Next Article in Journal
Research on Unmanned Vehicle Path Planning Based on the Fusion of an Improved Rapidly Exploring Random Tree Algorithm and an Improved Dynamic Window Approach Algorithm
Previous Article in Journal
A Review of Key Technologies for Environment Sensing in Driverless Vehicles
 
 
Font Type:
Arial Georgia Verdana
Font Size:
Aa Aa Aa
Line Spacing:
Column Width:
Background:
Article

Parametric Correlation Analysis between Equivalent Electric Circuit Model and Mechanistic Model Interpretation for Battery Internal Aging

by
Humberto Velasco-Arellano
1,†,
Néstor Castillo-Magallanes
2,†,
Nancy Visairo-Cruz
1,*,†,
Ciro Alberto Núñez-Gutiérrez
1,† and
Isabel Lázaro
2,†
1
Facultad de Ingeniería, Universidad Autónoma de San Luis Potosí, San Luis Potosí 78290, Mexico
2
Instituto de Metalurgia, Universidad Autónoma de San Luis Potosí, San Luis Potosí 78290, Mexico
*
Author to whom correspondence should be addressed.
These authors contributed equally to this work.
World Electr. Veh. J. 2024, 15(7), 291; https://doi.org/10.3390/wevj15070291
Submission received: 1 May 2024 / Revised: 21 June 2024 / Accepted: 26 June 2024 / Published: 29 June 2024
(This article belongs to the Topic Battery Design and Management)

Abstract

In modern electric vehicle applications, understanding the evolution of the internal electrochemical reaction throughout the aging of batteries is as relevant as knowing their state of health. This article demonstrates the feasibility of correlating a mechanistic model of the battery internal electrochemical reactions with an equivalent electrical circuit (EEC) model, providing a practical and understandable interpretation of the internal reactions for electrical specialists. By way of electrochemical impedance spectroscopy analysis and automatic control theory, a methodology for correlating the resistance and capacitance variations of the EEC model and how they reflect the electrochemical reaction changes is proposed. These changes are represented through the time constants of the three R C parallel arrays from an EEC model. PS-260 lead–acid batteries were analyzed throughout the SOC and their useful life to validate this methodology. The result analysis allows us to establish that the first R C array corresponds to the negative electrode reactions in the range of 1.48 Hz to 10 kHz, the second R C array to the positive electrode reactions and generation of sulfates in the range of 0.5 to 1.48 Hz, and the third R C array to the generation of sulfates and their diffusion in the range of 0.01 to 0.5 Hz.

Graphical Abstract

1. Introduction

Battery technology has become more relevant due to its use in applications such as electric vehicles, where this asset represents approximately 40% of the vehicle cost [1]; therefore, guaranteeing a battery’s expected life cycle is important [2,3]. This task is one of the main objectives of a battery management system (BMS), in which measurements, datasheet information, and estimated states are used to assess battery performance, health, and safety [4,5,6].
Therefore, it is possible to determine the storage energy, the available power, and the aging conditions of a battery, with the latter indicating the capability of the battery to deliver energy according to factory specifications [7]. Aging is a colloquial term for natural active material degradation due to different chemical mechanisms, such as hard sulfation, corrosion, stratification, and active mass loss [8]. Consequently, the detection of abnormal aging is relevant to provide evidence that at least one of these aging mechanisms appears prematurely; however, detecting such mechanisms is difficult due to the complexity of the models used to represent them. Furthermore, some of these mechanisms occur simultaneously within a narrow window, making it difficult to distinguish them uniquely [9]. The most reported techniques used to address this problem in the literature are neuronal networks, heuristic models, Kalman filters, mathematical models, electrochemical analysis, and equivalent electric circuits (EEC) [10,11].
Some works have made use of neural networks, such as [10], where aging trajectories are predicted using datasets from four different commercial Li-ion batteries. In [12], the degradation of batteries exposed to driving test conditions in electric vehicles is analyzed and predicted by evaluating their level of aging by using neural networks. Lead–acid batteries were investigated in [13], in which a convolutive neuronal network hybrid algorithm was used to predict aging with a 5% error. In another study, Ref. [14] used flooded lead–acid battery data and feed-forward neural networks to estimate the aging state. The estimation of the current state of life of the batteries made in these studies helps predict the evolution of aging to compensate for the resulting changes that this provokes.
Similarly, fuzzy-logic models have been used to investigate battery aging. In [15], a fuzzy-logic algorithm was applied to detect battery aging, which was used as part of a BESS to provide the facility with frequency support and voltage regulation. In [16], a fuzzy-logic control law was presented to adjust the safe operating region of a battery according to its state of power and aging conditions. For lead–acid batteries, several heuristic models, such as evolutionary algorithms, genetic algorithms, and particle swarm optimization, are used to optimize a state of health (SOH) model for estimating and detecting aging [17]. In this case, the studies found that the use of fuzzy logic estimates the changes in the model according to aging with high precision, enabling system adjustments to avoid battery risk.
In [18], Kalman filters were used to estimate the parameters in an EEC and the SOC and SOH for the entire useful life of the battery. Ref. [19] developed a methodology to estimate the SOC by using Kalman filters and least squares to adjust the results under all aging conditions. These works show robust algorithms for changes due to aging without estimating it, and they only respond by compensating for the changes that occur. In the same way, works such as [20,21,22] use other filters like PSO and TCA, among others, for SOH and aging effect identification proposes.
Another approach is using electrochemical impedance measurements of the battery; works such as [23,24,25] identify variations that are associated with the aging of the battery by taking samples of batteries with different wear and using historical data to predict the remaining useful life.
Certain semiempirical models use other well-known models and incorporate the characteristics that are evaluated based on customized calculations and experimentation, as shown in [26]. Thus, the parameterization is obtained from the electrochemical model; in this study, parameter variations are related to abnormal aging.
In all previous methods, meaningful information can be found regarding the behavior of the battery. However, prior methodologies that rely on data science techniques require data collection for training in each implementation. The result is a black box model, where the internal behavior is unclear and does not have physical meaning [27].
Heuristic models are typically used as optimization algorithms because they ensure that output tracking considers the effects of aging; nevertheless, heuristic methods are affected by model uncertainty and poor self-learning flexibility [28].
The prior studies that use iterative methodologies report aging results; however, their modeling is obtained from a time-domain approach, such that the aging mechanisms are not strictly defined and have a high computational cost [27].
Mathematical models are sensitive to measurement variations, and most of them are useful in specific applications and unfortunately may produce significant errors.
Electrochemical models can be used to interpret internal aging phenomenon, but these applications involve complex models with high sensitivity to changes, and they require highly accurate SOC estimation [28].
EEC models include the static and dynamic behavior of the battery in a simplified representation, have a low computational cost, and are applicable in online systems [29]. However, the accuracy of the measurements and estimations significantly modifies the results produced by such models [27].
Semiempirical models offer the advantage of using simple models such as EEC, giving physical significance to the parameters and obtaining their values from electrochemical measurements; this improvement enables the analysis of various internal reactions [11].
Upon thorough analysis of the merits of existing EEC models, it has been determined that they offer valuable insights into battery performance, mostly SOC and SOH. This contribution explores a different standpoint whereby mechanistic models can be correlated to equivalent electrical circuit models, thus addressing a research gap. Through this study, EEC parameter changes can be associated with faradic reactions, which can help redefine the interpretation of EEC data. The primary objective of this research is to reevaluate the physical implications of the parameters of an EEC model that EIS analysis has parameterized. Hence, this research is focused on demonstrating that the proposed EEC model can provide detailed information about the aging that would complement the SOH. In this way, this research proposes a parametric correlation analysis between both models, by using a 3-RC parallel array EEC model [30] that has parameters related to the response of a mechanistic model supported by control theory, which through the characteristic polynomial in frequency domain can provide relevant information of the system, such as stability and bandwidth. Also, by mapping from the frequency domain to the time domain, it can be identified by the dynamical response of the system. Both properties are widely leveraged in this article. This method relates the frequency response from electrochemical impedance spectroscopy (EIS) analysis to the time constants associated with the poles of the EEC model. The scope and validity of the model correlation are analyzed throughout SOH and SOC under normal conditions. The developed methodology is valid for all redox battery technologies, and as a case study, a lead–acid battery system was considered.
The remainder of this paper is organized as follows. Section 2 describes the methods to obtain the mechanistic model using the lead–acid battery as a base and the particular case study of this work. Section 3 explains the EIS analysis and its use to associate the mechanistic model with the EEC model. Section 4 presents the results and analysis used to validate the suggested methodology for different aging cycles through all the SOC spectra. The conclusions and main contributions are provided in Section 5.

