Next Article in Journal
Effects of Moso Bamboo (Phyllostachys edulis) Forest Expansion on Soil Bacterial and Fungal Community Structure and Diversity in Subtropical China
Previous Article in Journal
Analysis of Dust Retention Capacity in Typical Plant Communities Along Roadside Green Belts in Southern Xinjiang During Spring and Summer
 
 
Font Type:
Arial Georgia Verdana
Font Size:
Aa Aa Aa
Line Spacing:
Column Width:
Background:
Article

The Wood Density of Pure and Mixed Norway Spruce, Scots Pine, and Silver Birch Stands in Lithuania Using IML Resi

by
Benas Šilinskas
1,*,
Edgaras Linkevičius
1,
Lina Beniušienė
2,
Marius Aleinikovas
2,
Inga Zeleniakienė
2,
Mindaugas Škėma
2 and
Karol Tomczak
3,4
1
Faculty of Forest Sciences and Ecology, Vytautas Magnus University Agriculture Academy, Studentų Str. 11, Akademija, LT-53361 Kaunas, Lithuania
2
Lithuanian Research Centre for Agriculture and Forestry, Institute of Forestry, Liepu Street 1, Girionys, LT-53101 Kaunas, Lithuania
3
Department of Forest Utilization, Faculty of Forestry and Wood Technology, Poznań University of Life Sciences, Wojska Polskiego 71A, 60-625 Poznan, Poland
4
Łukasiewicz Research Network—Poznań Institute of Technology, 6 Ewarysta Estkowskiego St., 61-755 Poznan, Poland
*
Author to whom correspondence should be addressed.
Forests 2026, 17(3), 376; https://doi.org/10.3390/f17030376
Submission received: 26 February 2026 / Revised: 12 March 2026 / Accepted: 16 March 2026 / Published: 18 March 2026
(This article belongs to the Section Wood Science and Forest Products)

Abstract

The transition from pure to mixed-species forest stands is increasingly promoted to enhance ecosystem stability and multifunctionality. The growth conditions may influence the physical and mechanical properties of wood. This study evaluated wood density in pure and mixed stands of silver birch, Norway spruce, and Scots pine in Lithuania and analyzed its relationships with tree allometric parameters. Nine study plots representing pure (100%) and mixed (70/30%) stands were established under comparable site conditions. Wood density at breast height was assessed using resistance drilling (IML Resi PD500), and the increment core samples were analyzed with the LIGNOSTATION™ system. The mean values of wood density for silver birch differed by 11%, depending on the wood density determination method used. Differences between pure and mixed stands were insignificant and generally did not exceed 6%–10%. No consistent trend that was attributable to species mixing was identified. The combined data from pure and mixed stands indicate that the mean wood density, converted from microdrilling measurements, was highest in silver birch (546 kg m−3 ± 1.87 kg m−3), followed by Scots pine (476 kg m−3 ± 1.85 kg m−3) and Norway spruce (437 kg m−3 ± 1.66 kg m−3). Resistance drilling showed a moderate relationship with the core samples’ wood density (R2 = 0.59), supporting its suitability as a semi-nondestructive method. Diameter at breast height was the only tree parameter that was consistently significant across all predictive models. The combined model for all species explained up to 43% of wood density variation, while species-specific models had lower explanatory power. Overall, the results indicate that species mixing has a limited effect on wood density under the studied conditions and is unlikely to substantially alter wood quality in terms of wood density.

