Abstract
This study investigates the effect of high urban land temperatures on pesticide residue (PR) accumulation in cabbage and lettuce and on public health in the Greater Accra Metropolitan Area (GAMA) in Ghana. A comparative toxicological analysis regarding the food system was conducted with 66 farmers across three land surface temperatures: low (Atomic, n = 22), moderate (Ashaiman, n = 22), and high (Korle-Bu, n = 22). Pesticide residue concentrations were assessed using an ANOVA to examine spatial variations across sites. The results indicate a strong correlation between high land surface temperatures and pesticide residue accumulation, with lettuce recording significantly (p < 0.05) higher PR levels than cabbage. Several pesticides, including carbendazim (CBZ), Imidacloprid (IMI), Thiamethoxam (TMX), and Chlorpyrifos (CHL), exceeded the maximum residue limits (MRLs) set by the World Health Organization (WHO) and the European Union (EU) at moderate and high-temperature sites. carbendazim was the dominant pesticide detected, with a concentration of 19.0 mg/kg in lettuce, which far exceeded its maximum residue limit (MRL) of 0.10 mg/kg across all study sites. Statistical analyses (PERMANOVA) confirmed that land surface temperatures and pesticide types significantly influenced the PR concentrations. Public health risk assessments indicate that children are more vulnerable to pesticide exposure than adults. The toxicity hazard quotient (THQ) for organophosphate pesticides, particularly CHL and Dimethoate (DMT), exceeded safe thresholds at moderate and high-temperature sites.
1. Introduction
Urban vegetable farming plays a crucial role in ensuring food security and nutrition for city dwellers, particularly through the cultivation of cabbage (Brassica oleracea) and lettuce (Lactuca sativa). These leafy vegetables are rich in essential vitamins and minerals, making them a staple in urban diets [1,2]. However, their production often relies on agrochemicals to control pests and enhance yields, raising concerns about pesticide residue accumulation in food crops [3,4]. The presence of residues from neonicotinoids, carbendazim, and organophosphates in vegetables has been widely documented, with prolonged exposure posing significant health risks, including neurotoxicity, endocrine disruption, and reproductive disorders [5,6].
The risks associated with pesticide residues are further exacerbated by urbanization and climate change. Rising temperatures, increased demand for vegetables, and water stress contribute to the persistence and accumulation of pesticides in urban crops [7,8]. Research suggests that higher temperatures slow the photodegradation of certain pesticides, such as neonicotinoids, on vegetable surfaces, prolonging their presence and increasing potential exposure [9]. The urban heat island (UHI) effect, driven by the replacement of natural green spaces with concrete and asphalt, results in significantly elevated temperatures in city centers compared to surrounding peri-urban areas [10,11]. These warming trends create favorable conditions for the proliferation of pests, such as aphids and caterpillars, leading farmers to intensify pesticide use as a countermeasure [12,13]. Excessive pesticide application and the use of contaminated irrigation water further increase the risk of residue accumulation exceeding maximum residue limits (MRLs), posing severe health risks to both humans and the environment [14,15].
Several studies have reported the presence of pesticide residues in fresh vegetables, particularly neonicotinoids, carbendazim, and organophosphates, with concentrations varying depending on environmental conditions and farming practices [9,16,17]. Chronic exposure to these residues has been linked to adverse health effects, including nervous system dysfunction, immune suppression, and an increased risk of cancer [18,19]. To address these concerns, researchers have emphasized the need for sustainable agricultural practices, including integrated pest management, bioremediation, and strict enforcement of food safety regulations [20,21,22].
Despite ongoing research on climate change and urbanization, the direct impact of rising urban temperatures on pesticide residue bioaccumulation remains insufficiently explored [23,24]. This knowledge gap hinders the implementation of effective climate-smart agricultural policies and risk mitigation strategies. Understanding how urban heat affects pesticide persistence in vegetables is crucial for enhancing monitoring systems and ensuring food safety in rapidly urbanizing regions.
This study investigates the effect of high urban surface temperatures on pesticide residue accumulation in cabbage and lettuce grown in the Greater Accra Metropolitan Area (GAMA) of Ghana. The research hypothesis is that higher urban surface temperatures in the Greater Accra Metropolitan Area (GAMA) will increase pesticide residues in cabbage and lettuce. This research aims to provide insights into the relationship between urban environmental stressors and pesticide contamination by analyzing residue concentrations under varying temperature conditions. The findings will inform policy recommendations on pesticide regulation, sustainable urban agriculture, and public health interventions to mitigate food safety risks.
2. Materials and Methods
2.1. Study Area
This study was conducted in three urban vegetable farming sites in the Greater Accra Metropolitan Area in the Greater Accra Region of Ghana, namely “Atomic” (Haatso), Ashaiman, and Korle-Bu (Figure 1). These sites represent low, moderate, and high land surface temperatures, respectively, as characterized by Gyimah et al. [10]. Located within the Ga-East, Ashaiman, and Ablekuma-South Municipal Districts, these areas are part of Ghana’s rapidly urbanizing metropolis. GAMA covers 1507.5 km², with a population exceeding 5 million in 2021 [25]. Urban expansion has increased land surface temperatures (LSTs), affecting vegetable farming and human health in GAMA [10,26]. The study sites are characterized by coastal savannah grasslands with clay and sandy soils, where smallholder farmers cultivate crops under varied climatic conditions [27,28].
Figure 1.
Map of study area.
2.2. Study Design, Sample Size, and Sampling Procedure
This study was designed as a food system toxicological analysis involving a cross-sectional survey of 66 vegetable farmers, consisting of 33 cabbage farmers and 33 lettuce growers across three land surface temperature zones (Sites). The farmers were evenly distributed across the three farm sites, representing low (n = 22), moderate (n = 22), and high (n = 22) land surface temperatures with 11 farmers per crop type (Table 1). This equal sample distribution facilitated a comparative analysis of the results. A two-stage stratified random sampling approach was employed. In the first stage, cabbage and lettuce farmers were identified. In the second stage, a simple random sampling method was used to select participants from a membership list of their respective farmers’ association, which served as the sampling frame. Vegetable samples were collected from each farm for chemical analysis.
Table 1.
Distribution of vegetable farmers across study sites.
2.3. Sample Collection
Vegetable samples were taken on site [6]. A total of 66 samples (lettuce: n = 33; cabbage: n = 33) were carefully harvested using sterilized scissors, placed in well-labeled, sealed plastic zip-lock bags, and transported to the Ghana Standards Authority Pesticide Laboratory in Accra for analysis. Pesticide residue analysis was conducted using a multivariate approach, with pesticide residue (PR) serving as the response variable. The PR variable comprised two major pesticide groups: neonicotinoid/carbendazim and organophosphate. The neonicotinoid/carbendazim group included Acetamiprid (ACT), Clothianidin (CTD), Thiamethoxam (TMX), Imidacloprid (IMI), and carbendazim (CBZ). The organophosphate group consisted of Acephate (ACP), Azinphos (AZL), Chlorfenvinphos (CHF), Dimethoate (DMT), Monocrotophos (MON), Prochloraz (PRC), and Chlorpyrifos (CHL).
