Next Article in Journal
Negative Magnetoresistance in Hopping Regime of Lightly Doped Thermoelectric SnSe
Next Article in Special Issue
Measuring Thermal Diffusivity of Azoheteroarene Thin Layers by Photothermal Beam Deflection and Photothermal Lens Methods
Previous Article in Journal
Investigation of the Formation, Characterization, and Oxidative Catalytic Valorization of Humins
Previous Article in Special Issue
Influence of P3HT:PCBM Ratio on Thermal and Transport Properties of Bulk Heterojunction Solar Cells
 
 
Font Type:
Arial Georgia Verdana
Font Size:
Aa Aa Aa
Line Spacing:
Column Width:
Background:
Article

Photoacoustic Characterization of TiO2 Thin-Films Deposited on Silicon Substrate Using Neural Networks

by
Katarina Lj Djordjević
1,
Dragana K. Markushev
2,
Marica N. Popović
2,
Mioljub V. Nesić
1,
Slobodanka P. Galović
1,*,
Dragan V. Lukić
2 and
Dragan D. Markushev
2,*
1
“Vinča” Institute of Nuclear Sciences, National Institute of the Republic of Serbia, University of Belgrade, P.O. Box 522, 11000 Belgrade, Serbia
2
Institute of Physics Belgrade, National Institute of the Republic of Serbia, Pregrevica 118, University of Belgrade, Zemun, 11080 Belgrade, Serbia
*
Authors to whom correspondence should be addressed.
Materials 2023, 16(7), 2865; https://doi.org/10.3390/ma16072865
Submission received: 22 February 2023 / Revised: 24 March 2023 / Accepted: 31 March 2023 / Published: 4 April 2023

Abstract

In this paper, the possibility of determining the thermal, elastic and geometric characteristics of a thin TiO2 film deposited on a silicon substrate, with a thickness of 30 μm, in the frequency range of 20 to 20 kHz with neural networks were analysed. For this purpose, the geometric (thickness), thermal (thermal diffusivity, coefficient of linear expansion) and electronic parameters of substrates were known and constant in the two-layer model, while the following nano-layer thin-film parameters were changed: thickness, expansion and thermal diffusivity. Predictions of these three parameters of the thin-film were analysed separately with three neural networks. All of them together were joined by a fourth neural network. It was shown that the neural network, which analysed all three parameters at the same time, achieved the highest accuracy, so the use of networks that provide predictions for only one parameter is less reliable. The obtained results showed that the application of neural networks in determining the thermoelastic properties of a thin film on a supporting substrate enables the estimation of its characteristics with great accuracy.

1. Introduction

The photoacoustic effect is the effect of the appearance of sound in the gaseous environment of a sample that is illuminated. This effect was discovered by A. G. Bell in 1880 [1], and explained by A. Rosencwaig almost 100 years later, in 1975 [2,3,4]. If the sample is exposed to the effect of electromagnetic radiation, part of the excitation energy is absorbed and part of the absorbed energy is transformed into heat through a non-radiative de-excitation relaxation process. This process is also called the photothermal effect. The heated sample generates a disturbance of the thermodynamic equilibrium with the environment and, as a result, there is a fluctuation of pressure, density and temperature in both the sample itself and in its gaseous surrounding. These fluctuations affect the appearance of several phenomena that can be detected in different ways [4]. Numerous non-destructive methods, known as photothermal methods, based on the recording of these phenomena, have been developed in the last half-century and are increasingly used for the characterization of various materials, electronic devices, sensors, biological tissues, etc. Pressure fluctuations are, in fact, a sound signal, the so-called photoacoustic effect, which can be detected using piezoelectric or ultrasonic sensors as well as a microphone [5,6,7,8,9,10,11]. The gas microphone photoacoustic was the first developed and today is one of the most widespread experimental techniques. The implementation of this measuring technique with a cell of minimal volume, proposed in the early 1980s, ensures that acoustic losses are attenuated as much as possible in detection.
In the last decade, TiO2 has had a wide range of applications in coatings, medicines, plastics, food, inks, cosmetics, and textiles. In the form of thin-film, TiO2 has been used for a great variety of applications, including photocatalytic degradation of organic pollutants in water as well as in air, dye-sensitized solar cells, anti-fogging, super hydrophilic, micro- and nano-mechanical sensors, etc. [12,13,14,15]. To be able to measure the physical properties of such thin films, it is usually necessary to deposit such a film on a thicker wafer.
The analysis of thin-films on substrates has always been a challenge for photoacoustic because film thicknesses ranges from a few tens to several hundred nanometres. Depending on the thickness of the substrate (usually more than tens of microns), such film thicknesses are usually at the limit of experimental detection [16,17,18,19]. This means, for example, that the differences in the amplitude of the photoacoustic signals (PAS), generated by a two-layer sample (substrate + thin-film) in the case where only the thickness of the film is changed, are extremely small [20,21,22,23,24,25,26,27,28]. The analysis of such two-layer samples is also theoretically demanding.
For photoacoustic measurements to be used in the characterization of materials, it is necessary to develop a theoretical model that well describes all the processes involved in the formation of the measured signal: the process of absorption and its conversion into heat, which depends on the optical properties of the sample, the processes of heat conduction and sound propagation, which depend on the thermal and elastic properties of the sample and the thermodynamic pressure change in the gaseous environment of the sample, that is, the sound signal formed by the heated sample and recorded by a microphone. The inverse solution of the photoacoustic problem is essentially a multi-parameter fitting of the sample properties based on the developed model, which should lead to the best matching of the theoretical model with the experimentally measured signal. Since it is a multi-parameter problem, which is also a non-linear and ill-posed problem of mathematical physics due to the limited measurement range, the inverse photoacoustic problem is still the subject of intensive research, especially in the case of multi-layered structures or semiconductors where an increased number of parameters influence the recorded increase in signals (in semiconductors, photogenerated carriers affect the recorded signal. In multi-layered structures, the same processes occur in all layers, but they are controlled by properties of each layer). This makes solving the inverse photoacoustic problem extremely difficult.
Recently, machine learning has been introduced to solve the inverse photoacoustic problem. The achieved results are encouraging because they show that the application of neural networks allows a very high accuracy of the multi-parameter fitting.
The earlier developed procedure based on neural networks [10,11,29,30,31] for processing of experimentally recorded photoacoustic signals of silicon samples by the open photoacoustic cell [32,33,34,35] shows effective recognition and removal of instrumental influence [33,34,35,36,37,38,39,40], and, consequently, provides a detailed and precise characterization of the sample [41,42,43,44,45,46]. On the other hand, a very thin TiO2 layer (nano-layer) is easily deposited in a silicon substrate. Therefore, we selected a well-photoacoustically characterized silicon sample as the substrate, open photoacoustic cell photoacoustic set-up for measurement, and neural networks for solving the inverse PA photoacoustic problem and determining the thin-film’s properties.
In order to avoid additional normalizations and the calculation of effective values, we resorted to the use of the two-layer model for determining thin-film parameters where the properties of the silicon substrate are known [21,47,48,49,50,51,52,53,54,55,56,57,58,59,60,61,62]. Neural networks were formed for the analysis of photoacoustic signals generated from the Si substrate and the TiO2 thin-film system.
Based on previous experiences in PAS processing, we expected that they would recognize differences in signals caused by only changing film parameters (thickness, thermal diffusivity, coefficient of thermal expansion). We also expected that neural networks can determine the specified parameters of TiO2 thin-film with satisfactory accuracy and reliability. To do this, we created a relatively small database of photoacoustic signals for training and four types of networks; three of them serve as the individual predictions of only one parameter of the film, and the fourth, which serves as the prediction of all three parameters simultaneously.
In Section 2, a brief description of the theoretical model for the PAS measured on a two-layer structure is given. In Section 3, the network architecture used in the work is explained. Section 4 explains in detail how the base upon which the networks were trained and tested was formed. In Section 5, the results are given and discussed. In the end, the most important conclusions were drawn. The obtained results show that the application of neural networks in determining the thermoelastic properties of a thin-film on a supporting substrate enables the estimation of thin-film characteristics with great accuracy.