1. Introduction

Silver birch (Betula pendula Roth.), Norway spruce (Picea abies (L.) H. Karst.), and Scots pine (Pinus sylvestris L.) are the most common tree species in Lithuania and together account for approximately 76% of the total standing timber volume. The pure stands of these tree species consist of 82% for pine, 74% for spruce, and 62% for birch in Lithuania forests [1]. For the last ten years in Lithuania, it has been recommended through reforestation and afforestation that forest stands be established with at least two different tree species through reforestation and afforestation. Numerous studies highlight the critical importance of species diversity for maintaining forest ecosystem functions and services [2,3]. Mixed-species stands are increasingly favored in forest management, due to evidence suggesting that they have greater potential for productivity, multifunctionality, and ecological value than monocultures [2,4].
Wood density is a fundamental indicator of wood quality [5,6]. The wood density is used as a primary metric for determining the suitability of timber for industrial applications such as construction lumber, pulp production, and furniture manufacturing [7,8]. It is strongly correlated with essential mechanical properties, including strength, stiffness, and hardness, and is a key variable for estimating the total mass of a tree [6,9,10]. From an ecological perspective, wood density reflects the amount of carbon sequestered in the wood tissue, with denser wood storing higher quantities of carbon over its lifecycle [9].
In modern forest management, there is a global shift away from even-aged monocultures toward more complex and heterogeneous stands, such as mixed-species configurations [11,12]. Boreal and temperate mixed wood forests are valued for their ability to provide greater resource heterogeneity and higher biodiversity than most pure species stands [11]. Additionally, these complex structures can enhance stands’ resistance to environmental risks, including wind damage, disease, and insect outbreaks [11]. Silvicultural treatments, such as shelterwood systems, further modify these interactions by altering the availability of light, nutrients, moisture, and temperature for understorey trees [13].
The impact of species mixing on wood density is complex and varies significantly based on species-specific morphological plasticity and spatial arrangements within the stand [12]. Generally, a negative correlation exists between the annual ring width and wood density in coniferous species like Norway spruce and Scots pine—lower growth rates often promote the production of higher-density wood [9,13]. In contrast, ring-porous hardwoods like oaks usually show an increase in density with faster growth rates, while diffuse-porous species like beech remain relatively unaffected by growth fluctuations [12,14].
While species mixing often leaves the wood density of certain species unaffected, research has demonstrated that Norway spruce wood density can increase significantly when grown in mixed stands with European beech compared to neighboring pure stands [12]. Ultimately, the structural diversity found in mixed forests tends to produce a broader range of wood attributes and greater variability in quality profiles compared to the more uniform results that are typical of traditional monocultures.
Research indicates that wood density in pure and mixed stands of Scots pine (Pinus sylvestris L.), Norway spruce (Picea abies (L.) H. Karst.), and silver birch (Betula pendula L. Roth.) is primarily determined by species characteristics, tree age, and growth rates, while the specific species composition of the stand (pure vs. mixed) often has a secondary influence [15,16]. Studies involving both pure and mixed stands suggest that individual tree variation is much greater than the variation between different stands [17]. In Sweden, the stand-level variation explained only a small percentage (around 5%–7%) of the total wood density variation, whereas tree-to-tree differences within the same stand were far more substantial [17].
There is a positive correlation between age and basic density, which is particularly evident in silver birch [15]. Basic density is directly linked to fiber cell wall thickness; thicker walls result in a higher density, while larger lumen diameters are associated with lower density [18]. In Scots pine, density typically increases down the stem toward breast height [17].
For non-destructive wood density determination, different devices and methods are used. Microdrilling, often referred to by the commercial name resistography, is a semi-nondestructive mechanical method used to assess the internal properties of standing trees and structural timber [19]. The technique involves driving a thin, rotating needle—typically with a 1.5 mm diameter shaft and a 3 mm wide triangular spade tip—into the wood at a constant feed speed and rotation rate [20]. As the needle penetrates, the instrument measures the drilling resistance, which is recorded as torque or the energy consumed by the motor to maintain constant speed [20]. There is a strong positive correlation between the drilling resistance amplitude and basic wood density [20]. This allows researchers to predict the density across various species, including softwoods such as Southern Pine and hardwoods such as Eucalyptus [20].
For more accurate wood density predictions, researchers often rely on the Global Wood Density Database, which contains more than 109,000 wood density records [21]. Additionally, near-infrared spectroscopy (NIR) imaging systems are increasingly used as a method for estimating wood density [22].The aim of this study was to evaluate the wood density by microdrilling in pure and mixed stands of Norway spruce, Scots pine and silver birch and to determine the relationships between the wood density and tree allometry parameters. The hypothesis of this study is that the admixture of tree species may increase the wood density. The main objective of this study is to establish the relationship between two methods used for determining wood density and to promote the use of the microdrilling technique in Lithuanian forestry practice as a reliable and rapid tool for wood density estimation.

2. Materials and Methods

2.1. Study Site

This study was conducted on 9 study plots located along the eastern coast of the Baltic Sea between latitudes 53°54′–56°27′ N and longitudes 20°56′–26°51′ E in Lithuania. The country covers an area of 65,200 km2. It lies within the temperate climate zone, characterized by transitional conditions between the maritime climate of Western Europe and the continental climate of Eastern Europe [23]. Lithuania lies within the southern part of the hemiboreal forest zone and is situated in a natural transition area between boreal and nemoral forests. Forests occupy approximately 2.2 million hectares, representing 33.9% of the national territory [1]. Coniferous stands predominate, accounting for 55.5% of the total forest area. Scots pine (Pinus sylvestris) is the most abundant species, covering 34.3% of the forested land, followed by Norway spruce (Picea abies) with 21.2%, and silver birch (Betula pendula) with 21.8% [1].