2.4. Sample Preparation of Pesticide Residue
Vegetable samples were extracted and purified using the QuEChERS, Newark, Delaware, USA, (Quick, Easy, Cheap, Effective, Rugged, and Safe) method [29,30,31]. The cabbage and lettuce samples were chopped into small pieces and blended separately. To prevent alterations in pesticide residue levels, the vegetable samples were not washed before processing. A 15g portion of each homogenized sample was accurately weighed and placed into a 50 mL Teflon tube, and 10 mL of 1% acetonitrile was added. The tube was sealed and vigorously shaken by hand for 2 minutes to ensure thorough mixing and efficient extraction of pesticide residues from the vegetable. An extraction salt mixture consisting of 4 g anhydrous magnesium sulphate (MgSO4), 1 g sodium chloride (NaCl), 1 g trisodium citrate, and 0.5 g disodium citrate was added [32]. The tube was vortexed for 2 min and centrifuged at 350× g for 5 min. A 6 mL aliquot of the supernatant was transferred to a 10 mL Teflon tube containing 200 mg primary secondary amine (PSA) and 150 mg anhydrous MgSO4 for purification (clean-up) to remove matrix interferences. The tubes were vortexed for 1 minute and centrifuged at 350× g for 10 min [31,32]. Finally, a 1.5 mL aliquot of the cleaned extract was transferred to GC vials and injected into a Liquid Chromatography–Tandem Mass Spectrometry (LC-MS/MS) system for pesticide analysis [32,33].
2.5. Pesticide Detection Using Liquid Chromatography–Tandem Mass Spectrometry (LC-MS/MS)
The vegetable samples were analyzed in triplicate for neonicotinoid/carbendazim and organophosphate pesticide residue levels (mg/kg). The samples were analyzed using high-pressure liquid chromatography coupled with mass spectrometry. A controlled flow of the mobile phase, a mixture of water and acetonitrile, carried the samples through a chromatographic column, where pesticide compounds were separated based on their interactions with the stationary phase [34,35]. After separation, the compounds were ionized via electrospray ionization (ESI) to generate charged ions, which were then fragmented and detected by the mass spectrometer.
2.6. Quality Control and Assurance
Strict quality control and quality assurance protocols were followed throughout the analytical process to guarantee the accuracy and reliability of the analytical results. All glassware used for sample extraction and cleanup underwent a meticulous cleaning procedure: initial washing with detergent and tap water, followed by rinsing with distilled water, thorough rinsing with analytical-grade acetone, and drying overnight in an oven at 150 °C. Once cooled, the glassware was stored in dust-free cabinets to prevent contamination.
The integrity of pesticide residue analysis was maintained through several validation steps. These included using solvent blanks and procedural matrix blanks and the analysis of samples in triplicate [36]. All reagents involved in the analysis were subjected to the same extraction protocols as the samples. Additionally, solvents were pre-screened during the analytical runtime to detect and eliminate potential interfering substances
2.7. Human Health Index Computation
To examine the extent of non-carcinogenic health risks of pesticide residue to consumers, a widely accepted human hazard index [30,37,38] was calculated based on an estimated daily intake (EDI) and target hazard quotient (THQ). The estimated daily intake (mg/kg/day) refers to the quantity of a particular pesticide residue that an individual ingests daily through various exposure pathways, such as consumption or inhalation, as shown in Equation (1).
where C stands for the concentration of pesticide residue in vegetables, EF is exposure frequency (days/year = 365), and ED is exposure duration (years = 30). AT is the averaging time (days) (ED × 365), while IR refers to the daily intake or ingestion rate (0.345 kg/day), with BW representing the body weight of adults (70 kg) and children (15 kg) [30,37,38].
The THQ determined the risk associated with individual contaminants expressed as the EDI over the reference dose (RfD), which is the maximum daily exposure without adverse effects [30,38].
The sum of the individual THQs gave the overall health risk index (HI). An HI > 1 denotes a potential adverse health effect from cumulative exposure [39,40]. The RfD values for neonicotinoid/carbendazim were as follows: ACT = 0.025, CTD = 0.009, TMX = 0.008, IMI = 0.06, and CBZ = 0.01. The RfD values for organophosphates were as follows: ACP = 0.02, AZL = 0.005, CHF = 0.003, DMT = 0.001, MON = 0.0006, PRC = 0.01, and CHL = 0.0003. Table 2 presents descriptions of pesticide residues and their human health effects.
Table 2.
Descriptions of pesticide residues and their human health effects.
A THQ of less than or equal to one implies a safe risk or low risk of adverse health effects, while 1 < THQ ≤ 10 implies a moderate risk of adverse health effects, and there is a high risk when the THQ > 10. The same applies to HI1 < 1, 1 < HI ≤ 10, and HI > 10. The cumulative probability of an individual developing cancer over a lifetime due to exposure to possible carcinogen-causing pesticide residues was estimated using the Cancer Risk Pathway (CRP) model, as expressed in Equation (5).
where CSF represents the cancer slope factor, which defines the risk of cancer per unit (mg/kg/day) exposure [52].
CRP = EDI × CSF
2.8. Statistical Analysis
Descriptive statistics, including percentages, means, and standard deviations, were used to analyze the data. The concentrations of individual pesticide residues were compared against the maximum residue level (MRL) thresholds set by the World Health Organization (WHO) and the European Union (EU). A composite pesticide residue variable was created by summing the individual concentrations to form a multiple-response variable.
Before statistical testing, the multiple-response variable’s normality and homogeneity of variance were assessed. Based on the results, non-parametric methods, including the Kruskal–Wallis test and Permutational Multivariate Analysis of Variance (PERMANOVA), were applied. The PERMANOVA, as recommended by Arbizu [53], is particularly suited for analyzing variance when multiple response variables are involved.
3. Results
3.1. Concentrations of Pesticide Residue in Vegetables Based on Land Surface Temperatures
Figure 2 presents the mean pesticide residue (PR) concentration as a multivariate response variable. The results show an increasing trend in PR concentration with rising land surface temperature. Lettuce samples recorded higher mean pesticide residue concentrations in both the moderate (0.47±) and high-temperature (0.39±) zones compared to the cabbage samples, which had lower mean concentrations (0.26± and 0.20±) in the same respective zones.
Figure 2.
The mean concentrations of composite pesticide residues by site and vegetable.
Figure 3a,b present the individual concentrations of elements in the multivariate pesticide residue in cabbage and lettuce. Individually, CTD, IMI, TMZ, and CBZ pose the highest health risks to consumers of cabbage and lettuce. At the lowest temperature gradient (Atomic farm site), the concentrations of CTD (0.09 ± 0.09) in lettuce, IMI (0.50 ± 1.04) in cabbage, and CBZ (0.28 ± 0.29±) in both vegetables exceeded the WHO/EU’s maximum residue levels. At the moderate temperature gradient (Ashaiman farm site), the IMI (cabbage = 0.08 ± 0.14, lettuce = 0.21 ± 0.63), CTD (cabbage = 0.74 ± 1.09), and CBZ (cabbage =1.17 ± 2.87, lettuce = 4.59 ± 7.53) residue levels exceeded the MRLs. At the highest temperature gradient (Korle Bu farm site), the exceedance of the MLRs was most prevalent for TMX (1.01 ± 1.69) and CTD (1.27 ± 3.77) in lettuce.

Figure 3.
(a) Pesticide residue concentrations in cabbage by location in rising order of land surface temperature. (b) Pesticide residue concentrations in lettuce by location in rising order of land surface temperature.
Most of the measured individual pesticide residue levels clustered around the mean (Figure 4a,b) with wide variation as opposed to the expected trend of increasing residue levels along land surface temperatures hypothesized by Ma et al. [23]. Furthermore, the results in Table 3 indicate that the concentration of organophosphate pesticide residues in both cabbage and lettuce was higher in areas with moderate (Ashaiman) to high (Korle Bu) land surface temperatures compared to areas with lower (Atomic) land surface temperatures.