2. Experimental Procedure

The open-cell experimental photoacoustic set-up in a transmission configuration is illustrated in Figure 1. Excitation is performed by a low-power 10 mW laser/LED (XL7090-RED, RF Communication Electronic Technology Co., Ltd., Xiamen, China) diode regulated by a frequency generator in the range of 20 Hz to 20 kHz and which illuminates the sample with a red light of a wavelength of 660 nm with a distance that ensures homogeneous (uniform) surface illumination. Illumination control is performed by a sensitive photodiode (BPW34 Vishay Telefunken).
After absorption and excitation of the sample structural units, thermal energy is released through a non-radiative relaxation process, causing changes in the temperature profile of the sample. Periodic excitation generates a periodic change in the temperature distribution of the sample, which leads to periodic change in the pressure in the microphone hole that serves as a photoacoustic cell [32]. The sample is placed directly on the photoacoustic cell. The pressure changes are very small, ~10−6 bar, but the MC60 microphone, due to its sensitivity, detects their amplitudes and phase deviations from excitation optical signals recorded by the photodiode at each modulation frequency. The photoacoustic response is finally given in an amplitude-phase characteristic in a wide range of frequencies, from 10 Hz to 20 kHz.
The open photoacoustic cell [32], is formed so that the inside of the microphone represents a cell. Thus, the measurement takes place with a minimum volume, which enables the recording of weak sound signals. In the measuring set-up from Figure 1, the computer sound card (Intel 82,801 Ib/ir/ihhd) is used for making the lock-in amplifier. The sampling of the modulation frequencies is programmed in a regular logarithmic equidistant step. The photoacoustic response recorded in this way is suitable for the analysis of silicon samples up to 1 mm thick, with layers of thin-films with a thickness of up to several 100 nm, or the analysis of thin layers of multilayer structures.
One of the problems of photoacoustics is that the entire measurement frequency range is most often not used due to the influence of the accompanying measurement instrumentation in the low and high-frequency ranges. The influence of the used instruments is reflected in the fact that the amplitude of the photoacoustic signal of the sample is distorted in the low and high frequency parts, and the phase shifts its position, as is shown in Figure 2. With the developed methodology of removing the instrumental influence [35,36,37,38,39,40], from the microphone to the accompanying electronics, it was shown that it is possible from the recorded photoacoustic response S(f) to obtain the photoacoustic signal δptotal(f), with a wide frequency range of 20 to 20 kHz, which can be used for further precise characterization [36,37,38,39,40]. The instrumental influence in the photoacoustic experiment can be described by the transfer function H(f), which distorts the photoacoustic signal of the sample δptotal(f), in the following way:
S f = δ p total f H f
H f = H total e f H total a f
The form of the function H f = H total e f H total a f used for filtering in the low-frequency part represents the transfer functions, which characterize the influences of the microphone and accompanying electronics:
H total e f = ω τ c 1 1 + i ω τ c 1 ω τ c 2 1 + i ω τ c 2 ,
where time constants are τc1 = (2πfc1)−1 and τc2 = (2πfc2)−1, the attenuation factor is δj (j = c3,c4), the peak frequency is denoted by ωc3 and cut- by ωc4 (ω = 2πf) (blue arrows, Figure 2). The function of form H total a f is used for filtering in the high-frequency part. It is a combination of second-order transfer functions:
H total a f = ω c 3 2 ω c 3 2 + δ c 3 i ω ω 2 + ω c 4 2 ω c 4 2 + δ c 4 i ω ω 2 ,
The correction procedure of the experimentally recorded photoacoustic response of multilayer samples produces a signal that can be further analyzed using a theoretical model and all frequency ranges of the measurement.

3. Theoretical Background

Using uniform illumination of the two-layer sample (Figure 3) with a modulated light source, the electromagnetic radiation is absorbed and produces a periodic change in the thermal state of both the thin-film and the substrate. The layer of TiO2 is considered dielectric because there is no effect of photogenerated charge carriers due to the larger energy gap of TiO2 in comparison to the photon energy of the exciting beam, while the photogenerated charge carriers affect the temperature profile of the silicon substrate T2(z,f). Temperature changes of the non-illuminated side of the sample T2(l,f) and the temperature gradient between the illuminated and non-illuminated sides of the sample causes the change in the thermodynamic state in the air behind the sample. Such fluctuations create three different components of sound that result from thermal transfer from the elastic bending of the sample (composite piston theory) that the microphone detects as a total photoacoustic signal δptotal(f), defined as [10,11,21,30,63,64,65,66]:
δ p total f = δ p TD f + δ p TE f + δ p PE f ,
where f is the modulation frequency, and δpTD(f), δpTE(f) and δpPE(f) are the thermodiffusion (TD), thermoelastic (TE) and plasmaelastic (PE) photoacoustic signal components, respectively. The thermodiffusion component arises as a result of periodic heating of the non-illuminated surface of the sample, which periodically heats the air layer, causing it to periodically expand and contract. The periodic expansion and contraction of the air layer create a disturbance that is detected by the microphone. The thermoelastic component arises due to the temperature gradient between the illuminated and non-illuminated sides of the sample, which leads to the bending of the sample. Due to the modulation of the illumination, the bending is periodic, which pushes the pressure in the air that is detected by the microphone. The plasmaelastic component is caused by the photogeneration of carriers due to illumination, which leads to the additional bending of the sample, caused by a concentration gradient of charge carrier that pushes the pressure in the air which is then detected by the microphone. These components can be written as [10,11,21,30,63,64,65,66]:
δ p TD ( f ) = p 0 γ g σ g l c T 2 ( l 2 , f ) T 0 ,
δ p c f = γ g p 0 V 0 0 R s 2 π r U z , c r , z d r   c = TE ,   PE
where γg is the adiabatic constant, p0 and T0 represent the standard pressure and temperature of the air in the microphone, σ g = 1 + i / μ g , μ g is the thermal diffusion length of the air, lc is the photoacoustic cell length, T2(l2,f) is the dynamic temperature variation at the substrate rear (non-illuminated) surface [10,11,21,30,63,64,65,66] (see Appendix A), V0 is the open photoacoustic cell volume and Uz,c(r,z) is the sample displacement along the z-axes (see Appendix B).
The total photoacoustic sound signals δptotal(f), (Equation (5)) are usually represented using its amplitudes A(f) and phases φ(f). Therefore, δptotal(f), can be written as a complex number in the form:
δ p total f = A f e i φ f ,
where i is the imaginary unit. The theoretically calculated photoacoustic signal δptotal(f) is comparable to the experimentally recorded amplitude and phase from which the instrumental influence has been removed (Equations (1)–(4)). Thus, by analytically developing the model and numerical simulations, a standard method can be used for making the base of signals required for neural networks. The application of neural networks in photoacoustics for characterization requires an adjusted value of amplitude in order to be comparable with the values of phase. A formula used for this purpose has a form:
A s c a l e f = 20 log 10 A f .
The theoretically determined photoacoustic signal δptotal(f), is compared with the experimentally recorded amplitude and phase, and is used for material characterization.

4. Networks Structure

The structure of the networks used to characterize the thin-films on the substrate is shown in Figure 4. All networks used in this paper have the same structure: 2 × 72 input neurons (72 amplitudes and 72 phases) and 15 neurons in the hidden layer. The three networks, labeled NN1, NN2 and NN3, have one neuron each in the output layer that serves to predict the l1, αΤ1 and DT1 thin-film parameters, respectively. The network designated as NN4 has three neurons in the output layer that simultaneously predict all three mentioned parameters. The bases formed for the training of the first three networks were made individually (Base 1, Base 2 and Base 3), while the training base NN4 (Base 4) was made by merging all three individual bases [67,68,69,70].
The training process involved neural network training on theoretical signal Bases 1–4, amplitude-phase characteristics and the connection with the parameters of the thin-film, performed by an algorithm that uses statistical models of machine learning that enable prediction, as shown in Figure 4. In the prediction process, thin-film parameters are determined from the test signal or the experimentally recorded photoacoustic signal.

