Next Article in Journal
Genetic Diversity and Population Structure of Bursaphelenchus xylophilus in Guangdong, Guangxi, and Jiangsu Provinces in China
Previous Article in Journal
Study on Preparation Optimization Technology and Surface Properties of Decorated Bamboo Filament Board
 
 
Font Type:
Arial Georgia Verdana
Font Size:
Aa Aa Aa
Line Spacing:
Column Width:
Background:
Article

Applicability Evaluation of Modified Epoxy Resin in the Repair and Reinforcement of Ancient Building Timber Members

Research Institute of Wood Industry, Chinese Academy of Forestry, Xiang Shan Road, Haidian District, Beijing 100091, China
*
Author to whom correspondence should be addressed.
These authors contributed equally to this work.
Forests 2024, 15(6), 933; https://doi.org/10.3390/f15060933
Submission received: 15 November 2023 / Revised: 8 December 2023 / Accepted: 9 December 2023 / Published: 28 May 2024
(This article belongs to the Section Wood Science and Forest Products)

Abstract

To investigate the potential of modified epoxy resin for repairing and strengthening historical wooden structures, this study utilized polyurethane and silicone-modified epoxy resin as the base, alongside a polyamine curing agent. The resin mixture was cured at ambient temperature, resulting in the creation of ten unique epoxy resin systems. Investigation into the chemical structure and alterations to the glass transition temperature were conducted. The study conducted tests and characterization of viscosity, curing rate, mechanical properties, stress failure mode, hygrothermal aging resistance, and bonding properties. The results reveal that the curing degree of the two modified epoxy resins is high after being cured at room temperature, and the chemical structure and curing rate show insignificant changes. The range of the glass transition temperature for the modified epoxy resin is between 61.31 °C and 70.51 °C. The incorporation of polyurethane and silicone molecular chains into the epoxy resin cross-linking curing system enhances the toughness of the epoxy resin. The modified resin achieves a maximum elongation at break that is 5.18 times greater than that of the unmodified resin, along with a maximum tensile strength and a compressive strength that are 7.94 and 1.74 times, respectively, higher than those in the Chinese technical specifications for the maintenance and reinforcement of ancient wooden structures. The increase in toughness changes the failure mode of the cured epoxy resin. The modified epoxy resin exhibits great bonding ability to aged wood, with a shear strength of up to 9.6 MPa along the grain. As a result, the modified epoxy resin meets the requirements for the reinforcement and repair of the timber members of ancient buildings.

1. Introduction

Ancient buildings, which are an integral part of cultural heritage, often contain timber members. However, natural factors and prolonged exposure to the environment make timber members susceptible to problems such as cracking, decay, insect infestation, and damage [1,2,3,4]. These conditions pose a significant threat to the overall structural integrity and safety of ancient wooden buildings [5,6]. Ancient buildings, often constructed of wood, face challenges such as cracking, decay, and insect infestation. Using suitable materials for repair and reinforcement can preserve these valuable structures for the future. Using suitable materials to repair and reinforce damaged wood is essential for preserving ancient buildings.
Epoxy resin has become the preferred material of choice for the restoration and reinforcement of damaged wooden members in ancient buildings [7,8]. Its exceptional penetrative properties allow for the uniform filling of gaps and voids, resulting in a compact and solid outcome. Once cured, epoxy resins exhibit minimal shrinkage, high strength, chemical resistance, and strong adhesion to wood [9,10]. Consequently, they have found extensive application in restoring and reinforcing timber members in renowned Chinese architectural masterpieces like the Ying County Wooden Pagoda, Nanchan Temple, Foguang Temple, and the Forbidden City.
Epoxy resin plays a vital role in the repair and reinforcement of timber members in ancient buildings. It effectively bonds split, damaged, or fractured wooden elements as an adhesive [11]. Additionally, epoxy resin fills cracks and decayed voids in ancient timber members as a grouting material [12,13]. For successful repair and reinforcement, epoxy resins require room temperature curing and possess desirable properties such as good flowability, appropriate curing rates, and high mechanical strength. They also exhibit excellent adhesive and hygrothermal aging properties. These properties are essential in ensuring the effectiveness of repair and reinforcement efforts on timber members in ancient buildings.
Currently, epoxy resins commonly used for the repair and reinforcement of ancient buildings are typically unmodified bisphenol A epoxy resin, such as E44 or E51, combined with amine-based curing agents. However, these resins have certain drawbacks, including brittleness, poor hygrothermal aging property, and insufficient bond property [14,15]. To overcome these shortages, a common approach is to modify the epoxy resin matrix by incorporating polyurethane or silicone resin molecular chains [16,17]. This modification significantly enhances the toughness and hygrothermal aging property of the cured epoxy resin [18,19]. Polyurethane-modified and silicone-modified epoxy resins have emerged as novel structural adhesives for engineering structural repair and reinforcement [20]. However, there is currently a lack of comprehensive research on the properties of these modified epoxy resins during room temperature curing. This knowledge gap makes it challenging to determine their suitability for the restoration and reinforcement of timber members in ancient buildings. Consequently, their application in such projects is limited by this lack of understanding and research.
In this study, two kinds of modified epoxy resins and five kinds of room temperature curable amine curing agents were used to prepare ten groups of modified epoxy resin systems. The chemical structure, viscosity, curing rate, mechanical properties, glass transition temperature, hydrothermal aging resistance, and bonding property with wood commonly used in ancient buildings were mainly tested to evaluate the applicability of modified epoxy resin and provide a reference for its application in the repair and reinforcement of ancient building timber members.