2. Methods: Lead–Acid Mechanistic Model

A battery is an electrochemical system built from 4 principal components: a negative electrode, a positive electrode, an electrolyte, and a separator [31]. The main purposes of the system are the storage and supply of energy, and this process is performed by overall chemical reactions [29]. It is vital to know that in an overall faradic reaction (1), a material ( A s o l ) reacts when it gains or loses energy ( e ), becoming a new material ( C s o l ) [32,33].
A s o l + x e C s o l ,
where x is the number of electrons involved in the reaction; therefore, it is possible to rewrite the reaction equation as a faradic loop (2), which considers the adsorbed intermediaries as a function of surface coverage for the adsorbed species ( B a d s ), providing information about the dynamic contribution of each process to the overall reaction [34].
A s o l + n e K a K a B a d s B a d s + m e K b K b C s o l
The sum of the number of electrons in the faradic loop is the same as the number of electrons in the overall reaction ( m + n = x ), and K a , K a , K b and K b are the reaction rate constants in the associated reaction, representing the speed of generation and consumption of each adsorbate, respectively.
On this basis, considering a lead–acid battery with a composition such as a negative lead electrode ( P b ), a positive lead dioxide electrode ( P b O 2 ), and a sulfuric acid electrolyte ( H 2 S O 4 ) [35], it is possible to represent the chemical reactions of the battery as faradic loops [36].
In the case of batteries, two different reactions occur simultaneously, one for each electrode. The negative electrode reactions are (3) and (4). Equation (3) describes the lead detachment in the negative electrode into adsorbate lead ( P b a d s 2 + ), releasing two electrons. Equation (4) expresses the consumption of P b a d s 2 + reacting with the electrolyte sulfate to produce lead sulfates ( P b S O 4 ( a d s ) ) [37].
P b K 1 K 1 P b a d s 2 + + 2 e
P b a d s 2 + + S O 4 2 K 3 K 3 P b S O 4 ( a d s )
The positive electrode reactions are shown in (5) and (6). In this electrode, lead dioxide is separated, generating P b a d s 2 + and water when two electrons are acquired (5). Similarly, Equation (6) expresses the consumption of P b a d s 2 + reacting with the electrolyte sulfate to produce lead sulfates ( P b S O 4 ( a d s ) ) [38].
P b O 2 + 4 H + + 2 e K 2 K 2 P b a d s 2 + + 2 H 2 O
P b a d s 2 + + S O 4 2 K 4 K 4 P b S O 4 ( a d s )
The parameters K 1 , K 1 , K 2 , K 2 , K 3 , K 3 , K 4 , and K 4 are the reaction rate constants. Note that two adsorbed intermediates are generated in the two reactions ( P b a d s 2 + and P b S O 4 ( a d s ) ), and in both electrodes the same reaction produces the second adsorbate ( P b S O 4 ( a d s ) ).
The concentration of these adsorbed species ( [ P b a d s 2 + ] and [ P b S O 4 ( a d s ) ] ) is expressed in area units according to Equations (7) and (8) [34].
[ P b a d s 2 + ] = β 1 θ 1 ( t )
[ P b S O 4 ( a d s ) ] = β 3 θ 3 ( t ) ,
where β 1 and β 3 are the concentrations per unit area of adsorbed lead and adsorbed sulfates, respectively, and θ 1 ( t ) and θ 3 ( t ) are the corresponding surface fractions.
The mass balance must be satisfied in accordance with the law of conservation of matter. Equation (9) shows the mass balance of the adsorbed species when this law is satisfied for the reaction rate of [ P b a d s 2 + ] formation/consumption [39].
d [ P b a d s 2 + ] d t = v f P b a d s 2 + v c P b a d s 2 + ,
where v f P b a d s 2 + is the formation velocity of adsorbed lead and v c P b a d s 2 + is the consumption velocity of adsorbed lead. Similarly, Equation (10) shows the mass balance representation for [ P b S O 4 ( a d s ) ] .
d [ P b S O 4 ( a d s ) ] d t = v f P b S O 4 ( a d s ) v c P b S O 4 ( a d s ) ,
where v f P b S O 4 ( a d s ) is the formation velocity of adsorbed sulfate and v c P b S O 4 ( a d s ) is the consumption velocity of adsorbed sulfate.
The rate of formation and consumption (9) is defined as (11), which describes the changes in the covered area as functions of time [34].
v f P b a d s 2 + = K 1 ( 1 θ 1 ( t ) θ 3 ( t ) ) + K 3 [ P b S O 4 ( a d s ) ] v c P b a d s 2 + = K 1 [ P b a d s 2 + ] + K 3 [ P b a d s 2 + ]
Likewise, the reaction rates in Equation (10) are defined as (12), such that P b S O 4 ( a d s ) could only be formed by P b a d s 2 + .
v f P b S O 4 ( a d s ) = K 3 [ P b a d s 2 + ] v c P b S O 4 ( a d s ) = K 3 [ P b S O 4 ( a d s ) ]
With the reactions previously developed, Equations (7), (8), (11) and (12) are substituted in the mass balances of Equations (9) and (10); thus, the evolution equations take the form (13) and (14), where both values depend on the reaction surfaces θ 1 ( t ) and θ 3 ( t ) .
β 1 d θ 1 ( t ) d t = K 1 ( 1 θ 1 ( t ) θ 3 ( t ) ) + K 3 β 3 θ 3 ( t ) β 1 θ 1 ( t ) ( K 1 + K 3 )
β 3 d θ 3 ( t ) d t = K 3 β 1 θ 1 ( t ) K 3 β 3 θ 3 ( t )
The previously described evolution equations are also dependent on the time-variant potential difference E ( t ) , which appears within the reaction rate constants K i , where i = 1 , 1 , 3, 3 , because the Tafel equation defines these values as (15), where b i is the Tafel coefficient and k i is the pre-exponential factor [40]. This outcome shows that the evolution equation is nonlinear because it involves an exponential function with E ( t ) as an argument.
K i = k i e b i E ( t )
The Tafel coefficient is defined as:
b i = n α F R T ,
where n is the number of transferred electrons, α is the coefficient of charge transfer and its value is between 0 and 1, F is the Faraday constant with a value of 96,500 C mol 1 , R is the ideal gas constant with a value of 8.314 J mol 1 K 1 , and T is the temperature in Kelvin units; consequently, the Tafel coefficients may vary. In this way, a change in temperature would be reflected in the constant, modifying the resulting model; however, in the present study testing was only conducted at room temperature, at an average temperature of ca. 303 K.
The stationary state of the evolution Equations (13) and (14) corresponds to the absence of mass interactions; therefore, d θ 1 ( t ) / d t = 0 , d θ 3 ( t ) / d t = 0 , and E s s = 0 . Thus, it is possible to obtain the simultaneous Equation (17) with which the surface fractions θ 1 s s and θ 3 s s are defined and the parameters K i s s = k i are in a stationary state.
θ 1 s s = k 1 ( 1 θ 3 s s ) + k 3 β 3 θ 3 s s k 1 + β 1 ( k 1 + k 3 ) θ 3 s s = k 3 β 1 θ 1 s s k 3 β 3
After obtaining θ 1 s s and θ 3 s s , the Taylor series is used to linearize (13) and (14) in the steady state [41]; then, it is possible to define the linearized Equations (18) and (19) as:
β 1 d Δ θ 1 ( t ) d t = ( k 1 β 1 ( k 1 + k 3 ) ) Δ θ 1 ( t ) ( k 1 k 3 β 3 ) Δ θ 3 ( t ) + . . . + ( k 1 b 1 ( 1 θ 1 s s θ 3 s s ) k 3 b 3 β 3 θ 3 s s + β 1 θ 1 s s ( k 1 b 1 k 3 b 3 ) ) Δ E ( t )
β 3 d Δ θ 3 ( t ) d t = k 3 β 1 Δ θ 1 ( t ) k 3 β 3 Δ θ 3 ( t ) + ( k 3 b 3 β 1 θ 1 s s + k 3 b 3 β 3 θ 3 s s ) Δ E ( t )
Applying the Laplace transform to solve the system (18)–(21) are obtained as:
β 1 s Δ θ 1 ( s ) = ( k 1 β 1 ( k 1 + k 3 ) ) Δ θ 1 ( s ) ( k 1 k 3 β 3 ) Δ θ 3 ( s ) + ( k 1 b 1 ( 1 θ 1 s s θ 3 s s ) k 3 b 3 β 3 θ 3 s s + β 1 θ 1 s s ( k 1 b 1 k 3 b 3 ) ) Δ E ( s )
β 3 s Δ θ 3 ( s ) = ( k 3 β 1 Δ θ 1 ( s ) k 3 β 3 Δ θ 3 ( s ) + ( k 3 b 3 β 1 θ 1 s s + k 3 b 3 β 3 θ 3 s s ) Δ E ( s )
By manipulating (20) and (21), the transfer functions Δ θ 1 ( s ) / Δ E ( s ) (22) and Δ θ 3 ( s ) / Δ E ( s ) (23) can be obtained; these equations describe the change in the fraction of adsorbate coverage relative to the potential.
Δ θ 1 ( s ) Δ E ( s ) = ( k 1 k 3 β 3 ) Δ θ 3 ( s ) Δ E ( s ) + ( k 1 b 1 ( 1 θ 1 s s θ 3 s s ) k 3 b 3 β 3 θ 3 s s + β 1 θ 1 s s ( k 1 b 1 k 3 b 3 ) ) β 1 s + ( k 1 + β 1 ( k 1 + k 3 ) )
Δ θ 3 ( s ) Δ E ( s ) = k 3 β 1 Δ θ 1 ( s ) Δ E ( s ) + k 3 b 3 β 1 θ 1 s s + k 3 b 3 β 3 θ 3 s s β 3 s + k 3 β 3
These equations have associated time constants, including τ 1 from (22) expressed as (24) and τ 3 from (23) expressed as (25), from which it is possible to estimate the time it takes for this system to reach equilibrium after receiving an excitation [42].
τ 1 = β 1 k 1 + β 1 ( k 1 + k 3 )
τ 3 = 1 k 3
Simultaneously, it is vital to consider (22) and (23) as simultaneous equations, similar to system (17). Thus, solving both systems, θ 1 s s , θ 3 s s , Δ θ 1 ( s ) / Δ E ( s ) , and Δ θ 3 ( s ) / Δ E ( s ) can be expressed in terms of measurable variables.
After these results have been obtained, establishing an energy balance is imperative, following the energy conservation law [43] and describing this balance in Equation (26),
I = n F [ v f P b a d s 2 + v c P b a d s 2 + ] + n F [ v f P b S O 4 ( a d s ) v c P b S O 4 ( a d s ) ] ,
where F is Faraday’s constant, n is the number of electrons involved in the reaction, and I is the battery current. Substituting Equations (11) and (12) and simplifying the resulting equation yields (27).
I = n F [ K 1 ( 1 θ 1 ( t ) θ 3 ( t ) ) β 1 θ 1 ( t ) K 1 ]
Note that the current is dependent on the constants K 1 and K 1 , and, as shown in (15), these terms exhibit nonlinear behavior; thus, to simplify (27), the Taylor series is used to linearize it.
Δ I ( t ) = n F ( k 1 β 1 k 1 ) Δ θ 1 ( t ) n F k 1 Δ θ 3 ( t ) + n F ( k 1 b 1 ( 1 θ 1 s s θ 3 s s ) β 1 θ 1 s s k 1 b 1 ) Δ E ( t )
Then, the transfer function for Δ I ( s ) / Δ E ( s ) results in (29).
Δ I ( s ) Δ E ( s ) = n F ( k 1 β 1 k 1 ) Δ θ 1 ( s ) Δ E ( s ) n F k 1 Δ θ 3 ( s ) Δ E ( s ) + n F ( k 1 b 1 ( 1 θ 1 s s θ 3 s s ) β 1 θ 1 s s k 1 b 1 )
For the negative electrode, the faradic impedance ( Z f n ( s ) ) is given by the transfer function (30).
1 Z f n ( s ) = Δ I ( s ) Δ E ( s )
The total system impedance includes more than just the faradic impedance; thus, it is necessary to consider the solution resistance, R s , and the interfacial capacitance between the negative electrode and electrolyte, C d l n [34]. Therefore, the transfer function that describes the negative electrode impedance, Z n ( s ) , is given as
Z n ( s ) = R s + 1 1 Z f n ( s ) + C d l n s .
Likewise, when this process is applied to the positive electrode, the resultant transfer function (32) is added to obtain the impedance transfer function for the whole battery. The impedance transfer function for the positive electrode is composed of R s , C d l p , and Z f p ( s ) . The solution resistance, R s , is the same as that of the negative electrode, but the rest of the elements are estimated for this electrode. Equation (32) shows the corresponding transfer function [44],
Z p ( s ) = R s + 1 1 Z f p ( s ) + C d l p s ,
where Z f p ( s ) is defined by (33):
1 Z f p ( s ) = Δ I ( s ) Δ E ( s ) = n F ( k 2 β 2 k 2 ) Δ θ 2 ( s ) Δ E ( s ) n F k 2 Δ θ 4 ( s ) Δ E ( s ) + n F ( k 2 b 2 ( 1 θ 2 s s θ 4 s s ) β 2 θ 2 s s k 2 b 2 [ H 2 O ] )
The resultant mechanistic model represents the battery reaction per unit area because it is necessary to multiply each electrode model by its area gain, M n and M p . The resultant model is written as (34)
Z T ( s ) = M n Z n ( s ) + M p Z p ( s ) ,
where Z T ( s ) is the total transfer function, Z p ( s ) is the positive electrode transfer function, M n is the area gain for the negative electrode, and M p is the area gain for the positive electrode. The total transfer function considering the area gain modifies Equation (31) as (35).
Z n = M n R s + M n 1 Z f n ( s ) + C d l n s = M n R s + 1 1 M n Z f n ( s ) + C d l n M n s
Similarly, the mass balance is affected, modifying the reaction’s transfer function for each adsorbate, as represented in (36) and (37).
Δ θ 1 ( s ) Δ E ( s ) = ( k 1 k 3 β 3 ) Δ θ 3 ( s ) Δ E ( s ) + ( k 1 b 1 ( 1 θ 1 s s θ 3 s s ) k 3 b 3 β 3 θ 3 s s + β 1 θ 1 s s ( k 1 b 1 k 3 b 3 ) ) β 1 s + M n ( k 1 + β 1 ( k 1 + k 3 ) )
Δ θ 3 ( s ) Δ E ( s ) = ( k 3 β 1 ) Δ θ 1 ( s ) Δ ¯ E ( s ) + k 3 b 3 β 1 θ 1 s s + k 3 b 3 β 3 θ 3 s s β 3 s + M n k 3 β 3
Therefore, the time constants of each first-order transfer function (36) and (37) respectively become (38) and (40), where τ 1 corresponds to the adsorbed lead from the negative electrode and τ 3 is the P b S O 4 a d s produced from the negative electrode. It is necessary to repeat the previous procedure for the positive electrode, obtaining the time constants (39) and (41); τ 2 corresponds to the adsorbed lead from the positive electrode, and τ 4 is the P b S O 4 a d s produced from the positive electrode.
τ 1 = β 1 M n ( k 1 + β 1 ( k 1 + k 3 ) )
τ 2 = β 2 M p ( k 2 + β 2 ( k 2 + k 4 / 2 ) )
τ 3 = 1 M n k 3
τ 4 = 1 M p k 4 [ S O 4 2 ]
where [ S O 4 2 ] is the acid concentration. Both electrodes produce P b S O 4 a d s in this battery, so the P b S O 4 a d s production constant time is the addition of τ 3 and τ 4 . Currently, when referring to the time constant associated with the production of P b S O 4 a d s , τ s will be used, which is defined as τ s = τ 3 + τ 4 .
The procedure to obtain the mechanistic model described previously can be summarized in 6 steps, as follows:
  • A battery system that involves adsorbed intermediates should be considered.
  • A mass balance is applied to obtain the reaction transfer function.
  • A charge balance is applied to obtain the faradic impedance.
  • The circuit depicted in the Figure 1 is obtained by adding the interfacial capacitance, C d l n , and the solution resistance, R s .
  • It is necessary to consider the area of the electrodes to obtain the transfer function.
  • The time constant of each reaction is obtained from the battery model.
All previous steps are graphically listed in Figure 1.

