You are currently viewing a new version of our website. To view the old version click .
Forests
  • Article
  • Open Access

8 October 2025

Prolonged Spring Drought Suppressed Soil Respiration in an Asian Subtropical Monsoon Forest

,
and
The Experimental Forest, National Taiwan University, Nantou 55750, Taiwan
*
Author to whom correspondence should be addressed.
This article belongs to the Special Issue Carbon Dynamics of Forest Soils Under Climate Change

Abstract

Soil respiration (Rs), the second largest carbon flux in terrestrial ecosystems, critically regulates the turnover of soil carbon pools. However, its seasonal and annual responses to extreme events in monsoon forests remain unclear. This study used a continuous multichannel automated chamber system to monitor Rs over three years of drought (2019–2021) in an Asian monsoon forest in Taiwan. We assessed seasonal and annual Rs patterns and examined how drought influenced autotrophic (Rr) and heterotrophic (Rh) respiration through changes in soil temperature and moisture. Results showed Rs declined from 5.20 ± 2.08 to 3.86 ± 1.20 μmol CO2 m−2 s−1, and Rh from 3.36 ± 1.21 to 3.15 ± 0.98 μmol CO2 m−2 s−1 over the study period. Spring Rr values dropped significantly—by 29.3% in 2020 and 62.2% in 2021 compared to 2019 (p < 0.05), while Rh remained unchanged (p > 0.05). These results suggest that spring drought strongly suppresses autotrophic respiration but has minimal effect on Rh. Incorporating these dynamics into carbon models could improve predictions of carbon cycling under climate change. Our findings demonstrate that spring drought exerts a strong influence on soil carbon fluxes in Asian monsoon forests.

1. Introduction

Forests are considered to be carbon sinks that absorb CO2 from the atmosphere [1]. Approximately 1146 Pg of carbon is stored in global forests, and over two-thirds of the total carbon is preserved in litter and soil [2]. Soil respiration (Rs) refers to the CO2 efflux from soils to the atmosphere and serves as one of the largest fluxes regulating carbon storage and turnover in terrestrial ecosystems [3]. Rs contributes 60%–90% of ecosystem respiration in forests [4]. Consequently, the global estimate of Rs can reach 66–100 Pg C y−1 [5]. Rs is generally partitioned into contributions from autotrophic respiration (Rr) and heterotrophic respiration (Rh) [6]. Thus, Rs is regulated by both biotic drivers, including plant roots and microbial activity, and abiotic conditions, such as soil moisture and temperature [7,8,9]. Previous research has shown that soil temperature and water availability are the predominant controls on Rs and are often represented in models using temperature- and/or moisture-dependent functions in temperate forests [8,10,11], subtropical forests [12], and tropical forests [7]. The Rs will continuously increase and possibly accelerate global warming and climate change in the next few decades [3,13]. However, accurately modeling the Rs variations in forests could face a severe challenge when clarifying the responses and feedbacks of terrestrial ecosystems to climate change and the global carbon budget [14,15].
The ongoing challenge of climate change raises concerns over the projected increase in atmospheric CO2 levels, driven by continuous global warming and variability in climate patterns. It is expected that rising soil temperatures will accelerate Rs rates, potentially exacerbating climate change impacts [16]. Nevertheless, accurately modeling these variations remains complex due to uncertainties associated with seasonal anomalies and extreme weather patterns, including drought events. Droughts are anticipated to intensify, posing significant risks to forest structure, dynamics, and the functioning of biological ecosystems [17,18].
Extreme events of climate, including droughts and excessive rainfall, are increasingly acknowledged as key terrestrial disturbances with profound impacts on forest composition, dynamics, and ecosystem processes [19,20]. Drought curtails Rs through mechanisms that impair microbial function and root exudation. The nonlinear dependence of Rs on soil moisture implies that ecosystem properties modulate respiration dynamics, resulting in contrasting responses to drought across ecosystems [21,22]. For instance, in arid regions, significant declines in Rs rates may be prevalent, particularly as microbial and root respiration activities diminish in response to moisture deficits [23]. Conversely, rewetting following a drought may provoke transient spikes in Rs due to rapid rehydration effects on microorganisms, emphasizing the variability inherent in these responses [24]. The concept of “drought legacy” warrants particular focus since prolonged dry conditions can lead to enduring reductions in Rs even after soil moisture has returned to normal [25,26]. Research suggests that extreme drought impacts can lead to lasting changes in microbial community structure and root dynamics, ultimately affecting long-term carbon cycling [27,28]. Thus, the loss of carbon from the soil may occur more frequently than traditional short-term assessments reveal, complicating evaluations of forest carbon budgets amid ongoing climate fluctuations. Besides the direct effects on soil respiration, drought can also influence soil nutrient availability and microbial community interactions. Studies suggest that diverse plant communities often exhibit greater resilience during droughts, enabling sustained Rs levels; this can be attributed to the maintenance of active microbial communities despite water stress [29]. These diverse plant species may facilitate increased root exudation, supporting soil health and microbial activity even under adverse conditions [30].
Moreover, different soil types can significantly mediate drought effects on Rs. Soil texture, which influences moisture retention and nutrient availability, can lead to divergent responses in soil respiration. For example, sandy soils may dry out quickly and exhibit more immediate reductions in Rs, while clay-rich soils retain moisture longer, leading to more gradual declines [18,31]. Evidence indicates that soils rich in organic matter may be more resilient to drought, with enhanced moisture retention contributing to maintained Rs under stressful conditions [32]. Research has demonstrated that climatic shifts, including extreme droughts, could stimulate shifts in microbial adaptation strategies. For instance, drought may prompt microbial communities to modify their metabolic pathways in response to water-limited environments, potentially resulting in enhanced or reduced Rs depending on the specific ecological context and community composition [28]. The resilience of various organisms contributes to ongoing changes in how carbon is cycled within these ecosystems, further necessitating ongoing study.
Droughts will reduce Rs levels due to lower root and soil microbial activities [33,34,35,36]. In contrast, some studies have reported that drought may increase the Rs levels by increasing the growth of root systems [20,37]. Extreme drought events are projected to intensify in both frequency and severity [38]; however, their consequences for Rs are not well understood, particularly in monsoon regions. Climate change is anticipated to amplify drought-induced forest stress, with cascading effects on Rs. Therefore, forecasting Rs levels and their relationships with climate change is helpful for the formulation of the forest soil carbon management strategy.
Understanding how Rs varies seasonally and annually in monsoon forests is essential for elucidating forest responses to climate change, particularly under extreme events. We addressed this by deploying a multichannel automated chamber system that continuously measured Rs across normal and drought-affected periods. Continuous high-resolution monitoring of Rs during drought periods is critical for understanding these dynamics. A notable observation is that following drought, there can be short-lived increases in Rs due to rapid microbial activity re-establishing upon the introduction of moisture [24]. Advanced methodologies, including automated respiration chambers, enable researchers to capture these fluctuations in real time, thus allowing more accurate modeling of relationships between environmental conditions and Rs dynamics. Insights from past studies highlight that variations in historical patterns of precipitation and drought can serve as significant determinants of Rs. For example, models that rely solely on static soil conditions may overlook crucial historical climatic influences on respiration dynamics. Studies have indicated that the effects of rainfall and drought can carry over significant ecological consequences, changing how soil and microbial communities respond to current moisture levels [28,39]. The aims of this study were to (1) assess the seasonal and annual Rs levels; (2) clarify the relationship between Rs, soil temperature, and soil moisture; and (3) examine the responses of soil temperature and moisture to autotrophic and heterotrophic respiration under drought events.

