Rapid Test Method for Evaluating Inhibiting Effectiveness of Supplementary Cementitious Materials on Alkali–Silica Reaction Expansion of Concrete
Abstract
:1. Introduction
2. Materials and Methods
2.1. Cement and Aggregates
2.2. Accelerated Expansion Test of Concrete
2.3. Accelerated Concrete Inhibition Test
3. Results
3.1. Effect of Temperature on Expansion
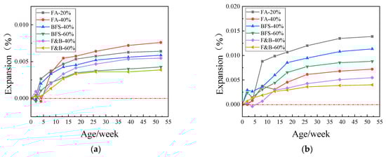
3.2. SCMs Inhibits ASR
3.3. Accelerated Inhibition Test
4. Discussion
4.1. Alkalinity Reduction Test
4.2. Microscopic Analysis
4.3. Determination of Parameters in Accelerated Inhibition Test
5. Conclusions
- (1).
- The accelerated concrete inhibition test shows that the test can be effectively shortened from the standard 2-year inhibition period to 4 months. Considering that the sample may still grow in the later period of accelerated concrete inhibition test, but the growth trend is slow and stable, the judgment period can be extended to 5 to 6 months and the expansion limit can be set at 0.04%. For the change in aggregate type, SCMs type and low content of SCMs, whether the criterion of accelerated inhibition test can be used as a reference standard is worth further study.
- (2).
- The influence of temperature on the inhibition effect of mixed SCMs is not obvious, and the change in temperature will not accelerate or slow down the inhibition degree to a great extent. However, the effect of temperature on concrete prism test is obvious. The concrete specimens show larger expansion at curing temperature of 60 °C and smaller expansion at 40 °C.
- (3).
- There was a positive correlation between basicity hydroxide radical reduction value and ASR gel formation degree. The change in temperature directly affects the formation of ASR gel and the expansion of concrete. Whether the change in curing temperature directly affects the internal structure and product characteristics of concrete still needs a lot of research.
Author Contributions
Funding
Institutional Review Board Statement
Informed Consent Statement
Data Availability Statement
Acknowledgments
Conflicts of Interest
References
- Ahmad, S.Y.; Grimstad, J. Deterioration of concrete in hydroelectric concrete gravity dam and its characterization. Cem. Concr. Res. 2006, 36, 371–383. [Google Scholar]
- Hefny, A.M.; Lo, K.Y. Measurements of residual expansion rates resulting from alkali-aggregate reaction in existing concrete dams. ACI Mater. J. 1999, 96, 339–345. [Google Scholar]
- Takahashi, Y.; Ogawa, S.; Tanaka, Y.; Maekawa, K. Scale-dependent ASR expansion of concrete and its prediction coupled with silica gel generation and migration. J. Adv. Concr. Technol. 2016, 14, 444–463. [Google Scholar] [CrossRef] [Green Version]
- Dent-Glasser, R.S. Osmotic pressure and the swelling gels. Cem. Concr. Res. 1979, 9, 515–517. [Google Scholar] [CrossRef]
- Sørgaard, K.S.; Magne, L.R.; Hendriks, M.A.; Terje, K.; Gro, M. Load effects in reinforced concrete beam bridges affected by alkali–silica reaction—Constitutive modelling including expansion, cracking, creep and crushing. Eng. Struct. 2021, 245, 112945. [Google Scholar]
- Swamy, R.N. The Alkali-Silica Reaction in Concrete; Blackie and Son Ltd.: London, UK, 1992. [Google Scholar]
- Glasser, L.S.; Kataoka, N. The chemistry of ‘alkali-aggregate’ reaction. Cem. Concr. Res. 1981, 11, 1–9. [Google Scholar] [CrossRef]
- Sims, I.; Poole, A.B. Alkali-Aggregate Reaction in Concrete: A World Review; CRC Press: London, UK, 2017; p. 1278. [Google Scholar]
