Research on Unmanned Vehicle Path Planning Based on the Fusion of an Improved Rapidly Exploring Random Tree Algorithm and an Improved Dynamic Window Approach Algorithm
Abstract
1. Introduction
2. Global Path Planning Based on Improved RRT Algorithm
2.1. Traditional RRT Algorithm
Principle of RRT Algorithm
2.2. Constraints
2.3. Improved RRT Algorithm
2.3.1. Target Point Bias Sampling Strategy
2.3.2. Collision Detection
2.3.3. Adaptive Step-Size Policy
2.3.4. Adaptive Radius Node Screening Strategy
2.3.5. Termination Guidelines Strategy
2.3.6. Greedy Strategy
2.4. Comparative Evaluation and Simulation Validation of the Enhanced RRT Method
3. Localized Path Planning Based on Improved DWA Algorithm
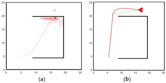
3.1. Dynamic Windowing Algorithm
Steps in the Dynamic Window Approach
- Velocity sampling.
- 2.
- Trajectory evaluation function.
- 3.
- Initial angle.
3.2. Improved Dynamic Window Approach Algorithm
3.2.1. Extraction of DWA Critical Nodes by Improved RRT Algorithm
3.2.2. Improvement of the Evaluation Function
3.2.3. Adaptive Weighting Improvement
3.3. Simulation Experimental Verification and Analysis of Improved DWA Algorithm
4. Simulation Experiment Verification and Analysis
4.1. Experimental Analysis of Static Simulation Scenarios
4.2. Analysis of Experimental Results of Static and Dynamic Fusion Simulation Scenarios
5. Conclusions
- (1)
- In this paper, the RRT algorithm is improved by introducing a goal-biased random sampling strategy, collision detection, adaptive step-size strategy, adaptive radius node screening strategy, termination criterion, and greedy strategy. The improved RRT algorithm can generate paths conforming to the vehicle motion constraints more efficiently and reduce the repeated search of explored regions, thus significantly improving the efficiency and safety of path planning.
- (2)
- Aiming at the problem of unreasonable path planning due to fixed weights in the DWA algorithm, this paper designs an adaptive evaluation function weighting method based on real-time obstacle distance. The optimized key nodes are used as temporary target points for local path planning to guide the local planning along the global path to realize fusion path planning.
- (3)
- In this paper, the effectiveness and performance advantages of the improved RRT and DWA fusion algorithm in unmanned vehicle path planning are verified by Matlab simulation. The simulation experiments cover several typical static scenarios and driving scenarios with a mixture of static and dynamic obstacles. The results show that the improved algorithm outperforms the traditional method and other improved algorithms in terms of the degree of path optimization, planning efficiency, and path smoothing and demonstrates higher safety, stability, and planning efficiency. The algorithm can effectively deal with complex environments containing temporary static obstacles and dynamic obstacles, which provides strong support for unmanned vehicle path planning applications.
Author Contributions
Funding
Data Availability Statement
Conflicts of Interest
References
- Wang, L.; Yang, X.; Chen, Z.; Wang, B. Application of the Improved Rapidly Exploring Random Tree Algorithm to an Insect-like Mobile Robot in a Narrow Environment. Biomimetics 2023, 8, 374. [Google Scholar] [CrossRef] [PubMed]
- Zhou, K.; Yu, L.; Long, Z.; Mo, S. Local Path Planning of Driverless Car Navigation Based on Jump Point Search Method under Urban Environment. Future Internet 2017, 9, 51. [Google Scholar] [CrossRef]