2. Materials and Methods

2.1. Site Description

The Xiaping Botanical Garden Site (XP, 23°77′ N, 120°77′ E) was established in 1966 and was located in the Experimental Forest, National Taiwan University (EXFO, NTU), central Taiwan (Figure 1). This evergreen broadleaf forest is located at 155 m above sea level, with topography characterized by slopes averaging <5°. Tropical and subtropical plantation species were tested for tree growth over 55 years. The dominant tree species are Castanopsis indica, Alstonia scholaris, and Eucalyptus maculata, and the forest stand contained 365 stems ha−1, with trees averaging 26 ± 7 m in height and 26 ± 12 cm in DBH in 2021. The soil classification is Typic Dystrudepts, and the parent rock is composed of clastic sedimentary rocks after the Mesozoic. The soil water-holding capacity ranged from 312 to 423 mm/1.5 m [40].
Figure 1. (a) Location of the study site. (b) Photograph of this site with chambers installed.
Litter accumulation at the site ranged from 2 to 6 cm in thickness, with annual litterfall production of 11 t ha−1 yr−1 in 2019 and 9 t ha−1 yr−1 in 2020. The soil profile is approximately 90–100 cm deep. The surface horizon (0–10 cm) is loam in texture and exhibits a low bulk density of 0.73 g cm−3 (Table 1). Soil organic matter content is provided in Table 1. According to the Chushan meteorological station, the 1995–2020 climatology shows a mean annual temperature (MAT) of 22.8 °C and an annual precipitation (MAP) averaging 2197 mm (Figure 2).
Table 1. Soil properties, at two depths, of the experimental site.
Figure 2. Monthly average air temperatures and monthly precipitation at the Chushan meteorological station (1995–2020).

2.2. Automated Chamber Set and Measurement

Rs was quantified using a multichannel automated chamber system [8,11]. The system was composed of three parts: chambers with an air compressor, a data logger (CR1000, Campbell Scientific Inc., Logan, UT, USA), and a control–measurement unit incorporating an infrared gas analyzer (IRGA, LI-820, LI-COR, Lincoln, NE, USA). Each automated chamber (90 cm × 90 cm × 50 cm) was equipped with two microfans for air circulation, sampling tubes connected to the measurement unit, and motorized lids to control chamber closure and opening. The gas sample flow was through the IRGA using a microdiaphragm pump (flow rate was 700 mL min−1, 5 Lmin−1; CH-50, Enomoto Ltd., Tokyo, Japan). When the measurements started, the chamber lid was closed, and two microfans mixed air sequentially, and the Rs data were continuously measured for 150 s. When measurement was ended, the chamber lid was opened until the next measurement. Finally, all datasets were collected and stored instantly for analysis.
In October 2018, 12 chambers were randomly installed on the forest floor within a 20 m diameter plot, with the measurement system components positioned at the plot center. All chambers were installed within a single 20 m diameter area due to the constraints of continuous automated measurements. While this design ensured high-frequency temporal resolution, we acknowledge that it may limit the representativeness of the heterogeneous forest floor conditions. To minimize interference from understory vegetation, all plants inside the chambers were removed biweekly, thereby reducing the potential contribution of root respiration. From 15 January 2019 to 16 August 2021, the chambers were assigned to measure either Rs or Rh. For the Rh treatment, 5 cm × 60 cm trenches were dug along the chamber boundaries, and PVC plates (400 cm × 60 cm × 0.4 cm) were inserted to exclude root ingrowth. Rr was then estimated as the difference between Rs and Rh. In the root-exclusion plots, trenches were dug to 60 cm and lined with PVC barriers with sealed joints, a depth that exceeds the typical fine root distribution in this forest. Previous studies have demonstrated that PVC barriers remain effective in minimizing root intrusion for several years [41,42]. We also conducted periodic inspections during soil sampling, and no evidence of root penetration was observed. Thus, we consider root intrusion negligible, although a minor degree of overestimation in Rh cannot be ruled out. In each chamber, we set a thermocouple probe at 5 cm depth of topsoil and connected it to the data logger to monitor the soil temperatures. The soil moisture sensors (SM300, Delta-T Device Ltd., Cambridge, UK) around the chambers were set at 10 cm depth of topsoil and also connected to the data logger to monitor soil moisture.

2.3. Data Processing

The Rs (μmol CO2 m−2 s−1) was calculated as:
R s = V P R S T δ C δ t
where V is the chamber volume (m3), P is atmospheric pressure (Pa), and R is the ideal gas constant (8.314 Pa m3 K–1 mol–1). S represents the soil surface area in the chamber (m2), T is the air temperature in the chamber (K), and δC/δt is the rate of change in CO2 concentration (μmol mol−1 s−1). The chamber surface area and volume were 0.81 m2 and 0.405 m3, respectively. To account for the influence of soil temperature on Rs, Equation (1) was further transformed as follows [43]:
R s = a × e ( b × T s o i l )
where a, b, and Tsoil are Rs at 0 °C, the temperature sensitivity constant, and the soil temperature at a depth of 5 cm, respectively.
The temperature sensitivity index (Q10 coefficient), which is the relative increase in Rs with a 10 °C increase in soil temperature, was used as a b value to estimate:
Q 10 = e 10 b
On the other hand, Lloyd and Taylor [43] developed the following model to present Rs:
R s = R r e f e E 0 1 T r e f T 0 1 T s T 0
where Rref, E0, and Tref are Rs at a specified reference soil temperature, the temperature sensitivity index, and the specified reference soil temperature (288.15 K), respectively. T0 and Ts are the soil temperature when Rs is zero (227.13 K) and the measured soil temperature, respectively. We used Equation (4) to fill the missing Rs and Rh data values (gaps) in each chamber when we tested the annual temperature-response equation. Gap days totaled 45 during the 1045 days of measurements from October 2018 to August 2021. The largest gaps occurred from 20 November to 2 December and from 20 July to 10 August 2020 due to an electric power breakdown, and these gaps were the only gaps longer than 30 days during the three years of observations.
The relationship between Rs and soil moisture was analyzed as follows. First, we subtracted the observation and simulated Rs values calculated by Equation (2). The residual values (RRs) were analyzed for the relationship between Rs and soil moisture using a concave-downward regression equation:
R R s = c 1 θ + c 2
where RRs, θ, c1, and c2 are the temperature-normalized Rs, the soil moisture content (%), and curve-fitting parameters, respectively. Finally, all statistical analyses, including variance and regression, were performed using SigmaPlot 14.0 (Systat Software Inc., San Jose, CA, USA).