- Stanton, T.E. Expansion of concrete through reaction between cement and aggregate. In Transactions of the American Society of Civil Engineers; ASCE: Reston, VA, USA, 1940; Volume 6, pp. 1781–1811. [Google Scholar]
- Shon, C.S.; Mukhopadhyay, A.K.; Zollinger, D.G. Evaluation of alkali-silica reaction potential of aggregate using dilatometer method. In Proceedings of the 2006 Airfield and Highway Pavement Specialty Conference, Atlanta, GA, USA; 2006; pp. 646–658. [Google Scholar]
- Naghizadeh, A.; Ekolu, S.O. Activator-related effects of sodium hydroxide storage solution in standard testing of fly ash geopolymer mortars for alkali–silica reaction. Mater. Struct. 2022, 55, 22. [Google Scholar] [CrossRef]
- Tremblay, C.; Bérubé, M.A.; Fournier, B.; Thomas, M.D.; Folliard, K.J. Experimental investigation of the mechanisms by which LiNO3 is effective against ASR. Cem. Concr. Res. 2010, 40, 583–597. [Google Scholar] [CrossRef]
- Mitsunori, K.; Hirohito, F. Effects of lithium salts on ASR gel composition and expansion of mortars. Cem. Concr. Res. 2003, 33, 913–919. [Google Scholar]
- Durand, B. More results about the use of lithium salts and mineral admixtures to inhabit AAR in concrete. In Proceedings of the11th International Conference on AAR in Concrete, Quebec City, QC, Canada, 11–16 June 2000; pp. 623–632. [Google Scholar]
- Mo, X.Y.; Yua, C.J.; Xu, Z.Z. Long-term effectiveness and mechanism of LiOH in inhibiting alkali–silica reaction. Cem. Concr. Res. 2003, 33, 115–119. [Google Scholar] [CrossRef]
- Jing, L.; Masoud, M.; Yubao, Z.; Pengqiang, Z.; Maria, R.; Peyman, M. Utilizing Artificial Intelligence to Predict the Superplasticizer Demand of Self-Consolidating Concrete Incorporating Pumice, Slag, and Fly Ash Powders. Materials 2021, 14, 6792. [Google Scholar]
- Farshad, D.; Aref, S.; Nicolas, A.L.; Sepideh, N. Characterizing fiber reinforced concrete incorporating zeolite and metakaolin as natural pozzolans. Structures 2021, 34, 2617–2627. [Google Scholar]
- Ali, M.M.; Aref, S.; Ali, B.; Congrui, J.; Ramadan, A.; Togay, O.; Jorge, D. Strength optimization of cementitious composites reinforced by carbon nanotubes and Titania nanoparticles. Constr. Build. Mater. 2021, 303, 124510. [Google Scholar]
- Hobbs, D.W. Alkali-Silica Reaction in Concrete; Thomas Telford: London, UK, 1988. [Google Scholar]
- Tang, M.S.; Han, S.F. Kinetics of alkali-silica reaction. In Proceedings of the 6th International Congress on Alkalis in Concrete, Copenhagen, Denmark, 22–25 June 1983; pp. 261–267. [Google Scholar]
- Jensen, A.D.; Chatterji, S.; Christensen, P.; Thaulow, N.; Gudmundsson, H. Studies of Alkali-silica reaction-part I: A comparison of two accelerated test methods. Cem. Concr. Res. 1982, 12, 641–647. [Google Scholar] [CrossRef]
- ASTM C1293-08b; Potential Expansibility of Aggregates (Procedure for Length due to Alkali Aggregate Reaction in Concrete Prisms). ASTM: West Conshohocken, PA, USA, 2015.
- ASTM C1260-07; Standard Test Method for Potential Alkali Reactivity of Aggregates (Mortar-Bar Method). ASTM: West Conshohocken, PA, USA, 2007.
- ASTM C227-10; Standard Test Method for Potential Alkali Reactivity of Cement-Aggregate Combinations (Mortar-Bar Method). ASTM: West Conshohocken, PA, USA, 2010.
- ASTM C295-12; Standard Guide for Petrographic Examination of Aggregates for Concrete. ASTM: West Conshohocken, PA, USA, 2012.
- ASTM C289-07; Standard Test Method for Potential Reactivity of Aggregates for Concrete (Chemical Method). ASTM: West Conshohocken, PA, USA, 2007.
