Next Article in Journal
Soil Nitrogen Storage, Distribution, and Associated Controlling Factors in the Northeast Tibetan Plateau Shrublands
Next Article in Special Issue
The Effect of Logging and Strip Cutting on Forest Floor Light Condition and Following Change
Previous Article in Journal
Low Light Availability Associated with American Beech Is the Main Factor for Reduced Sugar Maple Seedling Survival and Growth Rates in a Hardwood Forest of Southern Quebec
Previous Article in Special Issue
A Robust Productivity Model for Grapple Yarding in Fast-Growing Tree Plantations
 
 
Font Type:
Arial Georgia Verdana
Font Size:
Aa Aa Aa
Line Spacing:
Column Width:
Background:
Article

Impacts of Early Thinning of a Eucalyptus globulus Labill. Pulplog Plantation in Western Australia on Economic Profitability and Harvester Productivity

1
Australian Forest Operations Research Alliance (AFORA), University of the Sunshine Coast, Private bag 12, Hobart 7001, TAS, Australia
2
Australian Forest Operations Research Alliance (AFORA), University of the Sunshine Coast, 500 Yarra Boulevard, Richmond 3121, VIC, Australia
3
WA Plantation Resources (WAPRES), P.O. Box 444, Manjimup 6258, WA, Australia
4
Australian Forest Operations Research Alliance (AFORA), University of the Sunshine Coast, 35 Shorts Place, Albany 6330, WA, Australia
*
Author to whom correspondence should be addressed.
Forests 2017, 8(11), 415; https://doi.org/10.3390/f8110415
Submission received: 13 September 2017 / Revised: 30 October 2017 / Accepted: 30 October 2017 / Published: 1 November 2017
(This article belongs to the Special Issue Forest Operations, Engineering and Management)

Abstract

The impact of the manipulation of plantation stocking density on individual tree size can affect final harvest costs and machine productivity. This paper investigated the impact of four early-age thinning treatments applied to a Eucalyptus globulus Labill. pulplog plantation in south-west Western Australia on economic profitability and harvester productivity. Eighteen sample plots were randomly laid out in the study area. The nominal 700, 500, and 400 stems per hectare (sph) plots were thinned to waste 3.2 years after establishment while the nominal 1000 sph (UTH) plots were left unthinned. The economic analysis showed that all thinning treatments resulted in a lower Land Expectation Value (LEV) and net financial loss over the full rotation at their theoretical optimal rotation age when compared with the unthinned control treatment. Tree growth and form were positively impacted by thinning. However, associated reductions in harvesting costs were less than the value losses resulting from reduced per hectare yield.

1. Introduction

Over 900,000 hectares of eucalypt plantations (>50% of which is Eucalyptus globulus Labill.) have been established in Australia, primarily since 1990 and principally as a source of export chiplogs [1]. These plantations have typically been planted at a stocking density of approximately 1000–1250 stems per hectare (sph) with early weed control and fertiliser application and a planned rotation length of ten years.
A key silvicultural tool used by plantation managers to achieve their objectives is the manipulation of plantation stocking density through initial stocking or thinning. A large number of studies across both coniferous (e.g., Pinus radiata D.Don [2], Pinus sylvestris L. [3], Picea mariana (Mill.) BSP, Picea glauca (Moench) Voss, and Pinus resinosa Sol. ex Aiton [4]) and hardwood (e.g., Eucalyptus nitens H. Deane & Maiden [5], Eucalyptus grandis W. Hill ex Maiden [6], Populus deltoides W. Bartram ex Marshall [7]) species have concluded that increasing initial stocking density increases total wood volume per hectare and decreases mean tree volume and diameter, although the effect of stocking density on tree traits tends to reduce with increasing age [8]. Mean tree height has also been found to decrease as stocking density increases, but the effect is only apparent at extremely high stocking densities [9]. Accordingly, higher stocking densities are generally favoured for pulpwood plantations, where maximum wood volume is the main objective, and lower stocking densities are generally favoured for sawlog plantations where large individual tree sizes are required [10]. Lower initial stocking densities also allow machine access for management activities [11]. However, for species such as eucalypts where planting stock and establishment costs are relatively high, the additional volume production from higher stocking densities needs to be balanced against higher initial costs [5,8]; hence, initial stocking densities of eucalypt plantations are generally between 800 and 2000 sph for both sawlog and pulpwood regimes [12].
Thinning to remove small or defective trees (thinning from below) is common practice in sawlog plantations to improve average stem form and accelerate the growth of retained stems [13,14]. Thinning is also used to control pests and diseases [15,16] and reduce stand water use [17,18]. Planting stands at higher stocking densities followed by thinning suppresses the growth of lower branches—and, hence, knot sizes—and provides more trees from which to select final crop trees [5]. However, growth of lower branches can increase post-thinning [19], machinery used in thinning operations can damage retained stems [11,20], and debris left on site from thinning operations can increase the risk and severity of fires [21,22] and pest infestations [23]. Delaying the age at which thinning is performed can increase thinning wood volumes and, hence, returns, but can expose retained stems to wind damage (as they are more slender than if thinned early) [11], reduce the size of the final crop trees [24], and increase the risk of drought-induced mortality [25]. Heavy early thinning to final crop stocking can result in lost wood production due to the retained trees never fully utilising the site during the rotation [26].
Plantation stocking density impacts on individual tree sizes can affect final harvest costs and productivity as tree size has been shown in numerous previous studies to be the main driver of mechanised harvesting costs and productivity (e.g., [27,28,29,30]). For example, [31] found that pre-commercial thinning in their study reduced final harvest costs by over 25% as a result of significant improvements in harvester and forwarder productivity caused by larger post-thinning mean tree sizes. The relationship between machine productivity or harvest cost and tree size is non-linear with a significant decrease in productivity and increase in harvest cost per cubic metre being observed for trees with a volume less than approximately 0.2 m3 [28,29]. Wood losses due to stem breakage can also increase as stem size decreases when stems are being processed by harvesters [27,32] or chippers [33]. However, some of the harvesting gains from increased tree size at reduced stocking densities can be lost through increased branch thickness reducing harvester productivity [34].
The impacts of plantation stocking density on final harvest costs need to be considered in the context of the total costs and returns for a rotation. A simulation of the impact of pre-commercial thinning on final harvest costs and returns from Pinus banksiana Lamb. stands found that the additional costs associated with thinning were more than offset by the reduction in final harvest costs resulting from larger and fewer trees [35].
A number of financial decision tools, including Net Present Value (NPV) and Internal Rate of Return (IRR), have been used to compare the value of alternative forestry investments or to compare potential forestry investments with non-forestry options. Deficiencies in the use of NPV and IRR in the context of forestry investments were highlighted by [36], who advocated the use of the classical solution: Faustmann’s Land Expectation Value (LEV) [37]. LEV is the present value of an infinite series of rotations, assuming that future stand growth and prices are known, with the optimal rotation age being that at which the present value is maximised. The original work by Faustmann has been extended to allow for additional factors including stochastic factors, such as risk from fire [21] or changes in timber prices [38], and provision of non-timber forest services or amenities such as recreation and flood control [39].
The reported study investigated the effect of a range of stocking densities on standing tree and harvesting traits in a Eucalyptus globulus plantation in south-west Western Australia (WA). The study aimed to (i) quantify the effect of stocking density on standing tree attributes, including diameter at breast height over bark (DBHOB), tree height, tree volume, and tree form attributes (branches and forks); (ii) quantify the effect of stocking density on harvesting performance including machine hourly productivity and cost per cubic metre; (iii) conduct an economic analysis and determine optimal rotation ages of a range of stocking densities assuming an Eucalyptus globulus plantation with infinite rotations; and (iv) conduct a sensitivity analysis to identify which factors had the greatest impact on LEV.