5. Formation of the Networks Training Bases

The accuracy of the neural network largely depends on the selection of the basis for training, testing and validation. The bases have been obtained numerically using Equations (5)–(9). It is assumed that all these signals are generated by the Si substrate and TiO2 thin-film two-layer system presented in Figure 3. All bases consist of 41 photoacoustics and one basic. The rest of them were obtained by changing 10% of the TiO2 thin-film parameters. The basic parameters as a system property that affects the photoacoustic signal include: geometric (thickness), thermal (thermal diffusivity, coefficient of linear expansion) and electronic, which depend on the level of doping and the purity of Si and the properties of the TiO2 thin-film, which are shown in Table 1, with standard temperature and pressure. Base 1 was formed for NN1 training, changing the thickness of TiO2 film in the range of l1 = (475–525) nm with a step of 5 nm. Base 2 was formed for NN2 training, obtained by changing the coefficient of thermal expansion of TiO2 film in the range of α1 = (1.045–1.55) × 10−5 K−1 with a step of 5 × 10−8 K−1. Base 3 was formed for NN3 training, changing the thermal diffusivity of TiO2 film in the range of D1 = (3.515–3.885) × 10−6 m2s−1 with a step of 18.5 × 10−8 m2s−1. Base 4 was formed for NN4 training, obtained by collecting 3 × 41 signals from all three previously mentioned bases. Since all bases are very similar, we will show only one of them, Base 4, bearing in mind that, by one photoacoustic signal, we mean two curves presented in the networks: one for amplitude and another for phase (Equation (9) and Figure 5).
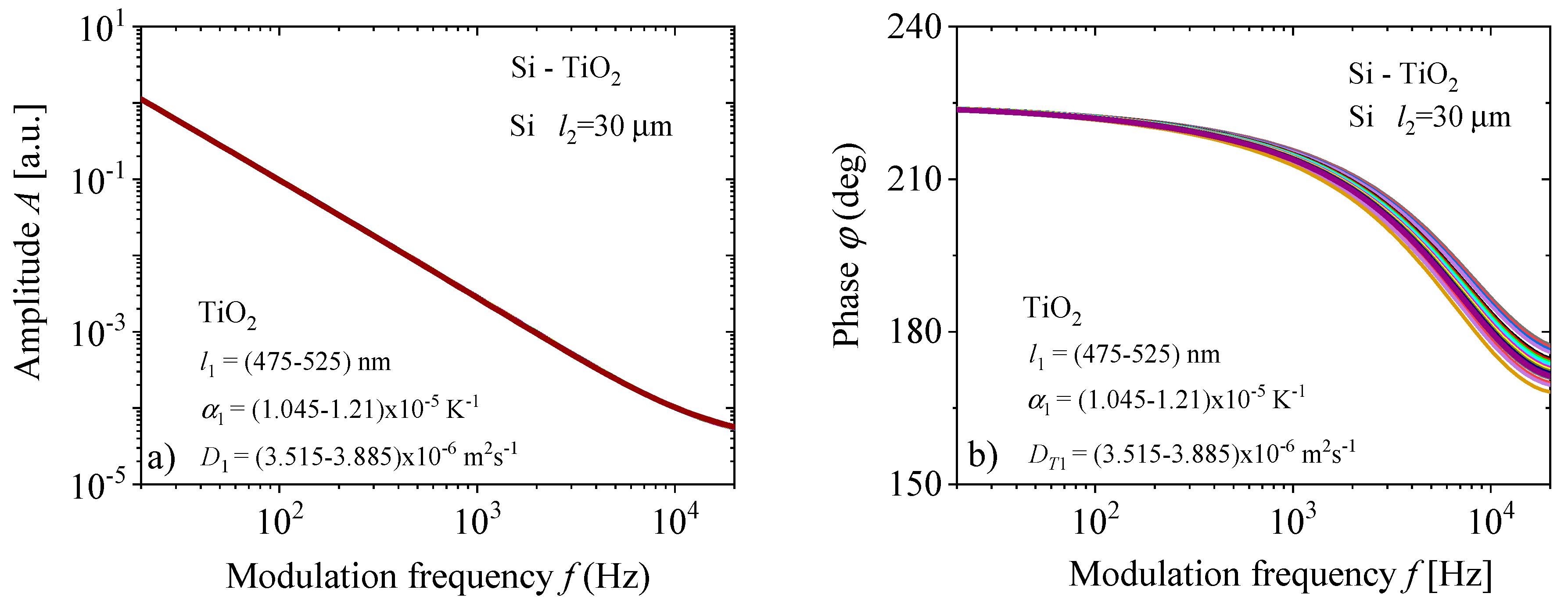
By displaying the photoacoustics of a silicon substrate thickness of l2 = 30 μm, with different applied layers l1 of TiO2 thin-film, it is observed that there is no clear visual difference in the frequency dependence of the amplitudes, A, and that the factor of precise characterization by neural networks can be a visible difference in signal phases, φ, especially in the range from 103 Hz to 20 kHz, shown in Figure 5. The difference that exists in the phases is sufficient to train neural networks NN1-4 on the amplitude-phase characteristics and to correctly determine the parameters of a thin layer that is two orders of magnitude thinner than the substrate.

6. Results and Discussion

The training results of the NN1-4 neural networks are given in Figure 6a–d, showing the Mean Square Error (MSE) of training, test and validation, depending on the number of epochs, and obtaining the best training performance. From each base for NN1-3 training, four signals were extracted for later testing. In the case of NN4 training, 3 × 4 = 12 signals were also extracted from Base 4 for later testing. Network training interruption is activated by the deviation criterion of Mean Square Error training in relation to validation and testing. The performance achieved by network NN1 is 4.1292 × 10−4 in 5 epochs, network NN2 achieved 9.5639 × 10−6 in 5 epochs, network NN3 achieved 3.6325 × 10−5 in 3 epochs and network NN4 achieved 9.8558 × 10−6 in 7 epochs. It can be seen by comparing these values that the best performance was obtained by the NN4 and NN2 networks for determining all three parameters and expansion, respectively. The NN1 network obtained the weakest performance for determining the thin-film thickness parameter.

6.1. Networks Testing with In-Step, Out-Step of Photoacoustic Signal

As we said in the previous paragraph, four signals that did not participate in the training were separated from each training base of the NN1-3 networks. A similar thing was carried out with the training base for the NN4 network, from which 12 signals were separated and did not participate in the training. All four networks were tested with these “in-step” signals and the results of such tests are shown in Table 2 and Table 3. Relative error predictions (%) presented in these tables show that the most accurate networks are NN2 for the prediction of αT1 and NN4 for the prediction of DT1.
Our next step is to check the quality of the prediction of neural networks with “out-step” signals—signals outside the training step but within the framework of parameter changes. For this purpose, 12 signals were randomly generated. Four for each changed parameter l, αT and DT individually. The prediction results for all four networks are given in Table 4 (NN1-3) and Table 5 (NN4). It is interesting to note that the NN1 network gives the worst prediction of sample thickness, while the NN4 network gives relatively satisfactory predictions for all three parameters.

6.2. Networks Testing with Experimental Signals

The final part of our analysis is to test the ability to predict our networks on experimental signals. For this purpose, we measured, by the standard method of an open photoacoustic cell, the frequency response of a circular plate of a two-layer sample (silicon + TiO2). Amplitudes and phases of the measured response (red stars) are shown in Figure 1. By removing the influence of the measuring chain (measuring instruments, especially detectors), corrected amplitudes and phases (black line) are obtained which can be analyzed by Equations (1)–(4) by the standard fitting method. The results of such analysis of the corrected signal give values of silicon (l1 = 30 μm), which corresponds to standard silicon substrate (thin plate) thicknesses, titanium-dioxide (l2 = 500 nm), which corresponds to standard thin-film thicknesses, and radius R = 3 mm, while other parameters correspond to the parameters from Table 1, with an error of 5%. The corrected signals from Figure 2 are further presented in our networks and the results of their prediction are given in Table 6 and Table 7. The relative error in these tables is the result of comparing network predictions and standard fitting of the existing theoretical model.
Based on the results of the prediction by neural networks NN1–3, (Table 6), the most accurate network is NN2 in the prediction of the thermal expansion coefficient α T 1 NN 2 of a thin-film TiO2, with a relative (%) error <1%, while the precision in the prediction of the thermal diffusivity D T 1 NN 3 and thickness l 1 NN 1 is with relative (%) errors <5%.
In the simultaneous prediction of the parameters of thickness l 1 NN 4 , thermal expansion coefficient α T 1 NN 4 and thermal diffusivity D T 1 NN 4 (Table 7), the NN4 network gives satisfactory results comparable to the prediction results of NN1–3.
Despite the expectations based on the consideration of the theoretical model, which is reflected in the small visual difference of the amplitude characteristics and stratification of signal phases in the high-frequency part (1–20) kHz, neural networks based on the coupled amplitudes and phases in the frequency domain (20–20 k) Hz can determine the parameters of the thin-layer TiO2. The results of neural networks show that more precise and accurate results are obtained in networks in which multiple parameters are determined at the same time (Table 3 and Table 5) than in networks in the prediction of individual parameters (Table 2 and Table 4). This conclusion is also valid for the prediction of the thin-film parameter from the experimental results, where the reduction of the relative % error in the prediction of the network NN4 in relation to NN1–3 is observed, which can represent one of the methods of optimizing the work of networks in prediction the parameter of thin-films. It should be noted that the derived model is made for the expected ranges that each of the three parameters of the thin layer can have. If some of the parameters are outside this range, e.g., thickness of the thin-film, it could lead to incorrect determination of all three parameters of the thin-film using the proposed model.
This consideration is particularly valid due to the analysis of a thin layer of TiO2 placed on a well-characterized substrate, in this case, silicon. The method of characterization of TiO2 developed in this way can be applied and analyzed on other well-characterized optically transparent and non-transparent substrates. By applying TiO2 to optically transparent substrates, and by characterizing it, we obtain a suitable material for protecting the detectors of the measuring system.