VRLA PS-260 Battery Mechanistic Model

In this work, two-electrode, cell power-symmetric PS-260 VRLA batteries (2 V, 6 Ah) were evaluated. Each positive electrode had dimensions of 41.30 mm × 72.40 mm × 2.02 mm, and each negative electrode had dimensions of 38.50 mm × 68.40 mm × 2.02 mm; the separator was made of nonwoven glass fibers. Impedance measurements were conducted with a frequency range from 10 mHz to 10 kHz, and an AC amplitude (modulation signal amplitude) of 10 mV was employed. Studies were conducted at the open circuit potential [45].
It is necessary to obtain data on the weight and area of the electrodes. The first calculation was made by extracting the active material and weighing it in an analytical balance Ohaus Adventure™, and the area was obtained by using a Vernier caliper Mitutoyo™. Table 1 shows the results of the measurements.
The reported data of the reaction rate constants in the negative electrode were obtained from Niya et al. [37]. The rate constants used for the positive electrode are reported in [38], and the values are summarized in Table 2. Similarly, for this case, the constants K 3 and K 4 and the constants K 3 and K 4 have similar values.
It is possible to calculate the time constant, τ , of each reaction, and the setting time is defined as t s = 4 τ , which means that when the reactions achieve the steady state, τ s is the addition of τ 3 and τ 4 , as previously discussed. The values obtained from (38) to (41) are shown in Table 3.
The previous process theoretically describes the impedance model of the battery. However, measuring this impedance requires a more complex procedure, where electrochemical impedance spectroscopy (EIS) is the standard methodology.