2. Materials and Methods

2.1. Materials

Two epoxy resins were selected: polyurethane-modified epoxy resin with an average epoxy value of 0.51, supplied by Zhuzhou Shilin Polymer Co., Ltd., Zhuzhou, China; silicone (polysiloxane)-modified epoxy resin with an average epoxy value of 0.51, supplied by Shanghai Luohe Advanced Materials Co., Ltd., Shanghai, China.
Five room temperature curing agents were selected: diethylenetriamine and butyl glycidyl ether adduct (593 curing agent) with an activated hydrogen equivalent of 49 g/eq, supplied by Sinopec Group, Beijing, China; 1,3-Bis(Aminomethyl)cyclohexane (1,3-BAC) with an activated hydrogen equivalent of 35.5 g/eq, supplied by Mitsubishi Gas Chemical, Tokyo, Japan; polyamide 651 (PA-651) with an activated hydrogen equivalent of 95 g/eq, supplied by Zhenjiang Danbao Chemical Co., Ltd., Zhenjiang, China; O,O′-Bis (2-aminopropyl)polypropyleneglycol; D230 (PEA-D230) with an activated hydrogen equivalent of 62 g/eq, supplied by Huntsman, The Woodlands, TX, USA; 1,3-Bis-aminomethylbenzen (MXDA) with an activated hydrogen equivalent of 34 g/eq, supplied by Mitsubishi Gas Chemical, Japan; and a defoamer, BYK-525, supplied by BYK, St. Louis, MO, USA.
Two kinds of wood commonly used in Chinese ancient building timber members were selected as bonding property test wood: Chinese fir (Cunninghamia lanceolata (Lamb.) Hook.), supplied by Guizhou province, China, with a density of 0.38 g/cm3, and a moisture content of 9.8%; larch (Larix gmelinii (Rupr.) Kuzen.), supplied by Shanxi province, China, with a density of 0.61 g/cm3, and a moisture content of 10.1%. Chinese fir and larch were sawn from logs and cut into quarter-sawn timbers.
The appropriate ratio of modified epoxy resin to curing agent was determined based on a 1:1 molar equivalence between the epoxy groups of the two modified epoxy resins and the active hydrogen atoms of the curing agents [21]. The exact amounts of each component are shown in Table 1.

2.2. Preparation of Modified Epoxy Resin System

The resin and curing agent were mixed in a beaker according to the determined ratio, and the mixed resin was slowly stirred using a magnetic stirrer at room temperature. To prevent bubble defects from affecting the curing system’s properties, 0.2 wt.% defoamer was added to the curing system. After being thoroughly mixed, the mixture was placed in a vacuum drying oven for 5 min to defoam under vacuum, and the remaining mixture was carefully transferred to various silicone rubber molds; after pouring the mixture, the molds were handled carefully to avoid any disturbance or damage to the samples during the curing process. Following a curing period of 48 h at room temperature, the samples were carefully removed from the molds to ensure that their shape and integrity were maintained. Great care was taken to prevent any deformations or surface damage during the meticulous extraction process.
The cured samples underwent an additional curing period of at least 7 days at room temperature under ambient conditions. This extended curing duration facilitated the complete development of the desired physical and chemical properties of the cured resin. Following the curing period, the samples were ready to undergo various property tests to evaluate their mechanical, hygrothermal, and other relevant properties. These tests provided valuable insights into the effectiveness of the modified epoxy resin curing system and its suitability for the intended applications.

2.3. Methods

2.3.1. Viscosity Test

The viscosity of the modified resin, curing agent, and resin mixture, after thorough mixing and defoaming, was measured at room temperature using an NDJ-5S rotational viscometer (Shanghai Changji Geological Instrument Co., Ltd., Shanghai, China). Three measurements were conducted for each sample, and the average value was taken as the viscosity of the resin mixture.

2.3.2. Curing Rate Test

The curing rate was assessed by measuring the tack-free time in compliance with the standard “Test method for the surface drying time of building sealants—Part 5: Determination of the tack-free time” (GB/T 13477.5-2002) [22]. The resin mixture was uniformly mixed, and then the timing was commenced. The measurement carried on until the resin stopped adhering to a glass rod. The recorded time represented the tack-free time, indicating the curing rate. The testing was conducted at room temperature. Five measurements were conducted for each group, and the average time was taken as the tack-free time.

2.3.3. Mechanical Property Test

The tensile and compressive strengths of various curing systems were measured using a universal testing machine (ETM105D, maximum load 100 KN, the accuracy of the load cell is ±0.2 N, Shenzhen Wance Testing Equipment Co., Ltd., Shenzhen, China) in accordance with the standard “Test Methods for Properties of Resin Casting Body” (GB/T 2567-2021) [23]. The tests were conducted at room temperature under displacement control with a testing speed of 10 mm/min for tensile strength and 5 mm/min for compressive strength, as shown in Figure 1. For the tensile and compression tests, there were 5 valid specimens in each group.

2.3.4. Hygrothermal Aging Resistance Test

The modified epoxy resin’s tensile and compression test specimens were immersed in water for 72 h, and then placed in a blast drying oven at 60 °C for 12 h. The mechanical properties of the epoxy resin were tested using a universal mechanical testing machine. Each group had five valid specimens for both tensile and compression tests. The hygrothermal aging resistance test specimen and the mechanical property test specimen were created by adding the same mixed liquid into the mold. The hygrothermal resistance was measured by the rate of change in the mechanical properties of epoxy resin after hygrothermal treatment.
The change rate is calculated by Equation (1):
η = ( 1 σ 0 σ w ) × 100
where η is the change rate, σ 0 is the average strength of the specimen without hygrothermal treatment, and σ w is the average strength of the specimen after hygrothermal treatment.

2.3.5. Bonding Ability Test

According to the standard GB/T 50329-2012 “Standard for test methods of timber structures ” [24], the bonding strength between epoxy resin material and two commonly used Chinese ancient timber members, namely Chinese fir and larch, was tested. The glue application amount was (250 ± 50) g/m2, and the pressure was controlled between 0.75–1 MPa. The bonding was conducted at room temperature, with the epoxy resin applied to the radial surface of the wood. To simulate the aging of timber members in ancient buildings, the bonding surface was exposed to UVA-340 fluorescent ultraviolet light for 48 h. The bonded specimens were cured at room temperature for a minimum of 7 days and then tested for their shear strength in the grain direction using a universal testing machine. For the bonding ability test, there were 10 valid specimens in each group.