- Zhang, Q.; Li, R.; Sun, J.; Wei, L.; Huang, J.; Tan, Y. Dynamic 3D Point-Cloud-Driven Autonomous Hierarchical Path Planning for Quadruped Robots. Biomimetics 2024, 9, 259. [Google Scholar] [CrossRef] [PubMed]
- Wang, H.; Zhou, X.; Li, J.; Yang, Z.; Cao, L. Improved RRT* Algorithm for Disinfecting Robot Path Planning. Sensors 2024, 24, 1520. [Google Scholar] [CrossRef] [PubMed]
- Kabir, R.; Watanobe, Y.; Islam, M.R.; Naruse, K. Enhanced Robot Motion Block of A-Star Algorithm for Robotic Path Planning. Sensors 2024, 24, 1422. [Google Scholar] [CrossRef] [PubMed]
- Li, S.; Yoon, H.S. Enhancing Camera Calibration for Traffic Surveillance with an Integrated Approach of Genetic Algorithm and Particle Swarm Optimization. Sensors 2024, 24, 1456. [Google Scholar] [CrossRef] [PubMed]
- La, V.; Steven, M. Rapidly-exploring random trees: A new tool for path planning. Annu. Res. Rep. 1998. [Google Scholar]
- Karaman, S.; Frazzoli, E. Sampling-based algorithms for optimal motion planning. Int. J. Robot. Res. 2011, 30, 846–894. [Google Scholar] [CrossRef]
- Karaman, S.; Frazzoli, E. Optimal kinodynamic motion planning using incremental sampling-based methods. In Proceedings of the 49th IEEE Conference on Decision and Control (CDC), Atlanta, GA, USA, 15–17 December 2010; pp. 7681–7687. [Google Scholar] [CrossRef]
- Karaman, S.; Walter, M.R.; Perez, A.; Frazzoli, E.; Teller, S. Anytime Motion Planning using the RRT*. In Proceedings of the 2011 IEEE International Conference on Robotics and Automation, Shanghai, China, 9–13 May 2011; pp. 1478–1483. [Google Scholar] [CrossRef]
- Živojević, D.; Velagić, J. Path Planning for Mobile Robot using Dubins-curve based RRT Algorithm with Differential Constraints. In Proceedings of the 2019 International Symposium ELMAR, Zadar, Croatia, 23–25 September 2019; pp. 139–142. [Google Scholar] [CrossRef]
- Wu, X.; Guo, C.; Li, Y. Variable probability based bidirectional RRT algorithm for UAV path planning. In Proceedings of the 26th Chinese Control and Decision Conference (2014 CCDC), Changsha, China, 31 May–2 June 2014; pp. 2217–2222. [Google Scholar] [CrossRef]
- Han, X.; Zhao, W.; Chen, L.; Zheng, H.; Liu, Y.; Zong, C. A local path gauge estimation method for passenger cars based on region sampling random tree. J. Jilin Univ. (Eng. Ed.) 2019, 49, 1428–1440. [Google Scholar] [CrossRef]
- Suzuki, T.; Usami, R.; Maekawa, T. Automatic Two-Lane Path Generation for Autonomous Vehicles Using Quartic B-Spline Curves. IEEE Trans. Intell. Veh. 2018, 3, 547–558. [Google Scholar] [CrossRef]
- Chang, L.; Shan, L.; Dai, Y. Multi-robot Formation Control in Unknown Environment Based on Improved DWA. Control. Decis. 2022, 37, 2524–2534. [Google Scholar] [CrossRef]
- Hao, G.; Lv, Q.; Huang, Z.; Zhao, H.; Chen, W. UAV Path Planning Based on Improved Artificial Potential Field Method. Aerospace 2023, 10, 562. [Google Scholar] [CrossRef]
- Hong, C.; Park, C.W.; Kim, J.H. Evolutionary dual rule-based fuzzy path planner for omnidirectional mobile robot. In Proceedings of the 2016 IEEE International Conference on Fuzzy Systems (FUZZ-IEEE), Vancouver, BC, Canada, 24–29 July 2016; pp. 767–774. [Google Scholar] [CrossRef]
- Fox, D.; Burgard, W.; Thrun, S. The dynamic window approach to collision avoidance. IEEE Robot. Autom. Mag. 1997, 4, 23–33. [Google Scholar] [CrossRef]
- Karur, K.; Sharma, N.; Dharmatti, C.; Siegel, J.E. A Survey of Path Planning Algorithms for Mobile Robots. Vehicles 2021, 3, 448–468. [Google Scholar] [CrossRef]