Figure 4.
(a) Violin plots of the log-transformed distribution of pesticide residue in cabbage by location. (b) Violin plots of the log-transformed distribution of pesticide residue in lettuce by location.
Table 3.
Permanova results and pairwise comparison by site and composition of response variables.
The Shapiro–Wilk test showed a non-normal distribution of the data. In contrast, the Kruskal–Wallis rank sum test variance in the composite pesticide residue (mean_Concentration) by site and vegetable revealed an insignificant difference (Kruskal–Wallis chi-squared = 2.1189, df = 5, p-value = 0.8325). However, the PERMANOVA results (Table 3 and Table 4) revealed differences across sites and the composition of the response variable. The significance of the PERMANOVA results implies that the site (temperature gradient) has a meaningful effect on the mean concentration of pesticide residues.
Table 4.
Permanova results and pairwise comparison by vegetable and composition of response variables.
As shown in Table 3, the overall model’s F-statistic (1.9396, p-value 0.001) was statistically significant, meaning that site and pesticide type significantly influence the concentration of pesticide residues. The R² value of 0.0903 implies that site and pesticide type account for about 9.03% of the variation in the mean concentration of the pesticide residues.
In pairwise comparisons by site, none of the comparisons among the sites reveal significant differences (p > 0.05 in all cases). This indicates that the variation in the pesticide concentration is not predominantly influenced by the site alone; other factors, such as pesticide type, may exert a stronger effect. Several pairwise comparisons based on pesticide type show significant differences (p < 0.05), indicating that pesticide type significantly influences the data. Significant differences (p < 0.001) are found in comparisons of ACT vs. TMX < ACT vs. CHL < ACT vs. ACP < ACT vs. CHF < ACT vs. DMT < ACT vs. PRC, suggesting strong dissimilarities between these pesticide treatments.
Table 4 shows the results of the PERMANOVA test regarding differences in the mean concentration across vegetables and the composition of multiple pesticide residue (PR) variables. The R² value (0.0812) indicates that 8.12% of the variation in the model of the mean PR is explained by either the two vegetable types or the composition of the PR. The F-value (2.6751) indicates a strong model effect, with a highly significant p-value (0.001), confirming that the type of vegetable and composition of pesticide residues significantly affect the mean PR. The significant pesticide comparisons (p < 0.001) were ACT vs. CTD < ACT vs. TMX < ACT vs. CHL < ACT vs. ACP < ACT vs. CHF < CTD vs. TMX < CTD vs. CHL < CBZ vs. PRC < ACT vs. DMT < ACT vs. PRC < IMI vs. PRC < IMI vs. CHL. These comparisons suggest a strong compositional shift between these pesticides. However, there was no significant difference (p = 0.505) between cabbage and lettuce, meaning their impact on the mean PR concentration was similar.
3.2. Assessment of Public Health Risks of Pesticide Residues
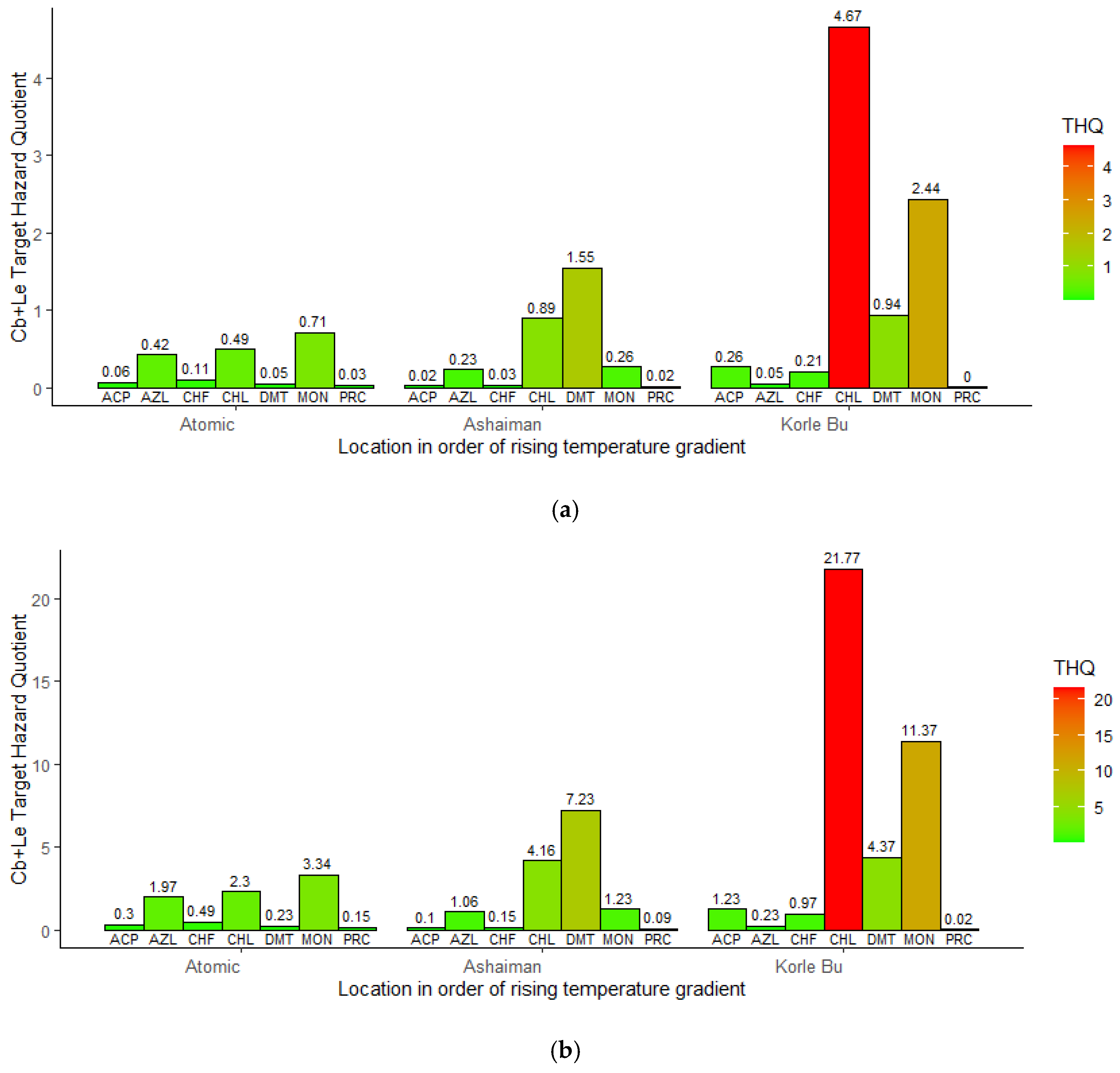
An assessment of the public health risks of pesticide residues revealed that a few pose a potential health risk to consumers (adults and children). The toxicity hazard quotient (THQ) revealed rising risks for adults (Figure 5a) and children (Figure 5b) exposed to organophosphates along rising land surface temperatures. The risk of exposure was higher for children than for adults. The estimated THQ for children (Figure 5b) in the areas with moderate (MON = 1.23; CHL = 4.16; DMT = 7.23) and high (ACP = 1.23; DMT= 4.37) temperature was more than one but less than ten, indicating a moderate risk of adverse health effects. At the high-temperature zone, the risk of exposure to MON (11.44) and CHL (21.77) was greater than 10, meaning there is a high risk of adverse health effects for children (Figure 5b). In contrast, adults (Figure 5a) showed a moderate risk of adverse health effects of exposure to MON (2.44) and CHL (4.67).