2.2. Study Plots and Field Measurements

Based on defined criteria, nine study plots were chosen from forest inventory records, with three plots allocated to each dominant tree species (Figure 1). The criteria included soil conditions (Nbl—infertile light soils with a normal moisture regime), stand age between 80 and 100 years old (5th age class), stocking density (0.7), and species composition. For each dominant species—Norway spruce, Scots pine, and silver birch—one plot represented a pure stand (10S, 10P, and 10B, respectively). The remaining plots consisted of mixed stands containing 70% of the dominant species and 30% of associated species, arranged as evenly as possible within each plot (7P3B, 7P3S, 7S3B, 7S3P, 7B3S, and 7B3P).
Within each study plot, two rectangular sample plots measuring 20 × 30 m were established, resulting in a total sampled area of 0.12 ha per study plot. The following stand and tree attributes were assessed: diameter at breast height (DBH), tree height (H), height to the base of the live crown (HL), crown width (CW), competition index (CI), and wood density (WD). A total of 809 trees were measured for analysis.
Diameter at breast height (1.3 m above ground) was measured using a caliper in two perpendicular directions (north–south and east–west). The mean of these two measurements was used as the final DBH value.
The tree height and height to crown base were measured using a Haglöf Vertex 3 ultrasonic hypsometer (Haglöf Sweden AB, Långsele, Sweden) in combination with a T3 transponder.
The crown width was determined by measuring the horizontal distance across the crown in two perpendicular directions (north–south and east–west), using a measuring tape. The average of the two measurements was taken as the crown width.
The measured DBH data were subsequently used to calculate the competition index (CI) following Hegyi’s method [24], a widely applied index for quantifying competitive interactions between trees within forest stands.
C I = j = 1 N D j D i × L i j
where i—the target tree, j—the competing tree j, Di—the DBH of the target tree, Dj—the DBH of the competing tree j, Lij—the distance between the target tree i and competing tree j, and N—the number of competing trees. All trees at a distance of 1–2.8 m from the model trees were included to calculate the Hegyi CI.
Drilling resistance data were measured using an IML Resi PD500 (IML North America, LLC, Merdith, NH, USA) resistance drilling device. All trees were measured with a 500 mm drill at a drilling speed of 20 cm min−1 and a rotation speed of 2500 rpm. Resistance drilling was performed in the north–south (N–S) direction at breast height. The Resi data were analyzed using FWPA Resi Version 5.3.0 analysis software to convert the drilling resistance data to wood density.
In addition, 10 trees were randomly selected from each site and analyzed using a Pilodyn 6J (PROCEQ, Zurich, Switzerland) wood hardness device. Increment core samples were collected at breast height using a Pressler drill (Haglöf Sweden AB, Långsele, Sweden). The core samples were weighed and transported to the laboratory for wood density analysis.
The wood density of the core samples was determined using the LIGNOSTATION™ system (Rinntech-Metriwerk GmbH & Co. KG, Heidelberg, Germany). All measured wood density values with LIGNOSTATION were recalculated to a standard moisture content of 12%.

2.3. Statistical Analysis

For the normally distributed parameters, the analysis of variance (ANOVA), followed by Duncan’s multiple range test, was applied to determine whether statistically significant differences existed in the wood density between different sites for each tree species.
Pearson correlation analysis was performed to examine relationships among the measured parameters. General linear models were developed to describe wood density based on the tree growth parameters.
For the prediction of the wood density (WD) from the tree characteristics, the following equations were developed:
WD = a0 + a1DBH + a2H + a3HL a4CW + ε
here, a0—are intercept; a1, a2, … xn—parameter estimates; DBH—diameter at breast height; H—tree height; HL—height to the base of the live crown; CW—crown width; and ε—error terms.
The analyses were conducted at a 95% confidence level using SAS software version 9.4 (SAS Institute Inc., Cary, NC, USA).

3. Results

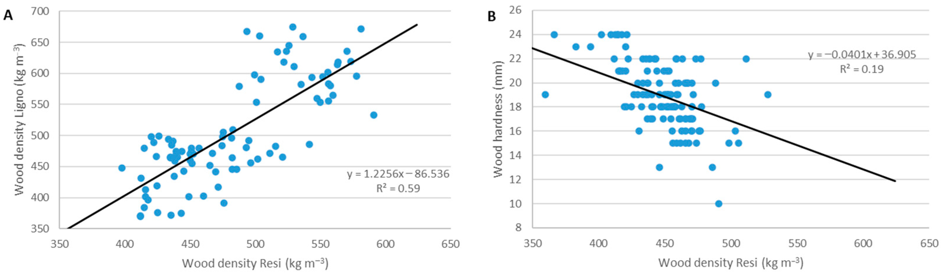
The wood density of tree core samples from randomly selected trees was analyzed using linear models to examine the relationship between the core sample wood density and drilling resistance-derived wood density. The coefficient of determination between the core sample wood density and Resi-derived wood density was R2 = 0.59. In contrast, the relationship between wood hardness and Resi-derived wood density was weaker, with an R2 value of 0.19 (Figure 2). These results demonstrate that the microdrilling method is a reasonably reliable approach for predicting wood density, achieving an accuracy of approximately 60%. In contrast, the prediction of wood hardness using the microdrilling technique showed weak relationships. Overall, the microdrilling method appears to be a more useful and accurate non-destructive technique for estimating wood density compared with the wood hardness assessments obtained using the Pilodyn tool.
The wood density from microdrilling data varied for silver birch from 428 kg m−3 to 624 kg m−3, Norway spruce from 335 kg m−3 to 566 kg m−3, and Scots pine from 409 kg m−3 to 554 kg m−3. The mean wood density values for silver birch (546 kg m−3 ± 1.87 kg m−3), Norway spruce (437 kg m−3 ± 1.66 kg m−3), and Scots pine (476 kg m−3 ± 1.85 kg m−3) were converted from the drilling resistance data.
The wood density from the core samples’ data varied for silver birch from 534 kg m−3 to 674 kg m−3, Norway spruce from 369 kg m−3 to 498 kg m−3, and Scots pine from 371 kg m−3 to 509 kg m−3. The mean wood density values for silver birch (606 kg m−3 ± 7.08 kg m−3), Norway spruce (436 kg m−3 ± 7.70 kg m−3), and Scots pine (470 kg m−3 ± 4.78 kg m−3) were measured with the Lignostation system.
The mean silver birch wood density was higher in mixtures with Scots pine than in mixtures with Norway spruce or in pure silver birch stands. The difference in wood density between the pure silver birch stand and the lowest-value mixed stand (7B3S) was 6%.
In Norway spruce, stands with a 30% spruce proportion had statistically significantly lower mean wood density than stands with 70% and 100% Norway spruce. The difference in wood density between the pure Norway spruce stand and the lowest-value mixed stand (7B3S) was 10%.
For Scots pine, only the 7P3B site exhibited a higher wood density than the pure Scots pine stand, while all the other mixed pine sites had lower wood density values. The difference in wood density between the pure Scots pine stand and the lowest-value mixed stand (7B3P) was 7% (Figure 3).
Correlation analysis between tree characteristics and wood density for different tree species showed that the strongest relationship was observed in Norway spruce, between its wood density and crown width (r = −0.41). Statistically significant correlations at the 0.05 confidence level were found between diameter at breast height (DBH) and wood density (WD) for all tree species. The correlation between DBH and tree height (H) was also significant across all species (r = 0.65 for silver birch; r = 0.85 for Norway spruce; r = 0.72 for Scots pine).
The strongest correlations overall were observed between DBH and crown width (CW), and between tree height (H) and height to the base of the live crown (HL), across all species. The competition index (CI) showed significant correlations with all other tree characteristics, including DBH, H, HL, and CW. The highest correlation coefficients for CI were observed with DBH and CW (Table 1).
To predict the wood density from the tree characteristics, diameter at breast height (DBH), tree height (H), height to the base of the live crown (HL), and crown width (CW) were selected as explanatory variables. General linear models for wood density prediction were developed using these four main tree characteristics (DBH, H, HL, and CW).
The best-performing model, with the highest coefficient of determination (R2 = 0.43), was the combined model including all tree species. In this model, all selected explanatory variables were statistically significant at the 0.05 confidence level.
Different results were obtained when the same modeling approach was applied separately for each tree species. The model predicting the Norway spruce wood density achieved an R2 value of 0.30, with three statistically significant parameters; crown width was not significant in the Norway spruce model. The predictive models for Scots pine and silver birch were weaker, with R2 values of 0.13 and 0.05, respectively. In the Scots pine model, DBH and H were statistically significant, while in the silver birch model, DBH and CW were significant. Diameter at breast height (DBH) was the only parameter that was statistically significant across all developed models (Table 2).