- Xiao, S.; Yi, R.; Song, G.; Chao, C. Survey on technology of mobile robot path planning. Comput. Meas. Control. 2019, 27, 1–5+17. [Google Scholar]
- Zhang, Y.; Liu, Z.; Chang, L. A new adaptive artificial potential field and rolling window method for mobile robot path planning. In Proceedings of the 2017 29th Chinese Control And Decision Conference (CCDC), Chongqing, China, 28–30 May 2017; pp. 7144–7148. [Google Scholar] [CrossRef]
- Zhong, X.; Peng, X.F.; Zhou, J.; Huang, X. Mobile Robot Path Planning Based on Local Environment Modeling and Adaptive Window. Appl. Mech. Mater. 2011, 48, 679–683. [Google Scholar] [CrossRef]
- Chang, L.; Shan, L.; Jiang, C. Reinforcement based mobile robot path planning with improved dynamic window approach in unknown environment. Auton. Robot. 2021, 45, 51–76. [Google Scholar] [CrossRef]
- Wu, B.; Chi, X.; Zhao, C.; Zhang, W.; Lu, Y.; Jiang, D. Dynamic Path Planning for Forklift AGV Based on Smoothing A* and Improved DWA Hybrid Algorithm. Sensors 2022, 22, 7079. [Google Scholar] [CrossRef] [PubMed]
- Zhang, X.; Chen, X. Path Planning Method for Unmanned Surface Vehicle Based on RRT* and DWA. Lect. Notes Inst. Comput. Sci. Soc. Inform. Telecommun. Eng. 2021, 387, 518–527. [Google Scholar] [CrossRef]
- Jian, X.; Zou, T.; Vardy, A.; Bose, N. A Hybrid Path Planning Strategy of Autonomous Underwater Vehicles. In Proceedings of the 2020 IEEE/OES Autonomous Underwater Vehicles Symposium (AUV), St. Johns, NL, Canada, 30 September–2 October 2020; pp. 1–6. [Google Scholar] [CrossRef]
- Tramacere, E.; Luciani, S.; Feraco, S.; Bonfitto, A.; Amati, N. Processor-in-the-Loop Architecture Design and Experimental Validation for an Autonomous Racing Vehicle. Appl. Sci. 2021, 11, 7225. [Google Scholar] [CrossRef]
- Urmson, C.; Simmons, R. Approaches for heuristically biasing RRT growth. In Proceedings of the 2003 IEEE/RSJ International Conference on Intelligent Robots and Systems (IROS 2003), Las Vegas, NV, USA, 27–31 October 2003; Volume 2, pp. 1178–1183. [Google Scholar] [CrossRef]
- Wang, Z.; Shan, L.; Chang, L.; Qiu, B.; Qi, Z. Variable Sampling Domain and Map Compression Based on Greedy RRT Algorithm for Robot Path Planning. In Proceedings of the 2020 39th Chinese Control Conference (CCC), Shenyang, China, 27–29 July 2020; pp. 3915–3919. [Google Scholar] [CrossRef]
- Cui, Y.J.; Wang, Y.C.; He, Z. Global path planning for kiwifruit picking robot based on improved RRT algorithm. J. Agric. Mach. 2022, 53, 151–158. [Google Scholar] [CrossRef]
- Yan, X.; Ding, R.; Luo, Q.; Ju, C.; Wu, D. A Dynamic Path Planning Algorithm Based on the Improved DWA Algorithm. In Proceedings of the 2022 Global Reliability and Prognostics and Health Management (PHM-Yantai), Yantai, China, 13–16 October 2022; pp. 1–7. [Google Scholar] [CrossRef]
- Li, J.; Zhang, Z. AUV Local Path Planning Based on Fusion of Improved DWA and RRT Algorithms. In Proceedings of the 2023 IEEE International Conference on Mechatronics and Automation (ICMA), Harbin, China, 6–9 August 2023; pp. 935–941. [Google Scholar] [CrossRef]
























| Scenario | Algorithm | Path Length | Running Time | Number of Corners | Number of Iterations |
|---|---|---|---|---|---|
| Intersection | Conventional RRT | 21.94 m | 1.35 s | 35 | 1101 |
| RRT* | 19.44 m | 17.71 s | 3 | 2000 | |
| RRT-connect | 15.86 m | 2.72 s | 37 | 109 | |
| The algorithm in this paper | 12.63 m | 0.06 s | 0 | 97 |
| Scenario | Algorithm | Path Length | Running Time | Number of Corners | Number of Iterations |
|---|---|---|---|---|---|
