Brillouin Scattering Study of Electro-Optic KTa1−xNbxO3 Crystals
Abstract
1. Introduction
2. Methodology: Micro-Brillouin Scattering
3. Evolution of PNRs: Models
3.1. Experimental Evidence of PNRs
3.2. PNRs in Relaxor-like Ferroelectric KTN
3.2.1. Elastic Anomaly
3.2.2. Critical Slowing Down
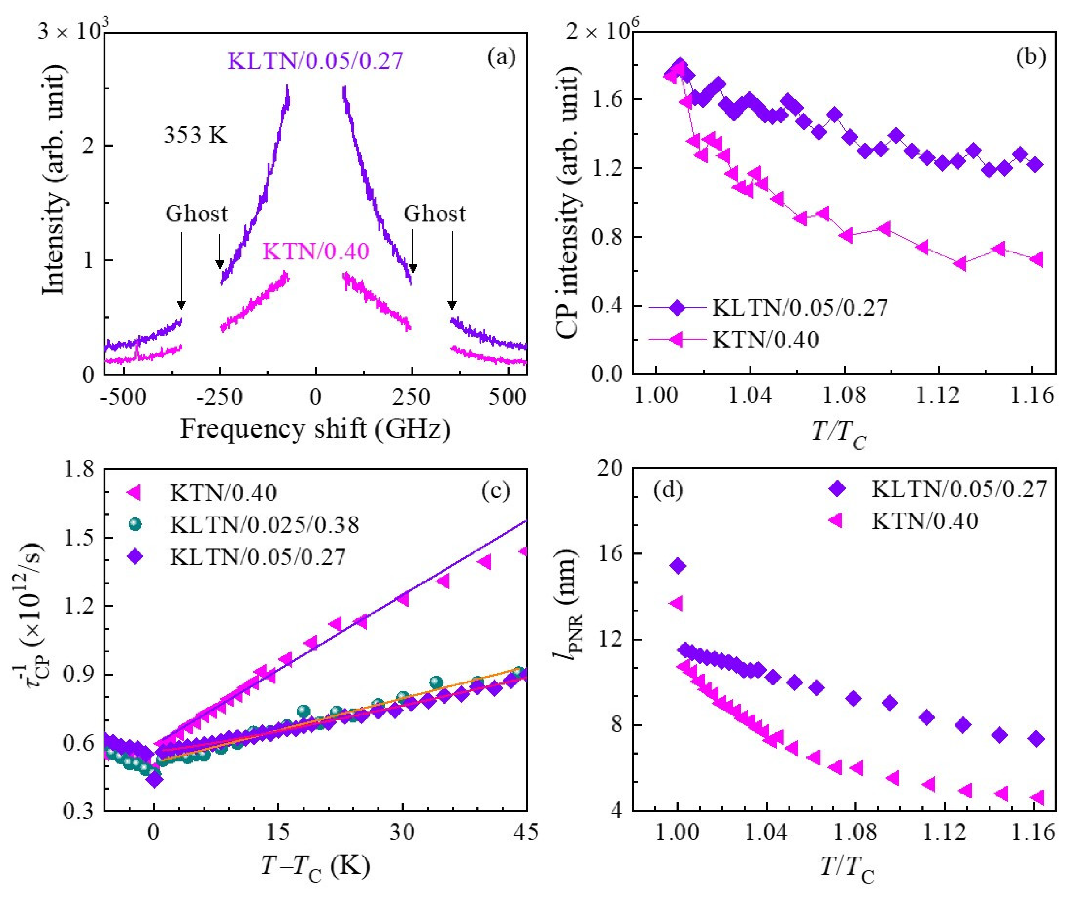
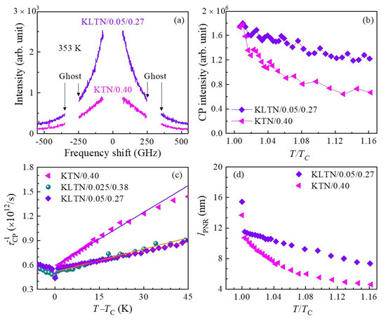
3.3. Li-Doping Effects on PNRs in KTN
- i.
- In non-doped KTN, the PNRs stem only from the off-center displacements of Nb ions at the B-site along the equivalent [111] directions corresponding to one set of atomic displacements related to 180° fluctuations, i.e., longitudinal polarization fluctuations in PNRs, as shown in Figure 7a [69,103]. Hence, the A1(z) mode of PNRs is reasonable in the case of non-doped KTN crystals. Moreover, it is believed that off-center displacements of Li ions in Li-doped KTN crystals occur at the A-site along the equivalent [100] directions [37,38]. However, the local [111] displacements are correlated in the medium range with the displacements along the [100] direction [71]. The measurement of X-ray absorption fine-structure (XAFS) revealed the off-centering of Nb ions in KTN at the B-site along the equivalent [111] direction at about 0.15 Å [21], while the off-centering of Li ions at the A-site along the [100] direction is expected to be 1.2 Å [38,104]. Since the off-center displacement of Li ions is much larger than that of Nb ions, the Li ion has a relatively larger dipole in comparison with the Nb ion. As a result, it is predicted that the correlations of displacements may lead along the equivalent [100] direction in Li-ion-rich KTN crystals. In the case of KLTN/0.025/0.38, the correlations of displacements are dominated by the Nb ions because of small concentrations of Li ions, and on average Li ions for the [100], [010], and [001] displacements are along an equivalent [111] direction [71,103], resulting in A1(z) mode of PNRs in 2.5%Li-doped KTN crystals. The invariance of the local mode of PNRs of the KLTN/2.5/38 crystal in comparison with that of the non-doped KTN indicates that the Li ions occupy only the A-site up to 2.5%Li-doping. Because of the off-center displacements of Li ions at the A-site, the doping of small amounts of Li ions in KTN may induce additional polarizations. These additional polarizations are cooperative with the neighboring PNRs, resulting in larger PNRs [27], and give rise to a weak RF due to the homovalent cations at both A- and B-sites [99]. On the other hand, the correlation of displacements between Li and Nb ions becomes stronger due to the relatively large Li concentrations in 5%Li-doped KTN; therefore, their displacements are predominantly along the [100], [010], and [001] directions. The switching of directions of polarization among [100], [010], and [001] may enhance the transverse polarization as shown in Figure 7c [69,103], resulting in the E(x,y) mode of PNRs in 5%Li-doped KTN.
