Electrochemical Evaluation of Stress Corrosion Cracking Susceptibility of Ti-6Al-3Nb-2Zr-1Mo Alloy Welded Joint in Simulated Deep-Sea Environment
Abstract
:1. Introduction
2. Experimental Methods
2.1. Materials and Solution
2.2. Slow Strain Rate Testing
2.3. Electrochemical Testing
3. Results and Discussion
3.1. Selection of Applied Potential for SSRT
3.2. Evaluation of SCC Susceptibility Using Standard SSRT
3.2.1. Stress–Strain Curve Analysis
3.2.2. Fracture Morphology Observations
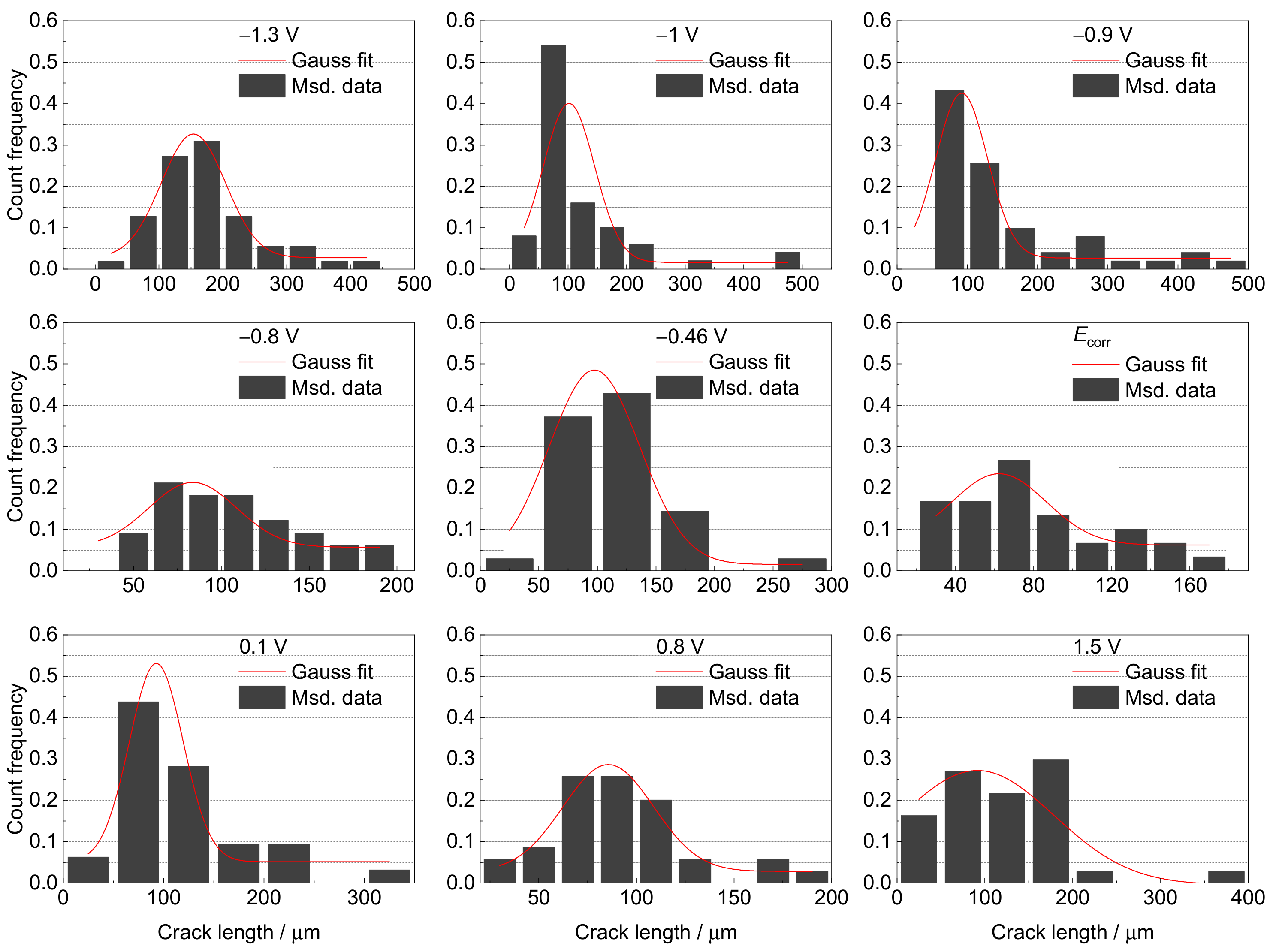
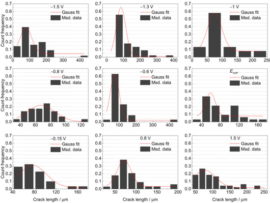
3.2.3. Statistical Analysis of the Number and Size of Cracks
3.3. Evaluation of SCC Susceptibility Using an Electrochemical Method
3.3.1. Potentiodynamic Polarization Analysis
3.3.2. Electrochemical Impedance Spectroscopy Analysis
3.3.3. Electrochemical Evaluation Model
4. Conclusions
- (1)
- Ti6321 GTAW-welded joints were fractured in the WM because the coarse martensite grains softened the microstructure and reduced its strength, leading to the localization of the stress field and plastic deformation in the thick secondary α phase.
- (2)
- Ti6321 welded joint exhibited higher stress corrosion susceptibility in a simulated deep-sea environment and at a strong polarization level owing to the diminishing protection of the passive film under passivation inhibition and the enhancement of the hydrogen effect. The applied potential affected the plasticity of the material but had little influence on its strength.
- (3)
- The potential-dependent SCC mechanism could be classified theoretically using potentiodynamic polarization at different scanning rates and dynamic electrochemical impedance spectroscopy measurements, that is, film-induced cleavage in the passivation region, slip dissolution in the activation region, cathodic protection in the transition region, and the hydrogen embrittlement region.
- (4)
- Strong polarization significantly increased SCC susceptibility, manifested by a decrease in plasticity. The sensitivity to HE was higher in the deep sea because of the increased tendency for hydrogen evolution. At approximately −0.8 V, the material received the best cathodic protection.
- (5)
- This study is of practical value to the deep-sea engineering application of Ti6321 and other titanium alloys, especially in the prediction of SCC susceptibility, the judgement of SCC mechanisms and the design of cathodic protection.
Author Contributions
Funding
Institutional Review Board Statement