4. Discussion

The main aim of the study was to evaluate the effect of species mixtures on wood density and on the relationships between selected morphological characteristics of the tree trunk and the crown. The wood density was derived from drilling resistance data, using specialized software. To evaluate the accuracy of the resistography-derived wood density, relationships with the core sample wood density were established.
The correlation between wood density and wood resistance values has been evaluated in many studies. A study conducted by Gendvilas (2024) in Australia analyzed wood density prediction using drilling resistance values and reported that Resi amplitude accurately predicted basic wood density, with an adjusted R2 of 0.84 [20]. In contrast, a study in Romania reported a lower prediction accuracy for Norway spruce using microdrilling, with an R2 of 0.36 [19]. For radiata pine in Australia, the relationship between Resi amplitude and basic wood density reached R2 = 0.86, and an equal R2 = 0.86 was observed between SilviScan-measured wood density and Resi amplitude values [25]. The study in Sweden analyzing Scots pine reported correlations between the unadjusted Resi wood density and SilviScan wood density of r = 0.53–0.59, while the correlation between the wood density and Pilodyn wood hardness was r = 0.38 [6]. A Brazilian study reported a correlation of r = 0.67 between the resistance drilling amplitude and basic density [18].
Overall, the variation in relationships between the resistance drilling parameters and wood density is considerable and depends on tree species, indicators, and applied methods. In comparison, our study obtained R2 = 0.59 for the linear relationship between Resi-derived wood density and Lignostation wood density, and R2 = 0.19 for the linear relationship between Resi-derived wood density and Pilodyn wood hardness.
A review by Pretzsch and Rais (2016) [12] indicated that species mixing generally has a neutral effect on wood density. Among the analyzed studies, 11% reported an increase and 11% reported a decrease in wood density in mixed stands compared to pure stands, suggesting that wood density is not strongly influenced by species mixture alone. In our study (Figure 3), the effect of mixture on mean wood density varied depending on the dominant tree species; however, in most cases, pure stands had an equal or slightly higher wood density than mixed stands, with only a few exceptions.
A Polish study, based on data from 17 sites, reported a mean wood density of 529 kg m−3 for 50-year-old silver birch [15], whereas our study found a mean of 546 kg m−3. Another study using non-destructive techniques reported a mean birch wood density at breast height of 512 kg m−3 [26]. A Finnish study of 22-year-old silver birch found mean wood density values of 473–481 kg m−3 at breast height [27], while an analysis of 70-year-old silver birch revealed a mean wood density of 623 kg m−3 along the stem [7]. A Swedish progeny trial of 21-year-old Norway spruce reported a mean wood density of 430 kg m−3 [28]. An earlier Lithuanian study reported a mean Scots pine wood density of 572 kg m−3 in infertile soils. [29]. A study in Germany reported a 12% lower Scots pine wood density in mixed stands with European beech compared to pure stands [30]. In our research, the greatest difference between pure Scots pine and mixed stands was 7% at the 7B3P site. A 40-year-old Scots pine genetic progeny trial in Sweden reported a mean wood density of 448 kg m−3 [6].
Arnič et al. (2022) in Slovenia analyzed relationships between resistance drilling density values and wood anatomical features [9]. They found the strongest correlation between the Resi-derived wood density and tangential lumen diameter (r = 0.34). In Sweden, correlations between the Resi wood density and DBH (r = 0.18) and tree height (r = 0.30) were reported for Scots pine [6]. A Lithuanian study reported a correlation of r = 0.23 between wood density and DBH for Norway spruce [31]. In contrast, our study found correlations between Resi-derived wood density and DBH of r = 0.12 for silver birch, r = 0.31 for Norway spruce, and r = 0.24 for Scots pine.
Correlations between other tree characteristics were stronger. The relationship between DBH and H was r = 0.65 for silver birch, r = 0.85 for Norway spruce, and r = 0.72 for Scots pine. A Romanian study of mixed uneven-aged Norway spruce stands reported an exceptionally strong correlation between DBH and H (r = 0.96) [32]. Analysis of Norwegian National Forest Inventory data concluded that extended mixed-effects models predicted tree heights without substantial bias for pine, spruce, and birch stands, both in pure and mixed conditions, when measured heights were available for estimating random effects [33].
Prediction models for Norway spruce wood density based on DBH and microdrilling resistance achieved an R2 of 0.50 when both parameters were combined [19]. A Swedish model for predicting basic wood density achieved R2 values of 0.50 for Norway spruce and 0.59 for Scots pine [17]. In Finland, prediction models for Norway spruce wood density in uneven-aged stands achieved R2 = 0.49 [34]. By using the Global wood density database v2, researchers get prediction models for wood density R2 = 0.59 by taking only one measurement from the tree species [21].
In summary, differences in wood density between pure and mixed stands were relatively small (up to 10%). However, the drilling resistance device proved to be an effective tool for estimating wood density in Lithuanian forestry conditions. Linear models explained up to 43% of the variation in wood density based on tree characteristics, despite the generally low to moderate correlations between wood density and individual tree parameters.
This study has several limitations. First, the availability of suitable mixed stands meeting the selection criteria was limited due to historical reforestation practices in Lithuania. Second, stand age selection was constrained by national forest management regulations. In Lithuania, commercial thinning is based on the age of the dominant tree species (e.g., 61 years for birch, 71 years for spruce, and 101 years for pine). As forest policy and management practices evolve, an increasing number of mixed stands are being established. Therefore, this study provides insights into potential future outcomes under changing management conditions.
More extensive sampling of mixed and pure stands will be necessary to obtain more robust results. Additionally, more detailed wood property assessments, including destructive testing for the modulus of elasticity and modulus of rupture, are required to provide a more comprehensive evaluation of wood quality between pure and mixed stands in future research.