- Sommer, H.; Nixon, P.J.; Sims, I. RILEM AAR-5: Rapid preliminary screening test for carbonate aggregates. Mater. Struct. 2005, 38, 787–792. [Google Scholar] [CrossRef]
- Nie, D.; Wang, H.; Li, P.; Han, X.; Zhang, J.; Wang, C. A Methodology to Evaluate Long Term Durability of Dam Concrete Due to Calcium Leaching through Microscopic Tests and Numerical Analysis. Materials 2021, 14, 7819. [Google Scholar]
- Sun, Z.; Xu, Q. Microscopic, physical and mechanical analysis of polypropylene fiber reinforced concrete. Mater. Sci. Eng. A 2009, 527, 198–204. [Google Scholar] [CrossRef]
- Fournier, B.; Chevrier, R.; DeGrosbois, M.; Lisella, R.; Folliard, K.; Ideker, J.; Shehatad, M.; Thomas, M.; Baxter, S. The accelerated concrete prism test (60 °C): Variability of the test method and proposed expansion limits. In Proceedings of the 12th International Conference on Alkali-Aggregate Reaction in Concrete, Beijing, China, 15–19 October 2004; Volume I, pp. 314–323. [Google Scholar]
- Ingmar, B. Recommendation of RILEM TC 258-AAA: RILEM AAR-12: Determination of binder combinations for non-reactive mix design or the resistance to alkali-silica reaction of concrete mixes using concrete prisms −60 °C test method with alkali supply. Mater. Struct. 2021, 54, 204. [Google Scholar]
- Ideker, J.H.; East, B.L.; Folliard, K.J.; Thomas, M.D.A.; Fournier, B. The current state of the accelerated concrete prism test. Cem. Concr. Res. 2010, 40, 550–555. [Google Scholar] [CrossRef]
- Latifee, E.R.; Rangaraju, P.R. Miniature concrete prism test: Rapid test method for evaluating alkali-silica reactivity of aggregates. J. Mater. Civ. Eng. 2015, 27, 04014215. [Google Scholar] [CrossRef]
- Golmakani, F.; Hooton, R.D. Comparison of laboratory performance tests used to assess alkali-silica reactivity. In Resilient Infrastructure; Curran Associates Inc.: Red Hook, NY, USA, 2016; pp. 1167–1173. [Google Scholar]
- Kawabata, Y.; Dunant, C.; Yamada, K.; Scrivener, K. Impact of temperature on expansive behaviour of concrete with highly reactive andesite due to the alkali-silica reaction. Cem. Concr. Res. 2019, 125, 105888. [Google Scholar] [CrossRef]
- Folliard, K.J.; Ideker, J.H.; Thomas, M.D.A.; Fournier, B. Assessing aggregate reactivity using the accelerated concrete prism test. In Proceedings of the 7th CANMET/ACI International Conference on Recent Advances in Concrete Technology, Las Vegas, NV, USA, 26–29 May 2004; pp. 269–283. [Google Scholar]
- Ferche, A.C.; Vecchio, F.J. Mechanical Properties of Alkali-Silica Reaction-Affected Concrete. ACI Mater. J. 2022, 119, 251–262. [Google Scholar]
- Gautam, B.P.; Panesar, D.K. The effect of elevated conditioning temperature on the ASR expansion, cracking and properties of reactive Spratt aggregate concrete. Constr. Build. Mater. 2017, 140, 310–320. [Google Scholar] [CrossRef]
- Costa, U.; Mangialardi, T.; Paolini, A.E. Minimizing alkali leaching in the concrete prism expansion test at 38 °C. Constr. Build. Mater. 2017, 146, 547–554. [Google Scholar] [CrossRef]
- Berra, M.; Costa, U.; Mangialardi, T.; Paolini, A.E. Application of an innovative methodology to assessing the alkali-silica reaction in concrete. Mater. Struct. 2015, 48, 2727–2740. [Google Scholar] [CrossRef]
- Fournier, B.; Rogers, C. Multi-laboratory study of accelerated mortar bar test and concrete prism expansion tests at 38 and 60 °C. In Proceedings of the 13th International Conference on Alkali-Aggregate Reaction in Concrete (ICAAR), Trondheim, Norway, 16–20 June 2008. [Google Scholar]