Informed Consent Statement
Data Availability Statement
Conflicts of Interest
References
- Bagchi, A.; Gope, D.K.; Chattopadhyaya, S.; Wuriti, G. A critical review on susceptibility of stress corrosion cracking in maraging steel weldments. Mater. Today Proc. 2020, 27, 2303–2307. [Google Scholar] [CrossRef]
- Barella, S.; Mapelli, C.; Venturini, R. Investigation about the stress corrosion cracking of Ti-6Al-4V. Metall. Sci. Technol. 2013, 23, 19–26. [Google Scholar]
- Pazhanivel, B.; Sathiya, P.; Muthuraman, K.; Sozhan, G. Influence of NaCl environment on stress corrosion cracking of additive manufactured Ti-6Al-4V alloy. Eng. Fail. Anal. 2021, 127, 105515. [Google Scholar] [CrossRef]
- Liu, R.; Cui, Y.; Liu, L.; Zhang, B.; Wang, F.H. A primary study of the effect of hydrostatic pressure on stress corrosion cracking of Ti-6Al-4V alloy in 3.5% NaCl solution. Corros. Sci. 2020, 165, 108402. [Google Scholar] [CrossRef]
- Zeng, C.Y.; Zhang, Y.P.; Hu, J.L.; Hou, B.; Wang, H.Y.; Dong, C.; Zhou, Y. The role of microstructure on corrosion fatigue behavior of thick-plate Ti–6Al–4V joint via vacuum electron beam welding. Vacuum 2020, 182, 109714. [Google Scholar] [CrossRef]
- Newman, R.C.; Healey, C. Stability, validity and sensitivity to input parameters of the slip-dissolution model for stress-corrosion cracking. Corros. Sci. 2007, 49, 4040–4050. [Google Scholar] [CrossRef]
- Liu, H.W. A unified model of environment-assisted cracking. Acta Mater. 2008, 56, 4339–4348. [Google Scholar] [CrossRef]
- Ricker, R.E.; Fink, J.L.; Harris, J.S.; Shapiro, A.J. Evidence for film-induced cleavage in rhodium plated nickel. Scr. Metall. Mater. 1992, 26, 1019–1023. [Google Scholar] [CrossRef]
- Yan, Y.J.; Yan, Y.; He, Y.; Li, J.X.; Su, Y.J.; Qiao, L.J. Hydrogen-induced cracking mechanism of precipitation strengthened austenitic stainless steel weldment. Int. J. Hydrogen Energy 2015, 40, 2404–2414. [Google Scholar] [CrossRef]
- Birnbaum, H.K.; Sofronis, P. Hydrogen-enhanced localized plasticity—A mechanism for hydrogen-related fracture. Mater. Sci. Eng. A 1994, 176, 191–202. [Google Scholar] [CrossRef]
- Djukic, M.B.; Bakic, G.M.; Zeravcic, V.S.; Sedmak, A.; Rajicic, B. The synergistic action and interplay of hydrogen embrittlement mechanisms in steels and iron: Localized plasticity and decohesion. Eng. Fract. Mech. 2019, 216, 106528. [Google Scholar] [CrossRef]