- ii.
- In 5%Li-doped KTN, another possibility for the change in the local A1(z) to the E(x,y) mode of PNRs may be the partial occupancy of a small percentage of the Li ions at the B-site. Wakimoto et al. [104] reported that the Li+–Li+ dipolar pairs in Ca-doped KLT/0.05 were reoriented with the reorientation of two nearest-neighbor Li+ ions. In 5%Li-doped KTN, it is predicted that the dipolar pairs may be present, and these dipolar pairs can be reoriented with the reorientation of the nearest neighbor Li+ ions. However, the interaction strength of dipole–dipole pairs depends on the magnitude of both dipoles, their orientations, and their proximity. In general, the proximity effect intensifies with an increase in the concentrations of dopants. Hence, the noticeable repulsive interaction between neighboring Li+ and dipolar pairs may exist in 5%Li-doped KTN owing to the proximity effect. The random orientations at high temperatures above T* may cause the occupancy of a small percentage of the Li ions at the B-site through hopping from the A-site, as shown in Figure 8c. Thus, there is a noticeable interaction between Li and Nb ions in fluctuating PNRs corresponding to two sets of atomic displacements, giving rise to the E(x,y) mode of PNRs in 5%Li-doped KTN crystals. The E(x,y) mode of PNRs was also found in a relaxor PMN single crystal, in which off-center displacements of cations occurred at both A- and B-sites and the charge disorder existed only at the B-site [72].
3.4. Effects of Defects on PNRs in Li-Doped KTN
3.5. Effects of Electric Fields on PNRs in Li-Doped KTN
3.6. Critical End Point (CEP) and Injected Electrons in Li-Doped KTN
4. Conclusions
Author Contributions
Funding
Institutional Review Board Statement
Informed Consent Statement
Data Availability Statement
Acknowledgments
Conflicts of Interest
References
- Keen, D.A. Perovskites take the lead in local structure analysis. IUCrJ 2016, 3, 8–9. [Google Scholar] [CrossRef] [PubMed]
- Barrett, J.H. Dielectric constant in perovskite type crystals. Phys. Rev. 1952, 86, 118. [Google Scholar] [CrossRef]
- Müller, K.A.; Burkard, H. SrTiO3: An intrinsic quantum paraelectric below 4 K. Phys. Rev. B 1979, 19, 3593. [Google Scholar] [CrossRef]
- Fontana, M.D.; Metrat, G.; Servoin, J.L.; Gervais, F. Infrared spectroscopy in KNbO3 through the successive ferroelectric phase transitions. J. Phys. C Solid State Phys. 1984, 16, 483–514. [Google Scholar] [CrossRef]
- Toumanari, A.; Khatib, D.; Kinase, W. Theory of the successive phase transitions in KNbO3. Phase Transit. 2006, 71, 13–37. [Google Scholar] [CrossRef]
- Triebwasser, S. Study of ferroelectric transitions of solid-solution single crystals of KNbO3-KTaO3. Phys. Rev. 1959, 114, 63–71. [Google Scholar] [CrossRef]
- Rytz, D.; Scheel, H.J. Crystal growth of KTa1−xNbxO3 (0 < x ≤ 0.04) solid solution by a slow-cooling method. J. Cryst. Growth 1982, 59, 468–484. [Google Scholar] [CrossRef]
- Chang, Y.C.; Wang, C.; Yin, S.; Hoffman, R.C.; Mott, A.G. Giant electro-optic effect in nanodisordered KTN crystals. Opt. Lett. 2013, 38, 4574–4577. [Google Scholar] [CrossRef]
- Agranat, A.; Hofmeister, R.; Yariv, A. Characterization of a new photorefractive material: K1-yLyT1−xNx. Opt. Lett. 1992, 17, 713–715. [Google Scholar] [CrossRef]
- Shang, A., Jr.; Chen, C.-J.; Liu, R.; Lee, Y.G.; Chao, J.-H.; Yina, S. Giant electrostrictive coefficient in rapidly cooled nanodisordered KTa1−xNbxO3 lead-free single crystals. AIP Adv. 2021, 11, 035020. [Google Scholar] [CrossRef]
- Shang, A., Jr.; Liu, R.; Chen, C.-J.; Lee, Y.-G.; Chao, J.-H.; Zhang, W.; Wetherington, M.; Yin, S. Domain engineering enabled giant linear electro-optic effect and high transparency in ferroelectric KTa1−xNbxO3 single crystals. Phys. Status Solidi. RRL 2022, 16, 2200005. [Google Scholar] [CrossRef]