7. Conclusions

The results presented in this paper indicate one very important fact—if in the measurement range, there is an influence of the thin-film on the total photoacoustic signal, neural networks easily can recognize these changes, even if they are negligibly small. Theoretical analyses of two-layer samples Si (substrate) and TiO2 (thin-film) showed relatively easy recognition of changes in the film of a thickness of ±5 nm, with the coefficient of thermal expansion of ±5 × 10–8 K–1 and coefficient of thermal diffusion of ±18.5 × 10–8 m2s–1.
In addition, it has been shown that neural networks for predicting thin-film parameters can be well-trained with a relatively small database, either to predict one or three parameters simultaneously. Furthermore, all networks give approximately the same accuracy of prediction in both theoretically generated signals and experimental data. Therefore, it can be recommended that, for the analysis of thin-films on different substrates, it is enough to form one network that simultaneously predicts several of its parameters instead of a separate network for determining each parameter.

Author Contributions

Conceptualization, K.L.D. and D.K.M.; methodology, S.P.G. and D.D.M.; software, K.L.D.; validation, S.P.G., M.N.P. and D.D.M.; formal analysis, D.K.M. and M.N.P.; investigation, K.L.D.; resources, M.V.N. and D.V.L.; data curation, K.L.D.; writing—original draft preparation, D.D.M.; writing—review and editing, K.L.D. and S.P.G.; visualization, K.L.D. and M.V.N.; supervision, S.P.G.; project administration, D.D.M.; funding acquisition, M.V.N. and D.V.L.; All authors have read and agreed to the published version of the manuscript.

Funding

This research was funded by the Ministry of Science, Technological Development and Innovation of the Republic of Serbia, contract number 451-03-47/2023-01/200017.

Data Availability Statement

The data that support the findings of this study are available from the corresponding author upon reasonable request.

Acknowledgments

The authors are grateful to Dragan Todorovic for the knowledge and support provided in their progress. We are thankful for the financial support of this research by the Ministry of Science, Technological Development and Innovation of the Republic of Serbia, contract number 451-03-47/2023-01/200017.

Conflicts of Interest

The authors declare no conflict of interest.

Appendix A. Temperature Distributions in Two-Layer Sample

Periodic temperature distributions in the thin-film (label 1 forTiO2) and substrate (label 2 for Si) illuminated by the modulated light source (Figure 1 and Figure 3) can be obtained by solving the thermal-diffusion equations in the form [21,31,59,62]:
2 T 1 z , f z 2 i ω D T 1 T 1 z , f = 1 k 1 β 1 1 R 1 I 0 e β 1 z
and
2 T 2 z , f z 2 σ 2 2 T 2 z , f = ε g k 2 τ 2 n p 2 z , f β 2 I k 2 ε ε g ε e β 2 z
where ω = 2πf, f is the modulation frequency, I0 is the incident light intensity, I = 1 R 1 1 R 2 e β 1 l 1 I 0 , R1 is the film reflection coefficient, R2 is the substrate reflection coefficient, σ 1 = i ω / D T 1 is the film complex thermal diffusivity, DT1 is the film thermal diffusion coefficient, σ 2 = i ω / D T 2 is the substrate complex thermal diffusivity, DT2 is the substrate thermal diffusion coefficient, k1 is the thin-film heat conduction coefficient, k2 is the substrate heat conduction coefficient, β1 is the film absorption coefficient, β2 is the substrate absorption coefficient, and δnp2(z,f) is the substrate photo-generated minority carrier dynamic density component (Equation (A2)).
The general solutions of Equations (A1) and (A2) can be written in the form [21,31,59,62]:
T 1 z , f = A 1 e σ 1 z + A 2 e σ 1 z + A 3 e β 1 z ,
and
T 2 z , f = B 1 e σ 2 z + B 2 e σ 2 z + B 3 δ n p z , f + B 4 e β 1 z ,
where the constants A3, B3 and B4 are given as:
A 3 = β 1 I 0 ( 1 R 1 ) k 1 β 1 2 σ 1 2 ,   B 3 = ε g k 2 τ p 2 σ 2 2 1 L 2 2 ,   B 4 = β 2 1 R 1 1 R 2 e β 1 l 1 I 0 ε β 2 2 σ 2 2 B 3 D p 2 ε ε g k 2 .
Here L 2 = D p 2 τ p 2 1 + i ω τ p 2 is the complex minority carrier diffusion length, Dp2 is the diffusion coefficient of minority carriers (holes p in the n-type substrate), and τp2 is the bulk minority carrier lifetime. Constants A1, A2, B1 and B2 can be found solving the boundary conditions [21,31,59,62]:
( a ) k 1 T 1 z , f z z = l 1 = 0 ,   ( b )   T 1 0 , f = T 2 0 , f ,
( c ) k 2 T 2 z , f z z = 0 = s F n p 2 0 , f ε g k 1 T 1 z , f z z = 0 ,
( d ) k 2 T 2 z , f z z = l 2 = s R n p 2 l 2 , f ε g ,
where sF and sR are the substrate surface recombination speeds at the front (z = 0) and rear (z = l2) surfaces, respectively.
Based on our previous investigations, the analysis of the two-layer optical properties shows that the multiple optical reflections can be neglected in the Si substrate [31], but must be taken into account in the case of thin TiO2 film. This is the reason why the film reflection coefficient R1 is calculated here using [21,62]:
R 1 = r F + 1 r F 2 r R e 2 β 1 l 1 1 r F r R e 2 β 1 l 1 ,
where rF and rR are the front and rear thin-film reflectivity coefficients, respectively.

Appendix B. Two-Layer Sample Displacement along the Heat-Flow Axes

The Uz,c(r,z) of the two-layer sample at the back surface, z = l2, important in transmission photoacoustic measurements, can be written in a general form as:
U z , c r , z = C c 2 R s 2 r 2 ,   c = T E , P E ,
where Rs is the sample radius and
C TE = 6 A 1 + A 2 + E 1 E 2 α T 1 l 2 2 M T 1 l 2 N T 1 + α T 2 l 1 2 M T 2 + l 1 N T 2 E 1 2 l 1 4 + E 2 2 l 2 4 + 2 E 2 E 1 l 2 l 1 2 l 2 2 + 3 l 2 l 1 + 2 l 1 2 ,
C PE = 6 d n E 2 E 1 l 1 2 M n + l 1 N n + E 2 l 2 2 M n l 2 N n E 2 2 l 2 4 + E 1 2 l 1 4 + 2 E 2 E 1 l 2 l 1 2 l 2 2 + 3 l 2 l 1 + 2 l 1 2 .
Here A 1 = E 1 2 l 1 2 M T 1 + l 1 N T 1 α T 1 , A 2 = E 2 2 l 2 2 M T 2 l 2 N T 2 α T 2 ,   E 1 and E 2 are Young’s modulus of the film and substrate, respectively, d n is the coefficient of electronic deformation and M T 1 , M T 2 , M n , N T 1 , N T 2 and N n are defined as:
M T 1 = l 1 0 z T 1 z , f d z , M T 2 = 0 l 2 z T 2 z , f d z , M n = 0 l 2 z δ n p 2 z , f d z ,
N T 1 = l 1 0 T 1 z , f d z . N T 2 = 0 l 2 T 2 z , f d z , N n = 0 l 2 δ n p 2 z , f d z ,
where T 1 ( z , f ) is the temperature in the thin-film and T 2 ( z , f ) is the temperature in the substrate and δ n p 2 z , f is the photo-generated minority carrier density. The M T 1 , and M T 2 are the first moments of the temperature change, and the M n is the first moment of the photo-generated minority carriers change along the z-axis. The N T 1 and N T 2 are the average temperature changes and N n is the average photo-generated minority carriers change along the z-axes [21,31,59,62].