3. Results

3.1. Seasonal Variations in Rs and the Influences of Soil Temperature and Moisture

Continuous monitoring provided nearly four years of soil respiration data. Soil temperature at 5 cm depth varied between 20.1 and 30.8 °C, with maximum values observed in July and August (Figure 3a). The mean annual soil temperature did not differ significantly between Rs and Rh across 2019–2021 (p > 0.05; Figure 4a). Soil moisture ranged from 4.3% to 24.4%, showing a progressive decline from 17% to 6% between September and November in response to reduced precipitation. The soil moisture levels exhibited peaks that generally occurred on days with high precipitation. In comparison with the annual mean soil moisture levels from 2019 to 2021, the annual mean soil moisture level was 1.86% lower in 2020 and 2.12% lower in 2021 than in 2019, respectively (Figure 4b). Specifically, the soil moisture was sustained at 4.6% to 8.55% between April and June due to a drought event prolonged to the late spring season (Figure 3b). The annual precipitation amounts were 2418.5 mm (10% higher than MAP) and 1281 mm (41.6% less than MAP) from 2019 to 2020, respectively (Figure 3b and Figure 4c). High precipitation amounts occurred from April to August, and the annual precipitation proportions of 62.9% and 47.9% were concentrated from June to August from 2019 to 2020, respectively.
Figure 3. Daily variation in (a) soil temperature at 5 cm depth of soil, and soil moisture content at 10 cm depth of soil, (b) precipitation, and (c) soil respiration (Rs, soil respiration; Rh, heterotrophic respiration; Rr, autotrophic respiration). The vertical dashed line denotes the boundary between measurement years.
Figure 4. Mean annual values of (a) soil temperature, (b) soil moisture, and (c) annual precipitation and mean annual values of (d) soil respiration (Rs), heterotrophic respiration (Rh), and autotrophic respiration (Rr). The annual values in 2021 represented January to August results. Ts_s: soil temperature measured in chambers assigned to total soil respiration (Rs); Ts_h: soil temperature measured in root-exclusion chambers assigned to heterotrophic respiration (Rh). Different capital letters indicate differences among treatments within the same year at p < 0.05. Different lowercase letters indicate differences among years at p < 0.05.
Precipitation patterns from 2019 to 2021 are shown in Table 2. Light rainfall events (<10 mm) contributed 9.5%–14.5% of the annual totals during 2019–2020. By comparison, intense events (>50 mm) accounted for 21.5%–50.3% of the annual precipitation in those years. Spring drought occurred in 2020 and 2021, especially the prolonged spring drought event that occurred until the precipitation in June in 2021. The annual precipitation in 2020 was less than 47% of that in 2019 (Figure 3b and Table 2). Specifically, the spring precipitation in 2020 and 2021 was less than 12.4% and 69.1% of that in 2019, respectively (Figure 3b).
Table 2. Precipitation event characteristics in the study area. Numbers in parentheses indicate percentages of annual precipitation.

3.2. Rs, Rh, and Rr Magnitudes at Interannual Timescales

Annual averages of soil respiration declined from 5.20 ± 2.08 μmol CO2 m−2 s−1 in 2019 to 3.86 ± 1.20 μmol CO2 m−2 s−1 in 2021. Heterotrophic respiration remained relatively stable across the three years (3.36 ± 1.21 to 3.15 ± 0.98 μmol CO2 m−2 s−1), while autotrophic respiration decreased markedly from 1.97 ± 1.01 in 2019 to 0.69 ± 0.31 μmol CO2 m−2 s−1 in 2021 (Figure 3c and Figure 4d). In all years, Rs was significantly greater than Rh and Rr (p < 0.05). Significant interannual differences were observed for Rs and Rr, with higher values in 2019 compared to 2020 and 2021, whereas Rh did not vary among years (p > 0.05).

3.3. Partition of Heterotrophic Respiration in Soil Respiration

The monthly mean Rr and Rh partition and the differences in Rr and Rh from 2019 to 2021 were shown in Figure 5, respectively. Generally, the growing and non-growing seasons showed higher and lower Rs, respectively. The Rs values exhibited their highest peaks in July in 2019 and 2020 (Figure 5a,b) and in June in 2021 (Figure 5c). The Rh/Rs ratios varied from 0.52 to 0.80, 0.69 to 0.73, and 0.73 to 0.90 from 2019 to 2021, respectively. The Rh/Rs ratios were greater than 0.68 before May and decreased to 0.52–0.59 from June to November 2019. On the other hand, the Rh/Rs ratios remained above 0.70 in 2020 and 2021 (Figure 5a–c). We also compared the differences in Rr and Rh between 2019 and 2020 and 2019 and 2021. The Rr differences between 2019 and 2020 exhibited positive values from March to December. Moreover, the Rr differences between 2019 and 2021 exhibited positive values from February to August. However, the Rh differences between 2019 and 2020 exhibited positive values from March to May, tended toward zero from June to August, and exhibited negative values from September to December. (Figure 5d). The Rh differences between 2019 and 2021 exhibited positive values from March to May and July to August and negative values in June (Figure 5e).
Figure 5. Monthly partition of autotrophic and heterotrophic soil respiration (Rr and Rh, respectively) in (a) 2019, (b) 2020, (c) 2021, and (d) the differences in Rr and Rh between 2019 and 2020, and (e) the differences in Rr and Rh between 2019 and 2021.