2. Materials and Methods

2.1. Stocking and Harvesting Trial

The study was established on a property owned by Western Australian Plantation Resources (WAPRES) near Greenbushes, Western Australia (33°48′002745.9′′ S, 116°04′38.7′′ E). Mean annual rainfall recorded at the nearest weather station was ~850 mm, predominantly falling in winter.
The study site was planted in early July 1999 with Eucalyptus globulus at 1000 sph (spaced 5.0 m between rows and 1.9 m between trees). A stocking trial was then established on the site in September 2002 (3.2 years after establishment) by thinning stems to waste to investigate stocking density impacts on tree growth and stand production. Chemical weed control was undertaken at four months and at one year after planting. Prior to the trial establishment, the plantation suffered damage from parrots. These parrots can attack the dominant tree leader which can result in poor stem form, particularly forks [40].
Eighteen sample plots were randomly laid out across the study site. Fifteen plots were thinned to 700, 500, or 400 sph. The “1000” sph (the unthinned control, hereafter named “UTH”) and 700 sph treatments were replicated three times, whereas the 500 and 400 sph treatments were replicated six times (completely randomised design). The thinning-to-waste treatments (700, 500, and 400 sph) prioritised removal of trees of poorer form (mainly resulting from parrot damage). Thinning did not completely eliminate forking in the treated plots as some further forking (including parrot damage) occurred post-treatment.
The harvesting trial was conducted during the final felling of the site in January 2009 (at 9.5 years of age). Harvesting was carried out by an experienced operator using a tracked excavator-based Cat 322L harvester equipped with a 20-inch Waratah HTH620 head. The study site terrain was firm and even, with slopes ranging from flat to a gentle side slope (average 6°). Harvesting focused on the production of logs with a nominal length of 5.2 m and a minimum small-end diameter of 50 mm.
Harvester work elements (Table 1) were recorded for each tree during the harvesting of the 18 plots. Each treatment plot was 35 m long × 30 m (six rows) wide. The harvester–processor worked along strips consisting of three rows at a time. All work elements for each tree, plot, and treatment were accurately timed and manually recorded from a safe distance during felling using a Hanhart 2656 1/100 minute digital stopwatch. Work elements included brushing or clearing, felling, moving, processing, stacking or bunching, and travel time. The harvesting operation was also recorded using a handheld digital video recorder, and a second camera mounted in the harvester cabin to allow post-harvest data validation.

2.2. Yield and Harvest Productivity Modelling

The diameter at breast height over bark (DBHOB), tree height, and survival were measured in each treatment plot six times during the trial (at ages 3.2, 3.4, 4.3, 5.4, 7.6, and 9.5 years). Plot and treatment results included: mean DBHOB, basal area, under-bark volume, mean tree height, stocking, and survival. The DBHOB and height measurements were used to estimate the total under-bark volume of all stems using a taper function developed by the trial site owner WAPRES for Eucalyptus globulus plantations. Under-bark volume estimated using this taper function has previously been found to accurately predict recovered volume in operational plantations of similar site quality and tree size. At age 9.5, each tree was also subjectively assessed to determine the expected impact on harvester productivity of three major form criteria (branchiness, forking, and sweep) using a 2-class coding system where Class 1 meant no anticipated impact of form factor on harvesting/processing productivity and Class 2 meant a possible or expected impact of form factor on harvesting/processing productivity. The volume increment was used to develop a yield model, which was used to generate mean annual increment (MAI) curves from ages 5 to 12 (i.e., beyond harvest age) and as an input into the economic analysis of the four stocking treatments.
The time and motion study data was used to develop a general harvesting productivity model. The stepwise regression subroutine implemented in the GLMSELECT procedure of the software SAS/STAT® was used to develop this model, starting from a maximal model which included all independent variables: thinning treatment (indicator), tree size (continuous), branchiness (binary), and forking (binary). Variables with no statistically significant effect (p > 0.05) were then excluded one by one from the model. Productivity and tree size were transformed to their natural logarithm to homogenise the variance of the dependent variable to improve fit. Harvesting productivity was predicted in cubic metre solid per productive machine hour excluding all delays (PMH). PMH is defined as the portion of shift time that is spent producing output.
An analysis of variance (ANOVA) test, implemented in the ANOVA procedure of the software SAS/STAT®, was run on plot-level data collected at the time of harvest to test for statistically significant differences between each treatment for the variates DBHOB, tree height, basal area, and harvest productivity. A Shapiro–Wilk normality test and an equal variance test were performed (significance level 0.05), and the Holm–Sidak test [41] was used to perform pairwise multiple comparisons between treatments. This test is a variation of the original method presented by [42] which, although it does not compute intervals, has more power than the Bonferroni method for multiple comparisons.