References

  1. Bell, A.G. On the production and reproduction of sound by light. Am. J. Sci. 1880, 20, 20305–20324. [Google Scholar] [CrossRef]
  2. Rosencwaig, A. Photoacoustic spectroscopy of solids. Opt. Commun. 1973, 7, 305–308. [Google Scholar] [CrossRef]
  3. Rosencwaig, A.; Gersho, A. Photoacoustic effect with solids: A theoretical treatment. Science 1975, 19, 556–557. [Google Scholar] [CrossRef]
  4. Vargas, H.; Miranda, L.C.M. Photoacoustic and related photothermal techniques. Phys. Rep. 1988, 161, 43–101. [Google Scholar] [CrossRef]
  5. McDonald, F.; Wetsel, G. Generalized theory of the photoacoustic effect. J. Appl. Phys. 1978, 49, 2313. [Google Scholar] [CrossRef]
  6. McDonald, F.A.; Wetsel, G.C. Theory of Photothermal and Photoacoustic Effects in Condensed Matter. In Physical Acoustics; Academic Press: Cambridge, MA, USA, 1988. [Google Scholar] [CrossRef]
  7. Fournier, D.; Boccara, A.C.; Skumanich, A.; Amer, N.M. Photothermal investigation of transport in semiconductors: Theory and experiment. J. Appl. Phys. 1986, 59, 787. [Google Scholar] [CrossRef]
  8. Sablikov, V.A.; Sandomirskii, V.B. The photoacoustic effect in semiconductors. Phys. Status Solidi (B) 1983, 120, 471. [Google Scholar] [CrossRef]
  9. Pinto Neto, A.; Vargas, H.; Leite, N.F.; Miranda, L.C.M. Photoacoustic investigation of semiconductors: Influence of carrier diffusion and recombination in PbTe and Si. Phys. Rev. B 1989, 40, 3924–3930. [Google Scholar] [CrossRef]
  10. Todorović, D.M.; Nikolić, P.M.; Dramićanin, M.D.; Vasiljević, D.G.; Ristovski, Z.D. Photoacoustic frequency heat-transmission technique: Thermal and carrier transport parameters measurements in silicon. J. Appl. Phys. 1995, 78, 5750–5755. [Google Scholar] [CrossRef]
  11. Todorović, D.M.; Nikolić, P.M. Semiconductors and Electronic Materials Progress in Photothermal and Photoacoustic, Science and Technology Chapter 9; Optical Engineering Press: New York, NY, USA, 2000; Volume PM74, pp. 273–318. ISBN 9780819435064. [Google Scholar]
  12. Delgado, L.P.; Figueroa-Torres, M.Z.; Ceballos-Chuc, M.C.; García-Rodríguez, R.; Alvarado-Gil, J.J.; Oskam, G.; Rodriguez-Gattorno, G. Tailoring the TiO2 phases through microwave-assisted hydrothermal synthesis: Comparative assessment of bactericidal activity. Mater. Sci. Eng. C 2020, 117, 111290. [Google Scholar] [CrossRef]
  13. Trejo-Tzab, R.; Alvarado-Gil, J.J.; Quintana, P.; Bartolo-Pérez, P. N-doped TiO2 P25/Cu powder obtained using nitrogen (N2) gas plasma. Catal. Today 2012, 193, 179–185. [Google Scholar] [CrossRef]
  14. Ceballos-Chuc, M.C.; Ramos-Castillo, C.M.; Alvarado-Gil, J.J.; Oskam, G.; Rodríguez-Gattorno, G. Influence of Brookite Impurities on the Raman Spectrum of TiO2 Anatase Nanocrystals. J. Phys. Chem. C 2018, 122, 19921–19930. [Google Scholar] [CrossRef]
  15. Patil, M.K.; Shaikh, S.; Ganesh, I. Recent Advances on TiO2 Thin Film Based Photocatalytic Applications (A Review). Curr. Nanosci. 2015, 11, 271–285. [Google Scholar] [CrossRef]
  16. Mandelis, A.; Batista, J.; Pawlak, M.; Gibkes, J.; Pelzl, J. Space charge layer dynamics at oxide-semiconductor interfaces under optical modulation: Theory and experimental studies by non-contact photocarrier radiometry. J. Phys. IV 2005, 125, 565–567. [Google Scholar] [CrossRef]
  17. Somer, A.; Camilotti, F.; Costa, G.F.; Bonardi, C.; Novatski, A.; Andrade, A.V.C.; Kozlowski, V.A., Jr.; Cruz, G.K. The thermoelastic bending and thermal diffusion processes influence on photoacoustic signal generation using open photoacoustic cell technique. J. Appl. Phys. 2013, 114, 063503. [Google Scholar] [CrossRef]
  18. Dubyk, K.; Chepela, L.; Lishchuk, P.; Belarouci, A.; Lacroix, D.; Isaiev, M. Features of photothermal transformation in porous silicon based multilayered structures. Appl. Phys. Lett. 2019, 115, 021902. [Google Scholar] [CrossRef]
  19. Maliński, M.; Pawlak, M.; Chrobak, L.; Pal, S.; Ludwig, A. Monitoring of amorfization of the oxygen implanted layers in silicon wafers using photothermal radiometry and modulated free carrier absorption methods. Appl. Phys. A 2014, 118, 1009–1014. [Google Scholar] [CrossRef]
  20. Larson, K.B.; Koyama, K. Measurement by the Flash Method of Thermal Diffusivity, Heart Capacity, and Thermal Conductivity in Two-Layer Composite Samples. J. Appl. Phys. 1968, 39, 4408–4416. [Google Scholar] [CrossRef]
  21. Todorović, D.M.; Rabasović, M.D.; Markushev, D.D. Photoacoustic elastic bending in thin film—Substrate system. J. Appl. Phys. 2013, 114, 213510. [Google Scholar] [CrossRef]
  22. Aguirre, N.M.; Pérez, L.M.; Garibay-Febles, V.; Lozada-Cassou, M. Influence of the solid–gas interface on the effective thermal parameters of a two-layer structure in photoacoustic experiments. J. Phys. D Appl. Phys. 2003, 37, 128–131. [Google Scholar] [CrossRef]
  23. Salazar, A.; Sánchez-Lavega, A.; Terrón, J.M. Effective thermal diffusivity of layered materials measured by modulated photothermal techniques. J. Appl. Phys. 1998, 84, 3031–3041. [Google Scholar] [CrossRef]
  24. Somer, A.; Novatski, A.; Cruz, C.B.K.; Serbena, F.C.; Cruz, G.K.D. The Influence of the Surface Micro-structure Change on the Stainless Steel Effective Thermal Diffusivity. Int. J. Thermophys. 2022, 43, 151. [Google Scholar] [CrossRef]
  25. Medina, J.; Gurevich, Y.G.; Logvinov, G.N.; Rodríguez, P.; de la Cruz, G.G. Photoacoustic investigation of the effective diffusivity of two-layer semiconductors. Mol. Phys. 2002, 100, 3133–3138. [Google Scholar] [CrossRef]
  26. Sánchez-Lavega, A.; Salazar, A.; Ocariz, A.; Pottier, L.; Gomez, E.; Villar, L.M.; Macho, E. Thermal diffusivity measurements in porous ceramics by photothermal methods. Appl. Phys. A Mater. Sci. Process. 1997, 65, 15–22. [Google Scholar] [CrossRef]
  27. Somer, A.; Camilotti, F.; Costa, G.F.; Jurelo, A.R.; Assmann, A.; de Souza, G.B.; Cintho, O.M.; Bonardi, C.; Novatski, A.; Cruz, G.K. Effects of thermal oxidation on the effective thermal diffusivity of titanium alloys. J. Phys. D Appl. Phys. 2014, 47, 385306. [Google Scholar] [CrossRef]
  28. Mandelis, A.; Batista, J.; Gibkes, J.; Pawlak, M.; Pelzl, J. Noncontacting laser photocarrier radiometric depth profilometry of harmonically modulated band bending in the space-charge layer at doped SiO2-Si interfaces. J. Appl. Phys. 2005, 97, 083507. [Google Scholar] [CrossRef]
  29. Gunha, J.V.; Gonçalves, A.; Somer, A.; de Andrade, A.V.K.; Dias, D.T.; Novatski, A. Thermal, structural and optical properties of TeO2–Na2O–TiO2 glassy system. J. Mater. Sci. Mater. Electron. 2019, 30, 16695–16701. [Google Scholar] [CrossRef]
  30. Markushev, D.K.; Markushev, D.D.; Galović, S.; Aleksić, S.; Pantić, D.; Todorović, D.M. The surface recombination velocity and bulk lifetime influences on photogenerated excess carrier density and temperature distributions in n-type silicon excited by a frequency-modulated light source. Facta Univ. Ser. Electron. Energetics 2018, 31, 313–328. [Google Scholar] [CrossRef]
  31. Jovančić, N.; Markushev, D.K.; Markushev, D.D.; Aleksić, S.M.; Pantić, D.S.; Korte, D.; Franko, M. Thermal and Elastic Characterization of Nanostructured Fe2O3 Polymorphs and TiO2-Coated Fe2O3 Using Open Photoacoustic Cell. Int. J. Thermophys. 2020, 41, 90. [Google Scholar] [CrossRef]
  32. Rabasović, M.D.; Nikolić, M.G.; Dramićanin, M.D.; Franko, M.; Markushev, D.D. Low-cost, portable photoacoustic setup for solid state. Meas Sci. Technol. 2009, 20, 095902. [Google Scholar] [CrossRef]
  33. Perondi, L.F.; Miranda, L.C.M. Minimal-volume photoacoustic cell measurement of thermal diffusivity: Effect of the thermoelastic sample bending. J. Appl. Phys. 1997, 62, 2955–2959. [Google Scholar] [CrossRef]
  34. Korte, D.; Pavlica, E.; Bratina, G.; Franko, M. Characterization of Pure and Modified TiO2 Layer on Glass and Aluminum Support by Beam Deflection Spectrometry. Int. J. Thermophys. 2014, 35, 1990–2000. [Google Scholar] [CrossRef]
  35. Markushev, D.D.; Rabasović, M.D.; Todorović, D.M.; Galović, S.; Bialkowski, S.E. Photoacoustic signal and noise analysis for Si thin plate: Signal correction in frequency domain. Rev. Sci. Instrum. 2015, 86, 035110. [Google Scholar] [CrossRef] [PubMed]