3.4. Seasonal Variations in Rs and Rh with Soil Temperature, Temperature Sensitivity, and Soil Moisture

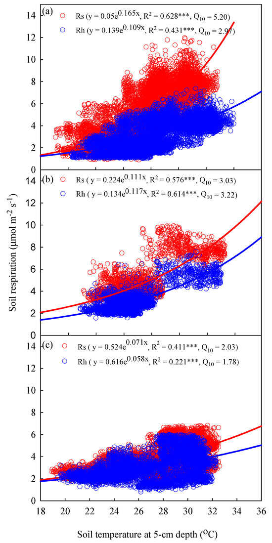
An exponential relationship with soil temperature at 5 cm depth was observed for both Rs and Rh during 2019–2021 (p < 0.001; Figure 6). The regression models explained 41.1%–62.8% of the variation in Rs and 22.1%–61.4% of the variation in Rh. The temperature sensitivity (Q10) values for the Rs and Rh from 2019 to 2021 varied from 2.03 to 5.20 and from 1.78 to 3.22, respectively (Figure 6). To evaluate the effects of soil moisture, temperature-normalized respiration data were analyzed (RRs, calculated as residuals of observed vs. predicted Rs from Equation (5)). While Rs initially showed a concave-downward relationship with soil moisture, this association was relatively weak for 2019–2021 residuals, and a linear model was therefore adopted. Significant positive correlations were found between temperature-normalized respiration and soil moisture (p < 0.001; Figure 7), with R2 values of 0.232–0.342 for Rs and 0.234–0.420 for Rh.
Figure 6. Relationships between half-hourly mean soil respiration (Rs, μmol CO2 m−2 s−1), heterotrophic respiration (Rh), and hourly soil temperature at 5 cm depth (°C) in (a) 2019, (b) 2020, and (c) 2021. The data represented January to August results in 2021. Asterisks indicate a significance: *** p < 0.001.
Figure 7. Relationships between half-hourly temperature normalized soil respiration (Rs, μmol CO2 m−2 s−1), heterotrophic respiration (Rh), and hourly soil moisture at 10 cm depth (%) in (a) 2019, (b) 2020, and (c) 2021. The data represented January to August results in 2021. Asterisks indicate a significance: *** p < 0.001.

3.5. Drought Inhibited Environmental Factors, Rs, Rh, and Rr Magnitude in Spring

Mean soil temperatures for Rs and Rh were significantly higher in 2021 than in 2019 and 2020 (p < 0.05; Figure 8a). In contrast, spring precipitation totals fell by 12.4% in 2020 and 69.1% in 2021 relative to 2019. Correspondingly, mean spring soil moisture decreased by 25.7% in 2020 and 51.9% in 2021, both significantly lower than in 2019 (p < 0.05; Figure 8b). The mean spring values for the Rs, Rh, and Rr from 2019 to 2021 were shown in Figure 8d. The mean Rs values in spring were significantly higher than those for Rh and Rr in the same year (p < 0.05, Figure 8d). The mean Rr values in spring were significantly lower, 29.3% in 2020 and 62.2% in 2021, than in 2019, respectively (p < 0.05). However, the mean spring Rh values exhibited no differences among these 3 years (p > 0.05).
Figure 8. Mean values of (a) soil temperature, (b) soil moisture, (c) sum of rainfall, (d) mean soil respiration (Rs), heterotrophic respiration (Rh), and autotrophic respiration (Rr) in the spring season (March–May). Ts_s: soil temperature measured in chambers assigned to total soil respiration (Rs); Ts_h: soil temperature measured in root-exclusion chambers assigned to heterotrophic respiration (Rh). Different capital letters indicate differences among years in the same treatment at p < 0.05. Different lowercase letters indicate differences between treatments in the same year at p < 0.05.
The relationships between the differences in monthly mean soil moistures and monthly mean Rh and Rr values in the non-growing season between 2019 and 2020 are shown in Figure 9. The differences in soil moisture significantly increased with the Rh differences (R2 = 0.941 in 2020, R2 = 0.875 in 2021, p < 0.001) (R2 = 0.780 in 2020, R2 = 0.896 in 2021, p < 0.001). On the other hand, the differences in soil moisture also increased with the Rr differences (R2 = 0.780 in 2020, R2 = 0.896 in 2021, p < 0.001). Although we examined the relationship between soil moisture and soil respiration during the growing season, the regression results showed very low explanatory power (R2 < 0.05) and were not statistically significant (p > 0.05). Therefore, only the non-growing season relationship is presented in Figure 9. This highlights a limitation of the present study, as the weak coupling observed during the growing season may reflect complex interactions between soil moisture, root activity, and microbial activity.
Figure 9. Relationships between the differences in monthly mean soil moisture and monthly mean (a) Rh and (b) Rr in the non-growing season between 2019 and 2020 and between 2019 and 2021. Solid lines represent linear regression models. Asterisks indicate a significance: *** p < 0.001.

4. Discussion

4.1. Impacts of Temperature and Moisture on the Rs Components

Our analyses confirm that Rs was primarily regulated by soil thermal and moisture conditions [44], and its seasonal dynamics were consistently explained by soil temperature throughout the study period. This finding, which was the same as those for broadleaved evergreen temperate forests [45], tropical forests [46,47], and subtropical forests [38,48], demonstrated that the Rs levels were highest in summer and lowest in winter (Figure 4 and Figure 6). It should be noted that all chambers were located within a single 20 m diameter area, which may restrict the representativeness of heterogeneous forest conditions [49]. Nevertheless, the chambers used in this study are among the largest applied in field-based forest soil respiration research, and previous work has demonstrated their effectiveness in mitigating spatial heterogeneity.
Root and microbial processes are sensitive to soil water availability, and both excessively low and high moisture can restrict their activity, resulting in suppressed Rs. In subtropical forest ecosystems, an intermediate range of 15%–25% soil moisture has been identified as optimal for respiration [50]. Low soil moisture reduces water availability in the soil, which can limit root water uptake and impair photosynthetic activity in plants, while simultaneously restricting microbial metabolism and enzyme activity. Such conditions impose physiological stress on both plants and soil microorganisms, ultimately leading to reduced soil respiration rates [34]. According to this effect, decreased precipitation levels are expected to suppress Rs. Precipitation reduction experiments have shown that the Rs levels decrease with decreasing soil moisture [37,47,48]. In this study, we found that the influence of drought on Rs was due to a variety of factors and was seasonally related, which resulted in the Rs being less sensitive to drought in the winter season. Moreover, the soil moisture levels at 10 cm depth ranged from 4.3% to 24.4% across the study period. The site experienced pronounced water deficits, particularly in 2020 and extending into June 2021, and this limitation of water availability was reflected in the positive correlation observed between Rh and soil moisture. Although PVC barriers were effective in minimizing root intrusion, a small degree of root regrowth into the Rh chambers over the three-year period cannot be entirely excluded and may lead to a conservative slight overestimation of Rh. These results are possibly related to the coupling of low soil temperatures and soil moistures during the winter seasons in 2019 and 2020. Lower soil temperatures suppress root growth and microbial metabolism while also slowing the diffusion and decomposition of organic substrates, collectively leading to reduced soil respiration [47]. Furthermore, the occurrence of less than 6% of annual precipitation during both winter seasons in 2019 and 2020 and prolonged to late spring in 2021 leads to low soil moisture and Rs values, and similar results were also reported for tropical forests [47]. In contrast, the soil temperatures may not be a limiting factor for Rs in either summer season during the experimental periods. However, the lower frequency and strength of precipitation significantly restricted the soil moisture in 2020 and 2021, which may have resulted in a decrease in Rs.

