Multi-Damage Healing Ability of Modified Bitumen with Waste Plastics Based on Rheological Property
Abstract
1. Introduction
2. Materials and Methods
2.1. Raw Materials
2.2. Rheological Test and Healing Test
2.3. Healing Index
3. Specimen Prepared
4. Results and Discussion
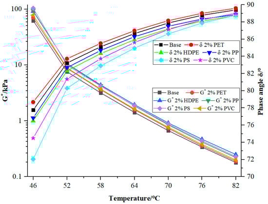
4.1. High-Temperature Rheological Property of Modified Bitumen with Waste Plastics
4.2. The Influence of Different Types of Waste Plastics on the Healing Ability of Bitumen
4.3. The Influence of Different Dosages of Waste Plastics on the Healing Ability of Bitumen
4.4. The Influence of Multiple Damages on the Healing Ability of Waste Plastic-Modified Bitumen
5. Conclusions
- PS and PVC-modified bitumen have a better recovery performance than that of the other three types of modified bitumen, and the latter also has the best fatigue resistance property.
- Among the five modifiers, PVC has the most significant improvement effect on the healing performance of bitumen, followed by PP. This is because the dispersion of PVC in bitumen forms a microscopic network structure, which helps to disperse stress and reduce the formation and development of cracks. The weakening of the healing performance of bitumen by HDPE is the most severe.
- Adding an appropriate amount of waste plastic can enhance the self-healing index of bitumen, but the proportion added must be precisely controlled. In order to maximize the improvement effect of PET, HDPE, PP, PS, and PVC on the healing index of bitumen, the recommended optimal dosages of PET, PP, HDPE, PS, and PVC are 2%, 2%, 2%, 6%, and 4%, respectively.
- Based on the multiple damage healing experiment, the result shows that the PS plastic modifier has the best promoting effect on the damage healing ability of bitumen after undergoing multiple damages, while PET has the worst improvement effect.
Author Contributions
Funding
Data Availability Statement
Conflicts of Interest
References
- Hopewell, J.; Dvorak, R.; Kosior, E. Plastics recycling: Challenges and opportunities. Philos. Trans. R. Soc. B Biol. Sci. 2009, 364, 2115–2126. [Google Scholar] [CrossRef] [PubMed]
- Gao, G.; Zhu, Y.; Zhang, Y.; Zhang, Y. Preparation of storage stable LDPE /SBs Blend-modified bitumen. J. Highw. Transp. Res. Dev. 2002, 19, 28–31. (In Chinese) [Google Scholar]
- Sinopec. A study on the carbon emission reduction potential of green packaging in China’s express delivery industry from 2021 to 2030. In Energy Conservation and Environmental Protection Industry; Sinopec: Beijing, China, 2022. [Google Scholar]
- Hariadi, D.; Saleh, S.M.; Yamin, R.A.; Aprilia, S. Utilization of LDPE plastic waste on the quality of pyrolysis oil as an bitumen solvent alternative. Therm. Sci. Eng. Prog. 2021, 23, 100872. [Google Scholar] [CrossRef]
- Appiah, J.K.; Berko-Boateng, V.N.; Tagbor, T.A. Use of waste plastic materials for road construction in Ghana. Case Stud. Constr. Mater. 2017, 6, 1–7. [Google Scholar] [CrossRef]
- Hinislioglu, S.; Agar, E. Use of waste high density polyethylene as bitumen modifier in bitumen concrete mix. Mater. Lett. 2004, 58, 267–271. [Google Scholar] [CrossRef]
- Vila-Cortavitarte, M.; Lastra-Gonzalez, P.; Calzada-Perez, M.A.; Indacoechea-Vega, I. Analysis of the influence of using recycled polystyrene as a substitute for bitumen in the behaviour of bitumen concrete mixtures. J. Clean. Prod. 2018, 170, 1279–1287. [Google Scholar] [CrossRef]
- Mashaan, N.S.; Chegenizadeh, A.; Nikraz, H.; Rezagholilou, A. Investigating the engineering properties of bitumen binder modified with waste plastic polymer. Ain Shams Eng. J. 2021, 12, 1569–1574. [Google Scholar] [CrossRef]
- Razali, M.N.; Aziz, M.A.A.; Jamin, N.F.M.; Salehan, N. Modification of bitumen using polyacrylic wig waste. AIP Conf. Proc. 2018, 1930, 020051. [Google Scholar]