5. Conclusions

This study demonstrated that the wood density in pure and mixed stands of silver birch, Norway spruce, and Scots pine in Lithuania is primarily determined by species-specific characteristics, while stand composition (pure versus mixed) has a comparatively minor influence. Differences in mean wood density between pure and mixed stands were generally insignificant and did not exceed 6%–10%, indicating that species mixing does not substantially alter this key wood quality parameter.
The effect of the mixture varied by species: in some cases, mixed stands exhibited slightly lower wood density than pure stands, although exceptions were observed. Overall, no consistent pattern of density increase or decrease that was attributable solely to stand mixing was identified.
Resistance drilling proved to be a suitable semi-nondestructive method for estimating wood density under Lithuanian conditions, showing a moderate relationship with laboratory-determined density values. The mean wood density values were similar for Norway spruce and Scots pine and differ by 11% for silver birch.
The developed models explained up to 43% of the variation in wood density when all species were combined, whereas species-specific models showed lower explanatory power. Overall, the results support the conclusion that the transition toward mixed-species forest management is unlikely to cause significant changes in wood density and, consequently, in wood quality from a density perspective.

Author Contributions

Conceptualization, B.Š. and M.A.; methodology, B.Š.; software, B.Š.; validation, E.L., M.Š., K.T. and L.B.; formal analysis, B.Š., E.L., L.B. and M.Š.; investigation, B.Š., E.L., L.B., M.Š. and I.Z.; writing—original draft preparation, B.Š. and L.B.; writing—review and editing, E.L., M.A., M.Š., I.Z. and K.T.; supervision, E.L. All authors have read and agreed to the published version of the manuscript.

Funding

This research was funded through the Research Council of Lithuania Postdoctoral project ID: S-PD-24-167, Productivity and wood quality of pure and mixed stands.

Data Availability Statement

The raw data supporting the conclusions of this article will be made available upon direct request to the authors.

Conflicts of Interest

The authors declare no conflicts of interest.