Figure 5.
(a) Estimated adult target hazard quotient (THQ) of organophosphates in cabbage and lettuce (Cb + Le) by location. (b) Estimated child target hazard quotient (THQ) of organophosphates in cabbage and lettuce (Cb + Le) by location.
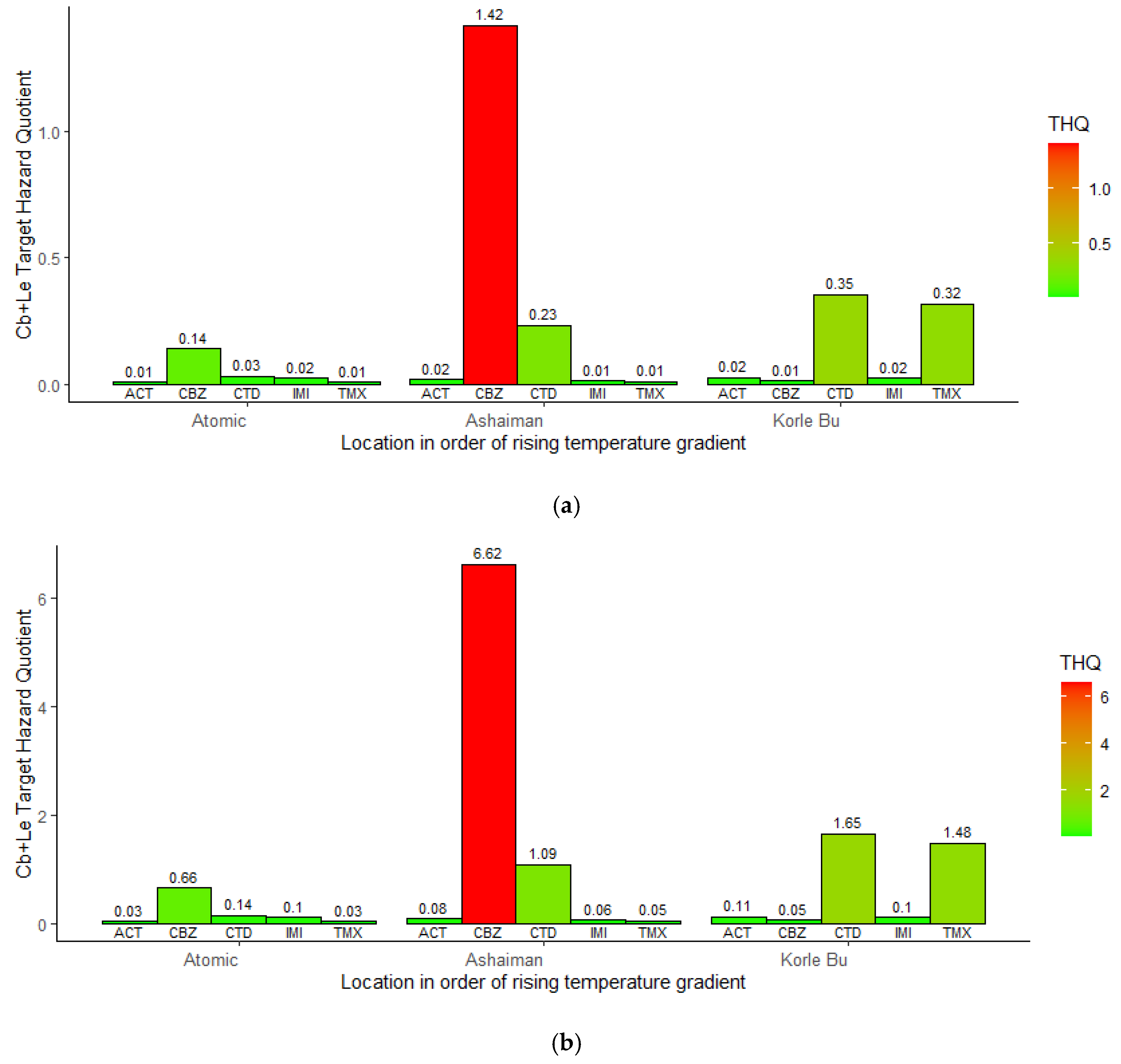
The estimated THQ for neonicotinoids/carbendazim pesticide residues in vegetables for adults (Figure 6a) and children (Figure 6b) was higher at moderate and high temperatures compared to the low temperature gradient. However, the risk of exposure was moderate (THQ (1 < THQ ≤ 10) for both adults (CBZ and CTD) and children (CBZ and CTD, TMX). The same applies to the child THQ at moderate (CTD = 1.09 and CBZ = 6.62) and high (CTD = 1.65 and TMX = 1.48) land surface temperatures. These results suggest a higher risk of adverse effects with increasing or high land surface temperatures. However, CBZ posed the most significant risk to adults and children at the moderate temperature gradient.
Figure 6.
(a) Estimated adult target hazard quotient (THQ) of neonicotinoid/carbendazim in cabbage and lettuce (Cb + Le) by location. (b) Estimated child target hazard quotient (THQ) of neonicotinoid/carbendazim in cabbage and lettuce (Cb + Le) by location.
Generally, Figure 7 shows an increasing organophosphate hazard index for children (Figure 7a) and adults (Figure 7b) as temperatures and vegetable consumption increase. However, the cabbage trend exhibits an upward and downward HI trend. This implies that the risk is higher for lettuce than for cabbage along rising land surface temperatures.
Figure 7.
(a) Estimated neonicotinoid/carbendazim hazard index for children by location and vegetable. (b) Estimated neonicotinoid/carbendazim hazard index for adults by location and vegetable.
Figure 8 shows an organophosphate hazard index for both children (Figure 8a) and adults (Figure 8b) across a temperature gradient and vegetables (cabbage and lettuce). The high temperature gradient (Korle Bu farm Site) had the highest risk of adverse health effects (HI > 10). In contrast, the moderate to low land surface temperatures fell within a moderate (1 < HI ≤ 10) hazard index. Essentially, these results imply that the higher the temperature gradient (Korle Bu farm Site), the higher the risk of adverse health effects of organophosphate exposure through cabbage and lettuce for adults and children in the study area (GAMA). The same trend was observed for the combined (aggregate) organophosphate and neonicotinoid/carbendazim hazard index for (a) adults and (b) children (Figure 9).
Figure 8.
(a) Estimated organophosphate hazard index for children by location and vegetable. (b) Estimated organophosphate hazard index for adults by location and vegetable.
Figure 9.
Combined organophosphate and neonicotinoid/carbendazim hazard index for (a) adults and (b) children across rising urban land surface temperatures.
The overall hazard index (HI) for both adults and children in all the vegetable samples significantly exceeded the safety threshold (HI > 1), indicating potential severe health risks for individuals who consume these vegetables. Lettuce posed the highest risk compared to cabbage, suggesting that different vegetables have varying capacities for pesticide accumulation. Generally, the HI varied across sampling sites, showing an increasing trend of bioaccumulation with rising temperatures, particularly in lettuce. Vegetable samples from Korle-Bu had the highest HI, followed by Ashaiman and Atomic. This suggests that Korle-Bu had the highest pesticide contamination, which may pose a greater health risk to consumers in that area.