2.3. Economic Analysis

The financially optimal stocking treatment was determined by calculating the Land Expectation Value (LEV) for each treatment and selecting the treatment that maximised LEV. LEV is the present value per unit area of the projected costs and revenues from an infinite series of identical even-age forest rotations, starting initially from bare land [43,44]. It is the primary approach for assessing and selecting management options for even-aged stands when the objective is to maximise the financial return from growing timber. In its simplest formulation, the LEV calculation assumes for all rotations that each rotation is of equal length, with the same sequence of events within each rotation, and the same net revenue associated with each event within the rotation.
The mathematical formulation to calculate LEV (Equation (1)) is based on the Faustmann formula [37]. The types of costs and revenues included in the calculation of LEV were (1) stand establishment cost; (2) annual leasing cost; (3) miscellaneous costs that occur in the middle of the rotation (thinning to waste) and end of the rotation (harvesting and transportation costs); and (4) net revenue for the sale of the wood at the end of the rotation.
L E V = [ E + t 1 R 1 I t ( 1 + r ) t + A [ ( 1 + r ) R 1 ] r ( 1 + r ) R + P Y ( 1 + r ) R H Y ( 1 + r ) R ] ( 1 + r ) R ( 1 + r ) R 1
where
  • LEV = Land Expectation Value per hectare,
  • R = rotation length (years),
  • E = stand establishment cost per hectare,
  • A = annual land leasing cost per hectare,
  • It = thinning cost per hectare occurring after plantation establishment and before the final harvest,
  • Y = expected pulplog yield (m3) per hectare at the end of the rotation,
  • P = mill gate price of pulplogs per m3,
  • H = harvesting and transportation cost per m3, and
  • r = real interest rate.
Expenditure and revenue figures that approximate real values at the time of the study (all costs expressed in Australian dollars) were used to calculate the LEV for each thinning (stocking) alternative used. Estimated values for establishment cost (year 0), annual land leasing cost, and thinning cost (year 3.2) were $1450 ha−1, $500 ha−1, and $400 ha−1, respectively. A constant value was used for the thinning cost because it consisted mainly of a fixed cost component. Testing of lower thinning cost values for the 700 sph and 500 sph treatments did not change the relative LEV order. Harvesting costs per m3 were calculated from the results obtained with the harvester–processor productivity model developed in the study, and an assumed hourly cost of $220 PMH−1. Transport cost was estimated at $10 m−3. A mill gate price for the logs of $75 m−3 was used to determine revenue per unit area. An interest rate of 7%, as is commonly used in forestry projects in Australia, was used for the analysis.
For each treatment, the theoretical rotation age that maximised LEV was calculated using the What’sBest® (Lindo Systems Inc., Chicago, IL, USA) solver package for MS-Excel. A sensitivity analysis was conducted on several key parameters to determine their impact on LEV and rotation age. These parameters included establishment cost, annual leasing cost, thinning cost, yield per hectare, harvest productivity, mill gate price, and interest rate. Supplementary tornado charts were constructed to compare the relative importance of each parameter and to assess their impact on LEV.

3. Results

3.1. Tree and Stand Factors at Time of Harvest

Tree growth and stand production within each stocking treatment at time of harvest (age 9.5) are summarised in Table 2. Thinning at age 3.2 clearly had a significant impact on tree growth. Average DBHOB increased by 45% and average tree height increased by 19% when moving from the UTH treatment to the 400 sph treatment. Despite the increased tree growth in the thinned plots, overall stand production (tonnes per hectare) at time of harvest was less than that in the UTH plots. The average final merchantable yield for the 400, 500, and 700 sph treatments was consistently approximately 7–8% less than that for the UTH treatment.
As the thinning treatment at age 3.2 targeted poor-form stems, it had a positive impact on the overall stand form within each treatment (Table 2). In the UTH and 700 sph treatments, 38% of the stems had major forks compared with only 23% in the 500 and 400 sph treatments. As few Class 2 sweep and branchiness trees were observed in the study, they were excluded from the analysis.
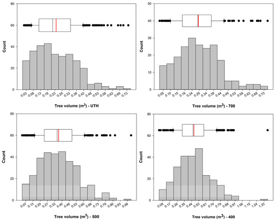
The ANOVA test found statistically significant differences between treatments for the DBHOB, Tree height, and Tree volume variates (Table 2). Figure 1 shows a combined histogram/box plot chart for the variate Tree volume, which had the biggest impact on harvest productivity.
With the exception of the 700 and 500 sph treatments, multiple comparisons for the variate DBHOB were statistically significant between the treatments. The comparison between the 400 sph and UTH treatments for the variate Tree height was the only comparison found to be statistically significant. The comparisons between the UTH and 700 sph treatments and between the 700 and 500 sph treatments were not significantly different for the variate Tree volume. All other comparisons for this variate were significantly different. A greater proportion of the trees in the UTH and 700 sph treatments were concentrated in the lower part of the tree volume range compared with those in the 500 and 400 sph treatments. Seventy-five percent of the trees had a tree volume greater than 0.11, 0.18, 0.23, and 0.32 m3, in the UTH, 700, 500, and 400 sph treatments, respectively (Figure 1).

