recycling [8,9,10,11,12,13,14,15,16,17,18,19,20].
1.1. Coupling Urban Agriculture to Thermodynamic Architectural Design
Though, when speaking from a different point of view about nature morphogenesis within urban contexts the result is that there is a need for integrating such urban agricultural programs within contemporary urbanities as the potential of adaptation to climate change increases. Likewise, according to Taylor Lovell [20] urban agriculture may offer to city planners, stakeholders, municipalities and architects an alternative land use for integrating “multiple functions in densely populated areas” while regenerating microclimatic conditions. Consequently, this parameter is put in the core of the research project that is presented in this paper. More precisely, the present paper analyzes the thermodynamic potential of urban agriculture in relation to the design that contains nature.
It is true that GI is currently emerging by becoming an interesting tool for cost-effective urban sustainability [8,9,10,11,12,13,14,15,16,17,18,19,20], and for this reason it is seen in the framework of the present paper as a main point of this case study in terms of innovative architectural programmatic regeneration and applied thermal engineering investigation. Additionally, as it results from Taylor Lovell’s research [20] it is argued that the contemporary Occidental world employs urban agriculture as a new boundary for land use planning, architectural, and landscape design in order to follow “a sustainable urban development and transformation of the cityscape supporting community farms, allotment gardens, rooftop gardening, edible landscaping, urban forests, and other productive features of the urban environment” [20].
Nevertheless, the thermodynamic potential of indoor urban agriculture is not explicitly studied. Besides, in recent years as a response to the immediate need of urban renovation in order to face the multifaceted climate crisis, green infrastructure (GI) in the form of urban agriculture has been increasingly recognized by all the actors that participate in the creation and regeneration of the urban fabric (stakeholders, municipalities, politicians, architects, engineers) as an essential concept targeting the livability of cities [8,9,10,11,12,13,14,15,16,17,18,19,20]. Taylor Lovell [20] also states in her paper that urban agriculture has “historically been an important element of cities in many developing countries; nevertheless recent concerns about economic and food security have resulted in a growing movement to produce food in cities of developed countries including the United States”.
The present paper aims at completing these researches by introducing another level of evaluation: the thermodynamic potential of the geometry that contains nature in the form of indoor urban agricultural element. In addition to Taylor Lovell’s findings, the present paper introduces the idea that urban agriculture can be also a programmatic response to the contemporary urban areas’ climate change mitigation from an applied thermal engineering perspective and point of view. Besides, Taylor Lovell [20] underlines that “despite the growing interest in urban agriculture, urban planners and landscape designers are often ill-equipped to integrate food-systems thinking into future plans for cities” while the thermodynamic potential of such land use change is rarely explored.
For this reason, the present paper deals mainly with this challenge (and opportunity) as it is addressed throughout Taylor Lovell’s research [20]: discover a methodology for assisting the design of multifunctional energy efficient indoor urban agriculture spaces focusing on the thermodynamic description of such spaces, while also protecting the environment and positively affecting the overall urbanity and the urban microclimate, creating synergies between applied thermal engineering and architecture. This is one of the main entry points to this research field regarding the present paper.
1.2. Creating Synergies between the Artistic and the Scientific Dimension of Architecture
Nowadays, instead of creating original and innovative interdisciplinary architectural programs establishing at the same time synergies between the scientific and the artistic nature of architectural design, the strict—imposed by a generalized environmental political reform—contemporary regulatory context transformed architecture to a kind of techno-science that does not propose ingenious programmatic concepts. This fact is also fruit of a generalized context where novel concepts were not introduced within coupled architectural and applied thermal engineering approaches.
Thus, the present paper deals also with a second main idea: the way that urban farming programs can be integrated within architectural programing from a thermodynamic point of view. The aim of this research intention is to avoid a useless de-disciplining of architecture by proposing a scientific contemporary methodology that targets on creating current urban conditions that have very high real spatial, thermodynamic, and sustainable potential and are optimally adapted to the urban, climatic, and environmental context.
In a complementary manner, the present paper tries to respond to the main objections of architects (educators and/or professionals) regarding the integration of scientific methodologies within the core of architectural practice. In the present research work, it is proved that it is possible to scientifically accompany artistic decisions throughout a purely scientific methodology that offers higher degrees of freedom and preserves the artistic and aesthetic dimension of architecture. It is claimed here that, throughout the proposed method, we can increase the energy efficiency of the architectural output and decrease the negativism regarding the consideration of climatic factors, the form’s thermodynamic potential, and scientific knowledge during the act of architectural synthesis.
These objections are developed in the imaginary of the architectural world (students, tutors, scholars, practitioners, researchers, professionals), while this attitude is a fruit of a lack of scientific methodologies that accompany early design stage architectural decision-making. Furthermore, this general climate gradually led to the failure of the architectural profession to adequately assume responsibility for sustainable environmental design and programmatic innovativeness. This evidence regarding the existence of two opposite “parallel worlds” (applied building thermal engineering and architecture) appears even more clearly nowadays when we consider not at all scientific knowledge of nature evolution, while exclusively focusing on knowledge of computational methodologies or design processes respectively targeting only virtual “high performance” objectives or superficial aesthetic ambitions. Both of these “parallel worlds” ignore that a synergy between science and art could be created at early design stages working on the understanding of the thermodynamic potential and the optimization of the conceived forms in the framework of an original and innovative architectural–thermodynamic program that integrates urban farming.
Conversely, the contemporary environmental crisis is not only an epistemological problem due to the non-existence of accurate and efficient synergies between the two aforementioned important disciplines. The fact is that our contemporary architectural programs blindly follow political directives without proposing new authentic urban conditions and consequently do not respond to the real climatic and social needs of our urban and peri-urban structures.
Paraphrasing Antonio Gramsci, we can say that the current environmental crisis of the building sector consists precisely in the fact that our well-established traditional methods are dying being in front of a complex dead-end, whereas new innovative methodologies that re-invent innovative programmatic and energy efficient architectural design inspired from natural morphogenesis cannot be born; and that is why a great variety of morbid urban symptoms appears.
Here we support the argument that to propose accurate and realistic authentic and original solutions it is essential to understand why nature is designed that way it is and how nature evolves over time. Everyone agrees that nature is inherently a phenomenal designer of geometrical and volumetric configurations. The question is how these natural designs manage to be energy efficient since the first and the second universal laws of thermodynamics are applied to our universe.
Then, being based on these general observations, the present research aims to establish the synergies between applied thermal engineering and architecture at early design stages within the framework of an ingenious architectural program with specific thermodynamic impact that includes nature within a specific urban context.
As long as the contemporary dead-end on this complex subject—cited by many researchers [8,9,10,11,12,13,14,15,16,17,18,19,20]—persists, the need of developing novel and original methodologies in order to overcome this lack of innovative ideas increases. The ad hoc segregation of different disciplines that study the same problem from distinct points of view actually happens due to the lack of the adoption of a unifying principle that demystifies our comprehension of the evolution of the universe.
1.3. Constructal Law as Unifying Principle
Hence, in the present paper, the unifying principle that creates a relationship between applied thermal engineering and form creation, the constructal law, is employed in order to create optimum architectural designs that will be able to evolve over time taking the more efficient pathway. The constructal law is a physic law that was stated by Adrian Bejan in 1996 as follows: “For a finite-size system to persist in time (to live), it must evolve in such a way that it provides easier access to the imposed currents that flow through it” [21,22,23,24,25,26,27,28].
The case study of this paper is the constructal thermodynamic macroscale modeling of a composite volume that integrates both indoor urban agriculture and living spaces: that means different indoor thermodynamic conditions. Thus, the purpose of the present paper is to give birth to an original approach-methodology that aims to build a strong synergic relationship between three distinct domains: applied thermal engineering, urban farming, and architectural design through the use of constructal thermodynamics.