- Imai, T.; Yagi, S.; Toyoda, S.; Miyazu, J.; Naganuma, K.; Sasaura, M.; Fujiura, K. Fast response variable focal-length lenses using KTa1−xNbxO3 crystals. Appl. Phys. Express 2014, 4, 022501. [Google Scholar] [CrossRef]
- Sasaki, Y.; Okabe, Y.; Ueno, M.; Toyoda, S.; Kobayashi, J.; Yagi, S.; Naganuma, K. Resolution enhancement of KTa1−xNbxO3 electro-optic deflector by optical beam shaping. Appl. Phys. Express 2013, 6, 102201. [Google Scholar] [CrossRef]
- Wang, X.; Liu, B.; Yang, Y.; Zhang, Y.; Lv, X.; Hong, G.; Shu, R.; Yu, H.; Wang, J. Anomalous laser deflection phenomenon based on the interaction of electro-optic and graded refractivity effects in Cu-doped KTa1−xNbxO3 crystal. Appl. Phys. Lett. 2014, 105, 051910. [Google Scholar] [CrossRef]
- Nakamura, K.; Miyazu, J.; Sasaki, Y.; Imai, T.; Sasaura, M.; Fujiura, K. Space-charge-controlled electro-optic effect: Optical beam deflection by electro-optic effect and space-charge controlled electrical conduction. J. Appl. Phys. 2008, 104, 013105. [Google Scholar] [CrossRef]
- Bokov, A.A.; Ye, Z.-G. Recent progress in relaxor ferroelectrics with perovskite structure. J. Mater. Sci. 2006, 41, 31–52. [Google Scholar] [CrossRef]
- Cross, L.E. Relaxor ferroelectrics. Ferroelectrics 1987, 76, 241–267. [Google Scholar] [CrossRef]
- Phelan, D.; Stock, C.; Rodriguez-Rivera, J.A.; Chi, S.; Leão, J.; Long, X.; Xie, Y.; Bokov, A.A.; Ye, Z.-G.; Ganesh, P.; et al. Role of random electric fields in relaxors. Proc. Natl. Acad. Sci. USA 2014, 111, 1754–1759. [Google Scholar] [CrossRef]
- Polinger, V. Off-center instability of Nb5+ in KNbO3 under ambient pressure. Chem. Phys. 2015, 459, 72–80. [Google Scholar] [CrossRef]
- Ko, J.-H.; Kim, T.H.; Kojima, S.; Long, X.; Bokov, A.A.; Ye, Z.-G. Effect of chemically ordered regions on the acoustic behaviors in P(Mg1/3Nb2/3)O3 studied by Brillouin scattering. J. Appl. Phys. 2010, 107, 054108. [Google Scholar] [CrossRef]
- Hanske-Petitpierre, O.; Yakoby, Y.; Mustre De Leon, J.; Stern, E.A.; Rehr, J.J. Off-center displacement of the Nb ions below and above the ferroelectric phase transition of KTa0.91Nb0.09O3. Phys. Rev. B 1991, 44, 6700–6707. [Google Scholar] [CrossRef]
- Sokoloff, J.P.; Chase, L.L.; Boatner, L.A. Low-frequency relaxation modes and structural disorder in KTa1−xNbxO3. Phys. Rev. B 1990, 41, 2398–2408. [Google Scholar] [CrossRef]
- Dul’kin, E.; Kojima, S.; Roth, M. Characteristic temperatures and field effect in KTa1−xNbxO3 relaxor crystals seen via acoustic emission. Euro. Phys. Lett. 2012, 97, 57004. [Google Scholar] [CrossRef]
- Dul’kin, E.; Petzelt, J.; Kamba, S.; Majaev, E.; Roth, M. Relaxor-like behavior of BaTiO3 crystals from acoustic emission study. Appl. Phys. Lett. 2010, 97, 032903. [Google Scholar] [CrossRef]
- Rahaman, M.M.; Imai, T.; Miyazu, J.; Kobayashi, J.; Tsukada, S.; Helal, M.A.; Kojima, S. Relaxor-like dynamics of ferroelectric K(Ta1−xNbx)O3 crystals probed by inelastic light scattering. J. Appl. Phys. 2014, 116, 074110. [Google Scholar] [CrossRef]
- Ohta, R.; Zushi, J.; Ariizumi, T.; Kojima, S. Order–disorder behavior of ferroelectric phase transition of KTa1−xNbxO3 probed by Brillouin scattering. Appl. Phys. Lett. 2011, 98, 092909. [Google Scholar] [CrossRef]
- Rahaman, M.M.; Imai, T.; Kobayashi, J.; Kojima, S. Effect of Li-doping on polar-nanoregions in K(Ta1−xNbx)O3 single crystals. Jpn. J. Appl. Phys. 2015, 54, 10NB01. [Google Scholar] [CrossRef]
- Toulouse, J.; DiAntonio, P.; Vugmeister, B.E.; Wang, X.M.; Knauss, L.A. Precursor effects and ferroelectric macroregions in KTal-xNbxO3 and Kl-yLiyTaO3. Phys. Rev. Lett. 1992, 68, 232–235. [Google Scholar] [CrossRef] [PubMed]
- Rahaman, M.M.; Tsukada, S.; Svirskas, S.; Banys, J.; Kojima, S. Vibrational dynamics of ferroelectric K(Ta1−xNbx)O3 studied by inelastic light scattering. Ferroelectrics 2019, 538, 96–104. [Google Scholar] [CrossRef]