  36. Popović, M.N.; Nešić, M.V.; Cirić-Kostić, S.; Zivanov, M.; Markushev, D.D.; Rabasovic, M.D.; Galovic, S.P. Helmholtz resonances in photoacoustic experiment with laser-sintered polyamide including thermal memory of samples. Int. J. Thermophys. 2016, 37, 116. [Google Scholar] [CrossRef]
  37. Aleksić, S.M.; Markushev, D.K.; Pantić, D.S.; Rabasović, M.D.; Markushev, D.D.; Todorović, D.M. Electro-acoustic influence of the measuring system on the photoacoustic signal amplitude and phase in frequency domain. Facta Univ. Ser. Phys. Chem. Technol. 2016, 14, 9–20. [Google Scholar] [CrossRef]
  38. Jordović-Pavlović, M.I.; Stanković, M.M.; Popović, M.N.; Ćojbašić, Ž.M.; Galović, S.P.; Markushev, D.D. The application of artificial neural networks in solid-state photoacoustics for the recognition of microphone response effects in the frequency domain. J. Comput. Electron. 2020, 19, 1268–1280. [Google Scholar] [CrossRef]
  39. Jordovic-Pavlovic, M.I.; Kupusinac, A.D.; Djordjevic, K.L.; Galovic, S.P.; Markushev, D.D.; Nesic, M.V.; Popovic, M.N. Computationally intelligent description of a photoacoustic detector. Opt. Quantum Electron. 2020, 52, 246. [Google Scholar] [CrossRef]
  40. Jordovic Pavlovic, M.I.; Markushev, D.D.; Kupusinac, A.D.; Djordjevic, K.L.; Nesic, M.V.; Galovic, S.P.; Popovic, M.N. Deep Neural Network Application in the Phase-Match Calibration of Gas–Microphone Photoacoustics. Int. J. Thermophys. 2020, 41, 73. [Google Scholar] [CrossRef]
  41. Popovic, M.N.; Furundzic, D.; Galovic, S.P. Photothermal depth profiling of optical gradient materials by neural network. Publ. Astron. Obs. Belgrade 2010, 89, 2015. [Google Scholar]
  42. Nesic, M.; Popovic, M.; Djordjevic, K.; Miletic, V.; Jordovic-Pavlovic, M.; Markushev, D.; Galovic, S. Development and comparison of the techniques for solving the inverse problem in photoacoustic characterization of semiconductors. Opt. Quantum Electron. 2021, 53, 381. [Google Scholar] [CrossRef]
  43. Lukić, M.; Ćojbašić, Z.; Markushev, D.D. Trace gases analysis in pulsed photoacoustics based on swarm intelligence optimization. Opt. Quantum Electron. 2022, 54, 674. [Google Scholar] [CrossRef]
  44. Lukić, M.; Ćojbašić, Z.; Rabasović, M.D.; Markushev, D.D.; Todorović, D.M. Genetic Algorithms Application for the Photoacoustic Signal Temporal Shape Analysis and Energy Density Spatial Distribution Calculation. Int. J. Thermophys. 2013, 34, 1466–1472. [Google Scholar] [CrossRef]
  45. Nesic, M.V.; Popovic, M.N.; Galovic, S.P.; Djordjevic, K.L.; Jordovic-Pavlovic, M.I.; Miletic, V.V.; Markushev, D.D. Estimation of linear expansion coefficient and thermal diffusivity by photoacoustic numerical self-consistent procedure. J. Appl. Phys. 2022, 131, 105104. [Google Scholar] [CrossRef]
  46. Nesic, M.; Popovic, M.; Galovic, S. Developing the Techniques for Solving the Inverse Problem in Photoacoustics. Atoms 2019, 7, 24. [Google Scholar] [CrossRef]
  47. Lopez, T.; Picquart, M.; Aguirre, G.; Arriola, G.; Freile, Y.; Aguilar, D.H.; Quintana, P.; Alvarado-Gil, J.J.; Vargas-Luna, F.M. Thermal Characterization of Agar Encapsulated in TiO2 Sol-Gel. Int. J. Thermophys. 2004, 25, 1483–1493. [Google Scholar] [CrossRef]
  48. Mansanares, A.M.; Vargas, H.; Galembeck, F.; Buijs, J.; Bicanic, D. Photoacoustic characterization of a two-layer system. J. Appl. Phys. 1991, 70, 7046–7050. [Google Scholar] [CrossRef]
  49. Lima, C.A.S.; Miranda, L.C.M.; Vargas, H. Photoacoustics of Two-Layer Systems: Thermal Properties of Liquids and Thermal Wave Interference. Instrum. Sci. Technol. 2006, 34, 191–209. [Google Scholar] [CrossRef]
  50. Gurevich, Y.G.; Logvinov, G.N.; de la Cruz, G.G.; López, G.E. Physics of thermal waves in homogeneous and inhomogeneous (two-layer) samples. Int. J. Therm. Sci. 2003, 42, 63–69. [Google Scholar] [CrossRef]
  51. Nogueira, E.; Pereira, J.R.; Baesso, M.; Bento, A. Study of layered and defective amorphous solids by means of thermal wave method. J. Non-Cryst. Solids 2003, 318, 314–321. [Google Scholar] [CrossRef]
  52. Popovic, M.N.; Nesic, M.V.; Zivanov, M.; Markushev, D.D.; Galovic, S.P. Photoacoustic response of a transmission photoacoustic configuration for two-layer samples with thermal memory. Opt. Quantum Electron. 2018, 50, 330. [Google Scholar] [CrossRef]
  53. Pichardo, J.L.; Alvarado-Gil, J.J. Open photoacoustic cell determination of the thermal interface resistance in two layer systems. J. Appl. Phys. 2001, 89, 4070–4075. [Google Scholar] [CrossRef]
  54. Pichardo-Molina, J.L.; Alvarado-Gil, J.J. Heat diffusion and thermolastic vibration influence on the signal of an open photoacoustic cell for two layer systems. J. Appl. Phys. 2004, 95, 6450–6456. [Google Scholar] [CrossRef]
  55. Alvarado-Gil, J.; Zelaya-Angel, O.; Sánchez-Sinencio, F.; Vargas, H.; Lucio, J. Photoacoustic thermal characterization of a semiconductor (CdTe)-glass two layer system. Vacuum 1995, 46, 883–886. [Google Scholar] [CrossRef]
  56. Somer, A.; Popovic, M.N.; da Cruz, G.K.; Novatski, A.; Lenzi, E.K.; Galovic, S.P. Anomalous thermal diffusion in two-layer system: The temperature profile and photoacoustic signal for rear light incidence. Int. J. Therm. Sci. 2022, 179, 107661. [Google Scholar] [CrossRef]
  57. Alekseev, S.; Andrusenko, D.; Burbelo, R.; Isaiev, M.; Kuzmich, A. Photoacoustic thermal conductivity determination of layered structures PS-Si: Piezoelectric detection. J. Phys. Conf. Ser. 2011, 278, 012003. [Google Scholar] [CrossRef]
  58. Popovic, M.N.; Markushev, D.D.; Nesic, M.V.; Jordovic-Pavlovic, M.I.; Galovic, S.P. Optically induced temperature variations in a two-layer volume absorber including thermal memory effects. J. Appl. Phys. 2021, 129, 015104. [Google Scholar] [CrossRef]
  59. Aleksić, S.M.; Markushev, D.K.; Markushev, D.D.; Pantić, D.S.; Lukić, D.V.; Popović, M.N.; Galović, S.P. Photoacoustic Analysis of Illuminated Si-TiO2 Sample Bending along the Heat-Flow Axes. Silicon 2022, 14, 23. [Google Scholar] [CrossRef]
  60. Markushev, D.D.; Rabasović, M.D.; Nesic, M.; Popovic, M.; Galovic, S. Influence of Thermal Memory on Thermal Piston Model of Photoacoustic Response. Int. J. Thermophys. 2012, 33, 2210–2216. [Google Scholar] [CrossRef]
  61. Korte, D.; Franko, M. Photothermal Deflection Experiments: Comparison of Existing Theoretical Models and Their Applications to Characterization of TiO2-Based Thin Films. Int. J. Thermophys. 2014, 35, 2352–2362. [Google Scholar] [CrossRef]
  62. Todorović, D.M.; Rabasović, M.D.; Markushev, D.D.; Franko, M.; Štangar, U.L. Study of TiO2 thin films on Si substrate by the photoacoustic elastic bending method. Sci. China Phys. Mech. Astron. 2013, 56, 1285–1293. [Google Scholar] [CrossRef]
  63. Markushev, D.K.; Markushev, D.D.; Aleksić, S.M.; Pantić, D.S.; Galović, S.P.; Todorović, D.M.; Ordonez-Miranda, J. Experimental photoacoustic observation of the photogenerated excess carrier influence on the thermoelastic response of n-type silicon. J. Appl. Phys. 2020, 128, 095103. [Google Scholar] [CrossRef]
  64. Markushev, D.K.; Markushev, D.D.; Aleksić, S.; Pantić, D.S.; Galović, S.; Todorović, D.M.; Ordonez-Miranda, J. Effects of the photogenerated excess carriers on the thermal and elastic properties of n-type silicon excited with a modulated light source: Theoretical analysis. J. Appl. Phys. 2019, 126, 185102. [Google Scholar] [CrossRef]
  65. Nešić, M.; Gusavac, P.; Popović, M.; Šoškić, Z.; Galović, S. Thermal memory influence on the thermoconducting component of indirect photoacoustic response. Phys. Scr. 2012, T149, 014018. [Google Scholar] [CrossRef]
  66. Galović, S.; Šoškić, Z.; Popović, M.; Čevizović, D.; Stojanović, Z. Theory of photoacoustic effect in media with thermal memory. J. Appl. Phys. 2014, 116, 024901. [Google Scholar] [CrossRef]
  67. Ma, Y.; Liu, X.; Gu, P.; Tang, J. Estimation of optical constants of thin film by the use of artificial neural networks. Appl. Opt. 1996, 35, 5035. [Google Scholar] [CrossRef]
  68. Jakatdar, N.H.; Niu, X.; Spanos, C.J. Neural network approach to rapid thin film characterization. In Flatness, Roughness, and Discrete Defects Characterization for Computer Disks, Wafers, and Flat Panel Displays II; SPIE: Bellingham, WA, USA, 1998. [Google Scholar] [CrossRef]