Both domains are sufficiently established while each one of them develops ad hoc practices and methodologies. However, as it is stated before, the reason of establishing the connection remains on the fact that in the framework of climate change there is a need to re-invent and optimize architectural design and form creation philosophy.
The present paper proposes that this interdisciplinary unification could be achieved using single principle thermodynamic rules that have been demonstrated so far. The constructal law is used in the present research as the tool that offers a new vision that subsequently repairs the problematic relationship between architectural design and applied thermal engineering offering an innovative approach that closes the architecture–science gap in an implicit manner and redefines the scientific dimension of volumetric conception.
That is why applied thermal engineering design reaches here the core of architecture without alternating its nature as an independent discipline. As argued before, this connection is delicate and critical because throughout this paper it is aimed to scientifically enhance the vision of architecture–nature nexus in the framework of climate change using purely scientific methodology for form creation. In the next chapter, it is shown that this acquaintance is established here through the basis of constructal theory [21,22,23,24,25,26,27,28].
Conclusively, for all the aforementioned reasons, the present paper deals with the development of an original methodology that supports contemporary programmatic vision regarding the integration of indoor urban agricultural elements to architectural design exploring the thermodynamic potential of indoor urban agriculture. Furthermore, the recent research aims at renewing the way that space is conceived by integrating to the architectural creation scientific thermodynamic processes.
A complex program of integrated to architectural design indoor urban agriculture is studied in the present paper while the thermodynamic potential of a volumetric form is modeled here by using constructal thermodynamics, trying at the same time to build a strong relationship between three distinct domains: applied thermal engineering, urban agriculture, and architectural design.
2. Materials and Methods
Classic applied building thermal engineering research develops well-known methods for post conception building thermal evaluation [29]. That means that the form and the architectural program are definite and cannot evolve after thermal evaluation. The architectural program provides only the data input of the problem. These methods are then applied to specific case studies and are put each time inside a framework of a unique climatic and urban context providing detailed insights that are highly correlated to the local input data of the studied problem. Hence, the results and conclusions cannot be generalized while the methodology depends on the precision and the availability of the input data. Furthermore, since the architectural program is ad hoc put within the final building form in a definitive manner, post thermal evaluation changes are not possible.
Diversely, there are very few researches that aimed to provide more general conclusions in order to apply the research output at early design stages [30,31,32,33,34,35,36,37,38,39,40,41]. These researches managed to provide insights regarding the main parameters that influence the thermal identity of a building form in relation to its thermal and lighting comfort and enriched the literature with a variety of statistical models. Examples and reviews are available in [33,34,35,36,37].
Nevertheless, Hook Han and Sook Kim investigated architectural professionals’ needs and preferences with regard to sustainable building guidelines and they identified that an urgent demand consist on the commitment of providing “education on the significance of sustainable buildings and promote a better understanding of sustainable principles” and “comprehensive and detailed information on sustainable building design strategies and technologies” [42].
According to this extended research of Hook Han and Sook Kim [42], it is revealed that the building energy efficiency problem is entrapped to a complex network of sustainable building guidelines assortments. Furthermore, architects and building professionals do not manage to correctly figure out how they should apply these guidelines, since they do not apprehend the real nature of the problem and they just try to blindly fulfill requirements in order to deal with a physical problem with specific characteristics without understanding the physics beyond. This happens because our vision regarding this specific thermodynamic problem is reduced within a complex institutional administrative net that many times makes no sense. For this reason, even if the field of building energy efficiency is in the forefront of the mainstream research scene during the last 46 years; however, still nowadays we are not able to define a key common ‘adjective’ in order to respond to this complex problem that is cited as climate change. On the contrary, we observe that there remains a lot of work to be done in order to become able to propose innovative and comprehensive solutions to this urgent necessity at an urban and architectural scale.
For the aforementioned reasons, the pure physical and thermodynamic dimension of a concrete indoor urban farming design problem at early design stages (especially during the decision-making phase where the general forms, as well as the allocation of the program within this form are treated) is put in the core of this paper. Life is physics and thus, instead of proposing high performance formal solutions blindly externalizing calculation output, we propose here a framework that aims to improve the understanding of the physical law that governs the thermodynamic dimension of this complex problem. Even if a growing number of applied thermal engineers have been working during—at least—the last 46 years on this field finding new ways to optimize the global use of energy this knowledge resides very disciplinary sectored and cannot be globally used in order to radicalize the imaginary of space creators such architects, since the real thermodynamic physics of the problem is not studied in a comprehensive manner. In other terms, applied thermal engineers work locally on the different components of the problem (envelope, appliances, etc.). Moreover, they systematically ignore its systemic dimension solely working on its overall formal dimension that is the geometry of the volume and its thermodynamic potential.
Antithetically, Bejan [21,22,23,24,25,26,27,28] showed us that every thermodynamic problem is clearly a flow problem and in order to discover and understand the physical dimension, it is important to identify and study the main flow system that composes it. To do so, he proposed a systemic view of the problem in order to understand its physical characteristics. Then, since the studied problem consists a flow system we can simultaneously study the two basic features (properties) that compose it [23]:
- the current that is flowing (in our case heat)
- the design through which it flows
The approach presented here that is based on the recent developments of Bejan et al. in a variety of scientific fields [21,22,23,24,25,26,27,28] targets to significantly help architects and building thermal engineers to understand the basic synthetic structure of the problem as an entity as well as a way that this internal flow organization influences the architectural arrangement and form. In the past, architects and engineers managed through a synergic path to demystify the structural rules that govern complex forms in order to enhance the structural dimension of the produced space and augment the height and the complexity of constructions. This is not the case regarding building thermal engineering. Hence, the present paper presents an innovative approach that aims to introduce this alternative path in relation to the flow dimension of a produced form-volume with the objective of understanding its thermodynamic potential in relation to the volume of the form as well as the activity of interior urban farming elements.
More precisely, the method presented here is based on two very important studies of Bejan et al. [43,44]. Both studies present a “simple and transparent alternative to the complex models of earth’s thermal behavior under time-changing conditions” [43]. The method that is developed in these research works consists of viewing the Sun–Earth–Universe assembly as an extraterrestrial power plant the power output of which is used for the purpose of forcing the atmosphere and hydrosphere to flow [43,44]. The proposed model describes the physics of the problem accounting the most influent modes of heat transfer (convection and radiation), the thermal inertia, the changes in albedo and the greenhouse factor [43,44]. The power plant models that have been proposed and reviewed [45,46,47,48,49] within these references are explicitly listed chronologically here [44]. What is common in all these studies is that the Earth is viewed as a close system having two surfaces: a hot surface of area AH and temperature TH (this surface is heated by the Sun) and a cold surface (AL, TL) that is cooled by the universe [44].
In the present case study, and in general on energy efficient building research and sustainable architecture, the collector AH and the radiator AL are the object of design through the allocation of the architectural program within the volume. Furthermore, passive solar heating is one of the most important parameters that can influence the final energy consumption impact of a building volume. Consequently, studying the influence of the equilibrium between AH and AL on the thermodynamic behavior of the building volume is one of the most important targets of building thermal thermodynamic modeling.
Applied building thermal engineering authors and architects are unaware of the thermodynamics literature and the use of constructal principles in thermodynamic optimization field [29,30,31,32,33,34,35,36,37,38,39,40,41,50]. Hence, this paper aims also to bring these two worlds together creating an interdisciplinary common scientific narration.