2.3.6. Other Characterizations

The glass transition temperature of the cured epoxy resin was measured via differential scanning calorimetry (Thermo Scientific, Waltham, MA, USA) in N2 atmosphere. Based on most studies, 10 °C/min was selected as the test temperature change rate. The temperature range was 30 °C–110 °C.
Fourier-transform infrared spectroscopy (FTIR, Nicolet IS10, Thermo Fisher Nicolet, Madison, WI, USA) was used to qualitatively analyze the functional groups contained in the sample. The test range was 4000~500 cm−1, and the resolution was 2 cm−1. The uncured epoxy resin was analyzed using the liquid test and the cured epoxy resin was analyzed using the powder test; the other test parameters were unchanged.
The morphological damage of the cured, modified epoxy resin was observed using an extended depth-of-field 3D microscope (EDF-3D microscope, VHX-6000, Keyence, Japan) and a field emission scanning electron microscope (FESEM, S-4800, Hitachi, Tokyo, Japan).

3. Results

3.1. FTIR Analysis of Modified Epoxy Resin

Figure 2 shows the infrared spectra of two types of modified epoxy resins before and after they were cured at room temperature. Although the two modified epoxy resins were cured with different curing agents under room temperature conditions, the chemical structures of the cured materials are still relatively similar, with some differences observed. The C=C bond in the benzene ring of the epoxy resin appears at 1582 cm−1, and the characteristic vibrational peak of the epoxy groups at both ends of the epoxy resin appears at 916 cm−1. A comparison of the spectra of the epoxy resin before and after curing at room temperature reveals a significant reduction in the intensity of these characteristic peaks after curing. This suggests that crosslinking reactions occur in the epoxy groups initiated by the active hydrogen atoms in the amine curing agents and that most of the epoxy groups become involved in the reaction. However, because of the crosslinking reaction happening at room temperature, a small percentage of the epoxy groups do not react [25].
The stretching vibration peak of N-H is observed at 3422 cm−1, indicating the successful incorporation of polyurethane molecular chains into the modified epoxy resin matrix [26]. On the other hand, the characteristic absorption peaks corresponding to methyl (-CH3) groups in the polydimethylsiloxane molecular chains and silicon–oxygen (Si-O) bonds overlap with the absorption peaks corresponding to methyl (-CH3) groups and carbon–oxygen (C-O-C) bonds in the epoxy resin [27]. Therefore, the absorption wavelengths and intensities of the peaks corresponding to the silicone-positive epoxy resin show relatively minor differences.

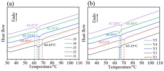
3.2. Glass Transition Temperature of Modified Epoxy Systems

The glass transition temperature (Tg) represents the point when the epoxy resin shifts from a solid and glassy state to a rubbery state. Once the temperature of the resin surpasses the glass transition temperature, its properties may be altered due to softening of the material [28]. Figure 3 shows the DSC curves of two types of epoxy resin and their cured products with different curing agents at room temperature. From Figure 3, it can be observed that the cured products of both modified epoxy resins exhibit significant heat absorption peaks in the temperature range of 60 °C to 70 °C, with their Tg values falling between 60 °C and 70 °C. These values are notably lower compared with the Tg of the epoxy resin cured under heat-curing conditions. The reason for this is that room temperature-cured epoxy resin has lower crosslinking density and degree of cure compared with heat-cured epoxy resin. As a result, at lower temperatures, the cross-linked structure can transition from a glassy state to a rubbery state.
The peak of the heat absorption in the DSC curve represents the glass transition temperature of the epoxy resin. The glass transition temperature range for the polyurethane-modified epoxy resin is 61.31 °C to 69.06 °C, while the glass transition temperature range for the organosilicon-modified epoxy resin is higher, ranging from 64.88 °C to 70.51 °C. Furthermore, when the same curing agent is used, the organosilicon-modified epoxy resin exhibits a higher Tg, indicating that the incorporation of polydimethylsiloxane molecular chains into the epoxy resin crosslinked system can enhance the heat resistance of the cured epoxy resin [29].

3.3. Viscosity of Modified Epoxy Curing Systems

During the repair and grouting of cracks and decay voids in historic wooden structures, resin viscosity plays a crucial role. Lower viscosity improves fluidity, helping the resin to better penetrate cracks and voids and conform to their complex shapes. Consequently, the resin can effectively fill small cracks in the timber members, ensuring a thorough repair. Additionally, lowering the viscosity of the adhesive enhances its ability to wet the wood surface and improves its bond property [30].
As presented in Table 2, the selection of the curing agent has a significant impact on the initial viscosity of varying resin matrices. By incorporating a low-viscosity curing agent into a high-viscosity resin matrix, the viscosity of the mixed system is substantially decreased, leading to improved flowability. The dilution effect intensifies considerably with a lower viscosity curing agent, resulting in a highly fluid system. Curing agents, including 593, 1,3-BAC, polyether amine, and MXDA, have the ability to reduce the viscosity of the epoxy resin mixed system. This characteristic makes the mixed system more suitable for filling cracks and voids in historic wooden structures. In contrast, polyamide 651 exhibits higher viscosity and acts as a thickening agent when added to the mixed system.

3.4. Curing Rate of Modified Epoxy Resin Mixtures

During the restoration and processing of historic wooden structures, the curing rate of epoxy resin as an adhesive and grouting material impacts construction progress and results. As the epoxy resin is mixed with the curing agent, its viscosity gradually increases during the curing process until it crosslinks and solidifies. Thus, the tack-free time can be used as an indicator of its curing rate [31]. The table displays the tack-free times of various curing systems for resins. The curing rate of bisphenol A epoxy resin with amine curing agents can be ranked in the following order: aliphatic > cycloaliphatic > polyamide > aromatic polyamines. Table 3 shows that the curing rates of different curing agents with two modified epoxy resins, under room temperature conditions, from fastest to slowest are curing agent 593, 1,3-BAC, PA-651, MXDA, and PEA-D230. The curing rate order of polyurethane-modified epoxy resin and silicone-modified epoxy resin with polyamine curing agents remains unchanged at room temperature, and still conforms to the curing rate order of amine curing agents with bisphenol A epoxy resin, according to the results [32].