- Ma, H.C.; Liu, Z.Y.; Du, C.W.; Wang, H.R.; Li, C.Y.; Li, X.G. Effect of cathodic potentials on the SCC behavior of E690 steel in simulated seawater. Mater. Sci. Eng. A 2015, 642, 22–31. [Google Scholar] [CrossRef]
- Liu, Z.Y.; Li, X.G.; Zhang, Y.R.; Du, C.W.; Zhai, G.L. Relationship between electrochemical characteristics and SCC of X70 pipeline steel in an acidic soil simulated solution. Acta Metall. Sin. (Engl. Lett.) 2009, 22, 58–64. [Google Scholar] [CrossRef] [Green Version]
- Liu, Z.Y.; Lu, L.; Huang, Y.Z.; Du, C.W.; Li, X.G. Mechanistic aspect of non-steady electrochemical characteristic during stress corrosion cracking of an X70 pipeline steel in simulated underground water. Corrosion 2014, 70, 678–685. [Google Scholar] [CrossRef]
- Su, B.X.; Luo, L.S.; Wang, B.B.; Su, Y.Q.; Wang, L.; Ritchie, R.O.; Guo, E.Y.; Li, T.; Yang, H.M.; Huang, H.G.; et al. Annealed microstructure dependent corrosion behavior of Ti-6Al-3Nb-2Zr-1Mo alloy. J. Mater. Sci. Technol. 2021, 62, 234–248. [Google Scholar] [CrossRef]
- Chi, G.F.; Jiang, B.; Yi, D.Q.; Yang, L.Y.; Pan, S.P.; Liu, H.Q.; Feng, C.; Mao, W.G. Effect of lamellar α on the stress corrosion cracking of Ti-6Al-4V alloy in simulated oilfield brine. Mater. Charact. 2021, 174, 111000. [Google Scholar] [CrossRef]
- Li, X.Q.; Wang, L.W.; Fan, L.; Cui, Z.Y.; Sun, M.X. Effect of temperature and dissolved oxygen on the passivation behavior of Ti-6Al-3Nb-2Zr-1Mo alloy in artificial seawater. J. Mater. Res. Technol. 2022, 17, 374–391. [Google Scholar] [CrossRef]
- Hu, Q.F.; Liu, Y.C.; Zhang, T.; Geng, S.J.; Wang, F.H. Modeling the corrosion behavior of Ni-Cr-Mo-V high strength steel in the simulated deep sea environments using design of experiment and artificial neural network. J. Mater. Sci. Technol. 2019, 35, 168–175. [Google Scholar] [CrossRef]
- Pan, Y.; Song, L.F.; Liu, Z.Y.; Hu, J.P.; Li, X.G. Effect of hydrogen charging on SCC of 2205 duplex stainless steel with varying microstructures in simulated deep-sea environment. Corros. Sci. 2022, 196, 110026. [Google Scholar] [CrossRef]
- Parkins, R.N. Predictive approaches to stress corrosion cracking failure. Corros. Sci. 1980, 20, 147–166. [Google Scholar] [CrossRef]
- Parkins, R.N. Mechanistic aspects of intergranular stress corrosion cracking of ferritic steels. Corrosion 1996, 52, 363–374. [Google Scholar] [CrossRef]
- Liu, Z.Y.; Li, X.G.; Cheng, Y.F. Mechanistic aspect of near-neutral pH stress corrosion cracking of pipelines under cathodic polarization. Corros. Sci. 2012, 55, 54–60. [Google Scholar] [CrossRef]