2.1. Description of the Thermodynamic Elements of the Problem and Physical Hypothesis
Similarly to the method developed by Bejan et al. [43,44] our method consists of considering the Sun–Building Volume–Atmosphere assembly as a system similar to a huge power plant the power output of which is used for the purpose of forcing the air that encloses our main volume to move. At this stage, let us open a parenthesis. Firstly, to demonstrate our approach a basic three-dimensional geometrical form has to be chosen. To make an initial choice, we have to think in terms of compactness ratio. Applied building thermal engineers work a lot with the notion of compactness from a thermal point of view. The compactness ratio of a building volume is the ratio of the surface of the walls in contact with an unheated zone, called the thermal envelope, by the heated volume. For comparing two forms, the rule of thumbs is that at equal heated volume, the more compact a building is if it has the smaller thermal envelope. The compactness ratio does not depend on whether or not a building is insulated, or on how much. Orientation does not play a role either: it only depends on the geometry of the thermal envelope and that is why the architect is the first energy designer of a project. Since from a thermodynamic point of view the sphere is a very interesting geometrical form because it has a high compactness ratio, a spherical geometry is applied in the present paper. Note that the sphere has the highest possible symmetry. Furthermore, an important element of the building volume of the present case study is the existence of a double skin thermal envelope. The existence of this double envelope creates a controlled environment around the heated volume (Figure 1). From a thermodynamic point of view, that means that the building is well insulated from the wind while stable thermal conditions are established around the heated volume. Hence, it is considered that the system is put into quasi steady state conditions within controlled reversible heat currents (Figure 1).
Figure 1.
Urban greenhouse model equipped with a double skin envelope.
The surface AH represents the allocated to the greenhouse volume while the surfaces AL correspond to the other volume functions (such as housing, offices, libraries, etc.) according to the architectural program. Temperatures TH and TL correspond to the thermal comfort interior temperatures whereas in general TH ≅ 30 °C and TL ≅ 25 °C. However, TL could vary between 19 °C to 25 °C in relation to the season (higher during summer), according to the ASHRAE standard 55 thermal comfort model. The system within the double skin is studied here as a reversible engine that operates in steady state internal conditions, while convective heat current occurs between the surfaces AH and AL due to the temperature difference. Actually, the allocation of the zones AH and AL is also a design decision. It depends on the different zones included within the greenhouse that operate under different comfort conditions.
However, a process with friction is suggested as a source of irreversibility of the system. Actually, since the concept of convective loops is used in this paper, it is considered that the air moves similar to the working fluid in a heat engine. Due to the absence of work-collecting devices in the present problem, the convective loop drives the moving air within the double envelope in a way that its entire work potential is dissipated by friction in the brake at the interface between what moves and what does not move [43,44].
From a thermodynamics point of view, due to the existence of the double skin that isolates the building volume from the outside conditions, convection occurs in the form of natural convection loops. The presented model is based on the proposed by Bejan and Reis Earth model [44] that is adapted to fit the present case study. Therefore, applying in this case study the method proposed by Bejan et al. [43,44] we consider the air flow, while heat transfer exchange between the thermodynamic volume and its controlled environment occurs mainly through convection and radiation. As an approximation, thermal conduction through contact with ground is ignored. Our double thermal skin volume is seen as a closed system, mainly having a hot surface area (AH, TH) and a cold surface (AL, TL) that is cooled by radiation and convection, neglecting conduction where the volume touches the soil (Figure 1). According to the literature of all the main thermodynamic optimization authors [43,44,45,46,47,48,49], the total radiation heat transfer surface is fixed as
where AL and AH represent the daily dark and illuminated by the sun surfaces. This approach is very interesting for the present building application because it was found that the power output could be maximized by selecting only two parameters, the area fraction (AH/A) and the temperature TH [43,44,45,46,47,48,49].
However, past studies covered only the radiation heat transfer mode. The fact that Bejan and Reis [44] updated the existing models by including also the convective heat transfer mode through the concept of convection loop that is considered in their study equivalent to the cycle executed by the working fluid within a heat engine makes this approach applicable to the present application [44].
The geometry and other main elements of the model are illustrated in Figure 1 below. Hence, before proposing the radiative and convective model applied to the present application let us summarize the main thermal characteristics of our problem in the form of bullet points as follows:
- a spherical geometry is considered;
- the sphere’s surface temperature is time independent;
- the sphere’s surface temperature is averaged over the daily and annual cycles and is modeled via two temperatures (TH, TL) in the form of ambient thermal comfort temperatures according to the program that is placed within these zones (urban farming/living areas) respectively corresponding to the two different thermal zones (AH, AL)
- the system (Sun–Building Volume–Atmosphere) is considered similar to a reversible engine
- to study the convective heat transfer mode it is approximated, similarly to Bejan and Reis [44], that the heat engine cycle drives the air (the working fluid in our problem) within the double envelope in a way that its entire work output potential is dissipated by friction at the interface between what moves and what remains stable.
2.2. Radiation Heat Transfer Calculations and Approximations
Bejan and Reis [44] employing the De Voos [47], the De Voos and Flatter [48], and the De Voos and Van der Wel [49] models considering a ratio x = AH/A, where A is the overall surface of the sphere proposed the following equations that are based in the Stephan–Boltzmann law,
where f is the Earth–Sun view factor (in this study we use the mean value 2.16 × 10−5 but for more precision someone can also use the view factor value that is calculated for the specific geographic coordinates of the location of the study), Ts is the temperature of the Sun as a black body (5762 K), ρ is the albedo of the sphere’s outer surface and γ is the reflectance in the infrared region of the sphere’s outer surface (here it is used 0.35 for a non clear glass surface). Note that, since we are working on an indoor urban agriculture problem, we can approximate that we are dealing with blackbodies. This approximation means that the emissivity of the surfaces is considered equal to 1 (blackbody surface for AH and A); otherwise, in other case studies emissivity and absorbance of surfaces should be included within the equation.
The parameter B in the case that Bejan and Reis studied [44] remains constant since they work on the Earth sphere and as a consequence the albedo ρ and the reflectance γ in the infrared region of the Earth are known and constant.
However, in the present case study, the materiality of the sphere and especially the radiative characteristics of the outer surface of the envelope determine the way that the form is heated and loses energy. Combining the Equations (2) and (3) whereas x = AH/A, is obtained
Considering qs the solar heat current received by the sphere and qout the heat current radiated into the atmosphere by the sphere’s surface AH, the difference between qs and qout is convected over the sphere’s surface from AH to AL within the double thermal envelope. Let us see now the output of the constructal convective heat transfer model that is proposed by Bejan and Reis [44] and is used in the present study.
2.3. Constructal Convective Heat Transfer Model and Approximations
The constructal convective heat transfer model is proposed by Bejan and Reis here [44]. The temperature difference TH-TL with TH > TL drives a heat current from TH to TL by the buoyancy effect in the boundary layer of the air that covers the envelope’s surface within the double thermal envelope. In order to continue the present study, the analysis is based on the following approximations:
- in order to calculate the convection current q factors of order 1 are ignored according to the rules of scale analysis defined by Bejan [51];
- it is considered that convective heat transfer is produced in the form of a counterflow with two branches that are developed between TH and TL within the double thermal envelope;
- the convective heat transfer highly depends on whether the two branches of the counterflow between TH and TL are in intimate thermal contact;
- the convective heat transfer air layer covers an area of flow length and width where R is the sphere’s radius;
- the length L unites TH and TL;
- a hydrostatic pressure force ΔPWH is applied to the air-layer control volume in the L direction while an opposed by the shear stress force occurs because of the air’s move over the surface L × W;
- eddy diffusivity for momentum εM is modeled via the Prandtl’s mixing length model as it is presented in Bejan [51], while H represents the vertical dimension of the air system that transfers momentum vertically while moving horizontally (the mixing length) and is the distance of our second thermal envelope from our main heated volume;
- in the definition of the convective conductance in the horizontal direction D proportionality between temperature difference and heat current is assumed.