3. Experimental: Electrochemical Impedance Spectroscopy Analysis

This nondestructive technique allows the measurement of the electrochemical behavior of an electrode–electrolyte interface [46]. For this purpose, the system is excited with a chirp signal that is a frequency-modulated signal that varies linearly over a range of frequencies [47,48]. Then, the voltage response is analyzed, by using the relationship potential difference/current to obtain the complex electrochemical impedance [49,50].
The measured impedance captures the effects of two main processes [51]:
  • Faradic processes, as described in (30), involve the exchange of electrons.
  • Nonfaradic processes, as described in (31) by R s and C d l n , that represent the physical constraints on the active material.
The equipment used to measure the electrochemical impedance was a VersaSTAT 3F potentiostat-galvanostat. Impedance measurements were analyzed using the Nyquist plots registered with the ZView2™ software [30].
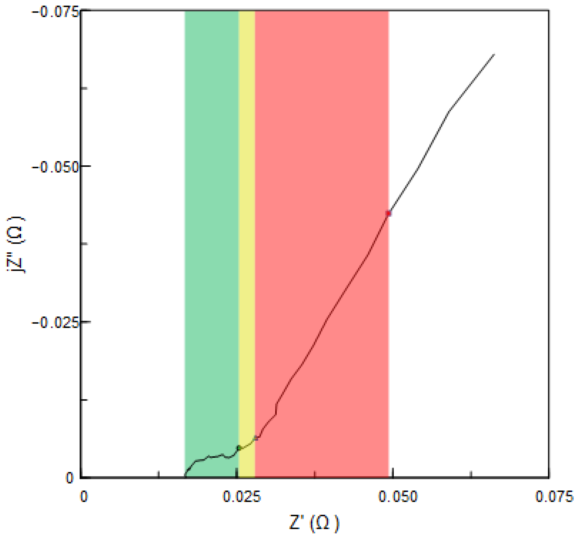
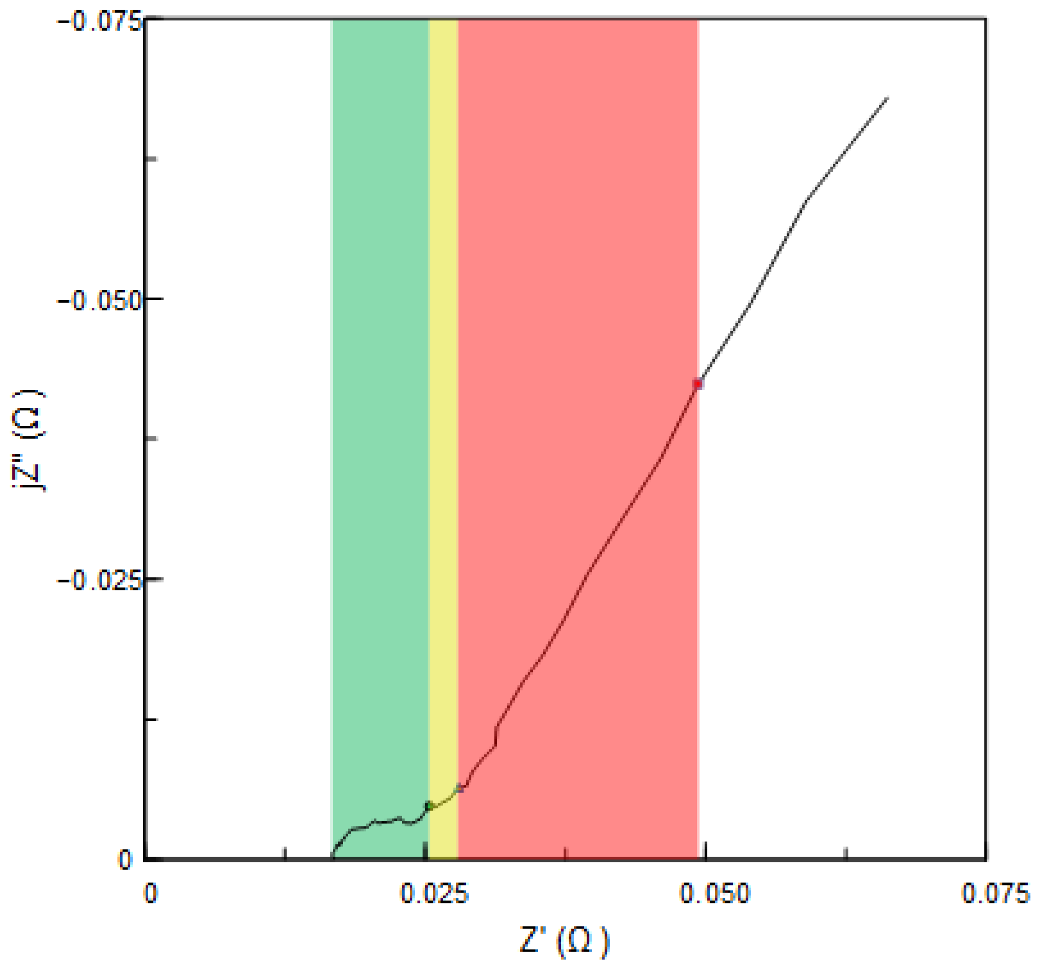
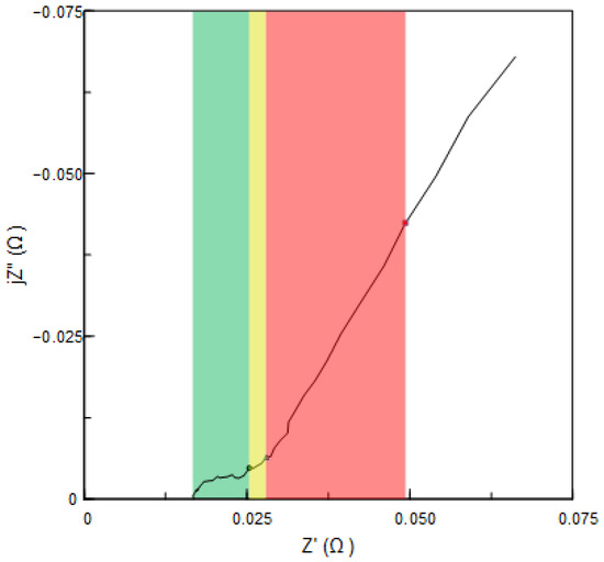
The PS260 battery was tested and analysed. Then, with the measured impedance and the time constants previously obtained in Table 3, we visualized the dynamic contribution of each reaction. Thereby, the frequency response of the battery impedance can be interpreted in Figure 2 as follows:
  • The solution resistance, R s , as the intersection with the abscissa axis at Z = 0.011 Ω .
  • The adsorbed lead from the negative electrode (3) is represented by the green area.
  • The adsorbed lead from the positive electrode (5) is represented by the green and yellow areas.
  • The sulfate production from (4) and (6) is represented by the green, yellow, and red areas.
  • The Z complex values exceeding the previously mentioned areas represent the diffusion effects from Z = 0.036 Ω to the end of the Nyquist plot.
Thus, the reactions involved in the charge and discharge process and the corresponding response times are associated with the battery’s impedance magnitude. Thus, the physical meaning of the processes is associated with the EEC model, which helps to expand the information that is obtained from it [52].

Equivalent Electric Circuit Characterization

According to electrochemical theory, EEC models lie between chemical models and heuristic input–output models, so it is possible to understand the electrochemical processes of batteries by approximating them as an equivalent electrical circuit [9]. This process is typically performed by specialized software; in this case, the ZView2 ™ program was used, which fits the proposed EEC model to the EIS measurements by using a Levenberg–Marquardt algorithm [53]. The resulting EEC model consists of 3-RC parallel arrays, as shown in Figure 3, where R s represents the solution resistance, the charge transfer is modeled as a parallel array ( R 1 C P E 1 ), which corresponds to the loop in the green area from Figure 2, and the arrays R 2 C 2 and R 3 C 3 correspond to the linear trend after the loop in the Nyquist plot, based on [30,54,55]. Subsequently, the first capacitor was replaced by a constant phase element ( C P E 1 ) to improve the fitting.
By using [56], an equivalent capacitor C 1 for C P E 1 is considered, given by:
C 1 = ( Y 0 R 1 ) 1 / n R 1 s i n ( n π 2 ) ,
where Y 0 and n are the characteristic parameters of C P E 1 and R 1 is the parallel resistance.
The resultant adjustment gives a better fit, as shown in Figure 4, with the dashed line overlapping the EIS result as a continuous line. In this figure, the dynamics of R 1 C 1 , R 2 C 2 , and R 3 C 3 are shown in areas 1, 2, and 3, respectively, limited by the bold rectangular outlines. By matching the Nyquist plots with the mechanistic model, it is possible to determine the contribution of each reaction to the EEC. In this way, Figure 4 contributes to clarifying that the reactions included in the mechanistic model are not the only phenomena occurring within the battery; nevertheless, they are the ones that have a major contribution. Hence, the interpretation is as follows:
  • R 1 C 1 = τ A corresponds to the charge transfer and release of lead adsorbed on the negative electrode related to (3).
  • R 2 C 2 = τ B corresponds to the P b a d s 2 + at the positive electrode and the release of oxygen that produces water (5), and the simultaneous generation of P b S O 4 a d s according to (4) and (6).
  • R 3 C 3 = τ C corresponds to the generation of P b S O 4 a d s and the diffusion of sulfates in the electrolyte related to (4) and (6).
In this way, a methodology to establish a correlation between both models is proposed and summarized in Figure 5 and is explained as follows:
  • The mechanistic model is used to describe the electrochemical impedance of a battery as a transfer function in the frequency domain.
  • Based on control theory, the denominator of the transfer function is taken to obtain the system poles and the time constant associated with them; in this case, each pole corresponds to each reaction previously described (4–7).
  • Under the premise that there exists a time/frequency relationship, the characteristic frequency of each pole is obtained by solving the characteristic polynomial, graphically shown in Step 3 from Figure 5. With these τ 1 , τ 2 , . . . , τ n , it is possible to know the dynamic contribution of each pole.
  • These frequencies are traced in the impedance spectrum to delimit the regions where each pole has a dynamic contribution.
  • Since the EEC is associated with a section of the Nyquist graph obtained, it is directly related to the contribution of each reaction in the mechanistic model.
This procedure is described graphically in Figure 5. This semiempirical model links the electrochemical phenomena with an electrical element. Thus, battery aging mechanisms can be evidenced by changes in the parameters.
To validate the EEC parameter values obtained from the previous methodology, simulations were performed considering the current and differential potential measurements of a complete charge/discharge cycle test in a PS-260 battery. The battery current was defined as the input, and the differential potential in its terminals was defined as the output of the EEC model. To complete the model, the open-circuit voltage is considered to exhibit linear behavior, as reported in [57], between the upper (2.24 V) and lower (1.8 V) voltage limits [35]. Figure 6 shows the validation of the semi-empirical model compared with the PS-260 battery measurements, and it can be seen that the obtained graphs have similar trends. The measurements were made with a new battery in a complete charge/discharge cycle. Similar tracking results were obtained for 200 cycles of useful life.