3.2. Yield and MAI Curves

Standing volume curves for each treatment from age 5 and projected to age 12 are shown in Figure 2. Across the age range, the volume per hectare of the unthinned treatment (UTH) was 9.7%, 10.4%, and 17.9% greater than those of the 700, 500, 400 sph treatments, respectively. The volume per hectare of the 400 sph treatment equalled that of the 500 and 700 sph treatments at around age 11, and of the UTH treatment at around age 12. There was little difference between the volume per hectare of the 700 and 500 sph treatments from ages 5 to 12. A similar trend occurred for the MAI values. The MAI of the 400 sph treatment increased at a greater rate than that of the other treatments until year 10.5 when it equalled those of the 700 and 500 sph treatments. It equalled the MAI of the UTH stocking at about age 12. Maximum MAI values (biological rotation age) were reached at ages 9.5, 10.0, 9.6, and 11.3, for the UTH, 700, 500, and 400 sph treatments, respectively (Figure 3).

3.3. Harvest Producivity Study and Modelling

One thousand and forty-eight trees (cycles) were timed for the harvester–processor. The mean time per tree for each work element in a full cycle is presented in Table 3. As expected, the most time-consuming work elements were processing and felling which, on average, accounted for 78.6% and 16.3% of the total cycle time, respectively.
Results show that both harvester–processor cycle times and processing times were significantly greater for the 500 and 400 sph treatments than for the UTH and 700 sph treatments. This was mainly the result of increases in the proportion of forks and tree size as presented in Table 2. Moving time was also significantly greater at lower stockings as the harvester–processor had to travel further to reach each harvested tree. The harvester–processor’s productivity regression model (Equation (2)) includes coefficients and statistically significant variables (p < 0.05) (tree volume and forking) selected using the stepwise procedure. The corresponding productivity equation is presented in Equation (3). The regression model’s adjusted r2 = 0.85. The variables Tree Volume and Forking explained 78% and 7% of the variation in productivity, respectively.
l n ( P r o d u c t i v i t y ) = 3.848 0.301 F o r k i n g + 0.668 l n ( T r e e V o l u m e )
P r o d u c t i v i t y = exp ( 3.848 0.301 F o r k i n g + 0.668 l n ( T r e e V o l u m e ) )
Harvester–processor productivity increased with increasing tree volume, though the rate of increase was less for trees with forks (Figure 4). Using the productivity model (Equation (3)), the yield per ha equations (Figure 2), and the actual merchantable stocking values (Table 2), the mean predicted harvester–processor productivity values for the UTH, 700, 500, and 400 sph treatments at the rotation age (9.5 years) were 14.5, 18.3, 22.8, and 25.9 m3 PMH−1, respectively. The impact of forks on harvester–processor productivity became more prominent as tree volume increased.

3.4. LEV by Stocking Treatment

The LEV peaked at ages 9.6, 10.0, 9.8, and 10.8 (theoretical optimal rotation ages), for the UTH, 700, 500, and 400 sph treatments, respectively (Figure 5). For all treatments, the theoretical optimal rotation age exceeded the trial rotation length (age 9.5). The 700 sph treatment was found to have a substantially lower LEV due mainly to it having a lower harvesting productivity (higher harvesting cost per cubic metre) compared with the 500 and 400 sph treatments, and a lower revenue compared with that of the UTH treatment due to the 700 sph treatment having the second-lowest yield per hectare and the second-highest rotation length.
At their theoretical optimal rotation ages, the yields per hectare for the UTH, 700, 500, and 400 sph treatments were 202.2 m3 (LEV = 799.8 $ ha−1), 195.7 m3 (LEV = 58.8 $ ha−1), 190.2 m3 (LEV = 458.8 $ ha−1), and 207.7 m3 (LEV = 542.8 $ ha−1), respectively. Therefore, in comparison with the UTH treatment, net losses of 3.6 $ t−1, 1.54 $ t−1, and 1.3 $ t−1, were obtained for the 700, 500, and 400 sph treatments, respectively. To match the LEV of the UTH treatment, the yield per hectare of the 700, 500, and 400 sph treatments, would need to increase to 207.4 m3 ha−1 (6.0%), 195.4 m3 ha−1 (2.7%), and 212.9 m3 ha−1 (2.5%), respectively.

3.5. Sensitivity Analysis on LEV

Figure 6 presents a tornado chart showing the sensitivity analysis results for the 400 sph treatment for a number of factors impacting LEV (and the corresponding lowest and highest ranges). The trend was very similar for the other treatments. Variation in mill gate price and yield per ha had the highest impact on LEV. Unfavourable conditions, such as higher thinning costs, establishment costs, and leasing costs, as well as lower yields per hectare, harvesting productivities, and lower mill gate prices, negatively impacted LEV and postponed the optimal rotation age. As expected, increasing interest rates resulted in an earlier rotation age (11.0 and 10.6 years for interest rates of 6% and 8%, respectively).