4. Discussion
According to Ma et al. [23], climate warming will increase crop pests and cause the intensive use of pesticides, pesticide resistance, and possible bioaccumulation in food crops. The present study reveals that individual pesticide residues vary across land surface temperatures. However, the cumulative concentration of the pesticide residues estimated by the target hazard quotient (THQ) and hazard index (HI) showed that a high urban temperature influences the accumulation of pesticide residues in lettuce more than cabbage, with significant public health implications for children compared to adults. The cumulative concentration of pesticide residues tends to increase along land surface temperature, particularly in lettuce compared to cabbage. This could be attributed to increased crop pests in warmer land surface areas, resulting in the intensive use of pesticides, subsequent pesticide resistance, and hence higher accumulation [23]. Individual concentrations of specific pesticide residues, such as CTD, IMI, ACP, TMX, CHF, and CBZ, exceed the WHO/EU’s maximum residue limits (MRLs), posing the highest human health risks to children compared to adults.
The Permanova analysis confirmed that while the land surface temperature of farm sites alone did not significantly influence the mean pesticide residue concentration, the composition of pesticide residues played a critical role in determining the overall contamination levels. The target hazard quotient (THQ) and hazard index (HI) assessments further revealed that children are at a higher risk of adverse health effects than adults, particularly in the high-temperature zone, where the composite concentration was the highest. This finding aligns with other research conducted by Gad Alla et al. [54] and Lozowicka et al. [55], indicating that children are more vulnerable to pesticide exposure. Although the high HI values estimated in the current study contradict those of Sharma et al. [22], the values affirm their assertion that children are more at risk than adults. The current findings reiterate the evidence presented by Lozowicka et al. [55] and Gad Alla et al. [54] concerning the long and short-term risks of excess pesticide residues in vegetables, which pose potential health risks to children and adults. The common pesticides detected by Lozowicka et al. [55] include organophosphates, methamidophos, carbamates, and methomyl. These reports and the findings of the current study demonstrate a need for stricter pesticide regulations and effective control programs to reduce pesticide residues to protect public health, primarily vulnerable populations like children in high-temperature zones.
In addition, the current findings align with the reports by Bloomfield et al. [24], Ma et al. [23], and Xi et al. [9], which indicate that pesticide residue accumulates in vegetables cultivated in warmer climates. Furthermore, the current study confirms the reports of Bloomfield et al. [24] and Ma et al. [23] showing that warmer temperatures delay the biodegradation of pesticide residues and facilitate bioaccumulation in tropical vegetables, often exceeding MRLs. The exceedance of the MRLs of CBZ, CTD, and TMX in moderate to high land surface temperature zones corroborates Quansah et al.’s [14] and Bempah et al.’s [2] reports of high levels of pesticide residues in Ghanaian vegetables, attributing this to excessive pesticide use, the use of groundwater, and inadequate regulation. The findings of the current study also support the findings of Struciński et al. [56], who demonstrated that organophosphates and carbamates are the most frequently detected pesticide residues in tropical vegetables in Poland, often exceeding regulatory thresholds. Additionally, the significant health risks associated with high pesticide concentrations in high land surface temperatures corroborate the research by Rhodes et al. [57], which showed that elevated temperatures exacerbate pesticide persistence and crop accumulation.
The current study aligns with other studies emphasizing the long-term health risks posed by vegetable pesticide residues. It confirms the findings of Shalaby et al. [58], who found that 63.1% of vegetable samples in Dakahlia, Egypt, contained pesticide residues, with HI (>1) values reaching up to 64% of the acceptable daily intake, highlighting the need for strict regulation [58]. Similarly, the study corroborates Yu et al.’s [59] reports that 23.4% of vegetable samples in Changchun, China, exceeded MRLs, with high contamination in leafy vegetables such as green onions and radishes. The current study also conforms to Lozowicka et al. [55], who reported that pesticide residues in vegetables posed a greater risk to children, with diazinon in lettuce and dieldrin in carrots contributing significantly to high HI values [55].
Beyond tropical settings, the present results affirm other studies in temperate regions, such as those by Leal Filho et al. [60] and Ulpiani [61], who demonstrated that urban heat islands can intensify the accumulation of contaminants. However, the HI values in temperate climates tend to be lower than those observed in tropical environments. These comparative insights highlight the unique vulnerability of urban tropical agriculture to pesticide-related health risks.
Although the present study did not compute carcinogenic health risks, several pesticides analyzed, including carbendazim (CBZ), Dimethoate (DMT), Chlorpyrifos (CHL), Prochloraz (PRC), Thiamethoxam (TMX), Acephate (ACP), and Chlorfenvinphos (CHF), have been classified as potential carcinogens by various regulatory authorities. According to Beyuo et al. [5], carbendazim (CBZ) is a well-known fungicide that causes liver and thyroid tumors
Carbendazim (CBZ), a widely used fungicide, has been identified as a probable carcinogen by the European Chemicals Agency (ECHA) due to its ability to interact with DNA and induce liver damage [48,62]. Similarly, Dimethoate (DMT), an organophosphate insecticide, has been linked to oxidative stress and an increased risk of non-Hodgkin’s lymphoma (NHL), leading the U.S. Environmental Protection Agency (EPA) to classify it as a likely carcinogen [63].
Chlorpyrifos (CHL), another organophosphate, has been associated with DNA damage and an elevated risk of childhood leukemia, leading it to receive a suggestive carcinogen classification according to the USEPA [62,64]. Prochloraz (PRC), a fungicide known for its endocrine-disrupting properties, has been recognized by the European Union (EU) as a potential carcinogen, particularly due to its metabolic disruption in animal studies [65].
Thiamethoxam (TMX), a neonicotinoid insecticide, has shown evidence of liver tumor formation in mice, leading to its classification as a likely carcinogen by the EPA [63]. Similarly, Acephate (ACP), an organophosphate insecticide, has been categorized as a possible carcinogen due to observed DNA damage, though available studies remain limited. Chlorfenvinphos (CHF), another organophosphate, has also been classified as a probable carcinogen by the US EPA, although its risk is somewhat mitigated by its restricted use and regulatory bans in several regions.
These findings highlight the potential human health risks associated with exposure to these pesticides, whether through food, water, or air. Given their widespread use, further research and regulatory scrutiny are essential to better understand their long-term health effects and to mitigate associated risks.
5. Conclusions
This study provides evidence that elevated urban temperatures in the Greater Accra Metropolitan Area (GAMA) are associated with higher concentrations of pesticide residues (PR) in cabbage and lettuce, which may pose increased public health risks, particularly for children. By analyzing both individual and multivariate pesticide concentrations alongside target hazard quotients (THQs) and hazard indices (HIs), the study offers important insights into the relationship between temperature variations and pesticide residue levels in commonly produced and consumed vegetables in cities.
This finding indicates that pesticide composition has significant influences on residue levels and spatial patterns, with statistically significant differences observed across farm sites with varying land surface temperatures. The results identify clear spatial trends in residue accumulation due to rising urban temperatures and associated health risks. Thus, we accept the research hypothesis that higher urban surface temperatures in the GAMA will lead to increased pesticide residues in cabbage and lettuce, posing public health risks to consumers. The most significant mean differences in pesticide residue concentration (p < 0.05) were observed in the following order: ACT vs. TMX < ACT vs. CHL < ACT vs. ACP < ACT vs. CHF < ACT vs. DMT < ACT vs. PRC. This indicates strong dissimilarities in pesticide accumulation across different sites. Additionally, significant compositional differences were found among specific pesticide combinations, including ACT vs. CTD, ACT vs. TMX, ACT vs. CHL, ACT vs. ACP, ACT vs. CHF, CTD vs. TMX, CTD vs. CHL, CBZ vs. PRC, ACT vs. DMT, ACT vs. PRC, and IMI vs. PRC. These findings highlight the nuanced compositional effects of pesticide residues and their interactions in agricultural environments.