- Abdel-Goad, M.A.H. Waste polyvinyl chloride-modified bitumen. Appl. Polym. Sci. 2006, 101, 1501–1505. [Google Scholar] [CrossRef]
- Behl, A.; Sharma, G.; Kumar, G. A sustainable approach: Utilization of waste PVC in bitumening of roads. Constr. Build. Mater. 2014, 54, 113–117. [Google Scholar] [CrossRef]
- Costa, L.M.; Silva, H.M.R.D.; Oliveira, R.; Ferandes, S.R.M. Incorporation of waste plastic in bitumen binders to improve their performance in the pavement. Int. J. Pavement Res. Technol. 2013, 6, 457–464. [Google Scholar]
- Joohari, B.; Giustozzi, F. Chemical and high-temperature rheological properties of recycled plastics-polymer modified hybrid bitumen. J. Clean. Prod. 2020, 276, 123064. [Google Scholar] [CrossRef]
- Punith, V.S.; Veeraragavan, A.; Amirkhanian, N. Evaluation of Reclaimed Polyethylene Modified bitumen Concrete Mixtures. Int. J. Pavement Res. Technol. 2011, 4, 1–10. [Google Scholar]
- Costa, L.M.B.; Silva, H.M.R.D.; Peralta Oliveira, R.M. Using waste polymers as a reliable alternative for bitumen binder modification-Performance and morphological assessment. Constr. Build. Mater. 2019, 198, 237–244. [Google Scholar] [CrossRef]
- Majka, T.M.; Ostrowski, K.A.; Piechaczek, M. Research on the Development of a Way to Modify bitumen Mixtures with PET Recyclates. Materials 2023, 16, 6258. [Google Scholar] [CrossRef]
- Yang, X.; Liu, K.; Yang, D. Some Problems of PE Modified bitumen. China Foreign Highw. 2008, 28, 203–207. (In Chinese) [Google Scholar]
- Mahdi, T.W.; Senadheera, S.; Ghebrab, T. Effect of PET Size, Content and Mixing Process on the Rheological Characteristics of Flexible Pavement. Materials 2022, 15, 35–65. [Google Scholar] [CrossRef] [PubMed]
- Zhou, C.; Hou, D.H.; Li, S. Rheology and compatibility analysis of SBR/PP composite modified bitumen. Plastics 2022, 51, 48–53. [Google Scholar]
- Otuoze, H.S.; Ejeh, S.; Amartey, Y.D.; Joel, M. Rheology and Simple Performance Test (SPT) Evaluation of High-Density Polypropylene (HDPP) Waste-Modified Bituminous Mix. Jordan J. Civ. Eng. 2018, 12, 35–44. [Google Scholar]
- Zhou, G.; Li, C.; Wang, H.; Zeng, W.; Ling, T.; Jiang, L.; Li, R.; Liu, Q.; Cheng, Y.; Zhou, D. Preparation of Wax-Based Warm Mixture Additives from Waste Polypropylene (PP) Plastic and Their Effects on the Properties of Modified bitumen. Materials 2022, 15, 4346. [Google Scholar] [CrossRef]
- Al-Hadidy, A.I.; Yi-Qiu, T. Mechanistic approach for polypropylene-modified flexible pavements. Mater. Des. 2009, 30, 1133–1140. [Google Scholar] [CrossRef]
- Ahmedzade, P.; Demirelli, K.; Ginay, T.; Biryan, F.; Alqudah, O. Effects of Waste Polypropylene Additive on the Properties of Bituminous Binder. Procedia Manuf. 2015, 2, 165–170. [Google Scholar] [CrossRef]
- LI, J. Study on influence of polymer modifiers on high temperature rheological properties of bitumen. China Build. Mater. Sci. Technol. 2024, 33, 87–90. [Google Scholar]
- Wu, S.; Montalvo, L. Repurposing waste plastics into cleaner bitumen pavement materials: A critical literature review. J. Clean. Prod. 2021, 280, 124355. [Google Scholar] [CrossRef]
- Fang, C.; Jiao, L.; Hu, J.; Yu, Q.; Guo, D.; Zhou, X.; Yu, R. Viscoelasticity of bitumen Modified With Packaging Waste Expended Polystyrene. J. Mater. Sci. Technol. 2014, 30, 939–943. [Google Scholar] [CrossRef]
- Zhang, Y.Q.; He, D.P.; Wang, H.G. Effect of PVC-waste edible oil compound regeneration agent on performance recovery of aging bitumen. Plastics 2022, 51, 13–17. [Google Scholar]
- Gajewski, M.D.; Horodecka, R.; Bańkowski, W.; Mirski, K.; Grzegórska, A.; Kłopociński, M. Effects of Impurities and Ageing on the Functional and Rheological Properties of bitumens with Additives from Recovered and Pyrolysis-Processed Plastics. Materials 2024, 17, 3451. [Google Scholar] [CrossRef] [PubMed]