- Rahaman, M.M.; Imai, T.; Sakamoto, T.; Tsukada, S.; Kojima, S. Fano resonance of Li-doped KTa1−xNbxO3 single crystals studied by Raman scattering. Sci. Rep. 2016, 6, 23898. [Google Scholar] [CrossRef]
- Kojima, S.; Rahaman, M.M.; Sase, R.; Hoshina, T.; Tsurumi, T. Vibrational dynamics of ferroelectric K(Ta1−xNbx)O3 studied by far-infrared spectroscopic ellipsometry and Raman scattering. Jpn. J. Appl. Phys. 2018, 57, 11UB05. [Google Scholar] [CrossRef]
- Wu, Y.; Liang, F.; Wang, X.; Wang, J.; Yu, H.; Zhang, H. Temperature dependent Raman spectroscopic study of Fano resonance in perovskite ferroelectric KTa1−xNbxO3 single crystal. Opt. Mater. Express 2022, 12, 247–255. [Google Scholar] [CrossRef]
- Parravicini, J.; DelRe, E.; Perego, S.; Acciarri, M.; Binetti, S.; Garcia, Y.; Parapelitsa, G.; Agranat, A.J.; Parravicini, G.-B. Key role of polar nanoregions in the cubic-to-tetragonal phase transition of potassium-based perovskites. Phys. Rev. B 2022, 106, 064107. [Google Scholar] [CrossRef]
- Kleemann, W.; Schäfer, F.J.; Rytz, D. Diffuse ferroelectric phase transition and long-range order of dilute KTa1−xNbxO3. Phys. Rev. Lett. 1985, 54, 2038–2041. [Google Scholar] [CrossRef]
- Knauss, L.A.; Wang, X.M.; Toulouse, J. Polarization-strain coupling in the mixed ferroelectric KTa1−xNbxO3. Phys. Rev. B 1995, 52, 13261–13268. [Google Scholar] [CrossRef]
- Pashkin, A.; Železný, V.; Petzelt, J. Infrared spectroscopy of KTa1−xNbxO3 crystals. J. Phys. Condens. Matter 2005, 17, L265. [Google Scholar] [CrossRef]
- Cai, L.; Toulouse, J.; Harrier, L.; Downing, R.G.; Boatner, L.A. Origin of the crossover between a freezing and a structural transition at low concentration in the relaxor ferroelectric K1−xLixTaO3. Phys. Rev. B 2015, 91, 134106. [Google Scholar] [CrossRef]
- Machado, R.; Sepliarsky, M.; Stachiotti, M.G. Off-center impurities in a robust ferroelectric material: Case of Li in KNbO3. Phys. Rev. B 2012, 86, 094118. [Google Scholar] [CrossRef]
- Schremmer, H.; Kleemann, W.; Rytz, D. Field-induced sharp ferroelectric phase transition in K0.937Li0.063TaO3. Phys. Rev. Lett. 1989, 62, 1896–1899. [Google Scholar] [CrossRef]
- Zhou, Z.; Li, J.; Tian, H.; Wang, Z.; Li, Y.; Zhang, R. Piezoelectric properties of the lead-free K0.95Li0.05Ta0.61Nb0.39O3 single crystal. J. Phys. D Appl. Phys. 2009, 42, 125405. [Google Scholar] [CrossRef]
- Li, J.; Li, Y.; Zhou, Z.; Guo, R.; Bhalla, A. Electrical Properties of Lead-free Niobium Rich Piezoelectric (K0.95Li0.05)(Ta1−xNbx)O3 Single Crystals. Ferroelectrics 2011, 130, 65. [Google Scholar] [CrossRef]
- Rytz, D.; Châtelain, A.; Höchli, U.T. Elastic properties in quantum ferroelectric KTa1−xNbxO3. Phys. Rev. B 1983, 27, 6830–6840. [Google Scholar] [CrossRef]
- Ko, J.-H.; Kim, D.H.; Kojima, S. Central peaks, acoustic modes, and the dynamics of polar nanoregions in Pb[(Zn1/3Nb2/3)xTi1−x]O3 single crystals studied by Brillouin spectroscopy. Phys. Rev. B 2008, 77, 104110. [Google Scholar] [CrossRef]
- Svitelskiy, O.; Suslov, A.V.; Betts, J.B.; Migliori, A.; Yang, G.; Boatner, L.A. Resonant ultrasound spectroscopy of KTa1−xNbxO3 ferroelectric relaxor crystals. Phys. Rev. B 2008, 78, 064113. [Google Scholar] [CrossRef]
- Clark, L.A.; Xianglong, Y.; Martin, Z.B.; Linn, W.H. Elastic constants of defected and amorphous silicon with the environment-dependent interatomic potential. Phys. Rev. B 2004, 70, 134113. [Google Scholar] [CrossRef]
- Burnett, P.J.; Briggs, G.A.D. The elastic properties of ion-implanted silicon. J. Mater. Sci. 1986, 21, 1828–1836. [Google Scholar] [CrossRef]
- Imai, T.; Miyazu, J.; Kobayashi, J. Charge distributions in KTa1−xNbxO3 optical beam deflectors formed by voltage application. Opt. Express 2014, 22, 14114–14126. [Google Scholar] [CrossRef]