| Parking lot | Conventional RRT | 86.46 m | 4.11 s | 86 | 2284 |
| RRT* | 69.73 m | 26.65 s | 4 | 2000 | |
| RRT-connect | 88.38 m | 33.41 s | 88 | 1937 | |
| The algorithm in this paper | 65.61 m | 0.32 s | 0 | 96 | |
| Roundabout | Conventional RRT | 18.81 m | 1.93 s | 22 | 1065 |
| RRT* | 16.78 m | 1.47 s | 3 | 2000 | |
| RRT-connect | 20.15 m | 2.29 s | 18 | 187 | |
| The algorithm in this paper | 16.12 m | 0.03 s | 0 | 53 | |
| Intersection | Conventional RRT | 19.39 m | 2.16 s | 42 | 198 |
| RRT* | 13.52 m | 4.96 s | 3 | 1500 | |
| RRT-connect | 17.76 m | 3.26 s | 16 | 121 | |
| The algorithm in this paper | 13.44 m | 0.07 s | 0 | 74 | |
| Lane change | Conventional RRT | 43.00 m | 0.44 s | 66 | 497 |
| RRT* | 26.32 m | 24.59 s | 3 | 2000 | |
| RRT-connect | 37.92 m | 9.58 s | 80 | 400 | |
| The algorithm in this paper | 26.29 m | 0.24 s | 0 | 253 |
| Scenario | Algorithm | Path Length | Running Time |
|---|---|---|---|
| Parking lot | Conventional RRT | 119.68 m | 36.86 s |
| Improved DWA | 125.40 m | 33.72 s | |
| The algorithm in this paper | 114.92 m | 23.31 s |
| Scenario | Algorithm | Path Length | Running Time |
|---|---|---|---|
| Roundabout | Conventional RRT | Slip into local optimality | |
| Improved DWA | 23.48 m | 15.98 s | |
| The algorithm in this paper | 19.3 m | 11.57 s | |
| Scenario | Algorithm | Path Length | Running Time |
|---|---|---|---|
| Intersection | Conventional RRT | 39.52 m | 36.23 s |
| Improved DWA | 19.73 m | 27.73 s | |
| The algorithm in this paper | 13.14 m | 10.96 s |
| Scenario | Algorithm | Path Length | Running Time |
|---|---|---|---|
| Lane change | Conventional RRT | Slip into local optimality | |
| Improved DWA | 42.78 m | 35.47 s | |
| The algorithm in this paper | 27.02 m | 16.25 s | |
Disclaimer/Publisher’s Note: The statements, opinions and data contained in all publications are solely those of the individual author(s) and contributor(s) and not of MDPI and/or the editor(s). MDPI and/or the editor(s) disclaim responsibility for any injury to people or property resulting from any ideas, methods, instructions or products referred to in the content. |
© 2024 by the authors. Licensee MDPI, Basel, Switzerland. This article is an open access article distributed under the terms and conditions of the Creative Commons Attribution (CC BY) license (https://creativecommons.org/licenses/by/4.0/).
Share and Cite
Wang, S.; Li, G.; Liu, B. Research on Unmanned Vehicle Path Planning Based on the Fusion of an Improved Rapidly Exploring Random Tree Algorithm and an Improved Dynamic Window Approach Algorithm. World Electr. Veh. J. 2024, 15, 292. https://doi.org/10.3390/wevj15070292
Wang S, Li G, Liu B. Research on Unmanned Vehicle Path Planning Based on the Fusion of an Improved Rapidly Exploring Random Tree Algorithm and an Improved Dynamic Window Approach Algorithm. World Electric Vehicle Journal. 2024; 15(7):292. https://doi.org/10.3390/wevj15070292
Chicago/Turabian StyleWang, Shuang, Gang Li, and Boju Liu. 2024. "Research on Unmanned Vehicle Path Planning Based on the Fusion of an Improved Rapidly Exploring Random Tree Algorithm and an Improved Dynamic Window Approach Algorithm" World Electric Vehicle Journal 15, no. 7: 292. https://doi.org/10.3390/wevj15070292
APA StyleWang, S., Li, G., & Liu, B. (2024). Research on Unmanned Vehicle Path Planning Based on the Fusion of an Improved Rapidly Exploring Random Tree Algorithm and an Improved Dynamic Window Approach Algorithm. World Electric Vehicle Journal, 15(7), 292. https://doi.org/10.3390/wevj15070292