4. Results and Discussion

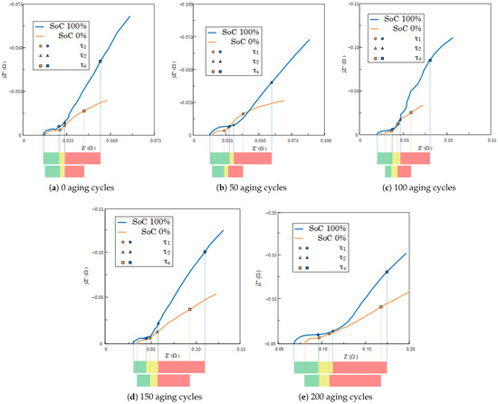
The magnitude of the impedance of a battery is constantly changing due to several factors. To validate the operation range of the model, batteries were evaluated at different points of their useful life, measured during charge/discharge cycles. The aging of batteries was tested at an average room temperature of 303 K, with a constant current discharge of 0.2 C at a constant voltage. This indicates that the nominal capacity (6 Ah) given by the manufacturer is multiplied by 0.2, and the resultant magnitude (1.2 A) is the applied current. For this work, batteries with 0, 50, 100, 150, and 200 aging cycles were studied. There are no batteries with more cycles because the battery model reaches its end of useful life at approximately 200 cycles; according to manufacturer specifications, this point is when the battery cannot supply the demanded current for the application for which it was designed.
The SOC spectra of the batteries were subjected to EIS, and the time constants ( τ 1 , τ 2 , and τ s ) of the reactions were estimated by means of Nyquist plots.
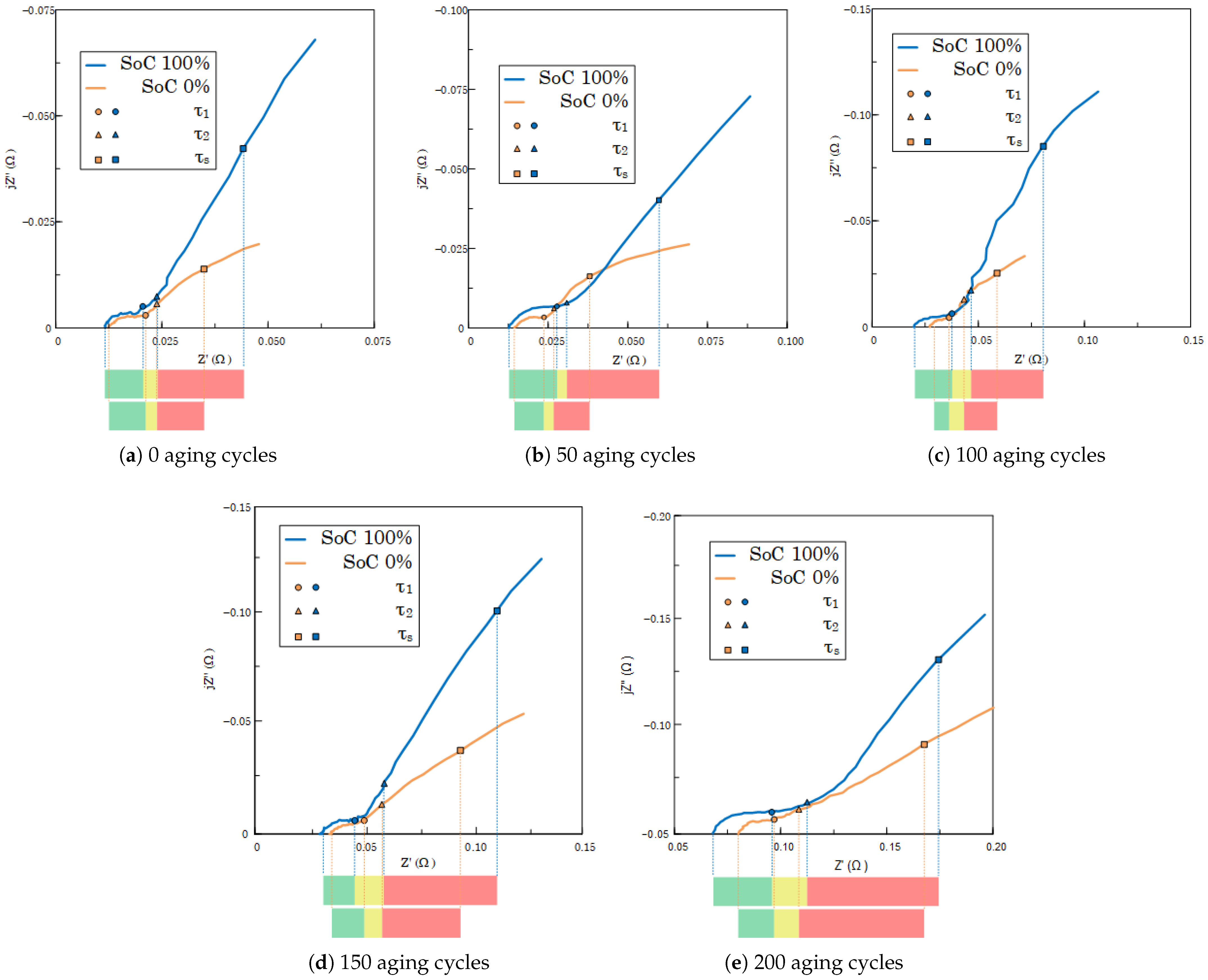
Figure 7 shows the resulting graphs of the impedance at the 100% SOC (blue lines) and 0% SOC (orange lines), corresponding to 0, 50, 100, 150, and 200 aging cycles, respectively. The point at which the contribution of τ 1 ends due to reaction (3) is marked with a circle, the point at which the contribution of τ 2 ends due to reaction (5) is marked with a triangle, and the point at which the contribution of τ s ends due to reactions (4) and (6) is marked with a square. In addition, a pair of bars is added to the lower part of each subsection to graphically show the effect of each reaction on the abscissa, similar to that shown in Figure 2, for each impedance plot (100% and 0% of the SOC).
The data show that the impedance magnitude increases as the battery ages; that is, Z 0 ( τ s ) = 0.0482 Ω , Z 50 ( τ s ) = 0.0598 Ω , Z 100 ( τ s ) = 0.0856 Ω , Z 150 ( τ s ) = 0.1022 Ω and Z 200 ( τ s ) = 0.1174 Ω , where the subindex represents the aging cycles, for 100% SOC. These values correspond to the blue square depicted in blue lines from Figure 7a–e; furthermore, they correspond to the penultimate row of Table 4. Likewise, in each case, the impedance magnitude decreases as the SOC decreases, regardless of the state of aging; for example, Z 50 ( τ s ) = 0.0598 Ω for 100% SOC and Z 50 ( τ s ) = 0.0410 Ω for 0% SOC; Z 200 ( τ s ) = 0.1174 Ω for 100% SOC and Z 200 ( τ s ) = 0.1153 Ω for 0% SOC. However, with increasing aging, the difference in impedance magnitude along the SOC decreases. This effect is covered in more detail in Table 4. This last can be seen graphically by looking at the length of the color bars below each plot.
Table 4 presents the numerical results of the measurements shown in Figure 7, as follows:
  • The R s values correspond to the beginning of the blue and orange lines in the real axis.
  • The values of the impedance Z ( τ 1 ) + j Z ( τ 1 ) correspond to the circles on the blue and orange lines from Figure 7a–e.
  • The values of the impedance Z ( τ 2 ) + j Z ( τ 2 ) correspond to the triangles on the blue and orange lines from Figure 7a–e.
  • The values of the impedance Z ( τ s ) + j Z ( τ s ) correspond to the squares on the blue and orange lines from Figure 7a–e.
The columns in Table 4 present the data of each figure, from Figure 7a–e, for 100% and 0% SOC, corresponding to the blue and orange lines, respectively. Figure 8 shows graphically the data of Table 4; an interpretation is given in the subsequent paragraphs.
R s increases in each case along the SOC, and this same resistance increases as the battery ages, as shown in Table 4 in the R s row.
For all cases, the reaction with the greatest increase in the time constant is τ s , which is the rate-determining step of the electrochemical reactions; likewise, this τ s value has the greatest dynamic contribution, according to the control theory, as shown in Table 3. This effect can also be observed in Figure 7a, where τ s (represented by squares) has a greater real impedance magnitude than τ 1 and τ 2 . However, the reaction corresponding to τ 2 is the one with the slightest change in its real magnitude impedance; for example, in Table 4, the changes in row Z ( τ 2 ) from 100 to 0% of the SOC have almost the same value in all cases. Additionally, as the SOC decreases, the points where the reactions τ 1 , τ 2 , and τ s are marked approach the abscissa axis. Diffusion also decreases, which can be observed in the inclination between the 100% SOC plot and the 0% SOC plot.
It is important to establish that the previous discussion was made qualitatively; thus, for a battery with normal aging the behavior changes will always maintain the same trend due to the SOC. A summary of this information is presented in Table 4.
To corroborate that the behavior previously described is reflected in the EEC, the EEC parameters were estimated by using the ZView2™ simulator for different aging states and from 100% to 0% SOC. The results are shown in Table 5. In addition, the result of the chi-square ( χ 2 ) test, which is close to 1 × 10 3 , indicates that the association between the measurements and their adjustment is statistically significant.
Table 5 shows the results obtained by the ZView2™ program used for the fitting of the EEC model parameters to the EIS measurements (Figure 7); additionally, Figure 9 shows the data of Table 5 in a graphical way for clarity purposes. A comparison of the results in Table 4 and Table 5, in conjunction with the plots in Figure 8 and Figure 9, reveals that the τ s change with the same trend throughout the SOC and the aging, validating the correlations of the mechanistic and electric models in all the operating points. Hence, the time constant τ A decreases progressively when the SOC decreases, as τ 1 does, while j Z ( τ 1 ) increases and the difference between R s and Z ( τ 1 ) increases; this trend is consistent with the behavior of the reaction (3).
The time constant τ B is a transition zone where the reactions corresponding to sulfate generation and adsorbate release from the positive electrode cannot be differentiated, as shown by area 2 of Figure 6. However, the overall trend is downward since both reactions τ 2 and τ s decrease in all cases, as can be numerically appreciated at j Z ( τ 2 ) and j Z ( τ s ) in Table 4. Additionally, the changes in τ B are relatively small because j Z ( τ 2 ) is the reaction with the slightest change, as shown by the yellow bars in Figure 7.
The time constant τ C indicates the behavior of sulfation (corresponding to the squares shown in Figure 7) and diffusion (corresponding to the maximum impedance value of the 100% and 0% of the SOC in Figure 7); both phenomena tend to approach the real axis when the SOC decreases. The approach to characterizing the real axis is implemented due to the increased distance between the active material and electrolyte due to sulfonation; this outcome manifests in the decrease in the C 3 value. Simultaneously, and assuming a linear behavior of the impedance from sulfonation to the end of diffusion, the slope decreases as the SOC decreases. This behavior occurs due to the difficulty of transferring ions through the electrolyte because the sulfate crystals are agglomerated in an amorphous distribution; this outcome can be more clearly observed by decreasing the value of τ C .
The time constant τ C is the most significant within the EEC model. However, the time constant τ s is the most significant within the mechanistic model. For this reason, their trends are compared, seeking to be similar. The real part Z ( τ s ) and the value of R 3 are compared, revealing that both decrease when the SOC decreases. Similarly, as the battery ages, for each decrease in the SOH, R 3 increases, as does Z ( τ s ) .
It is important to note how the values of the capacitors ( C 1 , C 2 and C 3 ) have a general tendency to decrease as the battery ages, as reflected in Figure 7, which shows that the slope of the line associated with diffusion decreases.
Table 6 shows the comparison results to validate that the proposed model improves the approximation regarding the physical system. Simulations were performed considering only the data shown in the first column of Table 5 for the 3-RC time-invariant model, and all the data of the same table for the 3-RC time-variant model. The relative errors are obtained using Equation (43). The average error in a complete charge/discharge cycle is presented in columns two and three, evidencing that the error is smaller in the variant model than in the invariant model; the same occurs for the maximum error,
E r r o r ( % ) = v b a t t m e a s u r e d v b a t t m o d e l v b a t t m e a s u r e d × 100 ,
where E r r o r ( % ) is the relative error, v b a t t m e a s u r e d is the battery voltage measured along a complete charge/discharge cycle, and v b a t t m o d e l is the battery voltage obtained from the simulation model along the same cycle.
All the parametric variations of the time-variant model involve the occurrence of different aging mechanisms, such as corrosion, hard sulfation, and active material loss, in agreement with what is reported in the literature [9]. These aging mechanisms occur simultaneously, and although there are conditions that accelerate some of them, it is difficult to separate each contribution. Nevertheless, each mechanism adds to the changes that are depicted in the impedance graphs, assuming that the proposed semiempirical model enables distinguishing each mechanism from the others. For example, the time constant associated with the loss of active material is the smallest because it predominantly affects the electrical effects and the surface reactions of the electrode, followed by corrosion, which affects the composition of the electrodes and the electrode–electrolyte interface. Furthermore, the time constant associated with hard sulfation is the slowest when affecting diffusion and mass transport.
Finally, based on the qualitative analysis of Figure 7 and the data analysis of Table 4 and Table 5, it is possible to observe that the electrochemical phenomena previously associated with EEC are valid and consistent throughout all the useful life for the entire spectrum of SOC.