3.5. Mechanical Properties of Modified Epoxy Resins

The mechanical properties of the cured epoxy resin are important factors that affect the repair and reinforcing effect of the timber members of ancient buildings. To ensure the modified epoxy resin functions as a suitable wood adhesive, it must possess sufficient strength to prevent the adhesive section from becoming a weak point in the event of damage by force [33]. Over time, environmental factors can cause voids and cracks in the timber members of ancient buildings. This can lead to significant issues, such as rotting voids in the bases of wooden columns and large cracks in beams, which negatively impact the timber members’ load-bearing capacity. When using modified epoxy resin as a grouting material to fill defective portions of a wood member, the contribution to the recovery or enhancement of the bearing properties of the wood member increases with higher epoxy resin strength.
Figure 4 shows the stress–strain curves for tension and compression of the different types of modified resin systems. The stress–strain curves indicate that the two types of modified resin systems exhibit different mechanical behaviors in tension and compression. Resins cured with curing agents 1,3-BAC, PA-651, PEA-D230, and MXDA exhibit only linear elastic stages in the stress–strain curves under tension, with failure before the plastic deformation stage is reached. The observed behavior exhibits a brittle fracture mode. In contrast, the stress–strain curves of resins cured with Curing Agent 593 show distinct yield points and nonlinear ductile stages, indicating some ability for plastic deformation. Moreover, these resins display a higher tensile peak stress, attesting to their robust and resilient properties. The compression stress–strain curves of the epoxy resin systems display comparable patterns with elastic and plastic stages, compliant with the conventional mechanical behavior of elastoplastic materials. This demonstrates that altering the curing agent type does not impact the elastoplastic behavior of the two modified epoxy resins under compression, despite variation in the tensile and compressive elastic moduli among different epoxy curing systems.
It can be seen from Figure 5 and Table 4 that the tensile properties of the cured products of the two modified resins and different curing agents have the same rule, that is, the order of tensile strength is 593 > PEA-D230 > PA-651 > 1,3-BAC >MXDA. In terms of elongation at break, the elongation at break of the cured product of unmodified E51 epoxy resin and ethylenediamine is 2%. The elongation at break of the modified epoxy resin is 1.75 times that of the unmodified resin, and the highest is 5.18 times, indicating that the toughness of the modified epoxy resin is better than that of the ordinary epoxy resin. The toughness chain of silicone and polyurethane is embedded in the epoxy curing system and has a certain toughening effect. Among the five curing agents, the cured products with curing agents 593, polyamide, and polyether amine exhibit higher fracture elongation, while those with 1,3-BAC and MXDA exhibit lower fracture elongation, indicating greater brittleness. This may be due to the presence of flexible aliphatic chains or ether linkages in curing agents 593, polyamide, and polyether amine, which increase the flexibility of the crosslinked network in the modified epoxy resin. On the other hand, the molecular chains of 1,3-BAC contain aliphatic rings, while MXDA contains benzene ring structures, which increase the rigidity of the molecular chains, making the cured products more prone to brittle failure [34]. Figure 5b shows a negative correlation between the compressive strength and fracture elongation of the modified resins, indicating that increased toughness of the modified epoxy resins leads to greater deformation capacity but a decrease in compressive strength.
Based on the Technical Standard for Maintenance and Strengthening of historic timber buildings (GB/T50165-2020) [35], the colloidal tensile strength of epoxy resin grouting material should be greater than or equal to 8.0 MPa, and the colloidal compressive strength should be greater than or equal to 70 MPa. The two modified epoxy resins meet the requirements specified in the standard. The maximum tensile strength exceeds the standard requirements by 7.94 times, and the maximum compressive strength exceeds the standard requirements by 1.74 times. The mechanical strength of the silicone-modified epoxy resin in the two modified resins is slightly higher than that of the unmodified silicone-modified epoxy resin.

3.6. Failure Characteristics of Modified Epoxy Resin Cured Products

Figure 6 shows the damage characteristics of the modified epoxy resins. The J1 specimen demonstrates a fracture elongation of 10.35% and displays a complex crack propagation direction with multiple cracks on a relatively intricate and rough interface. This suggests that stress is effectively dispersed on the fracture surface during tensile failure and the cracks undergo plastic deformation as they propagate, demonstrating certain toughness characteristics. Localized deformation, indicated by the necking phenomenon, is observable in the fractured region. On the other hand, the Y5 specimen’s fracture surface is smooth and flat, displaying a mirror-like appearance perpendicular to the tensile direction, which indicates brittle fracture. Calculation of roughness on the fracture surfaces indicates that the J1 specimen, with greater fracture elongation, has a roughness level of 5.20 μm (Ra), which is significantly higher than the Y5 specimen with 0.47 μm. Increasing the toughness of the epoxy resin shifts the tensile failure mode, leading to more complex fracture surfaces and higher roughness.
Figure 6d,f shows the compression failure modes of the J1 and Y5 specimens in comparison with the intact specimens. Following compression yielding, the J1 specimen undergoes mainly significant lateral deformation, indicating a more plastic buckling deformation mode. Conversely, the Y5 specimen undergoes lateral contraction along with the formation of longitudinal cracks, revealing a more brittle failure mode. Therefore, it is evident that the alteration of toughness in the cured modified epoxy resin products has an impact on both compression strength and the resulting deformation mode.