On the basis of the aforementioned hypothesis, the equations regarding the convective heat current that are proposed by Bejan and Reis [44] for the constructal convective heat transfer model are applied to the present model as
where β is the coefficient of thermal expansion in K−1, H represents the vertical dimension of the air system that transfers momentum vertically while moving horizontally in m (and in the present case study represents also the distance of the second thermal envelope from the main heated volume), R is the sphere radius in m, ρair is the mean density of air in kg/m3, cp is the air’s specific heat at constant pressure in J/kg K, g is the gravitational acceleration in m/s2. Furthermore, Bejan and Reis [44] proposed two equations regarding the convective conductance in the horizontal direction D in Wm−2K−1 per unit of horizontal area for both cases as
To calculate the equations above for both cases, Bejan and Reis [44] assumed that at the boundaries TH-end and TL-end layers, the pressures are respectively and , where is the density of warm air and is the density of cold air in kg/m3, while the pressure difference ΔP in the L direction is calculated as
while the hydrostatic pressure force ΔPWH applied to the air-layer control volume in the L direction is assumed to be as follows [44]
where τ is the average shear stress in the L direction that is calculated as follows in relation to the eddy diffusivity for momentum εM (m2/s) and the air’s velocity in the L direction u (m/s) [44]
while, according to the assumptions made for the present study, it can also be applied as
Combining Equations (9) to (12), the horizontal velocity scale can be calculated since it is needed to calculate the convective heat current [44]
finally, the convective heat current in relation to the velocity is given by the equations according to Bejan and Reis [44]
Both models have been validated by Bejan and Reis [44] with theoretical literature values provided by North [52] and Lorentz et al [53] regarding the convective conductance in the horizontal direction. However, in the present case study, we will focus on the model for not intimate contact between the two surfaces at TH, TL. Since in every building application thermal insulation is a main issue, we understand that mandatory thermal insulation between the two different building zones will impose to work assuming a not intimate contact condition. For this reason, we will mainly focus on the use of Equation (15).
2.4. Constructal Combined Radiation and Convection Heat Transfer Model
Additionally Bejan and Reis based on the assumptions that AL = (1 − x)A and A = 4πR2 proposed the following combined radiation–convection model regarding the theoretical conductance of the sphere [44]
The aforementioned equation was validated by Bejan and Reis [44] with the Monin–Obukhov theory [44] (for their case study optimum results are obtained when n = 3/2) and so the theoretical conductance can also be calculated as follows [54]
3. Results
Assuming the volume of air to be an ideal gas of temperature T, its volumetric coefficient of thermal expansion β can be given by the ideal gas law as
where P is the pressure of the gas in Pa, V is the volume taken up by the gas in m3, T is the temperature of the gas in K, R is the gas constant (8.31 J K−1 mol−1). Thus, combining the Equations (16) and (17), we obtain the following equation applied to the present case study
As we can observe, we obtain an equation that links H2 (TH-TL)n with the main important parameters of the form that influence heat transfer, such as the reflectance in the infrared region γ, the volumetric coefficient of thermal expansion β, the Radius R of our spherical volume, the air’s thermal properties and the lowest zone’s temperature TL.
Figure 2, Figure 3, Figure 4 and Figure 5 illustrate the investigation on the values of H2 (TH-TL)n. Bejan and Reis [44] worked on an Earth model and for this reason they put on the equation above the Earth’s geometrical and thermophysical properties. From the litterature, they knew also the H that is the vertical dimension of the air system that transfers momentum vertically while moving horizontally for the Earth problem and consequently they validated their model on the basis of a variety of existing literature output. Furthermore, they concluded that the temperature difference exponent n that provides best-to-fit data for their problem is equal to 3/2 [44]. In the present case study, an existing dedicated to the specific problem database is not available. So it cannot be assumed that 3/2 is the best exponent value.
Figure 2.
H2(TH-TL)n evolution for different values of x = AH/A as the radius R of the spherical volume increases. We observe that H2 (TH-TL)n evolution follows a pattern of y = axn where n = 3/2. Consequently we can say that H2(TH-TL)n = aR3/2 whereas a evolves as x changes (a) x = 0.1; (b) x = 0.15; (c) x = 0.2; (d) x = 0.25; (e) x = 0.3; (f) x = 0.35.
Figure 3.
H2(TH-TL)n evolution for different values of x=AH/A as the radius R of the spherical volume increases. We observe that H2 (TH-TL)n evolution follows a pattern of y = axn where n = 3/2. Consequently, we can say that H2(TH-TL)n = aR3/2 whereas a evolves as x changes (a) x = 0.4; (b) x = 0.45; (c) x = 0.5; (d) x = 0.55; (e) x = 0.6; (f) x = 0.65.
Figure 4.
H2(TH-TL)n evolution for different values of x = AH/A as the radius R of the spherical volume increases. We observe that H2 (TH-TL)n evolution follows a pattern of y = axn where n = 3/2. Consequently, we can say that H2(TH-TL)n = aR3/2 whereas a evolves as x changes (a) x = 0.7; (b) x = 0.75; (c) x = 0.8; (d) x = 0.85; (e) x = 0.9; (f) x = 0.95.
Figure 5.
H2(TH-TL)n evolution for different values of x = AH/A as the radius R of the spherical volume increases. We observe that H2 (TH-TL)n evolution follows a pattern of y = axn where n = 3/2. Consequently, we can say that H2(TH-TL)n = aR3/2 whereas a evolves as x changes (a) x = 0.97; (b) x = 0.99.
However, we can assume values for H in relation to the specific double thermal skin’s geometry. For this problem, H is an ad hoc design parameter. As we see from Figure 1, we thermodynamically conceived the volume with the main aim of providing in the vicinity of the sphere an appropriate not heated second enclosing volume.
This second thermal envelope is put in order to thermodynamically isolate the system from external weather conditions, and especially from wind velocity that is a factor that accentuates convective heat transfer on the envelope level. By putting the second thermal skin, the formation of these convective heat currents is controlled and convection does not have the freedom to occur in total liberty since a thermodynamically closed system is defined.
Hence, it is assumed that since our system is closed, consequently the distance of this second thermodynamic envelope is equal to the vertical dimension of the air system that transfers momentum vertically while moving horizontally. This assumption is correct since we enclose within a second environment air that is guided—due to the design—to flow in the form of subsequent convective loops as it is described above and elsewhere [43,44].
The assumption made here does not affect the conclusions since we are mainly interested in and focus on the qualitative and not quantitave description of the physical phenomena. In other terms, in the present case study, H is a design choice. In Figure 2, Figure 3, Figure 4 and Figure 5, H2(TH-TL)n evolution for different values of x = AH/A while incresing gradually the radius R of our spherical volume is plotted.
It is observed that H2(TH-TL)n evolution follows a pattern of y = axn where n = 3/2 with a perfect agreement between the fit-to-curve data and the analytical calculations. More precisely, it is found that H2(TH-TL)n = aR3/2 whereas a evolves as x changes. So the general equation that links H to the sphere of the radius R is obtained as
Furthermore, the product H2(TH-TL)n physically reflects the fact that when the radius R of the sphere increases, then the H that represents the vertical dimension of the air system that transfers momentum vertically increases also. If we consider that, in the present problem, the temperatures TH and TL are fixed in order to fit to the plant and human thermal comfort models, hence the temperature difference in the sphere’s surface is fixed and constant and so the spherical indoor urban greenhouse works as a reversible engine.
Plotting the H2(TH-TL)n values for a variety of area ratios x that range from 0.1 to 0.99 a variety of graphs (Figure 2, Figure 3, Figure 4 and Figure 5) is obtained that gave the possibility to graphically quantify the parameter a.
The effect of the area ratio x = AH/A to the coefficient a in Equation (20) is graphically represented in Figure 6. As it is observed a decreases as AH tends to become equal to the overall surface of the sphere A. Furthermore, an equation of the form a = −bx + c that helps to predict a coefficient of Equation (20), when someone knows the AH surface of the volume, is deduced. This is also a very important output of the present study, since in this case study AH is also a design parameter and represents the volume that is dedicated to urban agriculture within the spherical volume. Thus, the coefficient a of Equation (20) is linked to the area ratio x as
Figure 6.