5. Conclusions

In modern electrical energy applications, batteries are a relevant energy storage element for electric vehicle propulsion. Within the theoretical research of batteries, well-known models are used to analyze their performance from electrochemical and electrical perspectives. This article analyzes a battery mechanistic model from an electrochemical perspective to correlate it with an equivalent electrical circuit model. Although both the mechanistic and EEC models have widely been used in the BMS to estimate the battery state, they have not been analyzed in a correlated manner to describe internal phenomena related to aging; considering this research gap, this article contributes to obtaining a straight physical interpretation of the battery’s internal reactions throughout aging by leveraging control theory. This work was developed for lead–acid batteries; nevertheless, the methodology is valid for any battery technology whose reactions can be described through adsorbed intermediaries. Extensive experimentation using EIS analysis to determine battery impedances demonstrated that the proposed methodologies effectively correlate the time constants of the EEC model with the internal electrochemical reaction of the mechanistic model. The findings obtained throughout the battery SOC and aging allow us to establish that the time constant of the first R C parallel array corresponds to the impedance spectrum in the range of frequencies from 1.48 Hz to 10 kHz, related to the charge transfer and release of lead adsorbed on the negative electrode; the time constant of the second R C parallel array corresponds to the impedance spectrum in the range of frequencies from 0.5 Hz to 1.48 Hz, related to the positive electrode and the release of oxygen that produces water and the simultaneous generation of lead sulfates. The time constant of the third R C parallel array corresponds to the impedance spectrum in a range of frequencies from 0.01 Hz to 0.5 Hz, related to the generation of lead sulfates and the diffusion of sulfates in the electrolyte.

Author Contributions

H.V.-A., conceptualization, data curation, formal analysis, methodology, validation, investigation, visualization, software, writing—original draft. N.C.-M., software, validation, formal analysis, visualization, writing—original draft, writing—review and editing, investigation. N.V.-C., conceptualization, formal analysis, supervision, funding acquisition, writing—review and editing, project administration. C.A.N.-G., conceptualization, funding acquisition, validation, writing—review and editing, resources, supervision, methodology. I.L., formal analysis, investigation, supervision, validation, software, writing—review and editing, resources, methodology. All authors have read and agreed to the published version of the manuscript.

Funding

This research was funded by CONAHCYT through project A1-S-29705 and doctoral scholarship 1010810.

Data Availability Statement

The raw data supporting the conclusions of this article will be made available by the authors on request.

Acknowledgments

The authors would like to thank Schweitzer Engineering Laboratories for providing the digital infrastructure. In the same way, we thank the UASLP Hydroelectrometallurgy and electric vehicle laboratories for the facilities provided for this research.

Conflicts of Interest

The authors declare no conflicts of interest.

Abbreviations

The following abbreviations are used in this manuscript:
EECEquivalent electric circuit
EISElectrochemical impedance spectroscopy
SOCState of charge
BMSBattery management system
SOHState of health
VRLAValve regulated lead–acid