4.2. Response of Temperature Sensitivity on Rs Components

Soil-water deficits weaken the sensitivity of Rs to soil temperature, and our study results found that drought led to decreases in the Q10 values of Rs and Rh, which were consistent with previous results for temperate forests [26,51]. The annual Q10 values for Rs that were affected by drought were similar to those in normal years, which reflected a stricter relationship between Q10 and root activities [52]. Furthermore, the results also suggest that the Rh was less sensitive than Rr to drought conditions, which indicated that drought might have a gentle response mechanism for the decomposition of soil organic matter.

4.3. Responses of Different Respiration Components to Seasonal Variations

Soil-water deficits weaken the sensitivity of Rs to soil temperature, and our study results found that drought led to decreases in the Q10 values of Rs and Rh, which were consistent with previous results for temperate forests [26,51]. The annual Q10 values for Rs that were affected by drought were similar to those in normal years, which reflected a stricter relationship between Q10 and root activities [52]. Furthermore, the results also suggest that the Rh was less sensitive than Rr to drought conditions, which indicated that drought might have a gentle response mechanism for the decomposition of soil organic matter. Spring drought in our study reduced Rr significantly more than Rh (p < 0.05; Figure 5c and Figure 8d). Comparable results have been documented in a dry temperate broadleaved evergreen forest [45] and in a subtropical forest [48], where prolonged drought events preferentially suppressed Rr. The different responses of the Rr and Rh to drought might result from the differences in internal plant C allocation by shifting more C to growth than to Rr [45] and root phenology [53].
The seasonal variations in Rr were likely to be controlled by the plant phenology and litter input. Fine root dynamics are strongly influenced by soil moisture [45], and reductions in Rr have been documented under drought conditions or when fine root growth is suppressed during summer [45,51]. The Rr levels gradually increased from March to May and rapidly increased from June to August in 2091 and 2020, which was characterized by a period of rapid plant growth. The higher soil moisture levels from May to August 2019 benefited plant growth and resulted in higher Rr values. Drought may limit plant growth and decrease litter production, which restricts the supply of photosynthesis products to root respiration [37]. Positive differences in the Rr levels between 2019 and 2020 and 2019 and 2021 were observed from June to August and could be attributed to the phonological development of the plants in the normal year.
Matteucci et al. [54] demonstrated that Rh is strongly regulated by soil moisture under hot and dry conditions but by soil temperature during wet and cold seasons. Insufficient moisture may reduce the apparent temperature sensitivity of respiration, likely because substrate accessibility is dependent on water availability [55]. In this study, variation in the seasonal patterns of Rh between normal and drought years can be explained by differences in the temporal distribution of precipitation (Figure 3). Furthermore, drought stress may limit Rh levels not only by reducing the diffusion of organic substrates to the microbial community but also by constraining the input of fresh organic matter from plant roots and litter, thereby decreasing substrate availability for microbial decomposition [37,56]. In our findings, spring drought might limit root development, especially in the growing season, and therefore, the Rr levels would decrease significantly. In contrast, the soil temperatures explained >87.5% of the seasonal variations in Rh in drought years, but the Rh values were not affected by soil moisture changes (Figure 9). Microbial activity is strongly temperature dependent, resembling other biochemical processes, but this relationship holds only when soil moisture is within an optimal range [56]. Moreover, microbial communities adapt to the lower soil bulk density and loamy texture in which the maximum soil moisture is less than 25%, which resulted in the Rh levels not being limited by soil moisture when the soil temperatures were not a limiting factor. The stronger effect of soil moisture on Rs in 2020 and 2021 relative to that in 2019, as well as the greater decrease in Rr than Rh under drought, suggests that drought amplified the water limitation effects on CO2 emissions, especially those from Rr (Figure 9). Therefore, the contribution of Rr to Rs significantly decreased, which suggested a more pronounced negative effect on the Rr than on Rh. In this study, the factors that controlled the seasonal variations in respiration that differed for Rr and Rh reflected drought behavior. Notably, we observed that prolonged drought events did not cause tree mortality in this experiment period, likely because the deeper roots of larger trees could access water stored in deeper soil layers [57,58]. The soil profile at our site has an estimated water holding capacity of approximately 312–423 mm within 1.5 m depth [40], which may have helped buffer trees against severe water stress. Our results highlight the need to calculate the different responses to drought between Ra and Rh in monsoon forests when predicting the reaction of the ecosystem carbon balance in response to future drought events.

5. Conclusions

The results of the present study demonstrate that prolonged spring drought significantly inhibited the Rs levels, which were primarily driven by the decrease in Rr due to lower soil moisture content. However, Rh was largely decoupled from soil temperature during drought periods when soil moisture was limited, which may indicate that autotrophic and heterotrophic respiration respond to different critical soil moisture thresholds. In this study, the factors driving the seasonal variation in Rr and Rh differed under drought conditions, reflecting distinct drought sensitivities of these two components of soil respiration. Our findings also suggest that the critical soil moisture threshold for Rr may differ from that for Rh, as indicated by the stronger inhibition of Rr relative to Rh during drought. This potential difference in moisture sensitivity highlights the importance of distinguishing root- and microbial-derived respiration when projecting soil carbon dynamics under future climate scenarios. Our results highlight the need to calculate the different responses to drought between Ra and Rh in monsoon forests when predicting the reaction of the ecosystem carbon balance in response to future drought events. In summary, the inhibition effects of spring drought on Rr and the negligible effect of spring drought on Rh should be incorporated into models to improve predictions of the global carbon cycle. The findings for spring drought provide a new perspective on the effects of precipitation variation on soil respiration in Asian monsoon forests in Taiwan and possibly have noteworthy implications for the soil and global carbon budgets under future climate change.