References

  1. Lithuanian State Forest Service. Lietuvos Miškų Ūkio Statistika (Lithuanian Statistical Yearbook of Forestry). Available online: https://amvmt.lrv.lt/lt/atviri-duomenys-1/misku-statistikos-leidiniai/misku-ukio-statistika/2023-m_stat/ (accessed on 2 January 2026).
  2. Bielak, K.; Dudzińska, M.; Pretzsch, H. Mixed stands of Scots pine (Pinus sylvestris L.) and Norway spruce [Picea abies (L.) Karst] can be more productive than monocultures. Evidence from over 100 years of observation of long-term experiments. For. Syst. 2014, 23, 573–589. [Google Scholar] [CrossRef]
  3. Hilmers, T.; Biber, P.; Knoke, T.; Pretzsch, H. Assessing transformation scenarios from pure Norway spruce to mixed uneven-aged forests in mountain areas. Eur. J. For. Res. 2020, 139, 567–584. [Google Scholar] [CrossRef]
  4. Riofrío, J.; del Río, M.; Pretzsch, H.; Bravo, F. Changes in structural heterogeneity and stand productivity by mixing Scots pine and Maritime pine. For. Ecol. Manag. 2017, 405, 219–228. [Google Scholar] [CrossRef]
  5. Liepiņš, J.; Liepiņš, K. Mean basic density and its axial variation in Scots pine, Norway spruce and birch stems. Res. Rural Dev. 2017, 1, 21–27. [Google Scholar] [CrossRef]
  6. Fundova, I.; Funda, T.; Wu, H.X. Non-destructive wood density assessment of Scots pine (Pinus sylvestris L.) using Resistograph and Pilodyn. PLoS ONE 2018, 13, e0204518. [Google Scholar] [CrossRef]
  7. Dobrowolska, E.; Wroniszewska, P.; Jankowska, A. Density distribution in wood of European birch (Betula pendula Roth.). Forests 2020, 11, 445. [Google Scholar] [CrossRef]
  8. Yao, J.; Liu, H.; Lu, J. Measuring wood density of different tree species using the micro-drilling resistance method. Eur. J. Wood Wood Prod. 2025, 83, 30. [Google Scholar] [CrossRef]
  9. Arnič, D.; Krajnc, L.; Gričar, J.; Prislan, P. Relationships between wood-anatomical features and resistance drilling density in Norway spruce and European beech. Front. Plant Sci. 2022, 13, 872950. [Google Scholar] [CrossRef]
  10. Sharapov, E.; Korolev, A.; Shlychkov, S.; Mascia, N.T. Effect of drilling resistance measurement on residual load capacity of Scots pine (Pinus sylvestris L.). Eur. J. Wood Wood Prod. 2024, 82, 473–481. [Google Scholar] [CrossRef]
  11. Hawkins, C.D.B.; Dhar, A.; Rogers, B.J. How much birch (Betula papyrifera) is too much for maximizing spruce (Picea glauca) growth: A case study in boreal spruce plantation forests. J. For. Sci. 2012, 58, 314–327. [Google Scholar] [CrossRef]
  12. Pretzsch, H.; Rais, A. Wood quality in complex forests versus even-aged monocultures: Review and perspectives. Wood Sci. Technol. 2016, 50, 845–880. [Google Scholar] [CrossRef]
  13. Bergqvist, G. Wood density traits in Norway spruce understorey: Effects of growth rate and birch shelterwood density. Ann. For. Sci. 1998, 55, 809–821. [Google Scholar] [CrossRef]
  14. Tomczak, K.; Cukor, J.; Mania, P.; Vacek, Z.; Tomczak, A. European beech potential for agricultural land afforestation: An anatomical and wood quality perspective. Eur. J. Wood Prod. 2025, 83, 178. [Google Scholar] [CrossRef]
  15. Lachowicz, H.; Bieniasz, A.; Wojtan, R. Variability in the basic density of silver birch wood in Poland. Silva Fenn. 2019, 53, 9968. [Google Scholar] [CrossRef]
  16. Peltola, H.; Kellomäki, S.; Hassinen, A.; Granander, M. Mechanical stability of Scots pine, Norway spruce and birch: An analysis of tree-pulling experiments in Finland. For. Ecol. Manag. 2000, 135, 143–153. [Google Scholar] [CrossRef]
  17. Wilhelmsson, L.; Arlinger, J.; Spångberg, K.; Lundqvist, S.-O.; Grahn, T.; Hedenberg, Ö.; Olsson, L. Models for predicting wood properties in stems of Picea abies and Pinus sylvestris in Sweden. Scand. J. For. Res. 2002, 17, 330–350. [Google Scholar] [CrossRef]
  18. Jesus, D.S.; Oliveira, J.T.S.; Nascimento, A.M. Relationship between wood density and anatomy with drilling resistance by non-destructive evaluation method. Rev. Floresta 2023, 53, 371–376. [Google Scholar] [CrossRef]
  19. Vlad, R.; Pei, G.; Sidor, C.G.; Cuciurean, C.; Ispravnic, A.; Stefan, G. Assessing standing-tree wood density by microdrilling in tending forestry work carried out on Norway spruce (Picea abies (L.) H. Karst) stands. Forests 2022, 13, 1450. [Google Scholar] [CrossRef]
  20. Gendvilas, V.; Downes, G.M.; Lausberg, M.; Harrington, J.J.; Lee, D.J. Predicting wood density using resistance drilling: The effect of varying feed speed and RPM. Forests 2024, 15, 579. [Google Scholar] [CrossRef]
  21. Fischer, F.J.; Chave, J.; Zanne, A.; Jucker, T.; Fajardo, A.; Fayolle, A.; de Lima, R.A.F.; Vieilledent, G.; Beeckman, H.; Zieminska, K.; et al. Beyond species means–the intraspecific contribution to global wood density variation. New Phytol. 2026, 249, 2630–2651. [Google Scholar] [CrossRef]
  22. Zhang, Z.; Zhong, H.; Avramidis, S.; Wu, S.; Lin, W.; Li, Y. Transfer learning for predicting wood density of different tree species: Calibration transfer from portable NIR spectrometer to hyperspectral imaging. Wood Sci. Technol. 2025, 59, 19. [Google Scholar] [CrossRef]
  23. Galvonaitė, A.; Valiukas, D.; Kilpys, J.; Kitrienė, Z.; Misiūnienė, M. Climate Atlas of Lithuania; Lithuanian Hydrometeorological Service Under the Ministry of Environment: Vilnius, Lithuania, 2013. [Google Scholar]
  24. Hegyi, F. A simulation model for managing Jack-pine stands. In Growth Models for Tree and Stand Simulation; Fries, J., Ed.; Research Note No. 30; Royal College of Forestry, Department of Forest Yield Research: Stockholm, Sweden, 1974; pp. 74–90. [Google Scholar]
  25. Downes, G.M.; Harrington, J.J.; Drew, D.M.; Lausberg, M.; Muyambo, P.; Watt, D.; Lee, D.J. A comparison of radial wood property variation on Pinus radiata between an IML PD-400 ‘Resi instrument and increment cores analysed by SilviScan. Forests 2022, 13, 751. [Google Scholar] [CrossRef]
  26. Fedyukov, V.I.; Anatolyevna, M.L.; Chernova, M.S.; Tsoy, O.V.; Magalyas, N.A. A non-destructive prediction method for wood density variations of silver Birch trees growing in the middle Volga region, Russia. South-East Eur. For.-South-East Eur. For. 2020, 11, 85–90. [Google Scholar] [CrossRef]
  27. Viherä-Aarnio, A.; Velling, P. Growth, wood density and bark thickness of silver birch originating from the Baltic countries and Finland in two Finnish provenance trials. Silva Fenn. 2017, 51, 7731. [Google Scholar] [CrossRef]