4. Discussion

As would be expected based on previous studies (e.g., [2,3,4,5,6]), the reduction in inter-tree competition in the thinned treatments increased tree growth (particularly DBHOB and tree volume) relative to the tree growth in the unthinned treatment. Stocking reduction had less impact on tree height, with the only significant difference recorded being between the UTH and 400 sph treatments. Although the individual tree volumes in the thinned plots were larger than those in the unthinned plots, the total merchantable volume in the thinned plots was consistently 7–8% less relative to that in the unthinned plots. This supported the finding of [26] that heavy early thinning to final stocking may prevent trees from fully occupying the site over the course of the rotation. However, when the volume growth of the trial plots was projected past the rotation age, the total volume of the 400 sph treatment plots was predicted to equal that of the unthinned plots at around age 12.
As has been found in numerous previous studies (e.g., [27,28,29,30]), the main driver of harvester productivity was found to be tree size, with productivity increasing as tree size increased. Tree size accounted for 78% of the variation in harvester productivity. Forking was the major stem form defect recorded in the current trial and accounted for 7% of the variation in harvester productivity. The proportion of forking in the current trial was much greater than that reported in recent trials in other Australian Eucalyptus globulus plantations [45,46]. The forking was likely to have mainly resulted from parrot damage recorded at the trial site as forking has been found to be the most common defect resulting from parrot damage [40]. Forking reduced harvester productivity through increased processing time as the operator had to detach and separately process each limb of the fork. In a previous study, it has been found that the presence of large branches and forks can reduce harvester productivity by up to 20% [47]. Branch thickness has been found to increase following thinning in eucalypt plantations [5,19] but Class 2 branchiness was found on very few trees in the current trial and had a negligible impact on harvester productivity. Harvester productivity for all treatments in the trial (good stem form trees only) was less than that predicted by the general harvester productivity model for Australian E. globulus plantations [48] using the mean tree volumes for each treatment. There are several potential reasons for these differences. The trial harvester power (123 kW) was less than the average power for the harvesters included in the general model (133 kW), which may explain why the difference between the measured and predicted harvester productivity values increased as mean tree volume increased. A link between reduced harvester productivity and time since rain was suggested by [48], based on the finding by [49] that eucalypt debarking difficulty increased with increasing soil dryness. In the current study, no rain had fallen for two weeks prior to the trial and only 7 mm had fallen in the two weeks before that. Operator performance has also been shown to have a significant impact on harvester productivity ([50]), but was not assessed in the current trial.
Harvester cycle times were significantly longer for the 400 and 500 sph treatments than for the unthinned and 700 sph treatments, which reflected the longer processing times for the larger trees in the 400 and 500 sph treatments and the longer moving times between trees in these treatments due to wider inter-tree spacing.
The unthinned treatment had the highest LEV in the study, largely because it had the shortest rotation length, the second-highest yield per hectare, and no thinning costs. For thinning to be economically justified, the additional costs incurred by thinning must be recovered by higher returns or by savings elsewhere in the rotation. As the wood from all treatments in the current study was sold as pulplogs, thinning costs could only be offset by savings. The only area where savings could be made was from decreased harvest costs resulting from the impact of increased mean tree sizes on harvester productivity in thinned stands. This resulted in the harvest cost for the 400 sph treatment being almost half that for the unthinned treatment, which substantially reduced the costs for the 400 sph treatment but was offset by an increase in annual maintenance costs resulting from a longer optimal rotation length. However, as the LEVs were found to be highly sensitive to the yield per hectare, the findings of [18] that an Eucalyptus globulus stand thinned to 600 sph was able to produce greater total wood volume than an unthinned stand at age 10 on a highly productive site suggested that it may be possible for the LEV of a thinned stand to equal or exceed that of an unthinned stand under some circumstances, though LEV was not calculated in that trial.
The LEVs were most sensitive to the mill gate price. In a comparison of two silvicultural regimes for Pinus radiata with the same MAI values, [51] found that the regime with the greater LEV was that which produced the higher proportion of sawn timber. Recent research suggested that logs from young Eucalyptus globulus trees have the potential to be used for higher value products such as sawn timber [52] and veneer [53]. The relatively small diameter of the trees in the current study and, more particularly, the knots resulting from the trees being unpruned would mean that most of the sawn timber or veneer products obtained from these trees would be likely to be in the poorer, low value grades [54]. However, given the sensitivity of the LEVs to mill gate price, the mean mill gate price for the 400 sph treatment has to rise by only $1.35 m−3 for the 400 sph LEV to exceed that of the unthinned treatment.

5. Conclusions

This paper has presented the results of an economic analysis of a Eucalyptus globulus stocking and harvesting trial in south-west Western Australia. The impact of modifying plantation stocking density through initial spacing and/or later thinning on individual tree size can affect final harvest costs and productivity, as numerous previous studies have shown that tree size is the major driver of harvesting costs and productivity. However, the impacts of tree size on harvest costs needs to be considered in the context of the total costs and returns for a rotation.
The early-age thinning to waste carried out on the treated plots in the study increased mean diameter up to 45% and mean height up to 19% when comparing the 400 sph treatment with the standard 1000 stocking (UTH). The thinning operation prioritised the removal of poor-form trees. The improvement in mean tree form and the increase in tree volume on the thinned plots increased harvester productivity by up to 66% for the 400 sph treatment compared with its productivity in the unthinned treatment. A preliminary analysis indicated that this could reduce direct harvesting costs by up to 40%, although this was not presented in the paper.
The mean tree volume in the 400 sph treatment was double that of the UTH treatment at time of harvest which reduced its harvest costs to approximately half of those for the UTH treatment. However, the final stand yield per hectare of the thinned stands was approximately 7–8% lower than that of the UTH treatment at time of harvest. The economic analysis showed that all of the thinning treatments resulted in a lower Land Expectation Value (LEV) and net financial loss at their theoretical optimal rotation age when compared with the control (UTH) treatment. The positive impacts on individual tree growth and form resulting from thinning and the associated reductions in harvesting costs were less than the overall value losses resulting from reduced per hectare yield. However, relatively small increases in the yield per hectare or in the mean mill gate price through the sale of a portion of the timber as higher-value products could result in the thinned treatment LEVs exceeding that of the UTH treatment.

Acknowledgments

Western Australian Plantation Resources (WAPRES) staff are thanked for their support with this study.

Author Contributions

M.A. was involved in the design and planning of the study, analysed the data, and conducted the economic analysis; he also wrote the Methodology, Results, and Conclusions sections, and parts of the Introduction section; M.S. wrote the Introduction and Discussion sections, and conducted the proofreading of the manuscript; J.W. was involved in the planning and design of the study, and data collection; he also reviewed the Methodology and Results sections of the manuscript; R.M. was involved in the review of the whole article.

Conflicts of Interest

The authors declare no conflict of interest.