3.7. Hygrothermal Aging Property of Modified Epoxy Resin Systems

Epoxy resins used for the repair and reinforcement of timber members in historic buildings should possess strong moisture and heat resistance to ensure the restored wooden structures can withstand factors such as rainwater exposure and extremely high temperatures. Figure 7 shows the degree of strength degradation of various cured systems after moisture and heat treatment. The mechanical property of the cured systems shows varying degrees of reduction after exposure to moisture and heat. This decrease is the primary factor contributing to the decline in effectiveness of using epoxy resins for repairing and reinforcing ancient buildings.
Epoxy resins contain a significant amount of hydrophilic hydroxyl groups. In high-humidity environments, water molecules diffuse into the network structure of the cured product and combine with the hydrophilic groups in the epoxy resin. This increases the free volume between the cross-linked networks of the cured product and reduces the cross-link density, ultimately leading to a decrease in the mechanical property of the cured product and an increase in its plasticity [36]. Moreover, under high-temperature conditions, the molecular chains of the cured product are more prone to fracture, resulting in a decrease in the cross-link density and a reduction in the mechanical property [37,38].
In Figure 7, both modified epoxy resins exhibit a certain degree of mechanical property decline and an increase in fracture elongation after undergoing moisture and heat treatment. Notably, the epoxy resin modified with silicon generally exhibits a lower decrease in the mechanical property compared with the epoxy resin modified with polyurethane. This can be attributed to the strong thermal stability of the silicone molecular chains in the epoxy resin modified with organic silicon, which improves the thermal stability of the cured system and reduces the impact of high temperatures on the mechanical property of the cured product. Additionally, the hydrophobic properties of silicone molecular chains in the cured product also mitigate the impact of water on the cured system [39].

3.8. Bond Strength of Modified Epoxy Resin with Wood

The strength of bonding between epoxy resin materials and timber components in historical buildings is crucial in evaluating the effectiveness of their restoration and fortification. Insufficient bonding may lead to further damage to the components upon exposure to external forces, compromising the safety of ancient structures. Epoxy resins demonstrate robust adhesion to different materials [40].
In terms of shear strength in the adhesive layer, GB/T 50329-2012 requires a minimum shear strength value of 5.9 MPa for the longitudinal shear strength of adhesive layers in load-bearing glulam structures made of coniferous wood such as Korean pine. Figure 8 shows that, apart from the two groups of epoxy resins cured with PA-651 hardener, all modified epoxy resins with different curing systems exhibit longitudinal shear strength values greater than 5.9 MPa for artificially aged larch wood samples. This meets the standard requirements and suggests that modified epoxy resins retain robust bonding abilities with aged wood, qualifying them for adhesive restoration and fortification of timber components in historical buildings.
Based on the data presented in Figure 8, a notable variance in shear strength exists between the two types of wood. When using the same epoxy resin, the bonding strength is significantly lower with Chinese fir than with larch wood. By comparing the wood-breaking surface of adhesive layer shear specimens from the J1 group modified epoxy resin, which has higher bonding strength, and the Y3 group modified epoxy resin, which has lower bonding strength (Figure 9), it was observed that the wood-breaking surface morphology of the two modified epoxy resins in Chinese fir specimens was similar, and the wood failure rate was higher. In contrast, the wood-breaking surface failure morphology of the larch specimens was quite different, and the wood failure rate was also quite different. In the larch specimens, the difference in the shear strength of the adhesive layer is more obvious.
Upon examining the wood failure rate of two types of wood, it was observed that the shear strength of the glue layer of the Chinese fir was also lower than that of the larch wood when the wood failure rate was similar. The reason for the difference in shear strength between the two species was that the density of Chinese fir was lower than that of larch, and its own shear property was low. The epoxy resin and Chinese fir glue layer have a shear strength that exceeds the shear strength of the Chinese fir itself. Consequently, if given the same bonding ability, the maximum shear strength of the Chinese fir specimen will be lower than that of the larch specimen. For all epoxy resin systems, the bonding property of the PA-651 system is lower. The reason may be that the viscosity of the polyamide curing system is larger, the infiltration degree of larch is lower, and a good bonding interface is not formed, which reduces the shear strength of the adhesive layer. The wood failure rate of the majority of parallel-grain shear specimens in the curing system exceeded 75%. Both modified epoxy resins exhibited exceptional bonding properties with the traditional materials used in ancient building timber members.

4. Conclusions

This study focuses on the use of modified epoxy resin for repairing and reinforcing timber members in ancient buildings. The primary findings are as follows:
(1)
The chemical structure of the two modified epoxy resins did not undergo any significant changes. They showed a higher degree of curing when cured with amine curing agents under room temperature conditions. The fluidity of the mixed epoxy resin increased with 593, 1,3-BAC, PA-D230, and MXDA, making the modified epoxy resin more appropriate as a grouting material for repairing and reinforcing timber members in ancient buildings. The curing rate of the two modified epoxy resins combined with amine curing agents still follows the curing rate law of bisphenol A epoxy resin.
(2)
The addition of polyurethane and silicone chains to the epoxy resin system effectively increased the toughness of the cured epoxy resin. The increase in toughness of the epoxy resin changed the tensile and compressive failure modes, with the tensile fracture surface exhibiting more complex crack patterns and increased roughness, and the compressive failure mode transitioning from brittle to plastic. The silicone-modified epoxy resin exhibits slightly higher mechanical properties than the polyurethane-modified epoxy resin.
(3)
The glass transition temperature of the two modified epoxy resins ranged from 61.31 °C to 70.51 °C. The introduction of silicone molecular chains increased the Tg of the curing system and improved the hygrothermal property of the epoxy resin.
(4)
The shear strength of the two types of epoxy resin for the larch shear samples after artificial aging was more than 5.9 MPa, which meets the standard requirements. The modified epoxy resin has a strong bonding capability to aged wood, making it suitable for bonding repairs and reinforcement of ancient building timber members.

Author Contributions

Conceptualization, H.Z. and X.H.; methodology, H.Z.; software, X.H., L.H. and S.W.; validation, H.Z.; formal analysis, H.Z.; investigation, H.Z. and X.H.; resources, H.Z.; data curation, L.H. and X.H.; writing—original draft preparation, X.H. and L.H.; writing—review and editing, H.Z., S.W. and L.H.; supervision, H.Z. and S.W.; funding acquisition, H.Z. All authors have read and agreed to the published version of the manuscript.

Funding

This work was funded by the Chinese Academy of Cultural Heritage under the project “Key Technologies for the Restoration and Reinforcement of Damaged Wooden Components of Yingxian Wooden Pagoda” (2022002).