- Chen, F.S.; Geusic, J.E.; Kurtz, S.K.; Skinner, J.G.; Wemple, S.H. Light modulation and beam deflection with potassium tantalate-niobate crystals. J. Appl. Phys. 1966, 37, 388. [Google Scholar] [CrossRef]
- Imai, T.; Toyoda, S.; Miyazu, J.; Kobayashi, J.; Kojima, S. Permittivity changes induced by injected electrons and field-induced phase transition in KTa1−xNbxO3 optical beam deflectors. Jpn. J. Appl. Phys. 2014, 53, 09PB02. [Google Scholar] [CrossRef]
- Eros, S.; Reitz, J.R. Elastic Constants by the Ultrasonic Pulse Echo Method. J. Appl. Phys. 1958, 29, 683. [Google Scholar] [CrossRef]
- Sumino, Y.; Ohno, I.; Goto, T.; Kumazawa, M. Measurement of the elastic constant and internal frictions on single-crystal MgO by rectangular parallelepiped resonance. J. Phys. Earth 1976, 24, 263. [Google Scholar] [CrossRef]
- Maczka, M.; Hanuza, J.; Ko, J.-H.; Kojima, S. High-resolution broadband Brillouin scattering study of antiferroelectric phase transition in CsBi(MoO4)2. Phys. Rev. B 2003, 68, 174101. [Google Scholar] [CrossRef]
- Grunberg, P. Brillouin scattering from spin waves in thin ferromagnetic films. J. Magn. Mater. 1980, 766, 15–18. [Google Scholar] [CrossRef]
- Courtens, E.; Pelous, J.; Phalippou, J.; Vacher, R.; Woignier, T. Brillouin-scattering measurements of phonon-fracton crossover in silica aerogels. Phys. Rev. Lett. 1987, 58, 128. [Google Scholar] [CrossRef]
- Damzen, M.J.; Vlad, V.I.; Babin, V.; Mocofanescu, A. Stimulated Brillouin Scattering; Institute of Physics Publishing: London, UK, 2003. [Google Scholar]
- Mock, R.; Hillebrands, B.; Sandercock, R. Construction and performance of a Brillouin scattering set-up using a triple-pass tandem Fabry-Perot interferometer. J. Phys. E Sci. Instrum. 1987, 20, 656–659. [Google Scholar] [CrossRef]
- Kojima, S. Gigahertz acoustic spectroscopy by Micro-Brillouin scattering. Jpn. J. Appl. Phys. 2010, 49, 07HA01. [Google Scholar] [CrossRef]
- Rahaman, M.M. Ferroelectric Phase Transition and Dynamical Behavior of PNRs of Potassium Tantalate Niobate Crystals: Broadband Inelastic Light Scattering Study. Ph.D. Thesis, University of Tsukuba, Tsukuba, Japan, 2016. [Google Scholar]
- Burns, G.; Dacol, F.H. Crystalline ferroelectric with glassy polarization behavior. Phys. Rev. B 1983, 28, 2527–2530. [Google Scholar] [CrossRef]
- Toulouse, J.; Jiang, F.; Svitelskiy, O.; Chen, W.; Ye, Z.-G. Temperature evolution of the relaxor dynamics in Pb(Zn1/3Nb2/3)O3: A critical Raman analysis. Phys. Rev. B 2005, 72, 184106. [Google Scholar] [CrossRef]
- Pirc, R.; Blinc, R. Vogel-Fulcher freezing in relaxor ferroelectrics. Phys. Rev. B 2007, 76, 020101. [Google Scholar] [CrossRef]
- Glinchuk, M.D.; Farhi, R. A random field theory based model for ferroelectric relaxors. J. Phys. Condens. Matter 1996, 8, 6985. [Google Scholar] [CrossRef]
- Bokov, A.A. Influence of disorder in crystal structure on ferroelectric phase transitions. J. Exp. Theor. Phys. 1997, 84, 994. [Google Scholar] [CrossRef]
- Timonin, P.N. Griffiths’ phase in dilute ferroelectrics. Ferroelectrics 1997, 199, 69–81. [Google Scholar] [CrossRef]
- Bokov, A.A. Ferroelectric domains and polar clusters in disordered structures. Ferroelectrics 1997, 190, 197. [Google Scholar] [CrossRef]
- Westphal, V.; Kleemann, W.; Glinchuk, M.D. Diffuse phase transitions and random-field-induced domain states of the relaxor ferroelectric PbMg1/3Nb2/3O3. Phys. Rev. Lett. 1992, 68, 847. [Google Scholar] [CrossRef] [PubMed]
- Ishchuk, V.M. Was it necessary to introduce the notion relaxor ferroelectrics?—The problem of phase transitions in (Pb,Li1/2-La1/2)(Zr,Ti)O3, (Pb,La)(Zr,Ti)O3, Pb(Mg1/3Nb2/3)O3, Pb(In1/2Nb1/2)O3. and related materials. 1. model conceptions. Ferroelectrics 2001, 255, 73. [Google Scholar] [CrossRef]
- Toulouse, J. The three characteristic temperatures of relaxor dynamics and their Meaning. Ferroelectrics 2008, 369, 203–213. [Google Scholar] [CrossRef]