The effect of the area ratio x = AH/A to the coefficient a in Equation (20). The error bars show the displacement of the line when the reflectance in the infrared region varies from the given value by ±10%.
Combining the Equations (19) and (20) we obtain
where x is the area ratio and R is the radius of the sphere. However, as it is explained above H is a design parameter while TH and TL are quite constant in urban greenhouse areas, Equation (20) can be developed as
for (TH-TL) > 0 and (TH-TL) ≠ 1 and > 0.
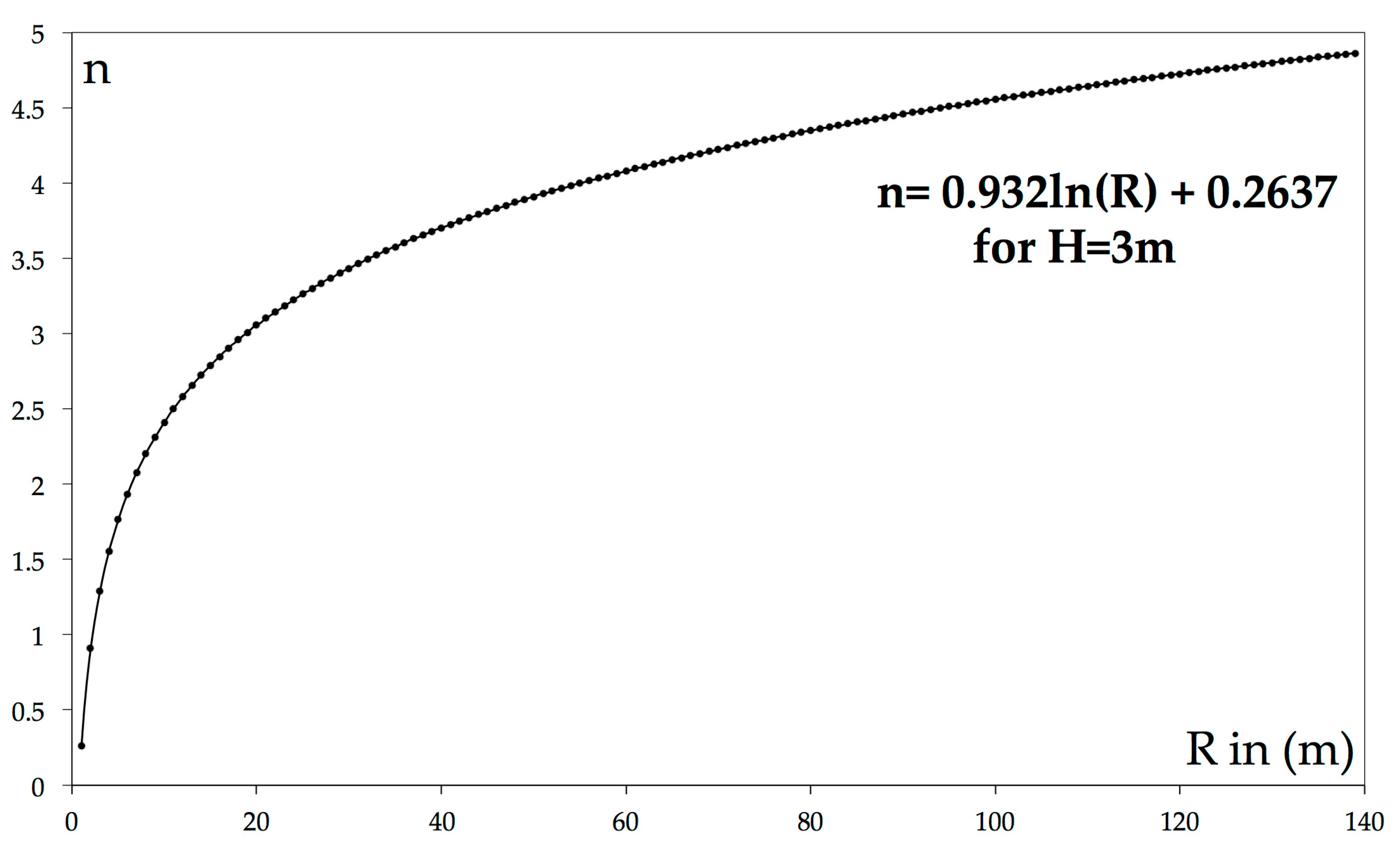
Denote that the requirement that TH-TL should be different from 1 (1 °C, not 1 °F) comes from the fact that the value 15.282 has units. Therefore, since in the present problem H, R, and x are the main design parameters it is understood that through Equation (23) an estimation regarding the collector’s and radiator’s temperatures exponent n can be obtained. In Figure 7, the exponent’s n evolution is plotted when the sphere’s radius increases for a mixing length H = 3m and for an area allocation fraction x = 0.1. As it is observed for these values n = 0.932ln(R) + 0.2637.
Figure 7.
Effect of the radius of the sphere on the collector and radiator temperatures exponent n for a mixing length H = 3 m, and x = 0.1.
Hence, it is assumed that for given H that is concretely the thickness of the double thermal envelope and for a given allocation fraction x, the temperature difference exponent obtains the form of the equation
where ζ and η are fixed coefficients for given values of H and x and defined by using the Equations (20)–(23). That means that when during early design stages someone designs a volume, the values for H and x can be fixed and then employing Equation (23), the appropriate values of ζ and η can be defined. Then the exponent’s n evolution in relation to the evolution of the sphere’s radius can be traced as in Figure 7. This design process is implicit and offers to the designer the freedom to think a lot about the geometrical properties of the volume being based on a thermodynamic evaluation of the form.
4. Discussion
According to Bejan’s and Reis’ constructal model [43,44] a constructal thermodynamic macroscale model of spherical urban greenhouse form with double thermal envelope within reversible heat currents is developed. Then the turbulent characteristics of the greenhouse boundary layer depend on only three design parameters: (i) the thickness H of the double thermal skin, (ii) the radius R of the spherical greenhouse, and (iii) the area allocation fraction x regarding the two different comfort zones within the greenhouse. Furthermore, it is shown analytically that these three purely geometrical parameters determine in which degree the temperature difference between the comfort zones within the greenhouse influences on the formulation of convective heat currents within the double skin.
In this paper, we employed a well-proven and validated contemporary thermodynamic principle that completes the thermodynamic description of flow systems under constraints: constructal law. To do this, an original for this precise research field approach is initiated: study the spherical greenhouse problem as a reversible engine, which means as a flow system that has specific constraints. One of these constraints was the existence of a second double thermal envelope, which thermodynamically isolated the system from external flow (such as wind velocity for example) and guided in the formation of convective heat current loops within the double thermal envelope and all around the greenhouse.
Figure 2, Figure 3, Figure 4 and Figure 5 show the evolution of the product H2(TH-TL)n for different values of area allocation ratio x = AH/A as the radius R of the spherical volume increases. It is observed that this evolution follows a specific law and this law is expressed through Equation (20). Then, employing Equation (20) for a variety of area allocation values a plot that graphically correlates the coefficient a of Equation (20) to the radius R of the spherical volume is obtained. By plotting the trendline for the output of Equation (20) for different area allocation values, Equation (21) is obtained. Then employing Equations (21) and (22), Equation (23) that correlates the temperature difference within the volume to the geometrical characteristics of our problem is obtained.
It is noteworthy that this method has been developed mainly for pedagogical purposes, consequently throughout the equations that are proposed here, it can be explained to the students how their design decisions may influence on the thermal impact of a greenhouse volume. Furthermore, this method can also be generalized and used for thermodynamic optimization of the building form.