Author Contributions

Conceptualization, P.-N.C., J.-C.Y. and W.-T.L.; methodology, P.-N.C., J.-C.Y. and W.-T.L.; formal analysis, J.-C.Y. and W.-T.L.; writing—original draft preparation, P.-N.C. and J.-C.Y.; writing—review and editing, P.-N.C., J.-C.Y. and W.-T.L.; visualization, P.-N.C.; funding acquisition, P.-N.C. All authors have read and agreed to the published version of the manuscript.

Funding

This research was partially supported by the Ministry of Science Technology, Taiwan, under grant number MOST107-2313-B-002-035 and MOST 109-2313-B-002-038 and by the Experimental Forest, National Taiwan University (110EXFOE03).

Data Availability Statement

The data presented in this study are amiable on request from the corresponding author. The data are not publicly available due to privacy.

Acknowledgments

This field works supported by the Experimental Forest, National Taiwan University. Data from the publication are available from the Experimental Forest, National Taiwan University. We greatly appreciate the anonymous reviewers for their constructive and insightful comments and suggestions that significantly improved the quality of our paper.

Conflicts of Interest

The authors declare no conflicts of interest.

References

  1. Lal, R.; Smith, P.; Jungkunst, H.F.; Mitsch, W.J.; Lehmann, J.; Nair, P.K.R.; McBratney, A.B.; Sá, J.C.D.; Schneider, J.; Zinn, Y.L.; et al. The carbon sequestration potential of terrestrial ecosystems. J. Soil Water Conser. 2018, 73, A145–A152. [Google Scholar] [CrossRef]
  2. Dixon, R.K.; Solomon, A.M.; Brown, S.; Houghton, R.A.; Trexier, M.C.; Wisniewski, J. Carbon Pools and Flux of Global Forest Ecosystems. Science 1994, 263, 185–190. [Google Scholar] [CrossRef] [PubMed]
  3. Bond-Lamberty, B.; Thomson, A. Temperature-associated increases in the global soil respiration record. Nature 2010, 464, 579. [Google Scholar] [CrossRef] [PubMed]
  4. Law, B.E.; Kelliher, F.M.; Baldocchi, D.D.; Anthoni, P.M.; Irvine, J.; Moore, D.; Van Tuyl, S. Spatial and temporal variation in respiration in a young ponderosa pine forests during a summer drought. Agric. For. Meteorol. 2001, 110, 27–43. [Google Scholar] [CrossRef]
  5. Jian, J.; Steele, M.K.; Thomas, R.Q.; Day, S.D.; Hodges, S.C. Constraining estimates of global soil respiration by quantifying sources of variability. Glob. Change Biol. 2018, 24, 4143–4159. [Google Scholar] [CrossRef]
  6. Zhao, X.; Liang, N.; Zeng, J.; Mohti, A. A simple model for partitioning forest soil respiration based on root allometry. Soil Biol. Biochem. 2021, 152, 108067. [Google Scholar] [CrossRef]
  7. Chiang, P.N.; Yu, J.C.; Lai, Y.J. Soil respiration variation among four tree species at young afforested sites under the influence of frequent typhoon occurrences. Forests 2021, 12, 787. [Google Scholar] [CrossRef]
  8. Teramoto, M.; Liang, N.; Ishida, S.; Zeng, J. Long-term stimulatory warming effect on soil heterotrophic respiration in a cool-temperate broad-leaved deciduous forest in northern Japan. J. Geophy. Res. Biogeosci. 2018, 123, 1161–1177. [Google Scholar] [CrossRef]
  9. Yan, Z.; Bond-Lamberty, B.; Todd-Brown, K.E.; Bailey, V.L.; Li, S.; Liu, C.; Liu, C. A moisture function of soil heterotrophic respiration that incorporates microscale processes. Nat. Commun. 2018, 9, 2562. [Google Scholar] [CrossRef]
  10. Liang, N.S.; Teramoto, M.; Takagi, M.; Zeng, J.Y. Data Descriptor: High-resolution data on the impact of warming on soil CO2 efflux from an Asian monsoon forest. Sci. Data 2017, 4, 11. [Google Scholar] [CrossRef]
  11. Yan, T.; Song, H.H.; Wang, Z.Q.; Teramoto, M.; Wang, J.S.; Liang, N.S.; Ma, C.; Sun, Z.Z.; Xi, Y.; Li, L.L.; et al. Temperature sensitivity of soil respiration across multiple time scales in a temperate plantation forest. Sci. Total Environ. 2019, 688, 479–485. [Google Scholar] [CrossRef]
  12. Yu, J.-C.; Chiang, P.-N.; Lai, Y.-J.; Tsai, M.-J.; Wang, Y.-N. High rainfall inhibited soil respiration in an Asian monsoon forest in Taiwan. Forests 2021, 12, 239. [Google Scholar] [CrossRef]
  13. Li, W.; Wang, J.; Zhang, X.; Shi, S.; Cao, W. Effect of degradation and rebuilding of artificial grasslands on soil respiration and carbon and nitrogen pools on an alpine meadow of the Qinghai-Tibetan Plateau. Ecol. Eng. 2018, 111, 134–142. [Google Scholar] [CrossRef]
  14. Hashimoto, S.; Carvalhais, N.; Ito, A.; Migliavacca, M.; Nishina, K.; Reichstein, M. Global spatiotemporal distribution of soil respiration modeled using a global database. Biogeosciences 2015, 12, 4121–4132. [Google Scholar] [CrossRef]
  15. van Gestel, N.; Shi, Z.; van Groenigen, K.J.; Osenberg, C.W.; Andresen, L.C.; Dukes, J.S.; Hovenden, M.J.; Luo, Y.; Michelsen, A.; Pendall, E.; et al. Predicting soil carbon loss with warming. Nature 2018, 554, E4–E5. [Google Scholar] [CrossRef] [PubMed]
  16. Wroński, K.T. The Dependence of soil CO2 fluxes on atmospheric conditions during sub-periods of soil respiration. For. Res. 2015, 76, 129–143. [Google Scholar] [CrossRef][Green Version]
  17. Meeran, K.; Ingrisch, J.; Reinthaler, D.; Canarini, A.; Müller, L.; Pötsch, E.M.; Richter, A.; Wanek, W.; Bahn, M. Warming and elevated CO2 intensify drought and recovery responses of grassland carbon allocation to soil respiration. Glob. Change Biol. 2021, 27, 3230–3243. [Google Scholar] [CrossRef]