| Material | Chemical Composition/wt.% | |||||||||
|---|---|---|---|---|---|---|---|---|---|---|
| SiO2 | Al2O3 | Fe2O3 | CaO | MgO | SO3 | K2O | Na2O | Loss | Total | |
| cement | 19.56 | 4.28 | 4.17 | 63.61 | 1.27 | 2.05 | 0.53 | 0.21 | 3.19 | 98.87 |
| Aggregates | Chemical Composition/wt.% | ||||||||
|---|---|---|---|---|---|---|---|---|---|
| SiO2 | Al2O3 | Fe2O3 | CaO | MgO | K2O | Na2O | Loss | Total | |
| JL | 61.00 | 16.62 | 8.51 | 1.75 | 3.16 | 3.35 | 1.50 | 3.73 | 99.82 |
| LHK | 64.35 | 15.87 | 5.31 | 1.24 | 1.91 | 2.82 | 1.55 | 3.81 | 97.00 |
| NHY | 72.35 | 2.26 | 13.02 | 1.14 | 0.25 | 4.39 | 2.64 | 1.13 | 97.18 |
| Aggregates | Mineralogical Composition/wt.% | |||||
|---|---|---|---|---|---|---|
| Quartz | Albite | Illite | Chlorite | Biotite | Calcite | |
| JL | 53.5 | 15.5 | 17.2 | 9.1 | 3.5 | 1.2 |
| LHK | 57.7 | 13.0 | 16.9 | 4.6 | 3.0 | 4.8 |
| NHY | 56.9 | 11.6 | 21.8 | 0.4 | 2.3 | 7.1 |
| Raw Materials | Chemical Composition/% | ||||||||
|---|---|---|---|---|---|---|---|---|---|
| SiO2 | Al2O3 | Fe2O3 | CaO | MgO | K2O | Na2O | Loss | Total | |
| FA | 49.47 | 20.44 | 15.47 | 5.33 | 1.25 | 1.59 | 0.62 | 1.71 | 95.88 |
| BFS | 33.52 | 14.43 | 0.76 | 39.48 | 7.57 | 0.29 | 0.42 | 0 | 96.47 |
| Number | SCMs/% | Materials/g | |||||
|---|---|---|---|---|---|---|---|
| Cement | FA | BFS | NaOH | Water | Water Reducing | ||
| 1 | 0 | 2290 | 0 | 0 | 20.9 | 1000 | 4.8 |
| 2 | 20 | 1832 | 458 | 0 | 18.47 | 1000 | 4.8 |
| 3 | 40 | 1374 | 916 | 0 | 13.85 | 1000 | 4.8 |
| 4 | 40 | 1374 | 0 | 916 | 13.85 | 1000 | 4.8 |
| 5 | 60 | 916 | 0 | 1374 | 9.23 | 1000 | 4.8 |
| 6 | 20/20 | 1374 | 458 | 458 | 13.85 | 1000 | 4.8 |
| 7 | 30/30 | 916 | 687 | 687 | 9.23 | 1000 | 4.8 |
Publisher’s Note: MDPI stays neutral with regard to jurisdictional claims in published maps and institutional affiliations. |
© 2022 by the authors. Licensee MDPI, Basel, Switzerland. This article is an open access article distributed under the terms and conditions of the Creative Commons Attribution (CC BY) license (https://creativecommons.org/licenses/by/4.0/).
Share and Cite
Yi, L.; Mao, Z.; Deng, M.; Liu, X.; Fan, Z.; Huang, X.; Zhang, T.; Tang, M. Rapid Test Method for Evaluating Inhibiting Effectiveness of Supplementary Cementitious Materials on Alkali–Silica Reaction Expansion of Concrete. Materials 2022, 15, 3202. https://doi.org/10.3390/ma15093202
Yi L, Mao Z, Deng M, Liu X, Fan Z, Huang X, Zhang T, Tang M. Rapid Test Method for Evaluating Inhibiting Effectiveness of Supplementary Cementitious Materials on Alkali–Silica Reaction Expansion of Concrete. Materials. 2022; 15(9):3202. https://doi.org/10.3390/ma15093202
Chicago/Turabian StyleYi, Lei, Zhongyang Mao, Min Deng, Xiang Liu, Zhiyuan Fan, Xiaojun Huang, Tao Zhang, and Mingshu Tang. 2022. "Rapid Test Method for Evaluating Inhibiting Effectiveness of Supplementary Cementitious Materials on Alkali–Silica Reaction Expansion of Concrete" Materials 15, no. 9: 3202. https://doi.org/10.3390/ma15093202
APA StyleYi, L., Mao, Z., Deng, M., Liu, X., Fan, Z., Huang, X., Zhang, T., & Tang, M. (2022). Rapid Test Method for Evaluating Inhibiting Effectiveness of Supplementary Cementitious Materials on Alkali–Silica Reaction Expansion of Concrete. Materials, 15(9), 3202. https://doi.org/10.3390/ma15093202