Moreover, by applying Bejan’s and Ries’ [43,44] constructal coupled convective–radiative model, even if it is conducted a qualitative and not quantitative study, an improved optimized method that provides more accurate results than classical thermodynamics is employed. More precisely, Bejan and Reis [43,44] showed that for their case study the best value of the exponent n that is linked to the temperature difference TH-TL is 3/2 instead of 1 that is proposed when we apply the simplest heat transfer model of convection.
In the present case study case, we managed to link this exponent to the geometrical data of the problem through a series of consecutive parametric studies and via a complex logarithmic equation (Equation (23)). Additionally, in cases that the thickness of the double thermal envelope H and the area allocation ratio x are ad hoc fixed for architectural reasons by the designer, then a simple logarithmic equation (Equation (24)) is proposed here in order to identify the exponent n in relation to the radius of the sphere and vice versa. Figure 8 shows the fixed thermodynamic parameters as well as the subject to design parameters of our problem, presenting the four equations that can be employed as pre-dimensioning/quick evaluation tools.
Figure 8.
The quick evaluation tools based on the constructal law that the present paper proposes, the main geometry, the fixed thermodynamic parameters and the subjected to design parameters of the studied problem. The present paper aims at introducing a new methodology and approach that simplifies the calculation of the main thermodynamic behavior of a spherical urban greenhouse.
As it is observed, the present paper aims to introduce a new methodology and approach that simplifies the calculation of the main thermodynamic behavior of a spherical urban greenhouse. As I results from Figure 8, all the main geometrical parameters that are important at early design stages are directly correlated throughout the methodology proposed here on the basis of the constructal law with the thermodynamic impact of the conceived volume. Furthermore, in Figure 9, a decisional flowchart is introduced in order to explain and clarify the main output of the present paper and especially how the method presented here can be generalized and used by other researchers.
Figure 9.
Decisional flowchart of the problem presented in this paper.
5. Conclusions and Perspectives
The present paper is driven by an original idea on the future of urban design within the framework of climate change on the horizon. The originality remains in the way that this paper aims to treat this challenge in scientific (thermodynamics) terms, through the purpose of developing a methodology that can be generally reproduced by other researchers. The constructal thermodynamic method that is presented in the present paper is based on a new constructal model of earth introduced initially by Bejan and Reis [43,44], in which a double skin envelope encloses the urban greenhouse space. The present paper aims to contribute also to the constructal law field, since it begins with the identification of the urban space as a “flow system”, and then confides on the method of constructal thermodynamics to morph and discover the “system flow architecture that offers greater global performance (greater access to what flows)” [26]. In brief, this paper aims to enrich our agendas by proposing a novel approach regarding how the topic of sustainability must be approached in future studies, having been inspired by Adrian Bejan’s methodology. Bejan recently showed that the sustainability need is about flow: the flow of energy and the flow of water through the inhabited space [55]. The physics law that guides future work on sustainability “as physics” is the universal constructal law of evolution. Bejan proved that this law is universal and accounts for all scales of life [26] and for this reason it is applied to the studied problem.
The new method that is presented here also tries to heal the problematic segregation between architecture, urban agriculture, and applied thermodynamics vis-à-vis a building’s environmental performance and sustainable design. The present paper aims also to contribute to the update of our approaches regarding urban planning in the framework of climate change completing many innovative recent interdisciplinary studies that propose to treat sustainability in an original and innovative way employing methodologies currently used in other disciplines such as complex networks to study the technological and normative scenario of energy distribution systems [56], mapping tools to plan energy saving at a neighborhood scale [57], UHI effects and strategies to improve outdoor thermal comfort in dense and old neighborhoods [58], geographical information systems (GIS) as support tools for sustainable Energy Action Plan [59] and spatial-energy models coupled to optimization strategies based on complex networks for the assessment of urban energy scenarios [60].
In order to relocate the importance and the know how of classic applied thermal engineering practices and other environmental technologies to the center of the discipline, the starting point of the present paper was to introduce constructal thermodynamic optimization methods at early design stages and especially when important geometrical decisions have to be made as it is shown also through the decisional flowchart (Figure 9). Thus, this research aimed to avoid subsuming architecture that is directly linked to the fact of underrating the disciplinary efficacy of architectural design in relation to environmental protection. For this reason urban agriculture elements were integrated within the architectural program since sustainability is treated as a flow problem and does not deal only with performance indexes but also with spatial elements that create interesting interior climates and urbanities as it was also proven by other recent studies [56,57,58,59,60]. Thus, another parameter that would be interesting to examine in the future is the influence of the adjacent buildings on the constructal model output.
It is noteworthy that Figure 7 proposes the value of the exponent “n”, giving heat flux from temperature difference to the power n (in the presented case, for H = 3m). For Bejan and Reis’ model [44], n was obtained as 3/2 when a similar model applied to the whole Earth system. However, 3/2 is in general a de facto coefficient for heat transfer through convection. In the model of the present paper, n is considered to vary from 3/2 (in fact, n can be assumed lower for small dimensions on the Earth). However, from a physical point of view, it appears hard to find in the literature an n larger than 4 because we have a thermal radiation case, and thus convection and thermal radiation might be mixed, even if TH is (very) large compared to TL.
Thus, interpreting the results of the present paper, we can assume that this fact means that there is a boundary radius R regarding the effectiveness of the greenhouse that this model proposes. For example, regarding the case for H = 3 m, Rmax would be around 60 m (to obtain a n near 4). The volume of the equivalent spherical greenhouse, reduced to a ‘flat’ surface, corresponds to an area of some 30 Ha (0.3 km2), which in fact corresponds more or less approximately to urban parks that, if larger, might be considered to create their own thermal microclimate altering locally the Urban Heat Island. For instance, here are some nearby values regarding urban parks:
- Central Park (NY, USA): 3.4 km2
- Imperial Palace (Tokyo, Japan): 3.4 km2
- Tiergarten Park (Berlin, Germany): 2.1 km2
- Villa Doria Pamphilj Park (Rome, Italy): 1.8 km2
- Hyde Park (London, UK): 1.4 km2 (2.5 km2 with adjacent green spaces)
- El Retiro Park (Madrid, Spain): 1.2 km2
- Sempione Park (Milano, Italy): 0.38 km2
- Mars Park (Champ-de-Mars, Paris, France): 0.25 km2
- Hamarikyu gardens (Tokyo, Japan): 0.25 km2
That means that the output of the model can be also used to provide a kind of approximation in terms of ‘preferred sizes’. Taking into account that dimensional analysis can give an order of magnitude approach rather than exact values it is possible to couple this method to a dimensional analysis for further programmatic decision making.
Consequently, the purpose of the present research method was to generate clearest and most consistent articulations of the relationship between the thermodynamic potential of urban agriculture, architecture, and the environment through the use of the constructal law. The use of constructal thermodynamics enhanced the main thesis that consists of believing that the design of energy efficient volumes has the potential to reinvent sustainable morphologies and transform architectural design from being an uncertain, seemingly ‘whimsical’ process, into a confident scientifically artistic discipline. Furthermore, the integration of agricultural elements and the exploration of their thermodynamic potential enhanced the interdisciplinary way that architecture in seen: a discipline that improves the synergy between a variety of scientific and aesthetic fields. In every case, the fact that the energy impact is currently entering into the equation of architectural design at early design stages is only the beginning of a much greater outline in environmental design.
Funding
This research received no external funding. The APC was funded by the Erasmus+ e-FIADE Program (agreement no. 2016-TR01-KA203-034710) of the European Union, which supports innovation and creativity exploring the thresholds of architectural education.