- Cheng, Y.; Fu, Q.; Fang, C.; Zhang, Q.; Lu, C. Preparation, Structure, and Properties of Modified bitumen with Waste Packaging Polypropylene and Organic Rectorite. Adv. Mater. Sci. Eng. 2019, 2019, 5362795. [Google Scholar] [CrossRef]
- Ziari, H.; Nasiri, E.; Amini, A.; Ferdosian, O. The effect of EAF dust and waste PVC on moisture sensitivity, rutting resistance and fatigue performance of bitumen binders and mixtures. Constr. Build. Mater. 2019, 203, 188–200. [Google Scholar] [CrossRef]
- Zhu, Q.; Liu, C.; Wang, Y.; Su, Y.; Li, M. Effect of Modifiers on Self-Healing and Rheological Properties of Asphalt Binder. Materials 2024, 17, 3304. [Google Scholar] [CrossRef]
- Yadykova, A.Y.; Gorbacheva, S.N.; Ilyin, S.O. The deasphalting of heavy crude oil by silicone oil is a green method of removing heavy compounds and producing bitumen. Geoenergy Sci. Eng. 2023, 227, 211940. [Google Scholar] [CrossRef]
- Ma, J.; Xue, Y.; Guo, Q.; Liu, Z. Research Progress on Modified bitumen with Waste Plastic Modifiers. China Plast. 2022, 36, 132–138. (In Chinese) [Google Scholar]
- Lai, Z.; Liu, K.; Yang, X.; Yang, D. Research on the Properties of Modified bitumen from Waste Plastics. J. Hainan Univ. 2010, 28, 358–362. [Google Scholar]
- Zhou, J.; Cheng, J.; Wang, F.; Xiang, L.; Hu, Y. Research on the Correlation between the Properties of Oil Slurry Modified Bitumen and SBS Modified Bitumen. Pet. Refin. Chem. Eng. 2019, 50, 36–40. [Google Scholar]
- Le, J.; Zhang, S.; Le, M.; Li, R. Study on the Self-Healing Behavior of Asphalt Mortar under Different Damage Degrees and Healing Temperatures. J. Zhengzhou Univ. 2020, 4, 12–16. (In Chinese) [Google Scholar]
- Sun, D.; Zhang, L.; Liang, G. Review on Self-Healing Behavior of Asphalt Concrete(1)Mechanism and Characterization Methods of Self-Healing Behavior. Pet. Asph. 2011, 25, 1–5. (In Chinese) [Google Scholar]
- Feng, X.; Xie, M. Analysis of the influence of using recycled polystyrene as substitute for bitumen in the behavior of bitumen concrete mixtures. J. China Foreign Highw. 2020, 40, 234–239. (In Chinese) [Google Scholar]
Technical Indicator | Soften Point/°C | Penetration/25 °C/0.1 mm | Ductility/15 °C |
---|---|---|---|
70 # | 71.9 | 5.24 | >100 |
Additives | PET | HDPE | PP | PS | PVC |
---|---|---|---|---|---|
Apparent density (g/cm3) | 1.375 | 0.95 | 0.958 | 1.047 | 1.335 |
Disclaimer/Publisher’s Note: The statements, opinions and data contained in all publications are solely those of the individual author(s) and contributor(s) and not of MDPI and/or the editor(s). MDPI and/or the editor(s) disclaim responsibility for any injury to people or property resulting from any ideas, methods, instructions or products referred to in the content. |
© 2025 by the authors. Licensee MDPI, Basel, Switzerland. This article is an open access article distributed under the terms and conditions of the Creative Commons Attribution (CC BY) license (https://creativecommons.org/licenses/by/4.0/).
Share and Cite
Li, M.; Fang, Y.; Liu, L.; Zhu, Q. Multi-Damage Healing Ability of Modified Bitumen with Waste Plastics Based on Rheological Property. Materials 2025, 18, 3827. https://doi.org/10.3390/ma18163827
Li M, Fang Y, Liu L, Zhu Q. Multi-Damage Healing Ability of Modified Bitumen with Waste Plastics Based on Rheological Property. Materials. 2025; 18(16):3827. https://doi.org/10.3390/ma18163827
Chicago/Turabian StyleLi, Mingxia, Yiming Fang, Lingjun Liu, and Qipeng Zhu. 2025. "Multi-Damage Healing Ability of Modified Bitumen with Waste Plastics Based on Rheological Property" Materials 18, no. 16: 3827. https://doi.org/10.3390/ma18163827
APA StyleLi, M., Fang, Y., Liu, L., & Zhu, Q. (2025). Multi-Damage Healing Ability of Modified Bitumen with Waste Plastics Based on Rheological Property. Materials, 18(16), 3827. https://doi.org/10.3390/ma18163827