- Helal, M.A.; Aftabuzzaman, M.; Tsukada, S.; Kojima, S. Role of polar nanoregions with weak random fields in Pb-based perovskite ferroelectrics. Sci. Rep. 2017, 7, 44448. [Google Scholar] [CrossRef]
- Tan, P.; Tian, H.; Mao, C.; Hu, C.; Meng, X.; Li, L.; Shi, G.; Zhou, Z. Field-driven electro-optic dynamics of polar nanoregions in nanodisordered KTa1−xNbxO3 crystal. Appl. Phys. Lett. 2017, 111, 012903. [Google Scholar] [CrossRef]
- Jeong, I.-K.; Darling, T.W.; Lee, J.K.; Proffen, T.; Heffner, R.H.; Park, J.S.; Hong, K.S.; Dmowski, W.; Egami, T. Direct observation of the formation of polar nanoregions in Pb(Mg1/3Nb2/3)O3 using neutron pair distribution function analysis. Phys. Rev. Lett. 2005, 94, 147602. [Google Scholar] [CrossRef]
- Taniguchi, H.; Itoh, M.; Fu, D. Raman scattering study of the soft mode in Pb(Mg1/3Nb2/3)O3. J. Raman Spectrosc. 2011, 42, 706–714. [Google Scholar] [CrossRef]
- Dey, K.; Ahad, A.; Gautam, K.; Tripathy, A.; Majid, S.S.; Francoual, S.; Richter, C.; Singh, M.N.; Sagdeo, A.; Welter, E.; et al. Coexistence of local structural heterogeneities and long-range ferroelectricity in Pb-free (1-x)Ba(Zr0.2Ti0.8)O3-x(Ba0.7Ca0.3)TiO3 ceramics. Phys. Rev. B 2021, 103, L100205. [Google Scholar] [CrossRef]
- Dash, S.; Pradhan Dhiren, K.; Kumari, S.; Ravikant; Rahaman, M.M.; Cazorla, C.; Brajesh, K.; Kumar, A.; Thomas, R.; Rack Philip, D.; et al. Enhanced ferroelectric and piezoelectric properties of BCT-BZT at the morphotropic phase boundary driven by the coexistence of phases with different symmetries. Phys. Rev. B 2021, 104, 224105. [Google Scholar] [CrossRef]
- Pradhan Dhiren, K.; Mohanty, H.S.; Kumari, S.; Bhoi, K.; Tang, N.; Ravikant; Rahaman, M.M.; Pradhan Dillip, K.; Kumar, A.; Gilbertah Dustin, A. Ferroic phase transitions and magnetoelectric coupling in cobalt doped BaTiO3. J. Mater. Chem. C 2021, 9, 12694–12711. [Google Scholar] [CrossRef]
- Vakhrushev, S.; Nabereznov, A.; Sinha, S.K.; Feng, Y.P.; Egami, T. Synchrotron X-ray scattering study of lead magnoniobate relaxor ferroelectric crystals. J. Phys. Chem. Solids 1996, 57, 1517–1523. [Google Scholar] [CrossRef]
- Hirota, K.; Ye, Z.-G.; Wakimoto, S.; Gehring, P.M.; Shirane, G. Neutron diffuse scattering from polar nanoregions in the relaxor Pb(Mg1/3Nb2/3)O3. Phys. Rev. B 2022, 65, 104105. [Google Scholar] [CrossRef]
- Xu, G.; Shirane, G.; Copley, J.R.D.; Gehring, P.M. Neutron elastic diffuse scattering study of Pb(Mg1/3Nb2/3)O3. Phys. Rev. B 2004, 69, 064112. [Google Scholar] [CrossRef]
- Yoshida, M.; Mori, S.; Yamamoto, N.; Uesu, Y. TEM Observation of polar domains in relaxor ferroelectric Pb(Mgl/3Nb2/3)03. Ferroelecrrics 1998, 217, 327–333. [Google Scholar] [CrossRef]
- Bokov, A.A.; Ye, Z.-G. Phenomenological description of dielectric permittivity peak in relaxor ferroelectrics. Solid State Commun. 2000, 116, 105–108. [Google Scholar] [CrossRef]
- Bokov, A.A.; Ye, Z.-G. Dielectric relaxation in relaxor ferroelectrics. J. Adv. Dielectr. 2012, 2, 1241010. [Google Scholar] [CrossRef]
- Samara, G.A. Glasslike behavior and novel pressure effects in KTa1−xNbxO3. Phys. Rev. Lett. 1984, 53, 298. [Google Scholar] [CrossRef]
- Yacoby, Y. Defect induced fluctuations in the paraelectric phase of KTa0.94Nb0.06O3. Z. Physik B 1978, 31, 275. [Google Scholar] [CrossRef]
- Vacher, R.; Boyer, L. Brillouin scattering: A tool for the measurement of elastic and photoelastic constants. Phys. Rev. B 1972, 6, 639–673. [Google Scholar] [CrossRef]
- Rahaman, M.M.; Imai, T.; Sakamoto, T.; Tsukada, S.; Kojima, S. The role of polar-nanoregions in KTa1−xNbxO3 single crystals studied by Raman scattering. Ferroelectrics 2016, 503, 85–93. [Google Scholar] [CrossRef]
- Slonczewski, J.C.; Thomas, H. Interaction of elastic strain with the structural transition of strontium titanate. Phys. Rev. B 1970, 1, 3599. [Google Scholar] [CrossRef]