Acknowledgments
Research for this particular paper received no direct external funding. However, the present research has been mainly conducted for pedagogic purposes in relation to Mavromatidis’ architectural design studio held at INSA Strasbourg under the name “Climatic Heterotopias” (A-STM-ARC-06, A-STM-ARC-07) with the aim to bridge the gap between architectural design education and research in the field of contemporary applied thermodynamics. The objective of the paper was to provide to students a novel approach in order to pre-dimension their architectural outputs on the basis of a scientific method with the aim to accompany their early design stage decisional approach. This architectural design studio (and consequently the research made in the framework of the studio for pedagogic purposes that is presented in the present paper) is indirectly funded by the e-FIADE program, while the studio is labeled as joint studio and it is included in the Erasmus+ e-FIADE Program (agreement no. 2016-TR01-KA203-034710) of the European Union, which supports innovation and creativity exploring the thresholds of architectural education. The threshold explored here is the integration of constructal thermodynamics and applied thermal engineering practices to the architectural education creating bridges between scientific research and pedagogy. However, European Commission and Turkish National Agency cannot be held responsible for any use, which may be made of the information contained therein.
Conflicts of Interest
The author declares no conflict of interest.
Nomenclature
| Abbreviations | |
| AH | high-temperature area (m2) |
| AHp | projected high-temperature area (m2) |
| AL | low-temperature area (m2) |
| cp | specific heat at constant pressure (J/kg K) |
| f | Earth–Sun view factor |
| g | gravitational acceleration (m/s2) |
| H | height (m) |
| k | von Karman’s constant |
| L | length (m) |
| q | convection current (W) |
| qs | solar heat current (W) |
| R | radius (m) |
| TH | high temperature (K) |
| TL | low temperature (K) |
| TS | Sun temperature (K) |
| u | horizontal velocity (m/s) |
| un | friction velocity (m/s) |
| W | width (m) |
| x | hot area fraction, AH/A |
| z | altitude (m) |
| Greek letters | |
| β | coefficient of thermal expansion (K−1) |
| γ | reflectance in the infrared region |
| ΔP | pressure difference (Pa) |
| ΔT | temperature difference (K) |
| εH | thermal eddy diffusivity (m2/s) |
| εM | momentum eddy diffusivity (m2/s) |
| ρH | density of warm air (kg/m3) |
| ρL | density of cold air (kg/m 3) |
| σ | Stefan–Boltzmann constant (W/m3 K4) |
| τ | average shear stress (Pa) |
| Subscripts | |
| H | high temperature |
| L | low temperature |
References
- Caprotti, F. Eco-urbanism and the Eco-city or, Denying the Right to the City? Antipode 2014, 46, 1285–1303. [Google Scholar] [CrossRef]
- Dean, P. Delivery without Discipline: ARCHITECTURE in the Age of Design. Ph.D. Thesis, University of California, Los Angeles, CA, USA, 2011. [Google Scholar]
- Mavromatidis, L.E.; Mavromatidi, A. Re-inventing the ‘doubt’ of the ‘icon’: A virtual case study in a post-USSR (Union of Soviet Socialist Republics) country’s capital. Urbani Izziv 2012, 23, 79–92. [Google Scholar] [CrossRef]
- Mavromatidis, L.E. The aesthetic value of socio-cultural identities and the cultural dimension of the landscape. Hum. Geogr. J. Stud. Res. Hum. Geogr. 2012, 6, 15–21. [Google Scholar] [CrossRef]
- Mavromatidis, L.E.; Mavromatidis, A.; Lequay, H. The unbearable lightness of expertness or space creation in the climate change era: A theoretical extension of the constructal law for building and urban design. City Cult. Soc. 2014, 5, 21–29. [Google Scholar] [CrossRef]
- Mavromatidis, L.E. Coupling architectural synthesis to applied thermal engineering, constructal thermodynamics and fractal analysis: An original pedagogic method to incorporate “sustainability” into architectural education during the initial conceptual stages. Sustain. Cities Soc. 2018, 39, 689–707. [Google Scholar] [CrossRef]
- Žižek, S. The Universal Exception; Continuum: London, UK, 2006. [Google Scholar]
- Titz, A.; Chiotha, S.S. Pathways for Sustainable and Inclusive Cities in Southern and Eastern Africa through Urban Green Infrastructure? Sustainability 2019, 11, 2729. [Google Scholar] [CrossRef]
- Christopher, Y. Self-Organisation in Urban Community Gardens: Autogestion, Motivations, and the Role of Communication. Sustainability 2019, 11, 2659. [Google Scholar] [CrossRef]
- Krikser, T.; Zasada, I.; Piorr, A. Socio-Economic Viability of Urban Agriculture—A Comparative Analysis of Success Factors in Germany. Sustainability 2019, 11, 1999. [Google Scholar] [CrossRef]
- Pulighe, G.; Lupia, F. Multitemporal Geospatial Evaluation of Urban Agriculture and (Non)-Sustainable Food Self-Provisioning in Milan, Italy. Sustainability 2019, 11, 1846. [Google Scholar] [CrossRef]
- Tiraieyari, N.; Karami, R.; Ricard, R.M.; Badsar, M. Influences on the Implementation of Community Urban Agriculture: Insights from Agricultural Professionals. Sustainability 2019, 11, 1422. [Google Scholar] [CrossRef]
- Diehl, J.A.; Oviatt, K.; Chandra, A.J.; Kaur, H. Household Food Consumption Patterns and Food Security among Low-Income Migrant Urban Farmers in Delhi, Jakarta, and Quito. Sustainability 2019, 11, 1378. [Google Scholar] [CrossRef]
- Zanele Khumalo, N.; Sibanda, M. Does Urban and Peri-Urban Agriculture Contribute to Household Food Security? An Assessment of the Food Security Status of Households in Tongaat, eThekwini Municipality. Sustainability 2019, 11, 1082. [Google Scholar] [CrossRef]
- Säumel, I.; Reddy, S.E.; Wachtel, T. Edible City Solutions—One Step Further to Foster Social Resilience through Enhanced Socio-Cultural Ecosystem Services in Cities. Sustainability 2019, 11, 972. [Google Scholar] [CrossRef]
- Olivier, D.W. A Cropping System for Resource-Constrained Urban Agriculture: Lessons from Cape Town. Sustainability 2018, 10, 4804. [Google Scholar] [CrossRef]
- Liao, J.; Liang, Y.; Huang, D. Organic Farming Improves Soil Microbial Abundance and Diversity under Greenhouse Condition: A Case Study in Shanghai (Eastern China). Sustainability 2018, 10, 3825. [Google Scholar] [CrossRef]
- Siegner, A.; Sowerwine, J.; Acey, C. Does Urban Agriculture Improve Food Security? Examining the Nexus of Food Access and Distribution of Urban Produced Foods in the United States: A Systematic Review. Sustainability 2018, 10, 2988. [Google Scholar] [CrossRef]
- Miccoli, S.; Finucci, F.; Murro, R. A Monetary Measure of Inclusive Goods: The Concept of Deliberative Appraisal in the Context of Urban Agriculture. Sustainability 2014, 6, 9007–9026. [Google Scholar] [CrossRef]
- Taylor Lovell, S. Multifunctional Urban Agriculture for Sustainable Land Use Planning in the United States. Sustainability 2010, 2, 2499–2522. [Google Scholar] [CrossRef]
- Bejan, A.; Errera, M.R. Complexity, organization, evolution, and constructal law. J. Appl. Phys. 2016, 119, 074901. [Google Scholar] [CrossRef]
- Bejan, A.; Lorente, S. Design with Constructal Theory; Wiley: Hoboken, NJ, USA, 2008. [Google Scholar]
- Bejan, A.; Peder Zane, J. Design in Nature; Anchor Books: New York, NY, USA, 2013; p. 296. [Google Scholar]