References

  1. Australian Bureau of Agricultural and Resource Economics and Sciences (ABARES). Australian Plantation Statistics; Australian Bureau of Agricultural and Resource Economics and Sciences: Canberra, Australia, 2016.
  2. Sutton, W.R.J. Initial spacing and financial return of Pinus radiata on coastal sands. N. Z. J. For. 1968, 13, 203–219. [Google Scholar]
  3. Peltola, H.; Gort, J.; Pulkkinen, P.; Zubizarreta Gerendiain, A.; Karppinen, J.; Ikonen, V.-P. Differences in growth and wood density traits in Scots pine (Pinus sylvestris L.) genetic entries grown at different spacing and sites. Silva Fenn 2009, 43, 339–354. [Google Scholar] [CrossRef]
  4. McClain, K.M.; Morris, D.M.; Hills, S.C.; Buse, L.J. The effects of initial spacing on growth and crown development for planted northern conifers: 37-year results. For. Chron. 1994, 70, 174–182. [Google Scholar] [CrossRef]
  5. Neilsen, W.A.; Gerrand, A.M. Growth and branching habit of Eucalyptus nitens at different spacing and the effect of final crop selection. For. Ecol. Manag. 1999, 123, 217–229. [Google Scholar] [CrossRef]
  6. Schonau, A.P.G. The effect of planting espacement and pruning on growth, yield and timber density of Eucalyptus grandis. S. Afr. For. J. 1974, 88, 16–23. [Google Scholar]
  7. Gascon, R.J.; Krinard, R.M. Biological Response of Plantation Cottonwood to Spacing, Pruning and Thinning; Symposium on Eastern Cottonwood and Related Species; Thielges, B.A., Land, S.B., Eds.; Louisiana State University: Baton Rouge, LA, USA, 1976; pp. 385–391. [Google Scholar]
  8. Meade, D.J. Opportunities for improving plantation productivity. How much? How quickly? How realistic? Biomass Bioenergy 2005, 28, 249–266. [Google Scholar] [CrossRef]
  9. Pollack, J.C.; Johnstone, W.C.; Coates, K.D.; LePage, P. The Influence of Initial Spacement on the Growth of a 32-Year-Old White Spruce Plantation; Research Note 111; BC Ministry of Forests: Fort Fraser, BC, Canada, 1992; p. 16.
  10. Poynton, R.J. The Silvicultural Treatment of Eucalypt Plantations in Southern Africa. S. Afr. For. J. 1981, 116, 11–16. [Google Scholar] [CrossRef]
  11. Gerrand, A.M.; Neilsen, W.A.; Medhurst, J.L. Thinning and pruning eucalypt plantations in Tasmania. Tasforests 1997, 9, 15–34. [Google Scholar]
  12. Forrester, D.I.; Medhurst, J.L.; Wood, M.; Beadle, C.L.; Valencia, J.C. Growth and physiological responses to silviculture for producing solid-wood products from Eucalyptus plantations: An Australian perspective. For. Ecol. Manag. 2010, 259, 1819–1835. [Google Scholar] [CrossRef]
  13. Opie, J.E.; Curtin, R.A.; Incoll, W.D. Stand Management. In Eucalypts for Wood Production; Hillis, W.E., Brown, A.G., Eds.; Academic: London, UK, 1984; pp. 179–197. [Google Scholar]
  14. West, P.W. Growing Plantation Forests, 2nd ed.; Springer: Cham, Switzerland, 2014. [Google Scholar]
  15. Bulman, L.S. Cyclaneusma needle-cast and Dothistroma needle blight in NZ pine plantations. N. Z. For. 1993, 38, 21–24. [Google Scholar]
  16. Waring, K.M.; O‘Hara, K.L. Silvicultural strategies in forest ecosystems affected by introduced pests. For. Ecol. Manag. 2005, 209, 27–41. [Google Scholar] [CrossRef]
  17. Butcher, T.B.; Havel, J.J. Influence of moisture relationships on thinning practice. N. Z. J. For. Sci. 1976, 6, 158–170. [Google Scholar]
  18. White, D.A.; Crombie, D.S.; Kinal, J.; Battaglia, M.; McGrath, J.F.; Mendham, D.S.; Walker, S.N. Managing productivity and drought risk in Eucalyptus globulus plantations in south-western Australia. For. Ecol. Manag. 2009, 259, 33–44. [Google Scholar] [CrossRef]
  19. Medhurst, J.L.; Beadle, C.L. Crown structure and leaf area index development in thinned and unthinned Eucalyptus nitens plantations. Tree Physiol. 2001, 21, 989–999. [Google Scholar] [CrossRef] [PubMed]
  20. Shepherd, K. Plantation Silviculture; Nijhoff Publishers: Doordrecht, The Netherlands, 1986. [Google Scholar]
  21. Reed, W.; Apaloo, J. Evaluating the Effects of Risk on the Economics of Juvenile Spacing and Commercial Thinning. Can. J. For. Res. 1991, 21, 1390–1400. [Google Scholar] [CrossRef]
  22. Leask, J.; Smith, R. Guidelines for Plantation Fire Protection; Fires and Emergency Services Authority of Western Australia, FESA: Perth, Australia, 2011; p. 36. [Google Scholar]
  23. Jactel, H.; Nicoll, B.C.; Branco, M.; Gonzalez-Olabarria, J.R.; Grodzki, W.; Långström, B.; Moreira, F.; Netherer, S.; Orazio, C.; Piou, D.; et al. The influences of forest stand management on biotic and abiotic risks of damage. Ann. For. Sci. 2009, 66, 701. [Google Scholar] [CrossRef]
  24. Forrester, D.I.; Elms, S.R.; Baker, T.G. Relative, but not absolute, thinning responses decline with increasing thinning age in a Eucalyptus nitens plantation. Aust. For. 2013, 76, 121–127. [Google Scholar] [CrossRef]
  25. Stone, C.; Penman, T.; Turner, R. Managing drought-induced mortality in Pinus radiata plantations under climate change conditions: A local approach using digital camera data. For. Ecol. Manag. 2012, 265, 94–101. [Google Scholar] [CrossRef]
  26. Medhurst, J.L.; Beadle, C.L.; Neilsen, W.A. Early-age and later-age thinning affects growth, dominance, and intraspecific competition in Eucalyptus nitens plantations. Can. J. For. Res. 2001, 31, 187–197. [Google Scholar] [CrossRef]
  27. Acuna, M.A.; Kellogg, L. Evaluation of Alternative Cut-to-Length Harvesting Technology for Native Forest Thinning in Australia. Int. J. For. Eng. 2009, 20, 17–25. [Google Scholar]
  28. Jiroušek, R.; Klvač, R.; Skoupy, A. Productivity and costs of the mechanised cut-to-length wood harvesting system in clear-felling operations. J. For. Sci. 2007, 53, 476–482. [Google Scholar]
  29. Spinelli, R.; Owende, P.M.O.; Ward, S. Productivity and cost of CTL harvesting of Eucalyptus globulus stands using excavator-based harvesters. For. Prod. J. 2002, 52, 67–77. [Google Scholar]
  30. Strandgard, M.; Walsh, D.; Acuna, M.A. Estimating harvester productivity in Pinus radiata plantations using StanForD stem files. Scand. J. For. Res. 2013, 28, 73–80. [Google Scholar] [CrossRef]
  31. Plamondon, J.; Pitt, D.G. Effects of precommercial thinning on the forest value chain in northwestern New Brunswick: Part 2—Efficiency gains in cut-to-length harvesting. For. Chron. 2013, 89, 458–463. [Google Scholar] [CrossRef]
  32. Strandgard, M.; Walsh, D.; Mitchell, R. Productivity and cost of whole tree harvesting without debarking in a Eucalyptus nitens plantation in Tasmania, Australia. South For. 2015, 77, 173–178. [Google Scholar]
  33. Hartsough, B.; Spinelli, R.; Pottle, S.; Klepac, J. Fiber Recovery with Chain Flail Delimbing/Debarking and Chipping of Hybrid Poplar. J. For. Eng. 2000, 11, 59–68. [Google Scholar]
  34. Nakagawa, M.; Hamatsu, J.; Saitou, T.; Ishida, H. Effect of tree size on productivity and time required for work elements in selective thinning by a harvester. Int. J. For. Eng. 2007, 18, 24–28. [Google Scholar]
  35. Tong, Q.J.; Zhang, S.Y.; Thompson, M. Evaluation of growth response, stand value and financial return for pre-commercially thinned jack pine stands in Northwestern Ontario. For. Ecol. Manag. 2005, 209, 225–235. [Google Scholar] [CrossRef]
  36. Samuelson, P. The economics of forestry in an evolving society. Econ. Inq. 1976, 14, 466–492. [Google Scholar] [CrossRef]