  28. Chen, Z.Q.; Karlsson, B.; Lundqvist, S.O.; García Gil, M.R.; Olsson, L.; Wu, H.X. Estimating solid wood properties using Pilodyn and acoustic velocity on standing trees of Norway spruce. Ann. For. Sci. 2015, 72, 499–508. [Google Scholar] [CrossRef]
  29. Aleinikovas, M.; Grigaliūnas, J. Differences of pine (Pinus sylvestris L.) wood physical and mechanical properties from different forest site types in Lithuania. Balt. For. 2006, 12, 9–13. [Google Scholar]
  30. Zeller, L.; Ammer, C.; Annighöfer, P.; Biber, P.; Marshall, J.; Schütze, G.; del Río, M.; Pretzsch, H. Tree ring wood density of Scots pine and European beech lower in mixed-species stands compared with monocultures. For. Ecol. Manag. 2017, 400, 363–374. [Google Scholar] [CrossRef]
  31. Šilinskas, B.; Varnagirytė-Kabašinskienė, I.; Aleinikovas, M.; Beniušienė, L.; Aleinikovienė, J.; Škėma, M. Scots pine and Norway spruce wood properties at sites with different stand densities. Forests 2020, 11, 587. [Google Scholar] [CrossRef]
  32. Ciceu, A.; Garcia-Duro, J.; Seceleanu, I.; Badea, O. A generalized nonlinear mixed-effects height–diameter model for Norway spruce in mixed-uneven aged stands. For. Ecol. Manag. 2020, 477, 118507. [Google Scholar] [CrossRef]
  33. Sharma, R.P.; Breidenbach, J. Modeling height-diameter relationships for Norway spruce, Scots pine, and downy birch using Norwegian national forest inventory data. For. Sci. Technol. 2015, 11, 44–53. [Google Scholar] [CrossRef]
  34. Piispanen, R.; Heinonen, J.; Valkonen, S.; Mäkinen, H.; Lundqvist, S.O.; Saranpää, P. Wood density of Norway spruce in uneven-aged stands. Can. J. For. Res. 2014, 44, 136–144. [Google Scholar] [CrossRef]
Figure 1. The (left) figure presents location of selected study sites in Lithuania. Different colors represent study sites where the tree species is dominant. The (right) figure presents the example map of a selected area of the study. The red square marks a study site.
Figure 1. The (left) figure presents location of selected study sites in Lithuania. Different colors represent study sites where the tree species is dominant. The (right) figure presents the example map of a selected area of the study. The red square marks a study site.
Forests 17 00376 g001
Figure 2. The relationship between wood density measured with IML Resi and wood density measured with Lignostation (A). The relationship between wood density measured with IML Resi and wood hardness measured with Pilodyn 6J (B).
Figure 2. The relationship between wood density measured with IML Resi and wood density measured with Lignostation (A). The relationship between wood density measured with IML Resi and wood hardness measured with Pilodyn 6J (B).
Forests 17 00376 g002
Figure 3. The differences in wood density for different tree species at the sites ((I) Silver birch, (II) Norway spruce, (III) Scots pine). Different capital letters in bold indicate a statistically significant difference between the sites at p < 0.05, as determined by ANOVA and the Duncan multiple-range test.
Figure 3. The differences in wood density for different tree species at the sites ((I) Silver birch, (II) Norway spruce, (III) Scots pine). Different capital letters in bold indicate a statistically significant difference between the sites at p < 0.05, as determined by ANOVA and the Duncan multiple-range test.
Forests 17 00376 g003
Table 1. Pearson correlation matrix of selected parameters. The left side of the table represents the p-value, and the right side represents the r-value. Reliable correlations are marked in bold, with a significance level of p < 0.05.
Table 1. Pearson correlation matrix of selected parameters. The left side of the table represents the p-value, and the right side represents the r-value. Reliable correlations are marked in bold, with a significance level of p < 0.05.
Silver birch
DBHHHLCWCIWD
DBH 0.650.230.74–0.430.12
H<0.0001 0.740.46–0.380.11
HL0.0001<0.0001 0.11–0.160.03
CW<0.0001<0.00010.0653 –0.50–0.02
CI<0.0001<0.00010.0153<0.0001 0.03
WD0.040.070.570.710.63
Norway spruce
DBHHHLCWCIWD
DBH 0.850.110.68–0.49–0.31
H<0.0001 0.390.42–0.39–0.05
HL0.0478<0.0001 –0.27–0.160.36
CW<0.0001<0.0001<0.0001 –0.43–0.41
CI<0.0001<0.00010.006<0.0001 0.11
WD<0.00010.33<0.0001<0.00010.06
Scots pine
DBHHHLCWCIWD
DBH 0.720.550.79–0.49–0.24
H<0.0001 0.870.54–0.40–0.004
HL<0.0001<0.0001 0.31–0.27–0.01
CW<0.0001<0.0001<0.0001 –0.47–0.20
CI<0.0001<0.00010.0002<0.0001 0.18
WD0.00040.960.880.0030.02
Table 2. The selected models (p < 0.05 for all parameters) determined by the stepwise procedure to describe the wood density (WD) characteristic in relation to tree characteristics (DBH, diameter at breast height; H, tree height; HL, height to the base of the live crown; CW, crown width) in Scots pine, Norway spruce, and silver birch. Values in bold represent reliable parameters in the model at the p < 0.05 significance level.
Table 2. The selected models (p < 0.05 for all parameters) determined by the stepwise procedure to describe the wood density (WD) characteristic in relation to tree characteristics (DBH, diameter at breast height; H, tree height; HL, height to the base of the live crown; CW, crown width) in Scots pine, Norway spruce, and silver birch. Values in bold represent reliable parameters in the model at the p < 0.05 significance level.
ModelR2R2 AdjustedRMSECoefficient of Variation
WD * = 374.825.50DBH + 5.48H + 6.63HL + 6.30CW + ε0.430.4242.038.69
WD ** = 532.21 + 1.53DBH + 1.52H − 1.36HL − 8.34CW + ε0.050.0330.205.53
WD *** = 532.213.87DBH + 4.02H + 1.91HL − 2.88CW + ε0.300.2925.125.75
WD **** = 463.962.31DBH + 5.04H − 2.62HL − 1.20CW + ε0.130.1125.655.39
* Combined model for all sites and tree species; ** model for silver birch; *** model for Norway spruce; and **** model for Scots pine.
Disclaimer/Publisher’s Note: The statements, opinions and data contained in all publications are solely those of the individual author(s) and contributor(s) and not of MDPI and/or the editor(s). MDPI and/or the editor(s) disclaim responsibility for any injury to people or property resulting from any ideas, methods, instructions or products referred to in the content.