- Smolenskiĭ, G.A.; Yushin, N.K.; Smirnov, S.I. Acoustic properties of a lead magnoniobate crystal, a ferroelectric with a broad phase transition. Sov. Phys. Solid State 1985, 27, 492–495. [Google Scholar]
- Landau, L.D.; Lifshitz, E.M. Physical Kinetics; English translation of Fizicheskaya Kinetika (Nauka, Moscow); Pergamon Press: Oxford, UK, 1979. [Google Scholar]
- Levanyuk, A.P.; Minyukov, S.A.; Vallade, M. Elastic anomalies at structural phase transitions: A consistent perturbation theory. I. One component order parameter. J. Phys. I Fr. 1992, 2, 1949. [Google Scholar] [CrossRef]
- Jiang, M.; Kojima, S. Relaxation mode in 0.65Pb(Mg1/3Nb2/3)O3-0.35PbTiO3 relaxor single crystals studied by micro-Brillouin scattering. Phys. Rev. B 2000, 62, 8572. [Google Scholar] [CrossRef]
- Kojima, S.; Ko, J.-H. Broadband micro-Brillouin scattering spectroscopy of Pb(B1/3B′2/3)O3-based relaxor ferroelectrics. Curr. Appl. Phys. 2011, 11, S22. [Google Scholar] [CrossRef]
- Sivasubramanian, V.; Tsukada, S.; Kojima, S. Anomalous behavior of acoustic phonon and central peak in [(In1/2Nb1/2)0.65Ti0.35]O3 single crystal. J. Appl. Phys. 2009, 105, 014108. [Google Scholar] [CrossRef]
- Tsukada, S.; Kojima, S. Broadband light scattering of two relaxation processes in relaxor ferroelectric 0.93Pb(Zn1/3Nb2/3)O3-0.07PbTiO3 single crystals. Phys. Rev. B 2008, 78, 144106. [Google Scholar] [CrossRef]
- Kojima, S.; Tsukada, S.; Hidaka, Y.; Bokov, A.A.; Ye, Z.-G. Broadband gigahertz dynamics of relaxor ferroelectric Pb(Sc1/2Nb1/2)O3-xPbTiO3 single crystal probed by Brillouin scattering. J. Appl. Phys. 2011, 109, 084114. [Google Scholar] [CrossRef]
- Hushur, A.; Gvasaliya, S.; Roessli, B.; Lushnikov, L.; Kojima, S. Ferroelectric phase transition of stoichiometric lithium tantalate studied by Raman, Brillouin, and neutron scattering. Phys. Rev. B 2007, 76, 064104. [Google Scholar] [CrossRef]
- Mishra, K.K.; Sivasubramanian, V.; Arora, A.K.; Pradhan, D. Anomalous behavior of acoustic phonon mode and central peak in Pb(Zn1/3Nb2/3)0.85Ti0.15O3 single crystal studied using Brillouin scattering. J. Appl. Phys. 2012, 112, 114109. [Google Scholar] [CrossRef]
- Kojima, S.; Tsukada, S. Micro-Brillouin scattering of relaxor ferroelectrics with perovskite structure. Ferroelectrics 2010, 405, 32. [Google Scholar] [CrossRef]
- Reisman, A.; Banks, E. Reactions of the Group VB Pentoxides. VIII. Thermal, Density and X-Ray Studies of the Systems KNbO3-NaNbO3 and KTaO3-KNbO3. J. Am. Chem. Soc. 1958, 80, 1877. [Google Scholar] [CrossRef]
- Rahaman, M.M.; Imai, T.; Sakamoto, T.; Helal, M.A.; Tsukada, S.; Kojima, S. Ferroelectric phase transition of Li-doped KTa1−xNbxO3 single crystals with weak random fields: Inelastic light scattering study. J. Alloys Compd. 2018, 735, 1063–1070. [Google Scholar] [CrossRef]
- Bell, R.O.; Rupprecht, G. Elastic constants of strontium titanate. Phys. Rev. 1963, 129, 90. [Google Scholar] [CrossRef]
- Fossum, J.O.; Fossheim, K. Measurements of ultrasonic attenuation and velocity in Verneuil-grown and flux-grown SrTiO3. J. Phys. C Solid State Phys. 1985, 18, 5549. [Google Scholar] [CrossRef]
- Courdile, J.M.; Dumas, J.; Ziolkiewicz, S.; Joffrin, J. Soft mode characteristics in the KTN ferroelectric transition. J. Phys. Fr. 1977, 38, 1519–1525. [Google Scholar] [CrossRef]
- Rahaman, M.M.; Kojima, S. Site occupancy of Li ions in Li-doped K(Ta1−xNbx)O3 single crystals: Reanalysis of inelastic light scattering data and first-principles calculations. Ferroelectrics 2022, 586, 10–20. [Google Scholar] [CrossRef]
- Wakimoto, S.; Samara, G.A.; Grubbs, R.K.; Venturini, E.L.; Boatner, L.A.; Xu, G.; Shirane, G.; Lee, S.-H. Dielectric properties and lattice dynamics of Ca-doped K0.95Li0.05TaO3. Phys. Rev. B 2006, 74, 054101. [Google Scholar] [CrossRef]