  69. Castellano-Hernandez, E.; Sacha, G.M. Characterization of thin films by neural networks and analytical approximations. In Proceedings of the 12th IEEE International Conference on Nanotechnology (IEEE-NANO), Birmingham, UK, 20–23 August 2012. [Google Scholar] [CrossRef]
  70. Fan, L.; Chen, A.; Li, T.; Chu, J.; Tang, Y.; Wang, J.; Zhao, M.; Shen, T.; Zheng, M.; Guan, F.; et al. Thin-film neural networks for optical inverse problem. Light Adv. Manuf. 2021, 2, 395–402. [Google Scholar] [CrossRef]
Figure 1. Open-cell experimental set-up in transmission configuration.
Figure 1. Open-cell experimental set-up in transmission configuration.
Materials 16 02865 g001
Figure 2. Frequency dependence of (a) amplitude and (b) phase of experimentally measured photoacoustic signal TiO2 placed on Si substrate (red asterisk) and the corresponding amplitude and phase of the photoacoustic signal δptotal(f) (black line), correction on the instrument input (blue arrows).
Figure 2. Frequency dependence of (a) amplitude and (b) phase of experimentally measured photoacoustic signal TiO2 placed on Si substrate (red asterisk) and the corresponding amplitude and phase of the photoacoustic signal δptotal(f) (black line), correction on the instrument input (blue arrows).
Materials 16 02865 g002
Figure 3. The simplest scheme of the two−layer sample irradiated by modulated light source. l1 and l2 (l1 << l2) are the thicknesses of the thin−film (TiO2) and substrate (Si), respectively. Rs is the sample radius, T1(z,f) and T2(z,f) is the temperature distribution in the thin-film and substrate.
Figure 3. The simplest scheme of the two−layer sample irradiated by modulated light source. l1 and l2 (l1 << l2) are the thicknesses of the thin−film (TiO2) and substrate (Si), respectively. Rs is the sample radius, T1(z,f) and T2(z,f) is the temperature distribution in the thin-film and substrate.
Materials 16 02865 g003
Figure 4. A representation of the structure of a single−layer neural network used for the training and prediction of TiO2 thin−film parameters.
Figure 4. A representation of the structure of a single−layer neural network used for the training and prediction of TiO2 thin−film parameters.
Materials 16 02865 g004
Figure 5. (a) Amplitudes, A, and (b) phases, φ, of the two−layer model: TiO2 thin−films deposited on the Silicon substrate, obtained by changing parameters of the thin−film, diffusivity DT1, expansion αT1 and thickness l1.
Figure 5. (a) Amplitudes, A, and (b) phases, φ, of the two−layer model: TiO2 thin−films deposited on the Silicon substrate, obtained by changing parameters of the thin−film, diffusivity DT1, expansion αT1 and thickness l1.
Materials 16 02865 g005
Figure 6. Network training: (a) NN1, (b) NN2, and (c) NN3 for determining the parameters of thickness, expansion, and diffusivity of the TiO2 thin−film, respectively, and (d) NN4 for determining all three data, simultaneously.
Figure 6. Network training: (a) NN1, (b) NN2, and (c) NN3 for determining the parameters of thickness, expansion, and diffusivity of the TiO2 thin−film, respectively, and (d) NN4 for determining all three data, simultaneously.
Materials 16 02865 g006
Table 1. Values of basic parameters used for PA simulation TiO2 thin-film deposed on Si substrate.
Table 1. Values of basic parameters used for PA simulation TiO2 thin-film deposed on Si substrate.
ParametersLabelsValues
Air thermal diffusivityDg[m2s−1]2.0566 × 10−5
Air thermal conductivitykg[W(mK)−1]0.0454
Relaxation time of airτg[s]2 × 10−10
Air adiabatic indexγg1.4223
Si Thermal diffusivity DT2[m2s−1]9 × 10−5
TiO2 Thermal diffusivity DT1[m2s−1]3.7 × 10−6
Si Thermal conductivityk2[Wm−1K−1]150.0
TiO2 Thermal conductivityk1[Wm−1K−1]11.0
Si Thermal expansion coefficientαT2[K−1]2.6 × 10−6
TiO2 Thermal expansion coefficientαT1[K−1]1.1 × 10−5
Si absorption coefficientβ22.58 × 105
TiO2 absorption coefficientβ11.8 × 105
Si reflexing coefficientR20.3
TiO2 reflexing coefficientR10.2
Si Young’s modulusEy21.37 × 1011
TiO2 Young’s modulusEy11.0 × 1011
Si Poison coefficient v20.35
TiO2 Poison coefficientv10.30
Table 2. Relative (%) error prediction of TiO2 thin-film parameters on 4 test photoacoustic signals that are in step by NN1, NN2 and NN3 networks.
Table 2. Relative (%) error prediction of TiO2 thin-film parameters on 4 test photoacoustic signals that are in step by NN1, NN2 and NN3 networks.
Type of NetworkNN1NN2NN3
Base123
Parameter l 1 NN 1 α T 1 NN 2 D T 1 NN 3
TiO2 film no.10.40600.10410.3424
TiO2 film no.20.16810.12700.1526
TiO2 film no.30.14140.06900.2317
TiO2 film no.40.06580.15830.0764
Relative % error0.19530.11460.2008
Table 3. Relative (%) error prediction of TiO2 thin-film parameters NN4 on 4 signals from three bases “in-step” of training network.
Table 3. Relative (%) error prediction of TiO2 thin-film parameters NN4 on 4 signals from three bases “in-step” of training network.
Type of NetworkNN4
Base123
Parameters l 1 NN 4 α T 1 NN 4 D T 1 NN 4 l 1 NN 4 α T 1 NN 4 D T 1 NN 4 l 1 NN 4 α T 1 NN 4 D T 1 NN 4
TiO2 film no.10.78780.87820.45420.35790.15920.96100.29580.09510.0152
TiO2 film no.20.01300.29410.39800.41260.49900.05640.01650.10590.2139
TiO2 film no.30.01870.20020.15120.74141.10771.37380.09320.001603694
TiO2 film no.40.15780.05880.28110.42060.88220.88220.12980.12780.0663
Relat % error0.24430.35780.32110.48310.64340.81830.13250.08310.1661
Table 4. Relative (%) error prediction of TiO2 thin-film parameters NN1-3 on 4 signals from three bases “out of step” of training network.
Table 4. Relative (%) error prediction of TiO2 thin-film parameters NN1-3 on 4 signals from three bases “out of step” of training network.
Type of NetworkNN1NN2NN3
Parameter l 1 NN 1 α T 1 NN 2 D T 1 NN 3
TiO2 film no.12.48900.01860.0777
TiO2 film no.22.45840.02930.0927
TiO2 film no.35.41380.00110.2593
TiO2 film no.44.84270.00310.0116
Relative % error3.80990.01300.1103
Table 5. Relative (%) prediction error of TiO2 thin-film parameters by NN4 for 4 signals “out of step”.
Table 5. Relative (%) prediction error of TiO2 thin-film parameters by NN4 for 4 signals “out of step”.
Type of NetworkNN4
Base123
Parameter l 1 NN 4 α T 1 NN 4 D T 1 NN 4 l 1 NN 4 α T 1 NN 4 D T 1 NN 4 l 1 NN 4 α T 1 NN 4 D T 1 NN 4
TiO2 film no.10.11840.04221.335520.01730.00810.01640.00700.00490.0245
TiO2 film no.20.04220.01161.35160.00550.01830.01530.01820.01400.0104
TiO2 film no.30.00660.05991.38800.00800.00580.02700.00970.02150.0104
TiO2 film no.40.12130.00441.36850.07810.02250.05200.02450.02380.0059
Relative% error0.07210.03681.36580.02720.01370.02770.01490.01610.0128
Table 6. Parameters l 1 NN 1 , α T 1 NN 2 and D T 1 NN 3 obtained by prediction of NN1-3, with relative (%) errors are calculated according to the parameters obtained from standard photoacoustics techniques.
Table 6. Parameters l 1 NN 1 , α T 1 NN 2 and D T 1 NN 3 obtained by prediction of NN1-3, with relative (%) errors are calculated according to the parameters obtained from standard photoacoustics techniques.
Parameter
l 1 NN 1
α T 1 NN 1
D T 1 NN 3
NN exp prediction4.8018 × 102 nm1.0955 × 10−5 K−13.57913 × 10−6 m2s−1
relative (%) error3.96440.40662.9372
Table 7. Parameters l 1 NN 4 , α T 1 NN 4 and D T 1 NN 4 obtained by prediction of NN4, with relative (%) errors are calculated according to the parameters obtained from standard photoacoustics techniques.
Table 7. Parameters l 1 NN 4 , α T 1 NN 4 and D T 1 NN 4 obtained by prediction of NN4, with relative (%) errors are calculated according to the parameters obtained from standard photoacoustics techniques.
Parameter
l 1 NN 4
α T 1 NN 4
D T 1 NN 4
NN4 exp prediction4.8690 × 102 nm1.1166 × 10−5 K−13.7189 × 10−6 m2s−1
relative (%) error2.61961.51060.5105
Disclaimer/Publisher’s Note: The statements, opinions and data contained in all publications are solely those of the individual author(s) and contributor(s) and not of MDPI and/or the editor(s). MDPI and/or the editor(s) disclaim responsibility for any injury to people or property resulting from any ideas, methods, instructions or products referred to in the content.