- Bejan, A.; Gobin, D. Constructal Theory of Droplet Impact Geomery. Int. J. Heat Mass Transf. 2006, 49, 2412–2419. [Google Scholar] [CrossRef]
- Bejan, A. Shape and Structure, from Engineering to Nature; Cambridge University Press: Cambridge, UK, 2000. [Google Scholar]
- Bejan, A. The Physics of Life: The Evolution of Everything; St. Martin’s Press: New York, NY, USA, 2016. [Google Scholar]
- Bejan, A. Advanced Engineering Thermodynamics, 2nd ed.; Wiley: New York, NY, USA, 1997; p. 13. [Google Scholar]
- Bejan, A. Convection Heat Transfer, 3rd ed.; Wiley: Hoboken, NJ, USA, 2004. [Google Scholar]
- Machairas, V.; Tsangrassoulis, A.; Axarli, K. Algorithms for optimization of building design: A review. Renew. Sustain. Energy Rev. 2014, 31, 101–112. [Google Scholar] [CrossRef]
- Marin, P.; Marsault, X.; Mavromatidis, L.E.; Saleri, R.; Torres, F. Ec-Co-Gen: An evolutionary simulation assisted design tool for energy rating of buildings in early design stage to optimize the building form. In Proceedings of the IBPSA—International Building Performance, Chambéry, France, 25–28 August 2013. [Google Scholar]
- Marsault, X. A multiobjective and interactive genetic algorithm to optimize the building form in early design stages. In Proceedings of the IBPSA—International Building Performance, Chambéry, France, 25–28 August 2013. [Google Scholar]
- Martins, T.A.L.; Adolphe, L.; Bastos LE, G. From solar constraints to urban design opportunities: Optimization of built form typologies in a Brazilian tropical city. Energy Build. 2014, 76, 43–56. [Google Scholar] [CrossRef]
- Mavromatidis, L.E.; Bykalyuk, A.; Lequay, H. Development of polynomial regression models for composite dynamic envelopes’ thermal performance forecasting. Appl. Energy 2013, 104, 379–391. [Google Scholar] [CrossRef]
- Mavromatidis, L.E.; Marsault, X.; Lequay, H. Daylight factor estimation at an early design stage to reduce buildings’ energy consumption due to artificial lighting: A numerical approach based on Doehlert and Box–Behnken designs. Energy 2014, 65, 488–502. [Google Scholar] [CrossRef]
- Mavromatidis, L.E. A review on hybrid optimization algorithms to coalesce computational morphogenesis with interactive energy consumption forecasting. Energy Build. 2015, 106, 192–202. [Google Scholar] [CrossRef]
- Mavromatidis, L. Linking wide-ranging geometrical and non-geometrical glazing options for daylight effectiveness estimation at an early design stage. Energy Procedia 2015, 78, 711–716. [Google Scholar] [CrossRef]
- Mavromatidis, L.E. Study of coupled transient radiation-natural convection heat transfer across rectangular cavities in the vicinity of low emissivity thin films for innovative building envelope applications. Energy Build. 2016, 120, 114–134. [Google Scholar] [CrossRef]
- Catalina, T.; Virgone, J.; Blanco, E. Development and validation of regression models to predict monthly heating demand for residential buildings. Energy Build. 2008, 40, 1825–1843. [Google Scholar] [CrossRef]
- Catalina, T.; Virgone, J.; Iordache, V. Study on the impact of the building form on the energy consumption. In Proceedings of the International Building Performance Simulation Association (AIRAH Conference), Sydney, Australia, 14–16 November 2011. [Google Scholar]
- Catalina, T.; Iordache, V.; Caracaleanu, B. Multiple regression model for fast prediction of the heating energy demand. Energy Build. 2013, 57, 302–312. [Google Scholar] [CrossRef]
- Fedorczak-Cisak, M.; Marcin Furtak, M.; Gintowt, I.; Kowalska-Koczwara, A.; Pachla, F.; Stypuła, K.; Tatara, T. Thermal and Vibration Comfort Analysis of a Nearly Zero-Energy Building in Poland. Sustainability 2018, 10, 3774. [Google Scholar] [CrossRef]
- Houng Han, J.; Sook Kim, S. Architectural Professionals’ Needs and Preferences for Sustainable Building Guidelines in Korea. Sustainability 2014, 6, 8379–8397. [Google Scholar] [CrossRef]
- Clausse, M.; Meunier, F.; Reis, A.H.; Bejan, A. Climate Change in the Framework of the Constructal Law. Int. J. Global Warm. 2012, 4, 242–260. [Google Scholar] [CrossRef]
- Bejan, A.; Reis, A.H. Thermodynamic Optimization of Global Circulation and Climate. Int. J. Energy Res. 2005, 29, 303–316. [Google Scholar] [CrossRef]
- Bejan, A. Advanced Engineering Thermodynamics; Wiley: New York, NY, USA, 1988; pp. 520–522. [Google Scholar]
- Gordon, J.M.; Zarmi, Y. Wind energy as a solar-driven heat engine: A thermodynamic approach. Am. J. Phys. 1989, 57, 995–998. [Google Scholar] [CrossRef]
- De Vos, A. Endoreversible Thermodynamics of Solar Energy Conversion; Oxford University Press: Oxford, UK, 1992; pp. 53–67. [Google Scholar]
- De Vos, A.; Flater, G. The maximum efficiency of the conversion of solar energy into wind energy. Am. J. Phys. 1991, 59, 751–754. [Google Scholar] [CrossRef]
- De Vos, A.; Van der Wel, P. The efficiency of the conversion of solar energy into wind energy by means of Hadley cells. Theor. Appl. Climatol. 1993, 46, 193–202. [Google Scholar] [CrossRef]
- Bykalyuk, A.; Kuznik, F.; Johannes, K. Studying the evolution of both thermal and kinetic boundary layers in the vicinity of a vertical conductive gypsum plate under dynamic time-depending conditions at the building scale. Energy Build. 2015, 86, 898–908. [Google Scholar] [CrossRef]
- Bejan, A. Convection Heat Transfer; Wiley: New York, NY, USA, 1984; p. 111. [Google Scholar]
- North, G.R. Energy balance climate models. Rev. Geophys. Space Phys. 1981, 19, 91–121. [Google Scholar] [CrossRef]
- Lorenz, R.D.; Lunine, J.I.; McKay, C.P.; Withers, P.G. Titan, Mars and Earth: Entropy production by latitudinal heat transport. Geophys. Res. Lett. 2001, 25, 415–418. [Google Scholar] [CrossRef]
- Arya, P.S. Introduction to Micrometeorology; Academic Press: London, UK, 1988. [Google Scholar]
- Bejan, A. Sustainability: The water and energy problem, and the natural design solution. Eur. Rev. 2015, 23, 481–488. [Google Scholar] [CrossRef]
- Volpe, R.; Frasca, M.; Fichera, A.; Fortuna, L. The role of autonomous energy production systems in urban energy network. J. Complex. Netw. 2017, 5, 461–472. [Google Scholar] [CrossRef]
- Evola, G.; Fichera, A.; Gagliano, A.; Marletta, L.; Nocera, F.; Pagano, A.; Palermo, V. Application of a Mapping tool to Plan Energy Saving at a Neighborhood Scale. Energy Procedia 2016, 101, 137–144. [Google Scholar] [CrossRef]
- Evola, G.; Gagliano, A.; Fichera, A.; Marletta, L.; Martinico, F.; Nocera, F.; Pagano, A. UHI effects and strategies to improve outdoor thermal comfort in dense and old neighbourhoods. Energy Procedia 2017, 134, 692–701. [Google Scholar] [CrossRef]
- Gagliano, A.; Nocera, F.; D’Amico, A.; Spataru, C. Geographical information system as a support tool for sustainable Energy Action Plan. Energy Procedia 2015, 83, 310–319. [Google Scholar] [CrossRef]
- Fichera, A.; Frasca, M.; Palermo, V.; Volpe, R. An optimization tool for the assessment of urban energy scenarios. Energy 2018, 156, 418–429. [Google Scholar] [CrossRef]
© 2019 by the author. Licensee MDPI, Basel, Switzerland. This article is an open access article distributed under the terms and conditions of the Creative Commons Attribution (CC BY) license (http://creativecommons.org/licenses/by/4.0/).