Overall, the combined effects of individual pesticide residues had a critical influence on human health risk indices (THQ and HI), with children facing greater adverse health effects compared to adults. The evidence of increased pesticide residues in high-temperature zones underscores the urgent need for regulatory intervention. Authorities such as the Ministry of Food and Agriculture (MoFA), the Food and Drug Authority, and the Environmental Protection Agency should enforce stricter pesticide usage guidelines, particularly in urban farming areas, to mitigate health risks. Farmers should be encouraged to adopt Integrated Crop Pest Management (ICPM) strategies to reduce dependency on chemical pesticides, especially in warmer climates. Additionally, regular monitoring programs should be implemented to track pesticide residue levels and ensure compliance with safety standards. Public awareness campaigns should also be promoted to educate consumers on safe vegetable consumption practices, including thorough washing and the consideration of organic alternatives.
Limitations and Future Research
While this study provides valuable insights, it is limited by the focus on specific vegetables and geographical areas (spatial extent). Future research should explore a broader range of spatial extents and vegetables through longitudinal studies to assess the long-term effects of pesticide exposure in varying climatic conditions [24]. Additionally, investigating alternative farming practices and mitigation strategies will be essential for reducing pesticide-related health risks associated with high temperatures in urban agricultural settings.
Author Contributions
Conceptualization, J.K., B.Y.F.-M. and B.D.O.; methodology, J.K., B.Y.F.-M., B.D.O. and E.K.D.; software J.K. and E.K.D.; validation, J.K., E.K.D., B.Y.F.-M., B.D.O. and M.A.S.K.; formal analysis, J.K., B.Y.F.-M., E.K.D., B.D.O. and M.A.S.K.; investigation, J.K., E.K.D. and M.A.S.K.; formal analysis, J.K., B.Y.F.-M., E.K.D. and B.D.O.; resources, C.G. and B.Y.F.-M.; data curation, J.K., B.Y.F.-M., E.K.D., B.D.O. and M.A.S.K.; writing—original draft preparation, J.K. and E.K.D.; writing, J.K., E.K.D., B.Y.F.-M., B.D.O., E.B., D.L.L. and S.D.D.P.D.; writing—review and editing, J.K., E.K.D., B.Y.F.-M., B.D.O., M.A.S.K., E.B., D.L.L., S.D.D.P.D. and C.G.; supervision, B.Y.F.-M. and B.D.O. All authors have read and agreed to the published version of the manuscript.
Funding
This research was supported by the CASCADE (Cascading Climate and Health Risks in Cities) project, which is funded by the Science for Africa Foundation (SAF).
Institutional Review Board Statement
Not applicable.
Informed Consent Statement
Not applicable.
Data Availability Statement
The original contributions presented in this study are included in the article. Further inquiries can be directed to the corresponding author.
Acknowledgments
The authors thank the farmers from the various sampling locations within GAMA. The authors also thank the Cascade Research Group for funding this research work.
Conflicts of Interest
The authors declare that they have no conflicts of interest.
References
- Belitz, H.D.; Grosch, W.; Schieberle, P. Food Chemistry, Food Chemistry; Springer: Berlin/Heidelberg, Germany, 2009. [Google Scholar] [CrossRef]
- Boahen, E.; Fosu-mensah, B.Y.; Koranteng, S.S.; Darko, D.A.; Obuobi, G.; Mensah, M. Potentially Toxic Elements’ Accumulation and Health Risk of Consuming Vegetables Cultivated along the Accra-Tema Motorway. J. Chem. 2024, 2024, 6438563. [Google Scholar] [CrossRef]
- Cowan, J.S. Vegetables—Definition Webster’s Definition of “Vegetable” Vegetables—Definition Vegetables—Other Features Macronutrients: Micronutrients; Elsevier: London, UK, 2018; pp. 1–37. [Google Scholar]
- Ramya, V.; Patel, P. Health benefits of vegetables. Int. J. Chem. Stud. 2019, 7, 82–87. [Google Scholar]
- Beyuo, J.; Sackey, L.N.A.; Yeboah, C.; Kayoung, P.Y.; Koudadje, D. The implications of pesticide residue in food crops on human health: A critical review. Discov. Agric. 2024, 2, 123. [Google Scholar] [CrossRef]
- Machekano, H.; Masamba, W.; Mvumi, B.M.; Nyamukondiwa, C. Cabbage or ‘pesticide’ on the platter? Chemical analysis reveals multiple and excessive residues in African vegetable markets. Int. J. Food Contam. 2019, 6, 2. [Google Scholar] [CrossRef]
- Bouchard, L.; Leis, A.; Lorenzo, P. The Impact of Weather Variability and Climate Change on pesticides applications in the US—An empirical investigation. Glob. Health Promot. 2014, 21, 64–81. [Google Scholar]
- Gbedemah, S.F.; Attasse, G.A.; Hosu-Porbley, G.S.; Kusi Frimpong, L.; Amfo-Otu, R.; Adanu, S.K.; Doe, E.K. Analysis of heavy metals and pathogen levels in vegetables cultivated using selected water bodies in urban areas of the Greater Accra Metropolis of Ghana. Heliyon 2024, 10, e27924. [Google Scholar] [CrossRef]
- Xi, N.; Xia, X.; Li, Y. Climate warming inhibits neonicotinoid photodegradation on vegetable leaves: Important role of the olefin group in leaf wax. Sci. Total Environ. 2023, 882, 163399. [Google Scholar] [CrossRef]
- Gyimah, R.R.; Kwang, C.; Antwi, R.A.; Morgan Attua, E.; Owusu, A.B.; Doe, E.K. Trading greens for heated surfaces: Land surface temperature and perceived health risk in Greater Accra Metropolitan Area, Ghana. Egypt. J. Remote Sens. Space Sci. 2023, 26, 861–880. [Google Scholar] [CrossRef]
- UN-DESA. World Urbanization Prospects: The 2018 Revision, Demographic Research; United Nations Secretariat: New York, NY, USA, 2018. [Google Scholar]
- Skendžić, S.; Zovko, M.; Živković, I.P.; Lešić, V.; Lemić, D. The Impact of Climate Change on Agricultural Insect Pests. Insects 2021, 12, 440. [Google Scholar] [CrossRef]
- Atitsogbey, P.; Kyereh, E.; Ofori, H.; Johnson, P.T.; Steiner-asiedu, M. Heliyon Heavy metal, microbial and pesticides residue contaminations are limiting the potential consumption of green leafy vegetables in Ghana: An overview. Heliyon 2023, 9, e15466. [Google Scholar] [CrossRef]
- Quansah, J.K.; Saalia, F.K.; Chen, J. Pesticides residues in leafy green vegetables and irrigation waters in Accra, Ghana. Food Addit. Contam. Part B 2024, 17, 129–136. [Google Scholar] [CrossRef] [PubMed]
- Wan, B.; Zhou, E.; Xiao, P.; Sun, X.; Yang, J. Pesticide overuse in vegetable production: A case study of urban agriculture in city x, China. Environ. Res. Commun. 2023, 5, 085012. [Google Scholar] [CrossRef]