Informed Consent Statement

Not applicable.

Data Availability Statement

The data used to support the findings of this study are available from the authors upon request.

Conflicts of Interest

The authors declare no conflict of interest.

References

  1. Chen, C.; Kuang, Y.; Zhu, S.; Burgert, I.; Keplinger, T.; Gong, A.; Li, T.; Berglund, L.; Eichhorn, S.J.; Hu, L. Structure–property–function relationships of natural and engineered wood. Nat. Rev. Mater. 2020, 5, 642–666. [Google Scholar] [CrossRef]
  2. Ramage, M.H.; Burridge, H.; Busse-Wicher, M.; Fereday, G.; Reynolds, T.; Shah, D.U.; Wu, G.; Yu, L.; Fleming, P.; Densley-Tingley, D.; et al. The wood from the trees: The use of timber in construction. Renew. Sustain. Energy Rev. 2017, 68, 333–359. [Google Scholar] [CrossRef]
  3. Chang, L.-H.; Chang, X.-H.; Chang, H.; Qian, W.; Cheng, L.-T. The predictive research of ancient wooden building internal defects compressive bearing capacity based on nondestructive testing methods. Mech. Adv. Mater. Struct. 2021, 28, 252–259. [Google Scholar] [CrossRef]
  4. Han, L.; Wang, K.; Wang, W.; Guo, J.; Zhou, H. Nanomechanical and Topochemical Changes in Elm Wood from Ancient Timber Constructions in Relation to Natural Aging. Materials 2019, 12, 786. [Google Scholar] [CrossRef]
  5. Blanchette, R.A.; Held, B.W.; Jurgens, J.A.; Haight, J.E. Wood deterioration in Chacoan great houses of the southwestern United States. Conserv. Manag. Archaeol. Sites 2004, 6, 203–212. [Google Scholar] [CrossRef]
  6. Walsh-Korb, Z.; Avérous, L. Recent developments in the conservation of materials properties of historical wood. Prog. Mater. Sci. 2019, 102, 167–221. [Google Scholar] [CrossRef]
  7. Meng, H.; Yang, W.; Yang, X. Real-Time Monitoring of Timber-Surface Crack Repair Using Piezoelectric Ceramics. J. Sens. 2021, 2021, 8201780. [Google Scholar] [CrossRef]
  8. Klapwijk, D. Restoration and preservation of decayed timber structures and constructions with epoxies. Stud. Conserv. 1978, 23, 75–76. [Google Scholar] [CrossRef]
  9. Cruz, H.; Custódio, J. Adhesives for On-Site Rehabilitation of Timber Structures. J. Adhes. Sci. Technol. 2010, 24, 1473–1499. [Google Scholar] [CrossRef]
  10. Custódio, J.; Broughton, J.; Cruz, H. Rehabilitation of timber structures: Novel test method to assess the durability of bonded-in rod connections. Mater. Struct. 2012, 45, 199–221. [Google Scholar] [CrossRef]
  11. Li, H.; Qiu, H.; Zhao, Z.; Lu, Y. Axial compression behaviour of retrofitted long timber columns. Adv. Struct. Eng. 2017, 21, 445–459. [Google Scholar] [CrossRef]
  12. Chen, Z.; Liu, X.; Chen, H.; Li, J.; Wang, X.; Zhu, J. Application of epoxy resin in cultural relics protection. Chin. Chem. Lett. 2023, 109194. [Google Scholar] [CrossRef]
  13. Bertolini Cestari, C.; Marzi, T. Conservation of historic timber roof structures of Italian architectural heritage: Diagnosis, assessment, and intervention. Int. J. Archit. Herit. 2018, 12, 632–665. [Google Scholar] [CrossRef]
  14. Zhang, C.-H.; Wei, H.-G.; Liu, Y.-Y.; Tan, H.-F.; Guo, Z. Enhanced toughness and shape memory behaviors of toughed epoxy resin. High Perform. Polym. 2012, 24, 702–709. [Google Scholar] [CrossRef]
  15. Awad, S.A.; Fellows, C.M.; Saeed Mahini, S. A comparative study of accelerated weathering of epoxy resins based on DGEBA and HDGEBA. J. Polym. Res. 2018, 25, 103. [Google Scholar] [CrossRef]
  16. Chen, C.-H.; Sun, Y.-Y. Mechanical properties of blocked polyurethane/epoxy interpenetrating polymer networks. J. Appl. Polym. Sci. 2006, 101, 1826–1832. [Google Scholar] [CrossRef]
  17. Xin, X.; Yu, R.; Su, L.; Qiu, Z.; Yang, C.; Liang, M.; Ji, P.; Zhong, G.; Yao, Z. Dynamic mechanical and chemorheology analysis for the blended epoxy system with polyurethane modified resin. J. Renew. Mater. 2022, 10, 1081. [Google Scholar] [CrossRef]
  18. Unnikrishnan, K.P.; Thachil, E.T. Toughening of epoxy resins. Des. Monomers Polym. 2006, 9, 129–152. [Google Scholar] [CrossRef]
  19. Zhang, K.; Huang, J.; Wang, Y.; Li, W.; Nie, X. Eco-Friendly Epoxy-Terminated Polyurethane-Modified Epoxy Resin with Efficient Enhancement in Toughness. Polymers 2023, 15, 2803. [Google Scholar] [CrossRef]
  20. Jin, F.L.; Li, X.; Park, S.J. Synthesis and application of epoxy resins: A review. J. Ind. Eng. Chem. 2015, 29, 1–11. [Google Scholar] [CrossRef]
  21. Minty, R.F.; Yang, L.; Thomason, J.L. The influence of hardener-to-epoxy ratio on the interfacial strength in glass fibre reinforced epoxy composites. Compos. Part A Appl. Sci. Manuf. 2018, 112, 64–70. [Google Scholar] [CrossRef]
  22. GB/T 13477.5; Test Method for the Surface Drying Time of Building Sealants—Part 5: Determination of the Tack-Free Time. Standardization Administration of China: Beijing, China, 2002.
  23. GB/T 2567; Test Methods for Properties of Resin Casting Body. Standardization Administration of China: Beijing, China, 2021.
  24. GB/T 50329; Standard for Test Methods of Timber Structures. Standardization Administration of China: Beijing, China, 2012.
  25. Li, L.; Chen, D.; Long, Y.; Wang, F.; Kang, Z. Silane modification of semi-curing epoxy surface: High interfacial adhesion for conductive coatings. Prog. Org. Coat. 2023, 174, 107228. [Google Scholar] [CrossRef]
  26. Triwulandari, E.; Fatriasari, W.; Iswanto, A.H.; Septiyanti, M.; Umam, E.F.; Ghozali, M. Effect of reaction time on the molecular weight distribution of polyurethane modified epoxy and its properties. J. Mater. Res. Technol. 2022, 19, 2204–2214. [Google Scholar] [CrossRef]
  27. Wang, Y.; Zeng, Z.; Gao, M.; Huang, Z. Hygrothermal Aging Characteristics of Silicone-Modified Aging-Resistant Epoxy Resin Insulating Material. Polymers 2021, 13, 2145. [Google Scholar] [CrossRef] [PubMed]
  28. Wang, H.; Siow, K.S. Measurement of Tg in epoxy resins by DSC—Effects of residual stress. Polym. Eng. Sci. 1999, 39, 422–429. [Google Scholar] [CrossRef]
  29. Li, R.; Zhou, C.; Chen, Y.; Zou, H.; Liang, M.; Li, Y. Preparation, characterization, and properties of organic silicone intermediate-modified epoxy resin copolymers. High Perform. Polym. 2016, 29, 36–45. [Google Scholar] [CrossRef]
  30. Wang, W.; Zhao, W.; Zhang, J.; Zhou, J. Epoxy-based grouting materials with super-low viscosities and improved toughness. Constr. Build. Mater. 2021, 267, 121104. [Google Scholar] [CrossRef]
  31. Wang, C.; Xiao, X.; Lu, Y.; Shu, C.; Guo, J. Utilization and properties of modified epoxy resin for colorful anti-slip pavements. Constr. Build. Mater. 2019, 227, 116801. [Google Scholar] [CrossRef]
  32. Aziz, T.; Haq, F.; Farid, A.; Cheng, L.; Chuah, L.F.; Bokhari, A.; Mubashir, M.; Tang, D.Y.Y.; Show, P.L. The epoxy resin system: Function and role of curing agents. In Carbon Letters; Springer: Berlin/Heidelberg, Germany, 2023. [Google Scholar] [CrossRef]
  33. Chen, T.; Ma, Q.; Li, Y.; Li, G. Preparation and Characterization of Wood Composites for Wood Restoration. Forests 2023, 14, 1743. [Google Scholar] [CrossRef]