Share and Cite

MDPI and ACS Style

Šilinskas, B.; Linkevičius, E.; Beniušienė, L.; Aleinikovas, M.; Zeleniakienė, I.; Škėma, M.; Tomczak, K. The Wood Density of Pure and Mixed Norway Spruce, Scots Pine, and Silver Birch Stands in Lithuania Using IML Resi. Forests 2026, 17, 376. https://doi.org/10.3390/f17030376

AMA Style

Šilinskas B, Linkevičius E, Beniušienė L, Aleinikovas M, Zeleniakienė I, Škėma M, Tomczak K. The Wood Density of Pure and Mixed Norway Spruce, Scots Pine, and Silver Birch Stands in Lithuania Using IML Resi. Forests. 2026; 17(3):376. https://doi.org/10.3390/f17030376

Chicago/Turabian Style

Šilinskas, Benas, Edgaras Linkevičius, Lina Beniušienė, Marius Aleinikovas, Inga Zeleniakienė, Mindaugas Škėma, and Karol Tomczak. 2026. "The Wood Density of Pure and Mixed Norway Spruce, Scots Pine, and Silver Birch Stands in Lithuania Using IML Resi" Forests 17, no. 3: 376. https://doi.org/10.3390/f17030376

APA Style

Šilinskas, B., Linkevičius, E., Beniušienė, L., Aleinikovas, M., Zeleniakienė, I., Škėma, M., & Tomczak, K. (2026). The Wood Density of Pure and Mixed Norway Spruce, Scots Pine, and Silver Birch Stands in Lithuania Using IML Resi. Forests, 17(3), 376. https://doi.org/10.3390/f17030376

Note that from the first issue of 2016, this journal uses article numbers instead of page numbers. See further details here.

Article Metrics

Back to TopTop