- Dankyi, E.; Gordon, C.; Carboo, D.; Fomsgaard, I.S. Quantification of neonicotinoid insecticide residues in soils from cocoa plantations using a QuEChERS extraction procedure and LC-MS/MS. Sci. Total Environ. 2014, 499, 276–283. [Google Scholar] [CrossRef] [PubMed]
- Nishant, N.; Upadhyay, R. Presence of pesticide residue in vegetable crops: A review. Agric. Rev. 2016, 37, 173–185. [Google Scholar] [CrossRef]
- Santarelli, G.A.; Migliorati, G.; Pomilio, F.; Marfoglia, C.; Centorame, P.; D’Agostino, A.; D’Aurelio, R.; Scarpone, R.; Battistelli, N.; Di Simone, F.; et al. Assessment of pesticide residues and microbial contamination in raw leafy green vegetables marketed in Italy. Food Control 2018, 85, 350–358. [Google Scholar] [CrossRef]
- Tudi, M.; Li Hairong Li Hongying Wang, L.; Lyu, J.; Yang, L.; Tong, S.; Yu, Q.J.; Ruan, H.D.; Atabila, A.; Phung, D.T.; Sadler, R.; et al. Exposure Routes and Health Risks Associated with Pesticide Application. Toxics 2022, 10, 335. [Google Scholar] [CrossRef]
- Mohamed, A.H.; Grazia, C.; Malorgio, G. Food safety standards and international supply chain organization: A case study of the moroccan fruit and vegetable exports. Food Control 2015, 55, 190–199. [Google Scholar] [CrossRef]
- Omari, R.; Frempong, G. Food safety concerns of fast food consumers in urban Ghana. Appetite 2016, 98, 49–54. [Google Scholar] [CrossRef]
- Sharma, N.; Kumar, A.; Singh, S.; Kumar, S.; Joshi, R. Multi-residue determination of pesticides in vegetables and assessment of human health risks in Western Himalayan region of India. Environ. Monit. Assess. 2022, 194, 332. [Google Scholar] [CrossRef]
- Ma, C.-S.; Zhang, W.; Peng, Y.; Zhao, F.; Chang, X.-Q.; Xing, K.; Zhu, L.; Ma, G.; Yang, H.-P.; Rudolf, V.H.W. Climate warming promotes pesticide resistance through expanding overwintering range of a global pest. Nat. Commun. 2021, 12, 5351. [Google Scholar] [CrossRef]
- Bloomfield, J.P.; Williams, R.J.; Gooddy, D.C.; Cape, J.N.; Guha, P. Impacts of climate change on the fate and behaviour of pesticides in surface and groundwater—A UK perspective. Sci. Total Environ. 2006, 369, 163–177. [Google Scholar] [CrossRef] [PubMed]
- Ghana Statistical Service. Ghana 2021 Population and Housing Census, Poulation of Regions and Districts; Ghana Statistical Service: Accra, Ghana, 2021. [Google Scholar]
- Wemegah, C.S.; Yamba, E.I.; Aryee, J.N.A.; Sam, F.; Amekudzi, L.K. Assessment of urban heat island warming in the greater accra region. Sci. Afr. 2020, 8, e00426. [Google Scholar] [CrossRef]
- Bonsu, K.; Bonin, O. Assessing landscape fragmentation and its implications for biodiversity conservation in the Greater Accra Metropolitan Area (GAMA) of Ghana. Discov. Environ. 2023, 1, 22. [Google Scholar] [CrossRef]
- Lente, I.; Ofosu-Anim, J.; Brimah, A.K.; Atiemo, S. Heavy metal pollution of vegetable crops irrigated with wastewater in Accra, Ghana. West Afr. J. Appl. Ecol. 2014, 22. [Google Scholar]
- Cunha, S.C.; Lehotay, S.J.; Mastovska, K.; Fernandes, J.O.; Beatriz, M.; Oliveira, P.P. Evaluation of the QuEChERS sample preparation approach for the analysis of pesticide residues in olives. J. Sep. Sci. 2007, 30, 620–632. [Google Scholar] [CrossRef]
- Kelle, H.I.; Oluade, O.A.; Achem, D. Human Health Risk Assessment of Pesticide Residues in Solanum lycopersicum Fruit Sold in Lagos Metropolis, South-West Nigeria. Commun. Phys. Sci. 2020, 2020, 533–543. [Google Scholar]
- Lehotay, S.J.; O’Neil, M.; Tully, J.; García, A.V.; Contreras, M.; Mol, H.; Heinke, V.; Anspach, T.; Lach, G.; Fussell, R.; et al. Determination of Pesticide Residues in Foods by Acetonitrile Extraction and Partitioning with Magnesium Sulfate: Collaborative Study. J. AOAC Int. 2007, 90, 485–520. [Google Scholar] [CrossRef]
- Deveci, B.; Golge, O.; Kabak, B. Quantification of 363 Pesticides in Leafy Vegetables (Dill, Rocket and Parsley) in the Turkey Market by Using QuEChERS with LC-MS/MS and GC-MS/MS. Foods 2023, 12, 1034. [Google Scholar] [CrossRef]
- Jallow, M.F.A.; Awadh, D.G.; Albaho, M.S.; Devi, V.Y.; Ahmad, N. Monitoring of pesticide residues in commonly used fruits and vegetables in Kuwait. Int. J. Environ. Res. Public Health 2017, 14, 833. [Google Scholar] [CrossRef]
- Verdini, E.; Pacini, T.; Orsini, S.; Sdogati, S.; Pecorelli, I. Chromatographic Comparison of Commercially Available Columns for Liquid Chromatography in Polar Pesticide Detection and Quantification Using a Score-Based Methodology. Foods 2024, 13, 3131. [Google Scholar] [CrossRef]
- Yuan, X.; Kim, C.J.; Lee, R.; Kim, M.; Shin, H.J.; Kim, L.; Jeong, W.T.; Shin, Y.; Kyung, K.S.; Noh, H.H. Validation of a Multi-Residue Analysis Method for 287 Pesticides in Citrus Fruits Mandarin Orange and Grapefruit Using Liquid Chromatography–Tandem Mass Spectrometry. Foods 2022, 11, 3522. [Google Scholar] [CrossRef] [PubMed]
- Okoffo, E.D.; Fosu-Mensah, B.Y.; Gordon, C. Persistent organochlorine pesticide residues in cocoa beans from Ghana, a concern for public health. Int. J. Food Contam. 2016, 3, 5. [Google Scholar] [CrossRef]
- USEPA. Human Health Risk Assessment Protocol. In Chapter 6: Quantifying Exposure, Multimedia Planning and Permitting Division, Office of Solid Waste, Center for Combustion Science and Engineering; 2005. Available online: https://archive.epa.gov/epawaste/hazard/tsd/td/web/pdf/05hhrap6.pdf (accessed on 27 April 2020).
- United States Environmental Protection Agency. Supplementary Guidance for Conducting Health Risk Assessment of Chemical Mixtures; Risk Assessment Forum Technical Panel [EPA/630/R-00/002]; United Environmental Protection Agency States: Washington, DC, USA, 2000. [Google Scholar]
- Callahan, M.A.; Sexton, K. If cumulative risk assessment is the answer, what is the question? Environ. Health Perspect. 2007, 115, 799–806. [Google Scholar] [CrossRef] [PubMed]
- Reyes, J.M.; Price, P.S. An analysis of cumulative risks based on biomonitoring data for six phthalates using the Maximum Cumulative Ratio. Environ. Int. 2018, 112, 77–84. [Google Scholar] [CrossRef]
- EPA U.S. Environmental Protection Agency (EPA). Pesticide Tolerances and Risk Assessments; U.S. EPA, Office of Pesticide Programs: Washington, DC, USA, 2021. Available online: https://www.epa.gov/pesticides (accessed on 18 March 2025).