References

  1. König, A.; Nicoletti, L.; Schröder, D.; Wolff, S.; Waclaw, A.; Lienkamp, M. An overview of parameter and cost for battery electric vehicles. World Electr. Veh. J. 2021, 12, 21. [Google Scholar] [CrossRef]
  2. Parvini, Y.; Vahidi, A. Maximizing charging efficiency of lithium-ion and lead–acid batteries using optimal control theory. In Proceedings of the 2015 American Control Conference (ACC), Chicago, IL, USA, 1–3 July 2015; pp. 317–322. [Google Scholar]
  3. Zou, C.; Zhang, L.; Hu, X.; Wang, Z.; Wik, T.; Pecht, M. A review of fractional-order techniques applied to lithium-ion batteries, lead–acid batteries, and supercapacitors. J. Power Sources 2018, 390, 286–296. [Google Scholar] [CrossRef]
  4. Yao, L.; Fang, Z.; Xiao, Y.; Hou, J.; Fu, Z. An intelligent fault diagnosis method for lithium battery systems based on grid search support vector machine. Energy 2021, 214, 118866. [Google Scholar] [CrossRef]
  5. Gabbar, H.A.; Othman, A.M.; Abdussami, M.R. Review of battery management systems (BMS) development and industrial standards. Technologies 2021, 9, 28. [Google Scholar] [CrossRef]
  6. BS, S.; Hampannavar, S.; Bairwa, B. Applications of battery management system (bms) in sustainable transportation: A comprehensive approach from battery modeling to battery integration to the power grid. World Electr. Veh. J. 2022, 13, 80. [Google Scholar] [CrossRef]
  7. Yahmadi, R.; Brik, K.; Ammar, F.b. Failures analysis and improvement lifetime of lead acid battery in different applications. Proc. Eng. Technol. (PET) 2016, 13, 148–154. [Google Scholar]
  8. Yahmadi, R.; Brik, K.; Ammar, F.b. Causal tree analysis for quality control of the lead acid battery manufacturing process. Int. J. Energy Res. 2018, 42, 1738–1759. [Google Scholar] [CrossRef]
  9. Hammad, N.M. Vehicle Valve Regulated Lead Acid Battery Modeling and Fault Diagnosis; SAE Technical Report; SAE: Warrendale, PA, USA, 2010. [Google Scholar]
  10. Tang, X.; Liu, K.; Wang, X.; Gao, F.; Macro, J.; Widanage, W.D. Model migration neural network for predicting battery aging trajectories. IEEE Trans. Transp. Electrif. 2020, 6, 363–374. [Google Scholar] [CrossRef]
  11. Sadabadi, K.K.; Jin, X.; Rizzoni, G. Prediction of remaining useful life for a composite electrode lithium ion battery cell using an electrochemical model to estimate the state of health. J. Power Sources 2021, 481, 228861. [Google Scholar] [CrossRef]
  12. She, C.; Wang, Z.; Sun, F.; Liu, P.; Zhang, L. Battery aging assessment for real-world electric buses based on incremental capacity analysis and radial basis function neural network. IEEE Trans. Ind. Inform. 2019, 16, 3345–3354. [Google Scholar] [CrossRef]
  13. Sun, S.; Sun, J.; Wang, Z.; Zhou, Z.; Cai, W. Prediction of Battery SOH by CNN-BiLSTM Network Fused with Attention Mechanism. Energies 2022, 15, 4428. [Google Scholar] [CrossRef]
  14. Sun, S.; Sun, J.z.; Yang, Z.l.; Zhou, Z.y.; Ding, Y.y. Prediction of battery charging process based on aggregation neural network. J. Eng. 2022, 2022, 968–977. [Google Scholar] [CrossRef]
  15. Liu, W.; Xu, Y.; Feng, X.; Wang, Y. Optimal fuzzy logic control of energy storage systems for V/f support in distribution networks considering battery degradation. Int. J. Electr. Power Energy Syst. 2022, 139, 107867. [Google Scholar] [CrossRef]
  16. Esfandyari, M.; Yazdi, M.H.; Esfahanian, V.; Masih-Tehrani, M.; Nehzati, H.; Shekoofa, O. A hybrid model predictive and fuzzy logic based control method for state of power estimation of series-connected Lithium-ion batteries in HEVs. J. Energy Storage 2019, 24, 100758. [Google Scholar] [CrossRef]
  17. Jiang, S.; Song, Z. A review on the state of health estimation methods of lead–acid batteries. J. Power Sources 2022, 517, 230710. [Google Scholar] [CrossRef]
  18. Plett, G.L. Extended Kalman filtering for battery management systems of LiPB-based HEV battery packs: Part 3. State and parameter estimation. J. Power Sources 2004, 134, 277–292. [Google Scholar] [CrossRef]
  19. Loukil, J.; Masmoudi, F.; Derbel, N. A real-time estimator for model parameters and state of charge of lead acid batteries in photovoltaic applications. J. Energy Storage 2021, 34, 102184. [Google Scholar] [CrossRef]
  20. Jia, X.; Zhang, C.; Wang, L.; Zhang, W.; Zhang, L. Modification of Cycle Life Model for Normal Aging Trajectory Prediction of Lithium-Ion Batteries at Different Temperatures and Discharge Current Rates. World Electr. Veh. J. 2022, 13, 59. [Google Scholar] [CrossRef]
  21. Lin, M.; Yan, C.; Zeng, X. State of Health Estimation Method for Lithium-Ion Batteries via Generalized Additivity Model and Transfer Component Analysis. World Electr. Veh. J. 2023, 14, 14. [Google Scholar] [CrossRef]
  22. Lin, Y.; Jiang, B.; Dai, H. Battery capacity estimation based on incremental capacity analysis considering charging current rate. World Electr. Veh. J. 2021, 12, 224. [Google Scholar] [CrossRef]
  23. Messing, M.; Shoa, T.; Habibi, S. Estimating battery state of health using electrochemical impedance spectroscopy and the relaxation effect. J. Energy Storage 2021, 43, 103210. [Google Scholar] [CrossRef]
  24. Olarte, J.; Martínez de Ilarduya, J.; Zulueta, E.; Ferret, R.; Fernández-Gámiz, U.; Lopez-Guede, J.M. A battery management system with EIS monitoring of life expectancy for lead–acid batteries. Electronics 2021, 10, 1228. [Google Scholar] [CrossRef]
  25. Hafsaoui, J.; Sellier, F. Electrochemical model and its parameters identification tool for the follow up of batteries ageing. World Electr. Veh. J. 2010, 4, 386–395. [Google Scholar] [CrossRef]
  26. Sadabadi, K.K.; Ramesh, P.; Tulpule, P.; Rizzoni, G. Design and calibration of a semi-empirical model for capturing dominant aging mechanisms of a PbA battery. J. Energy Storage 2019, 24, 100789. [Google Scholar] [CrossRef]
  27. Hu, X.; Zhang, K.; Liu, K.; Lin, X.; Dey, S.; Onori, S. Advanced fault diagnosis for lithium-ion battery systems: A review of fault mechanisms, fault features, and diagnosis procedures. IEEE Ind. Electron. Mag. 2020, 14, 65–91. [Google Scholar] [CrossRef]
  28. Tamilselvi, S.; Gunasundari, S.; Karuppiah, N.; Razak RK, A.; Madhusudan, S.; Nagarajan, V.M.; Sathish, T.; Shamim, M.Z.M.; Saleel, C.A.; Afzal, A. A review on battery modelling techniques. Sustainability 2021, 13, 10042. [Google Scholar] [CrossRef]
  29. Plett, G.L. Battery Management Systems, Volume II: Equivalent-Circuit Methods; Artech House: Norwood, MA, USA, 2015; Volume 2. [Google Scholar]
  30. Zhang, J.; Wang, P.; Liu, Y.; Cheng, Z. Variable-order equivalent circuit modeling and state of charge estimation of lithium-ion battery based on electrochemical impedance spectroscopy. Energies 2021, 14, 769. [Google Scholar] [CrossRef]
  31. Kiehne, H.A. Battery Technology Handbook; CRC Press: Boca Raton, FL, USA, 2003; Volume 118. [Google Scholar]
  32. Keddam, M.; Mottos, O.R.; Takenouti, H. Reaction model for iron dissolution studied by electrode impedance: I. Experimental results and reaction model. J. Electrochem. Soc. 1981, 128, 257. [Google Scholar] [CrossRef]
  33. Keddam, M.; Mattos, O.R.; Takenouti, H. Reaction model for iron dissolution studied by electrode impedance: II. Determination of the reaction model. J. Electrochem. Soc. 1981, 128, 266. [Google Scholar] [CrossRef]
  34. Reséndiz-Ramírez, R.; Rodríguez-López, A.; Díaz-Real, J.A.; Delgado-Arenas, H.F.; Osornio-Villa, A.; Hernández-Leos, R.; Vivier, V.; Antaño-López, R. Reaction mechanisms of the electrosynthesis of magnetite nanoparticles studied by electrochemical impedance spectroscopy. ACS Omega 2021, 7, 761–772. [Google Scholar] [CrossRef]
  35. Power-Sonic. Rechargeable Sealed Lead-Acid Battery PS-260 2 Volts 6.0 Amps. Hrs.; Power Sonic Corporation: Verdi, NV, USA, 2018. [Google Scholar]
  36. Larios-Durán, E.R.; Trejo, G.; Chapman, T.W.; Antano-Lopez, R. Estimation of intrinsic rate constants of electrochemical adsorption-desorption processes from AC impedance data. Electrochem. Solid-State Lett. 2007, 10, F27. [Google Scholar] [CrossRef]
  37. Niya, S.R.; Hejabi, M.; Gobal, F. Estimation of the kinetic parameters of processes at the negative plate of lead-acid batteries by impedance studies. J. Power Sources 2010, 195, 5789–5793. [Google Scholar] [CrossRef]
  38. Shah, A.A.; Li, X.; Wills, R.G.; Walsh, F.C. A mathematical model for the soluble lead-acid flow battery. J. Electrochem. Soc. 2010, 157, A589. [Google Scholar] [CrossRef]
  39. Trinh, D.; Keddam, M.; Nóvoa, X.R.; Vivier, V. Characterization of adsorbates by transient measurements in Scanning Electrochemical Microscopy. Electrochim. Acta 2014, 131, 28–35. [Google Scholar] [CrossRef][Green Version]
  40. Ekdunge, P. A simplified model of the lead/acid battery. J. Power Sources 1993, 46, 251–262. [Google Scholar] [CrossRef]
  41. Ramos, J.I. Linearization methods in classical and quantum mechanics. Comput. Phys. Commun. 2003, 153, 199–208. [Google Scholar] [CrossRef]
  42. Ogata, K.; Yang, Y. Modern Control Engineering; Prentice Hall: Englewood Cliffs, NJ, USA, 2002; Volume 4. [Google Scholar]
  43. Giancoli, D.C. Physics: Principles with Applications; Pearson Educación: San Francisco, CA, USA, 2005; Volume 1. [Google Scholar]
  44. Hejabi, M.; Oweisi, A.; Gharib, N. Modeling of kinetic behavior of the lead dioxide electrode in a lead–acid battery by means of electrochemical impedance spectroscopy. J. Power Sources 2006, 158, 944–948. [Google Scholar] [CrossRef]
  45. Vinod, M.; Vijayamohanan, K. A novel, non-destructive method for the prediction of the state-of-charge of maintenance-free lead/acid batteries from galvanostatic transients. J. Power Sources 1994, 52, 135–139. [Google Scholar] [CrossRef]
  46. Scully, J.R.; Silverman, D.C.; Kendig, M.W. Electrochemical Impedance: Analysis and Interpretation; ASTM: West Conshohocken, PA, USA, 1993. [Google Scholar]
  47. Bullecks, B.; Suresh, R.; Rengaswamy, R. Rapid impedance measurement using chirp signals for electrochemical system analysis. Comput. Chem. Eng. 2017, 106, 421–436. [Google Scholar]
  48. Andrews, D.R. Ultrasonics and Acoustics. In Encyclopedia of Physical Science and Technology, 3rd ed.; Meyers, R.A., Ed.; Academic Press: New York, NY, USA, 2003; pp. 269–287. [Google Scholar] [CrossRef]
  49. Bard, A.J.; Faulkner, L.R. Fundamentals and applications. Electrochem. Methods 2001, 2, 580–632. [Google Scholar]
  50. Sihvo, J.M.E. Internal Impedance Measurement Techniques and Charger Dynamics for Lithium-Ion Batteries. Master’s Thesis, Tampere University of Technology, Tampere, Finland, 2017. [Google Scholar]
  51. Piratoba Morales, U.; Vera Lopez, E.; Ortiz Otalora, C. Basic Aspects in the Interpretation of the diagrams of electochemical impedance. DYNA 2010, 77, 13–19. [Google Scholar]
  52. Van Haeverbeke, M.; Stock, M.; De Baets, B. Equivalent electrical circuits and their use across electrochemical impedance spectroscopy application domains. IEEE Access 2022, 10, 51363–51379. [Google Scholar] [CrossRef]
  53. Jin, Y.; McGinn, P.J. Bulk solid state rechargeable lithium ion battery fabrication with Al-doped Li7La3Zr2O12 electrolyte and Cu0.1V2O5 cathode. Electrochim. Acta 2013, 89, 407–412. [Google Scholar] [CrossRef]
  54. Picciano, N.I. Battery AGING, Diagnosis, and Prognosis of Lead-Acid Batteries for Automotive Application. Ph.D. Thesis, The Ohio State University, Columbus, OH, USA, 2009. [Google Scholar]
  55. Sihvo, J.; Roinila, T.; Stroe, D.I. Novel fitting algorithm for parametrization of equivalent circuit model of Li-ion battery from broadband impedance measurements. IEEE Trans. Ind. Electron. 2020, 68, 4916–4926. [Google Scholar] [CrossRef]
  56. Chang, B.Y. Conversion of a constant phase element to an equivalent capacitor. J. Electrochem. Sci. Technol. 2020, 11, 318–321. [Google Scholar] [CrossRef]
  57. Xiong, R. Battery Management Algorithm for Electric Vehicles; China Machine Press: Beijing, China, 2020. [Google Scholar]
Figure 1. Flow chart for obtaining the impedance and reaction time constants.
Figure 1. Flow chart for obtaining the impedance and reaction time constants.
Wevj 15 00291 g001
Figure 2. Nyquist plot response for a new battery at 100% SOC. The colored regions represent the different time constants for the processes occurring.
Figure 2. Nyquist plot response for a new battery at 100% SOC. The colored regions represent the different time constants for the processes occurring.
Wevj 15 00291 g002
Figure 3. The EEC model was used to adjust the EIS data for all the experimental conditions tested.
Figure 3. The EEC model was used to adjust the EIS data for all the experimental conditions tested.
Wevj 15 00291 g003
Figure 4. Nyquist plot response for a new battery at 100% SOC. The colored regions and the bold rectangular outlines show comparisons of the experimental ( τ 1 , τ 2 and τ s ) and modeled ( τ A , τ B and τ C ) time constants.
Figure 4. Nyquist plot response for a new battery at 100% SOC. The colored regions and the bold rectangular outlines show comparisons of the experimental ( τ 1 , τ 2 and τ s ) and modeled ( τ A , τ B and τ C ) time constants.
Wevj 15 00291 g004
Figure 5. Flow chart for obtaining the semiempirical model.
Figure 5. Flow chart for obtaining the semiempirical model.
Wevj 15 00291 g005
Figure 6. Semi-empirical model validation with real data from PS-260 battery.
Figure 6. Semi-empirical model validation with real data from PS-260 battery.
Wevj 15 00291 g006
Figure 7. Nyquist plot response of a battery after different aging cycles. The markers depict the limit for each time constant at 0 and 100% of SOC.
Figure 7. Nyquist plot response of a battery after different aging cycles. The markers depict the limit for each time constant at 0 and 100% of SOC.
Wevj 15 00291 g007
Figure 8. Impedance trends of mechanistic reaction model according to Table 4.
Figure 8. Impedance trends of mechanistic reaction model according to Table 4.
Wevj 15 00291 g008
Figure 9. Fitted parameter trends of EEC model from the data of Table 5.
Figure 9. Fitted parameter trends of EEC model from the data of Table 5.
Wevj 15 00291 g009
Table 1. Mass and area measurements for VRLA PS-260 battery.
Table 1. Mass and area measurements for VRLA PS-260 battery.
MeasurementValueUnits
P b mass 0.132 g
P b O 2 mass 0.165 g
M n ( P b ) 2.633 × 10 3 m2
M p ( P b O 2 ) 2.99 × 10 3 m2
Table 2. Reaction rate constants for VRLA battery.
Table 2. Reaction rate constants for VRLA battery.
ConstantsValueUnits
K 1 0.0078 mol m−2 s−1
K 1 218mol m−2 s−1
K 2 3.495 × 10 16 mol−1 m−2 s−1
K 2 128.7321 mol−1 m−2 s−1
K 3 , K 4 9.34 × 10 12 mol−1 m−2 s−1
K 3 , K 4 4.44 s−1
Table 3. Time constants for adsorbates reactions.
Table 3. Time constants for adsorbates reactions.
Time ConstantValue t s
τ 1 0.217 s 0.871 s
τ 2 0.433 s 1.731 s
τ s 13.306 s 53.224 s
Table 4. Impedance obtained from Nyquist plots shown in Figure 7.
Table 4. Impedance obtained from Nyquist plots shown in Figure 7.
SOHNew (0 Cycles)50 Cycles100 Cycles150 Cycles200 Cycles
0% of Aging 25% of Aging 50% of Aging 75% of Aging 100% of Aging
SOC100%0%100%0%100%0%100%0%100%0%
R s ( Ω ) 0.011 0.012 0.012 0.016 0.022 0.031 0.03 0.038 0.068 0.08
Z ( τ 1 ) ( Ω ) 0.019 0.020 0.027 0.025 0.038 0.034 0.047 0.049 0.097 0.099
j Z ( τ 1 ) ( Ω ) 0.0049 0.002 0.006 0.004 0.006 0.004 0.006 0.004 0.009 0.007
Z ( τ 2 ) ( Ω ) 0.022 0.021 0.031 0.026 0.043 0.041 0.051 0.053 0.102 0.103
j Z ( τ 2 ) ( Ω ) 0.006 0.003 0.008 0.006 0.009 0.006 0.01 0.007 0.011 0.009
Z ( τ s ) ( Ω ) 0.048 0.041 0.059 0.041 0.085 0.061 0.102 0.096 0.117 0.115
j Z ( τ s ) ( Ω ) 0.049 0.017 0.054 0.024 0.082 0.024 0.09 0.037 0.096 0.029
Table 5. EIS parameters calculated using the EEC model shown in Figure 3.
Table 5. EIS parameters calculated using the EEC model shown in Figure 3.
SOHNew (0 Cycles)50 Cycles100 Cycles150 Cycles200 Cycles
0% of Aging 25% of Aging 50% of Aging 75% of Aging 100% of Aging
SOC100%0%100%0%100%0%100%0%100%0%
R s ( Ω ) 0.011 0.012 0.012 0.016 0.022 0.031 0.03 0.038 0.068 0.08
R 1 ( Ω ) 0.017 0.022 0.024 0.015 0.021 0.01 0.028 0.023 0.006 0.044
C 1 (F) 16.62 4.552 6.283 8.07 4.177 7.795 2.1 2.404 0.607 0.014
τ A (s) 0.289 0.102 0.154 0.125 0.09 0.081 0.058 0.057 0.003 6.533 × 10 4
R 2 ( Ω ) 0.013 0.018 0.013 0.02 0.024 0.02 0.03 0.131 0.021 0.14
C 2 (F) 302.50 159.00 354.30 104.20 85.23 151.50 67.50 10.43 43.95 1.21
τ B (s) 4.01 2.999 4.881 2.147 2.118 3.17 2.041 1.37 0.93 0.17
R 3 ( Ω ) 0.256 0.065 0.257 0.046 0.263 0.023 0.287 0.224 0.695 0.366
C 3 (F) 250.1 238.0 228.8 220.1 180.4 257.0 143.8 58.5 58.9 23.5
τ C (s) 64.15 15.52 58.888 10.217 47.517 6.117 41.395 13.16 40.983 8.638
χ 2 2.2 × 10 3 1.5 × 10 3 1.5 × 10 3 2.2 × 10 3 0.9 × 10 3 2.8 × 10 3 1.2 × 10 3 0.9 × 10 3 2.1 × 10 3 1.3 × 10 3
Table 6. Error between the conventional time-invariant model and the proposed time-variant model with respect to the battery measurements.
Table 6. Error between the conventional time-invariant model and the proposed time-variant model with respect to the battery measurements.
Aging CyclesAverage ErrorAverage ErrorMaximum ErrorMaximum Error
Invariant Model (%) Variant Model (%) Invariant Model (%) Variant Model (%)
0 0.69 0.69 3.90 3.90
50 1.89 0.87 4.86 4.16
100 2.61 1.42 6.00 4.52
150 2.87 2.24 7.82 6.90
200 3.82 2.25 10.30 7.00
Disclaimer/Publisher’s Note: The statements, opinions and data contained in all publications are solely those of the individual author(s) and contributor(s) and not of MDPI and/or the editor(s). MDPI and/or the editor(s) disclaim responsibility for any injury to people or property resulting from any ideas, methods, instructions or products referred to in the content.