  34. Ignatenko, V.Y.; Ilyin, S.O.; Kostyuk, A.V.; Bondarenko, G.N.; Antonov, S.V. Acceleration of epoxy resin curing by using a combination of aliphatic and aromatic amines. Polym. Bull. 2020, 77, 1519–1540. [Google Scholar] [CrossRef]
  35. GB/T50165; Technical Standard for Maintenance and Strengthening of Historic Timber Buildings. Standardization Administration of China: Beijing, China, 2020.
  36. Kajorncheappunngam, S.; Gupta Rakesh, K.; GangaRao, H.V.S. Effect of Aging Environment on Degradation of Glass-Reinforced Epoxy. J. Compos. Constr. 2002, 6, 61–69. [Google Scholar] [CrossRef]
  37. Ohki, Y.; Hirai, N. Thermal ageing of soft and hard epoxy resins. High Volt. 2023, 8, 12–20. [Google Scholar] [CrossRef]
  38. Le Guen-Geffroy, A.; Le Gac, P.Y.; Habert, B.; Davies, P. Physical ageing of epoxy in a wet environment: Coupling between plasticization and physical ageing. Polym. Degrad. Stab. 2019, 168, 108947. [Google Scholar] [CrossRef]
  39. Wang, Y.; Zeng, Z.; Huang, Z.; Shang, J. Preparation and characteristics of silicone-modified aging-resistant epoxy resin insulation material. J. Mater. Sci. 2022, 57, 3295–3308. [Google Scholar] [CrossRef]
  40. Frihart, C.R.; Brandon, R.; Ibach, R.E.; Hunt, C.G.; Gindl-Altmutter, W. Comparative Adhesive Bonding of Wood Chemically Modified with Either Acetic Anhydride or Butylene Oxide. Forests 2021, 12, 546. [Google Scholar] [CrossRef]
Figure 1. The shape and dimensions of the mechanical test specimen.
Figure 1. The shape and dimensions of the mechanical test specimen.
Forests 15 00933 g001
Figure 2. FTIR spectra of two modified epoxy resins. (a) Polyurethane-modified epoxy resin; (b) silicone-modified epoxy resin.
Figure 2. FTIR spectra of two modified epoxy resins. (a) Polyurethane-modified epoxy resin; (b) silicone-modified epoxy resin.
Forests 15 00933 g002
Figure 3. DSC curves of two modified epoxy resins. (a) Polyurethane-modified epoxy resin; (b) silicone-modified epoxy resin.
Figure 3. DSC curves of two modified epoxy resins. (a) Polyurethane-modified epoxy resin; (b) silicone-modified epoxy resin.
Forests 15 00933 g003
Figure 4. Stress–strain curves of two modified epoxy resins. (a) Tensile stress–strain curves; (b) compression stress–strain curves.
Figure 4. Stress–strain curves of two modified epoxy resins. (a) Tensile stress–strain curves; (b) compression stress–strain curves.
Forests 15 00933 g004
Figure 5. Mechanical properties of two modified epoxy resins. (a) Strength and elongation at break of epoxy resins; (b) relationship between compressive strength and elongation at break of epoxy resins.
Figure 5. Mechanical properties of two modified epoxy resins. (a) Strength and elongation at break of epoxy resins; (b) relationship between compressive strength and elongation at break of epoxy resins.
Forests 15 00933 g005
Figure 6. Damage characteristics of modified epoxy resins. (a) Micrographs of tensile fracture of Y5; (b) micrographs of tensile fracture of J1; (c) SEM of Y5; (d) compression failure characteristics of Y5; (e) SEM of J1; (f) compression failure characteristics of J1; (g) 3D morphology of tensile fracture of J1; (h) roughness measurement area of tensile fracture surface of J1; (i) 3D morphology of tensile fracture of Y5; (j) roughness measurement area of tensile fracture surface of Y5; (k) roughness of J1; and (l) roughness of Y5.
Figure 6. Damage characteristics of modified epoxy resins. (a) Micrographs of tensile fracture of Y5; (b) micrographs of tensile fracture of J1; (c) SEM of Y5; (d) compression failure characteristics of Y5; (e) SEM of J1; (f) compression failure characteristics of J1; (g) 3D morphology of tensile fracture of J1; (h) roughness measurement area of tensile fracture surface of J1; (i) 3D morphology of tensile fracture of Y5; (j) roughness measurement area of tensile fracture surface of Y5; (k) roughness of J1; and (l) roughness of Y5.
Forests 15 00933 g006
Figure 7. The changes in mechanical properties of two modified epoxy resins after hygrothermal treatment.
Figure 7. The changes in mechanical properties of two modified epoxy resins after hygrothermal treatment.
Forests 15 00933 g007
Figure 8. Bonding strength of modified epoxy resin and wood. (a) Chinese fir; (b) larch.
Figure 8. Bonding strength of modified epoxy resin and wood. (a) Chinese fir; (b) larch.
Forests 15 00933 g008
Figure 9. Failure surfaces of the shear specimens.
Figure 9. Failure surfaces of the shear specimens.
Forests 15 00933 g009
Table 1. The ratio of modified epoxy resin to curing agent.
Table 1. The ratio of modified epoxy resin to curing agent.
Epoxy TypeType of Modified Epoxy ResinCuring AgentMass Ratio of Epoxy ResinMass Ratio of Curing AgentMass Ratio of Defoamer
J1Polyurethane-modified epoxy resin59379.84%19.96%0.2%
J2Polyurethane-modified epoxy resin1,3-BAC83.87%15.93%0.2%
J3Polyurethane-modified epoxy resinPA-65166.98%32.82%0.2%
J4Polyurethane-modified epoxy resinPEA-D23075.61%24.19%0.2%
J5Polyurethane-modified epoxy resinMXDA84.58%15.22%0.2%
Y1Silicone-modified epoxy resin59379.84%19.96%0.2%
Y2Silicone-modified epoxy resin1,3-BAC83.87%15.93%0.2%
Y3Silicone-modified epoxy resinPA-65166.98%32.82%0.2%
Y4Silicone-modified epoxy resinPEA-D23075.61%24.19%0.2%
Y5Silicone-modified epoxy resinMXDA84.58%15.22%0.2%
Table 2. The viscosity of modified epoxy resin before and after mixing.
Table 2. The viscosity of modified epoxy resin before and after mixing.
Type of EpoxyViscosity (mPa·s)Curing AgentViscosity (mPa·s)Mixed Liquid Viscosity (mPa·s)
Polyurethane-modified epoxy resin65405931001450
1,3-BAC25870
PA-65180306970
PEA-D23015670
MXDA20710
Silicone-modified epoxy resin60105931001230
1,3-BAC25780
PA-65180306550
PEA-D23015610
MXDA20640
Table 3. Tack-free time of modified epoxy resins.
Table 3. Tack-free time of modified epoxy resins.
Type of Epoxy ResinJ1J2J3J4J5Y1Y2Y3Y4Y5
Tack-free time (min)306590720140254055585110
Table 4. Mechanical properties of modified epoxy resins. Note: “**” represents a significance level of 0.05.
Table 4. Mechanical properties of modified epoxy resins. Note: “**” represents a significance level of 0.05.
Type of Epoxy ResinJ1J2J3J4J5Y1Y2Y3Y4Y5
Tensile strength (MPa)57.4450.0851.1756.3935.2663.5458.6459.9162.0337.09
Elongation at break (%)10.355.047.306.893.489.406.489.266.843.54
Compressive strength (MPa)86.49108.2986.5394.60114.9396.92112.8691.12104.21122.20
Conspicuousness significance********************
Disclaimer/Publisher’s Note: The statements, opinions and data contained in all publications are solely those of the individual author(s) and contributor(s) and not of MDPI and/or the editor(s). MDPI and/or the editor(s) disclaim responsibility for any injury to people or property resulting from any ideas, methods, instructions or products referred to in the content.