  18. Han, C.; Sun, Z.; Li, H. Soil heterotrophic respiration repressed by drought stress more than soil autotrophic respiration in Stipa breviflora desert steppe, China. Sci. Rep. 2024, 15, 18235. [Google Scholar] [CrossRef]
  19. Barba, J.; Lloret, F.; Poyatos, R.; Molowny-Horas, R.; Yuste, J.C. Multi-temporal influence of vegetation on soil respiration in a drought-affected forest. iForest 2018, 11, 189–198. [Google Scholar] [CrossRef]
  20. Chang, C.T.; Sperlich, D.; Sabate, S.; Sanchez-Costa, E.; Cotillas, M.; Espelta, J.M.; Gracia, C. Mitigating the stress of drought on soil respiration by selective thinning: Contrasting effects of drought on soil respiration of two oak species in a Mediterranean forest. Forests 2016, 7, 16. [Google Scholar] [CrossRef]
  21. Lei, N.; Wang, H.; Chen, T. Components of soil respiration and its temperature sensitivity in four reconstructed soils. Sci. Rep. 2021, 12, 6107. [Google Scholar] [CrossRef]
  22. Arroyo, O.G.D.; Wood, T.E. Significant diel variation of soil respiration suggests aboveground and belowground controls in a tropical moist forest in Puerto Rico. J. Geophys. Res. Biogeosci. 2020, 125, e2019JG005353. [Google Scholar] [CrossRef]
  23. Sowerby, A.; Emmett, B.A.; Tietema, A.; Beier, C. Contrasting effects of repeated summer drought on soil carbon efflux in hydric and mesic heathland soils. Glob. Change Biol. 2008, 14, 2388–2404. [Google Scholar] [CrossRef]
  24. Vries, F.T.d.; Williams, A.; Stringer, F.; Willcocks, R.; McEwing, R.; Langridge, H.; Straathof, A.L. Changes in root-exudate-induced respiration reveal a novel mechanism through which drought affects ecosystem carbon cycling. New Phytol. 2019, 224, 132–145. [Google Scholar] [CrossRef] [PubMed]
  25. Schindlbacher, A.; Wunderlich, S.; Borken, W.; Kitzler, B.; Zechmeister-Boltenstern, S.; Jandl, R. Soil respiration under climate change: Prolonged summer drought offsets soil warming effects. Glob. Change Biol. 2012, 18, 2270–2279. [Google Scholar] [CrossRef]
  26. Liu, Q.; Wang, R.; Li, R.; Hu, Y.; Guo, S. Temperature sensitivity of soil respiration to nitrogen fertilization: Varying effects between growing and non-growing seasons. PLoS ONE 2016, 11, e0168599. [Google Scholar] [CrossRef]
  27. Burri, S.; Niklaus, P.A.; Grassow, K.; Buchmann, N.; Kahmen, A. Effects of plant productivity and species richness on the drought response of soil respiration in temperate grasslands. PLoS ONE 2018, 13, e0209031. [Google Scholar] [CrossRef]
  28. Ingrisch, J.; Karlowsky, S.; Hasibeder, R.; Gleixner, G.; Bahn, M. Drought and recovery effects on belowground respiration dynamics and the partitioning of recent carbon in managed and abandoned grassland. Glob. Change Biol. 2020, 26, 4366–4378. [Google Scholar] [CrossRef]
  29. Cleveland, C.C.; Wieder, W.R.; Reed, S.C.; Townsend, A.R. Experimental drought in a tropical rain forest increases soil carbon dioxide losses to the atmosphere. Ecology 2010, 91, 2313–2323. [Google Scholar] [CrossRef]
  30. Lellei-Kovács, E.; Botta-Dukát, Z.; Ónodi, G.; Mojzes, A.; Kröel-Dulay, G. The negative legacy effect of extreme drought on soil respiration is unaffected by post-drought precipitation regime in a temperate grassland. Glob. Change Biol. 2025, 31, e70083. [Google Scholar] [CrossRef]
  31. Hasibeder, R.; Fuchslueger, L.; Richter, A.; Bahn, M. Summer drought alters carbon allocation to roots and root respiration in mountain grassland. New Phytol. 2014, 205, 1117–1127. [Google Scholar] [CrossRef] [PubMed]
  32. Li, J.; Zhang, J.; Ma, T.; Lv, W.; Shen, Y.; Yang, Q.; Wang, X.; Wang, R.; Xiang, Q.; Lv, L.; et al. Responses of soil respiration to the interactive rffects of warming and drought in alfalfa grassland on the Loess Plateau. Agronomy 2023, 13, 2992. [Google Scholar] [CrossRef]
  33. Darenova, E.; Holub, P.; Krupkova, L.; Pavelka, M. Effect of repeated spring drought and summer heavy rain on managed grassland biomass production and CO2 efflux. J. Plant Ecol. 2016, 10, 476–485. [Google Scholar] [CrossRef][Green Version]
  34. Davidson, E.A.; Belk, E.; Boone, R.D. Soil water content and temperature as independent or confounded factors controlling soil respiration in a temperate mixed hardwood forest. Glob. Change Biol. 1998, 4, 217–227. [Google Scholar] [CrossRef]
  35. Rahman, M.M.; Hicks, L.C.; Verheyen, K.; Rousk, J.; Carnol, M. Effects of drought legacy and tree species admixing on bacterial growth and respiration in a young forest soil upon drying and rewetting. Soil Biol. Biochem. 2018, 127, 148–155. [Google Scholar] [CrossRef]
  36. Davidson, E.A.; Verchot, L.V.; Cattanio, J.H.; Ackerman, I.L.; Carvalho, J.E.M. Effects of soil water content on soil respiration in forests and cattle pastures of eastern Amazonia. Biogeochemistry 2000, 48, 53–69. [Google Scholar] [CrossRef]
  37. Zheng, P.F.; Wang, D.D.; Yu, X.X.; Jia, G.D.; Liu, Z.Q.; Wang, Y.S.; Zhang, Y.G. Effects of drought and rainfall events on soil autotrophic respiration and heterotrophic respiration. Agric. Ecosyst. Environ. 2021, 308, 9. [Google Scholar] [CrossRef]
  38. Huang, S.; Ye, G.; Lin, J.; Chen, K.; Xu, X.; Ruan, H.; Tan, F.; Chen, H.Y.H. Autotrophic and heterotrophic soil respiration responds asymmetrically to drought in a subtropical forest in the Southeast China. Soil Biol. Biochem. 2018, 123, 242–249. [Google Scholar] [CrossRef]