- Minnesota Department of Health (MDH). MDH Health Risk Assessment Methods to Incorporate Human Equivalent Dose Calculations into Derivation of Oral Reference Doses; Originally published May 2011, revised 2017. Available online: https://www.health.state.mn.us/communities/environment/risk/docs/guidance/hedrefguide.pdf (accessed on 24 March 2024).
- Fuortes, L.J.; Ayebo, A.D.; Kross, B.C. Cholinesterase-inhibiting insecticide toxicity. Am. Fam. Physician 1993, 47, 1613–1620. [Google Scholar]
- Jennings, A.A.; Li, Z. Worldwide Regulatory Guidance Values Applied to Direct Contact Surface Soil Pesticide Contamination: Part I—Carcinogenic Pesticides. Air Soil Water Res. 2017, 10, 1178622117711930. [Google Scholar] [CrossRef]
- European Union (EU) Pesticides Database. Regulatory Framework for Pesticide Residues in Food: Maximum Residue Limits (MRLs); European Commission (EU): Brussels, Belgium, 2023; Available online: https://ec.europa.eu/food/plant/pesticides/eu-pesticides-database_en (accessed on 18 March 2025).
- FAO/WHO (Codex Alimentarius). Codex Pesticides Residues in Food and Feed; Food and Agriculture Organization & World Health Organization: Rome, Italy, 2021; Available online: https://www.fao.org/fao-who-codexalimentarius (accessed on 18 March 2025).
- European Food Safety Authority (EFSA). The 2022 European Union report on pesticide residues in food. EFSA J. 2022, 20, e07271. [Google Scholar] [CrossRef]
- European Food Safety Authority(EFSA). Statement on the assessment of quality of data available to EFSA to derive the health-based guidance values for carbendazim. EFSA J. 2024, 22, e8756. [Google Scholar] [CrossRef]
- Costa, L.G.; Giordano, G.; Guizzetti, M.; Vitalone, A. Neurotoxicity of pesticides: A brief review. Front. Biosci. J. Virtual Libr. 2008, 13, 1240–1249. [Google Scholar] [CrossRef]
- World Health Organization (WHO). The WHO Recommended Classification of Pesticides by Hazard and Guidelines to Classification 2019; WHO Press: Geneva, Switzerland, 2019; Available online: https://www.who.int/publications-detail/classification-of-pesticides-by-hazard (accessed on 18 March 2025).
- Stockholm Convention on Persistent Organic Pollutants (POPs). Chlordane and Other Persistent Organic Pollutants: Global Elimination Strategy; United Nations Environment Programme (UNEP): Nairobi, Kenya, 2017; Available online: https://chm.pops.int (accessed on 18 March 2025).
- Jang, S.; Shao, K.; Chiu, W.A. Beyond the cancer slope factor: Broad application of Bayesian and probabilistic approaches for cancer dose-response assessment. Environ. Int. 2023, 175, 107959. [Google Scholar] [CrossRef]
- Arbizu, M.P. pairwiseAdonis: Pairwise Multilevel Comparison Using Adonis, R Packag. version 0.4; GitHub, Inc.: San Francisco, CA, USA, 2020. [Google Scholar]
- Gad Alla, S.A.; Loutfy, N.M.; Shendy, A.H.; Ahmed, M.T. Hazard index, a tool for a long term risk assessment of pesticide residues in some commodities, a pilot study. Regul. Toxicol. Pharmacol. 2015, 73, 985–991. [Google Scholar] [CrossRef] [PubMed]
- Lozowicka, B.; Rutkowska, E.; Jankowska, M.; Hrynko, I.; Kaczynski, P. Toxicological evaluation of multi-class pesticide residues in vegetables and associated human health risk study for adults and children. Hum. Ecol. Risk Assess. 2016, 22, 1480–1505. [Google Scholar] [CrossRef]
- Struciński, P.; Ludwicki, J.K.; Góralczyk, K.; Czaja, K.; Hernik, A.; Liszewska, M. Risk assessment for pesticides’ MRL non-compliances in Poland in the years 2011–2015. Rocz. Państw. Zakł. Hig. 2015, 66, 309–317. [Google Scholar]
- Rhodes, L.A.; McCarl, B.A. An Analysis of Climate Impacts on Herbicide, Insecticide, and Fungicide Expenditures. Agronomy 2020, 10, 745. [Google Scholar] [CrossRef]
- Shalaby, S.E.M.; Abdou, G.Y.; El-Metwally, I.M.; Abou-Elella, G.M.A. Health risk assessment of pesticide residues in vegetables collected from Dakahlia, Egypt. J. Plant Prot. Res. 2021, 61, 254–264. [Google Scholar] [CrossRef]
- Yu, R.; Liu, J.S.; Wang, Q.C.; Liu, Q.; Wang, Y. Huan jing ke xue. Huanjing Kexue 2015, 36, 3486–3492. [Google Scholar]
- Leal Filho, W.; Echevarria Icaza, L.; Emanche, V.O.; Quasem Al-Amin, A. An Evidence-Based Review of Impacts, Strategies and Tools to Mitigate Urban Heat Islands. Int. J. Environ. Res. Public Health 2017, 14, 1600. [Google Scholar] [CrossRef]
- Ulpiani, G. On the linkage between urban heat island and urban pollution island: Three-decade literature review towards a conceptual framework. Sci. Total Environ. 2021, 751, 141727. [Google Scholar] [CrossRef]
- Abolaji, A.; Awogbindin, I.; Adedara, I.; Farombi, E. Insecticide chlorpyrifos and fungicide carbendazim, common food contaminants mixture, induce hepatic, renal, and splenic oxidative damage in female rats. Hum. Exp. Toxicol. 2017, 36, 483–493. [Google Scholar] [CrossRef]
- Cantor, K.P.; Weisenburger, D.D.; Pahwa, P.; Dosman, J.A.; McLaughlin, J.R.; Demers, P.A.; Harris, S.A. Insecticide use and risk of non-Hodgkin lymphoma subtypes: A subset meta-analysis of the North American Pooled Project. Int. J. Cancer 2020, 147, 3370–3383. [Google Scholar] [CrossRef]
- Palanikumar, L.; Kumaraguru, A.K.; Ramakritinan, C.M.; Anand, M. Toxicity, biochemical and clastogenic response of chlorpyrifos and its impact on aquatic organisms: A review. Int. J. Aquat. Biol. 2014, 1, 281–288. [Google Scholar]
- Küblbeck, J.; Niskanen, J.; Honkakoski, P. Metabolism-Disrupting Chemicals and the Constitutive Androstane Receptor CAR. Cells 2020, 9, 2306. [Google Scholar] [CrossRef] [PubMed]
Disclaimer/Publisher’s Note: The statements, opinions and data contained in all publications are solely those of the individual author(s) and contributor(s) and not of MDPI and/or the editor(s). MDPI and/or the editor(s) disclaim responsibility for any injury to people or property resulting from any ideas, methods, instructions or products referred to in the content. |
© 2025 by the authors. Licensee MDPI, Basel, Switzerland. This article is an open access article distributed under the terms and conditions of the Creative Commons Attribution (CC BY) license (https://creativecommons.org/licenses/by/4.0/).