Share and Cite

MDPI and ACS Style

Han, X.; Wang, S.; Huang, L.; Zhou, H. Applicability Evaluation of Modified Epoxy Resin in the Repair and Reinforcement of Ancient Building Timber Members. Forests 2024, 15, 933. https://doi.org/10.3390/f15060933

AMA Style

Han X, Wang S, Huang L, Zhou H. Applicability Evaluation of Modified Epoxy Resin in the Repair and Reinforcement of Ancient Building Timber Members. Forests. 2024; 15(6):933. https://doi.org/10.3390/f15060933

Chicago/Turabian Style

Han, Xu, Shuangyong Wang, Lei Huang, and Haibin Zhou. 2024. "Applicability Evaluation of Modified Epoxy Resin in the Repair and Reinforcement of Ancient Building Timber Members" Forests 15, no. 6: 933. https://doi.org/10.3390/f15060933

APA Style

Han, X., Wang, S., Huang, L., & Zhou, H. (2024). Applicability Evaluation of Modified Epoxy Resin in the Repair and Reinforcement of Ancient Building Timber Members. Forests, 15(6), 933. https://doi.org/10.3390/f15060933

Note that from the first issue of 2016, this journal uses article numbers instead of page numbers. See further details here.

Article Metrics

Back to TopTop