Share and Cite

MDPI and ACS Style

Velasco-Arellano, H.; Castillo-Magallanes, N.; Visairo-Cruz, N.; Núñez-Gutiérrez, C.A.; Lázaro, I. Parametric Correlation Analysis between Equivalent Electric Circuit Model and Mechanistic Model Interpretation for Battery Internal Aging. World Electr. Veh. J. 2024, 15, 291. https://doi.org/10.3390/wevj15070291

AMA Style

Velasco-Arellano H, Castillo-Magallanes N, Visairo-Cruz N, Núñez-Gutiérrez CA, Lázaro I. Parametric Correlation Analysis between Equivalent Electric Circuit Model and Mechanistic Model Interpretation for Battery Internal Aging. World Electric Vehicle Journal. 2024; 15(7):291. https://doi.org/10.3390/wevj15070291

Chicago/Turabian Style

Velasco-Arellano, Humberto, Néstor Castillo-Magallanes, Nancy Visairo-Cruz, Ciro Alberto Núñez-Gutiérrez, and Isabel Lázaro. 2024. "Parametric Correlation Analysis between Equivalent Electric Circuit Model and Mechanistic Model Interpretation for Battery Internal Aging" World Electric Vehicle Journal 15, no. 7: 291. https://doi.org/10.3390/wevj15070291

APA Style

Velasco-Arellano, H., Castillo-Magallanes, N., Visairo-Cruz, N., Núñez-Gutiérrez, C. A., & Lázaro, I. (2024). Parametric Correlation Analysis between Equivalent Electric Circuit Model and Mechanistic Model Interpretation for Battery Internal Aging. World Electric Vehicle Journal, 15(7), 291. https://doi.org/10.3390/wevj15070291

Article Metrics

Back to TopTop