  37. Faustmann, M. Calculation of the value which forestland and immature stands possess for forestry. J. For. Econ. 1995, 1, 7–44. [Google Scholar]
  38. Brazee, R.; Mendelsohn, R. Timber Harvesting with Fluctuating Timber Prices. For. Sci. 1988, 34, 359–372. [Google Scholar]
  39. Hartman, R. The Harvesting Decision when a forest stand has value. Econ. Inq. 1976, 14, 52–55. [Google Scholar] [CrossRef]
  40. Shedley, E.; Adams, M. Parrot Damage in Tasmanian Bluegum Plantations in the South-West of Western Australia. In Proceedings of the Eleventh Australian Vertebrate Pest Control Conference, Bunbury, WA, Australia, 3–8 May 1998; pp. 247–253. [Google Scholar]
  41. Abdi, H. Bonferroni and Šidák corrections for multiple comparisons. In Encyclopedia of Measurement and Statistics; Salkind, N.J., Ed.; Sage: Thousand Oaks, CA, USA, 2007. [Google Scholar]
  42. Holm, S. A simple sequentially rejective multiple test procedure. Scand. J. Stat. 1979, 6, 65–70. [Google Scholar]
  43. Chang, S.J. The determination of the optimal rotation age: A theoretical analysis. For. Ecol. Manag. 1984, 8, 137–147. [Google Scholar] [CrossRef]
  44. Coordes, R. Optimal Thinning within the Faustmann Approach; Springer Vieweg: Berlin, Germany, 2014; p. 246. [Google Scholar]
  45. Strandgard, M.; Mitchell, R. Impact of number of stems per stool on mechanical harvesting of a Eucalyptus globulus coppiced plantation in south-west Western Australia. South For. 2017, 1–6. [Google Scholar] [CrossRef]
  46. Hamilton, M.G.; Acuna, M.; Wiedemann, J.C.; Mitchell, R.; Pilbeam, D.J.; Brown, M.W.; Potts, B.M. Genetic control of Eucalyptus globulus harvest traits. Can. J. For. Res. 2015, 45, 615–624. [Google Scholar] [CrossRef]
  47. Labelle, E.R.; Soucy, M.; Cyr, A.; Pelletier, G. Effect of Tree Form on the Productivity of a Cut-to-Length Harvester in a Hardwood Dominated Stand. Croat. J. For. Eng. 2016, 37, 175–183. [Google Scholar]
  48. Strandgard, M.; Mitchell, R.; Acuna, M. General productivity model for single grip harvesters in Australian eucalypt plantations. Aust. For. 2016, 79, 108–113. [Google Scholar] [CrossRef]
  49. Van den Berg, G.J.; Little, K.M. Effect of rainfall and under-canopy vegetation on the ability to debark Eucalyptus grandis x E. camaldulensis when felled in Zululand, South Africa. S. Afr. For. J. 2004, 200, 71–75. [Google Scholar]
  50. Ovaskainen, H.; Uusitalo, J.; Väätäinen, K. Characteristics and Significance of a Harvester Operators’ Working Technique in Thinnings. Int. J. For. Eng. 2004, 15, 67–76. [Google Scholar]
  51. Sutton, W.R.J. Comparison of Alternative Silvicultural Regimes for Radiata Pine. N. Z. J. For. Sci. 1976, 6, 350–356. [Google Scholar]
  52. Yang, J.-L.; Fife, D.; Waugh, G.; Downes, G.; Blackwell, P. The effect of growth strain and other defects on the sawn timber quality of 10-year-old Eucalyptus globulus Labill. Aust. For. 2002, 65, 31–37. [Google Scholar] [CrossRef]
  53. McGavin, R.L.; Bailleres, H.; Hamilton, M.; Blackburn, D.; Vega, M.; Ozarska, B. Variation in Rotary Veneer Recovery from Australian Plantation Eucalyptus globulus and Eucalyptus nitens. Bioresources 2015, 10, 313–329. [Google Scholar] [CrossRef][Green Version]
  54. Nolan, G.B.; Greaves, B.L.; Washusen, R.; Parsons, M.; Jennings, S. Eucalypt Plantations for Solid Wood Products in Australia—A Review ‘If You Don’t Prune It, We Can’t Use It’; PN04.3002; Forest Wood Products Research and Develoment Corporation: Melbourne, VIC, Australia, 2005; p. 130. [Google Scholar]
Figure 1. Combined histogram/box-plot charts for variate “Tree volume” by stocking treatment. The vertical red line in the box plot corresponds to the mean value.
Figure 1. Combined histogram/box-plot charts for variate “Tree volume” by stocking treatment. The vertical red line in the box plot corresponds to the mean value.
Forests 08 00415 g001
Figure 2. Standing volume curves by stocking treatment.
Figure 2. Standing volume curves by stocking treatment.
Forests 08 00415 g002
Figure 3. Mean annual increment (MAI) curves by stocking treatment.
Figure 3. Mean annual increment (MAI) curves by stocking treatment.
Forests 08 00415 g003
Figure 4. Harvesting productivity as a function of tree volume with and without forks. PMH is the productive machine hour excluding delays.
Figure 4. Harvesting productivity as a function of tree volume with and without forks. PMH is the productive machine hour excluding delays.
Forests 08 00415 g004
Figure 5. Land expectation values (LEVs) by stocking treatment.
Figure 5. Land expectation values (LEVs) by stocking treatment.
Forests 08 00415 g005
Figure 6. Tornado chart showing the effect of various factors on LEV (400 sph treatment). The lowest and highest range evaluated for each factor are shown in parentheses.
Figure 6. Tornado chart showing the effect of various factors on LEV (400 sph treatment). The lowest and highest range evaluated for each factor are shown in parentheses.
Forests 08 00415 g006
Table 1. Harvesting work elements recorded during the study.
Table 1. Harvesting work elements recorded during the study.
Work ElementDescription
FellingBegins when crane starts to engage the tree and ends when processing commences
ProcessingDebarking, delimbing, and bucking (i.e., cross-cutting) of logs. Commences when tree is horizontal or feed rollers commence turning
Brushing or clearingRemoval or movement of slash, undergrowth, or unmerchantable trees
MovingNot associated with felling and processing, harvester moving within a pass (3 harvested rows per pass)
TravellingMovement between passes or bays
DelayAny interruption that causes the harvester to cease working during a shift
Table 2. Tree and stand factors at time of harvest. Values within a row sharing a letter were not significantly different at p = 0.05. UTH corresponds to the unthinned control treatment.
Table 2. Tree and stand factors at time of harvest. Values within a row sharing a letter were not significantly different at p = 0.05. UTH corresponds to the unthinned control treatment.
Tree and Stand FactorsTarget Stocking (Trees ha−1)
UTH700500400
Number of treatment plots3366
Actual merchantable stocking, trees ha−1978637489393
Mean tree diameter (DBHOB), mm 167 a205 b226 b253 c
Mean tree height, m19.8 a21.4 ab22.2 ab23.7 b
Mean standing tree volume, m3 tree−10.233 a0.286 ab0.366 b0.464 c
Stem form (Forking), % of trees
Class 162627777
Class 238382323
Merchantable yield, tonnes ha−1 *194.6179.9178.1180.2
Differential −8%−8%−7%
* The weight to volume conversion ratio was 1:1 based on samples of logs measured and weighted to confirm standard average ratio.
Table 3. Summary of harvester–processor time study. Values within a row sharing a letter were not significantly different at p = 0.05.
Table 3. Summary of harvester–processor time study. Values within a row sharing a letter were not significantly different at p = 0.05.
UTH700500400
Work ElementMean time per cycle, sec.% of cycle timeMean time per cycle, sec.% of cycle timeMean time per cycle, sec.% of cycle timeMean time per cycle, sec.% of cycle time
Felling16.117.614.416.914.314.815.715.8
Processing71.3 a78.166.5 a78.277.3 b79.977.8 b78.2
Brushing or cleaning0.80.80.120.10.260.30.200.2
Moving3.0 a3.33.8 ab4.54.7 bc4.95.6 c5.6
Travelling0.20.20.20.20.20.20.20.2
Total91.4 a100.085.0 a100.096.8 b100.099.5 b100.0