Share and Cite

MDPI and ACS Style

Djordjević, K.L.; Markushev, D.K.; Popović, M.N.; Nesić, M.V.; Galović, S.P.; Lukić, D.V.; Markushev, D.D. Photoacoustic Characterization of TiO2 Thin-Films Deposited on Silicon Substrate Using Neural Networks. Materials 2023, 16, 2865. https://doi.org/10.3390/ma16072865

AMA Style

Djordjević KL, Markushev DK, Popović MN, Nesić MV, Galović SP, Lukić DV, Markushev DD. Photoacoustic Characterization of TiO2 Thin-Films Deposited on Silicon Substrate Using Neural Networks. Materials. 2023; 16(7):2865. https://doi.org/10.3390/ma16072865

Chicago/Turabian Style

Djordjević, Katarina Lj, Dragana K. Markushev, Marica N. Popović, Mioljub V. Nesić, Slobodanka P. Galović, Dragan V. Lukić, and Dragan D. Markushev. 2023. "Photoacoustic Characterization of TiO2 Thin-Films Deposited on Silicon Substrate Using Neural Networks" Materials 16, no. 7: 2865. https://doi.org/10.3390/ma16072865

APA Style

Djordjević, K. L., Markushev, D. K., Popović, M. N., Nesić, M. V., Galović, S. P., Lukić, D. V., & Markushev, D. D. (2023). Photoacoustic Characterization of TiO2 Thin-Films Deposited on Silicon Substrate Using Neural Networks. Materials, 16(7), 2865. https://doi.org/10.3390/ma16072865

Note that from the first issue of 2016, this journal uses article numbers instead of page numbers. See further details here.

Article Metrics

Back to TopTop