  39. Smith, A.P.; Bond-Lamberty, B.; Benscoter, B.W.; Tfaily, M.; Hinkle, C.R.; Liu, C.; Bailey, V. Shifts in pore connectivity from precipitation versus groundwater rewetting increases soil carbon loss after drought. Nat. Commun. 2017, 8, 1335. [Google Scholar] [CrossRef]
  40. Tongsiri, P.; Tseng, W.-Y.; Shen, Y.; Lai, H.-Y. Comparison of soil properties and organic components in infusions according to different aerial appearances of tea plantations in central Taiwan. Sustainability 2020, 12, 4384. [Google Scholar] [CrossRef]
  41. Teramoto, M.; Liang, N.S.; Zeng, J.Y.; Saigusa, N.; Takahashi, Y. Long-term chamber measurements reveal strong impacts of soil temperature on seasonal and inter-annual variation in understory CO2 fluxes in a Japanese larch (Sarg.) forest. Agric. For. Meteorol. 2017, 247, 194–206. [Google Scholar] [CrossRef]
  42. Wang, W.J.; Zu, Y.G.; Wang, H.M.; Hirano, T.; Takagi, K.; Sasa, K.; Koike, T. Effect of collar insertion on soil respiration in a larch forest measured with a LI-6400 soil CO2 flux system. J. Forest Res. 2005, 10, 57–60. [Google Scholar] [CrossRef]
  43. Lloyd, J.; Taylor, J.A. On the Temperature-dependence of soil respiration. Func. Ecol. 1994, 8, 315–323. [Google Scholar] [CrossRef]
  44. Raich, J.W. Temporal variability of soil respiration in experimental tree plantations in lowland Costa Rica. Forests 2017, 8, 40. [Google Scholar] [CrossRef]
  45. Hinko-Najera, N.; Fest, B.; Livesley, S.J.; Arndt, S.K. Reduced throughfall decreases autotrophic respiration, but not heterotrophic respiration in a dry temperate broadleaved evergreen forest. Agric. For. Meteorol. 2015, 200, 66–77. [Google Scholar] [CrossRef]
  46. Deng, Q.; Zhang, D.; Han, X.; Chu, G.; Zhang, Q.; Hui, D. Changing rainfall frequency rather than drought rapidly alters annual soil respiration in a tropical forest. Soil Biol. Biochem. 2018, 121, 8–15. [Google Scholar] [CrossRef]
  47. Zhang, X.; Zhang, Y.; Sha, L.; Wu, C.; Tan, Z.; Song, Q.; Liu, Y.; Dong, L. Effects of continuous drought stress on soil respiration in a tropical rainforest in southwest China. Plant Soil 2015, 394, 343–353. [Google Scholar] [CrossRef]
  48. Huang, C.; Wu, C.; Gong, H.; You, G.; Sha, L.; Lu, H. Decomposition of roots of different diameters in response to different drought periods in a subtropical evergreen broad-leaf forest in Ailao Mountain. Glob. Ecol. Conserv. 2020, 24, e01236. [Google Scholar] [CrossRef]
  49. Liang, N.S.; Nakadai, T.; Hirano, T.; Qu, L.Y.; Koike, T.; Fujinuma, Y.; Inoue, G. In situ comparison of four approaches to estimating soil CO2 efflux in a northern larch (Sarg.) forest. Agric. For. Meteorol. 2004, 123, 97–117. [Google Scholar] [CrossRef]
  50. Yi, Z.; Fu, S.; Yi, W.; Zhou, G.; Mo, J.; Zhang, D.; Ding, M.; Wang, X.; Zhou, L. Partitioning soil respiration of subtropical forests with different successional stages in south China. For. Ecol. Manag. 2007, 243, 178–186. [Google Scholar] [CrossRef]
  51. Rey, A.; Pegoraro, E.; Tedeschi, V.; De Parri, I.; Jarvis, P.G.; Valentini, R. Annual variation in soil respiration and its components in a coppice oak forest in Central Italy. Glob. Change Biol. 2002, 8, 851–866. [Google Scholar] [CrossRef]
  52. Zou, J.; Tobin, B.; Luo, Y.; Osborne, B. Response of soil respiration and its components to experimental warming and water addition in a temperate Sitka spruce forest ecosystem. Agric. For. Meteorol. 2018, 260–261, 204–215. [Google Scholar] [CrossRef]
  53. Carbone, M.S.; Still, C.J.; Ambrose, A.R.; Dawson, T.E.; Williams, A.P.; Boot, C.M.; Schaeffer, S.M.; Schimel, J.P. Seasonal and episodic moisture controls on plant and microbial contributions to soil respiration. Oecologia 2011, 167, 265–278. [Google Scholar] [CrossRef]
  54. Matteucci, M.; Gruening, C.; Goded Ballarin, I.; Seufert, G.; Cescatti, A. Components, drivers and temporal dynamics of ecosystem respiration in a Mediterranean pine forest. Soil Biol. Biochem. 2015, 88, 224–235. [Google Scholar] [CrossRef]
  55. Li, X.; Guo, D.; Zhang, C.; Niu, D.; Fu, H.; Wan, C. Contribution of root respiration to total soil respiration in a semi-arid grassland on the Loess Plateau, China. Sci. Total Environ. 2018, 627, 1209–1217. [Google Scholar] [CrossRef]
  56. Davidson, E.A.; Janssens, I.A. Temperature sensitivity of soil carbon decomposition and feedbacks to climate change. Nature 2006, 440, 165. [Google Scholar] [CrossRef]
  57. Kume, T.; Takizawa, H.; Yoshifuji, N.; Tanaka, K.; Tantasirin, C.; Tanaka, N.; Suzuki, M. Impact of soil drought on sap flow and water status of evergreen trees in a tropical monsoon forest in northern Thailand. For. Ecol. Manag. 2007, 238, 220–230. [Google Scholar] [CrossRef]
  58. Zhou, L.; Liu, Y.; Zhang, Y.; Sha, L.; Song, Q.; Zhou, W.; Balasubramanian, D.; Palingamoorthy, G.; Gao, J.; Lin, Y.; et al. Soil respiration after six years of continuous drought stress in the tropical rainforest in Southwest China. Soil Biol. Biochem. 2019, 138, 107564. [Google Scholar] [CrossRef]
Disclaimer/Publisher’s Note: The statements, opinions and data contained in all publications are solely those of the individual author(s) and contributor(s) and not of MDPI and/or the editor(s). MDPI and/or the editor(s) disclaim responsibility for any injury to people or property resulting from any ideas, methods, instructions or products referred to in the content.

Article Metrics

Citations

Article Access Statistics

Multiple requests from the same IP address are counted as one view.