Share and Cite

MDPI and ACS Style

Acuna, M.; Strandgard, M.; Wiedemann, J.; Mitchell, R. Impacts of Early Thinning of a Eucalyptus globulus Labill. Pulplog Plantation in Western Australia on Economic Profitability and Harvester Productivity. Forests 2017, 8, 415. https://doi.org/10.3390/f8110415

AMA Style

Acuna M, Strandgard M, Wiedemann J, Mitchell R. Impacts of Early Thinning of a Eucalyptus globulus Labill. Pulplog Plantation in Western Australia on Economic Profitability and Harvester Productivity. Forests. 2017; 8(11):415. https://doi.org/10.3390/f8110415

Chicago/Turabian Style

Acuna, Mauricio, Martin Strandgard, John Wiedemann, and Rick Mitchell. 2017. "Impacts of Early Thinning of a Eucalyptus globulus Labill. Pulplog Plantation in Western Australia on Economic Profitability and Harvester Productivity" Forests 8, no. 11: 415. https://doi.org/10.3390/f8110415

APA Style

Acuna, M., Strandgard, M., Wiedemann, J., & Mitchell, R. (2017). Impacts of Early Thinning of a Eucalyptus globulus Labill. Pulplog Plantation in Western Australia on Economic Profitability and Harvester Productivity. Forests, 8(11), 415. https://doi.org/10.3390/f8110415

Note that from the first issue of 2016, this journal uses article numbers instead of page numbers. See further details here.

Article Metrics

Back to TopTop