- Clark, S.J.; Segall, M.D.; Probert, M.J.; Pickard, C.J.; Hasnip, P.J.; Payne, M.C. First principles methods using CASTEP. Z. Kristallogr. 2005, 220, 567. [Google Scholar] [CrossRef]
- Ye, H.; Zhang, R.; Wang, D.; Cui, Y.; Wei, J.; Wang, C.; Xu, Z.; Qu, S.; Wei, X. First-principles calculation of lead-free perovskite SnTiO3. Int. J. Mod. Phys. B 2013, 27, 1350144. [Google Scholar] [CrossRef]
- Mancini, G.F.; Ghigna, P.; Mozzati, M.C.; Galinetto, P.; Makarova, M.; Syrnikov, P.; Jastrabik, L.; Trepakov, V.A. Structural investigation of manganese doped SrTiO3 single crystal and ceramic. Ferroelectrics 2014, 463, 31. [Google Scholar] [CrossRef]
- Shannon, R.D. Revised effective ionic radii and systematic studies of interatomic distances in halides and chalcogenides. Acta Cryst. 1976, 32, 751. [Google Scholar] [CrossRef]
- Samara, G. The relaxational properties of compositionally disordered ABO3 perovskites. J. Phys. Condens. Matter 2003, 15, R367. [Google Scholar] [CrossRef]
- Samara, G.A.; Boatner, L.A. Ferroelectric-to-relaxor crossover and oxygen vacancy hopping in the compositionally disordered perovskites KTa1−xNbxO3:Ca. Phys. Rev. B 2000, 61, 3889. [Google Scholar] [CrossRef]
- Rahaman, M.M.; Imai, T.; Miyazu, J.; Kobayashi, J.; Kojima, S. Micro-Brillouin scattering study on composition gradient Li doped KTa1−xNbxO3 wafer. Ferroelectrics 2015, 487, 47–54. [Google Scholar] [CrossRef]
- Imai, T.; Yagi, S.; Yamazaki, H. Thermal fixing of photorefractive holograms in KTa1–xNbxO3 and its relation to proton concentration. J. Opt. Soc. Am. B 1996, 13, 2524. [Google Scholar] [CrossRef]
- Rahaman, M.M.; Imai, T.; Sakamoto, T.; Kojima, S. Electric field effects on polar-nanoregions in Li- doped KTa1−xNbxO3 single crystals probed by micro-Brillouin scattering. Integr. Ferroelectr. 2017, 185, 22–30. [Google Scholar] [CrossRef]
- Aftabuzzaman, M.; Kojima, S. Electric field effect of relaxor ferroelectric (1-x)Pb(Mg1/3Nb2/3)O3-xPbTiO3 crystals near morphotropic phase boundary composition probed by Brillouin scattering. Jpn. J. Appl. Phys. 2016, 55, 70KB03. [Google Scholar] [CrossRef]
- Kutnjak, Z.; Petzelt, J.; Blinc, R. The giant electromechanical response in ferroelectric relaxors as a critical phenomenon. Nature 2006, 441, 956. [Google Scholar] [CrossRef]
- Rahaman, M.M.; Imai, T.; Sakamoto, T.; Kojima, S. Electric field induced critical points and field gradient by trapped electrons in Li-doped KTa1−xNbxO3 single crystals. Appl. Phys. Lett. 2017, 111, 032904. [Google Scholar] [CrossRef]











Disclaimer/Publisher’s Note: The statements, opinions and data contained in all publications are solely those of the individual author(s) and contributor(s) and not of MDPI and/or the editor(s). MDPI and/or the editor(s) disclaim responsibility for any injury to people or property resulting from any ideas, methods, instructions or products referred to in the content. |
© 2023 by the authors. Licensee MDPI, Basel, Switzerland. This article is an open access article distributed under the terms and conditions of the Creative Commons Attribution (CC BY) license (https://creativecommons.org/licenses/by/4.0/).
Share and Cite
Rahaman, M.M.; Kojima, S. Brillouin Scattering Study of Electro-Optic KTa1−xNbxO3 Crystals. Materials 2023, 16, 652. https://doi.org/10.3390/ma16020652
Rahaman MM, Kojima S. Brillouin Scattering Study of Electro-Optic KTa1−xNbxO3 Crystals. Materials. 2023; 16(2):652. https://doi.org/10.3390/ma16020652
Chicago/Turabian StyleRahaman, Md. Mijanur, and Seiji Kojima. 2023. "Brillouin Scattering Study of Electro-Optic KTa1−xNbxO3 Crystals" Materials 16, no. 2: 652. https://doi.org/10.3390/ma16020652
APA StyleRahaman, M. M., & Kojima, S. (2023). Brillouin Scattering Study of Electro-Optic KTa1−xNbxO3 Crystals. Materials, 16(2), 652. https://doi.org/10.3390/ma16020652