- Liu, Z.Y.; Zhai, G.L.; Du, C.W.; Li, X.G. SCC of X70 pipeline steel in simulated acid soil environment. Acta Metall. Sin. 2008, 44, 209–214. [Google Scholar]
- Fu, H.; Wang, W.; Zhao, H.Y.; Jin, F.; Li, J.X. Study of hydrogen-induced delayed fracture in high-Mn TWIP/TRIP steels during in situ electrochemical hydrogen-charging: Role of microstructure and strain rate in crack initiation and propagation. Corros. Sci. 2020, 162, 108191. [Google Scholar] [CrossRef]
- Wang, Y.-Z.; Ebtehaj, K.; Hardie, D.; Parkins, R.N. The behaviour of multiple stress corrosion cracks in a Mn-Cr and a Ni-Cr-Mo-V steel: II–Statistical characterization. Corros. Sci. 1995, 37, 1677–1703. [Google Scholar] [CrossRef]
- Dong, J.J.; Fan, L.; Zhang, H.B.; Xu, L.K.; Xue, L.L. Electrochemical performance of passive film formed on Ti-Al-Nb-Zr alloy in simulated deep sea environments. Acta Metall. Sin. (Engl. Lett.) 2020, 33, 595–604. [Google Scholar] [CrossRef]
- Zhou, L.B.; Yuan, T.C.; Tang, J.Z.; He, J.J.; Li, R.D. Mechanical and corrosion behavior of titanium alloys additively manufactured by selective laser melting—A comparison between nearly β titanium, α titanium and α + β titanium. Opt. Laser Technol. 2019, 119, 105625. [Google Scholar] [CrossRef]
- Liu, R.; Liu, L.; Wang, F.H. The role of hydrostatic pressure on the metal corrosion in simulated deep-sea environments—A review. J. Mater. Sci. Technol. 2022, 112, 230–238. [Google Scholar] [CrossRef]
- Li, Y.; Liu, Z.Y.; Fan, E.D.; Cui, Z.Y.; Zhao, J.B. The effect of crack tip environment on crack growth behaviour of a low alloy steel at cathodic potentials in artificial seawater. J. Mater. Sci. Technol. 2020, 54, 119–131. [Google Scholar] [CrossRef]
- Mai, W.J.; Soghrati, S. A phase field model for simulating the stress corrosion cracking initiated from pits. Corros. Sci. 2017, 125, 87–98. [Google Scholar] [CrossRef]
- Saito, M.; Smith, G.S.; Newman, R.C. Testing the film-induced cleavage model of stress-corrosion cracking. Corros. Sci. 1993, 35, 411–413, 415–417. [Google Scholar] [CrossRef]
- Kim, J.H.; Kim, Y.S.; Kim, J.G. Cathodic protection criteria of ship hull steel under flow condition in seawater. Ocean Eng. 2016, 115, 149–158. [Google Scholar] [CrossRef]
- Shao, H.B.; Wang, J.M.; He, W.C.; Zhang, J.Q.; Cao, C.N. EIS analysis on the anodic dissolution kinetics of pure iron in a highly alkaline solution. Electrochem. Commun. 2005, 7, 1429–1433. [Google Scholar] [CrossRef]
- Nakayama, G.; Sakakibara, Y.; Taniyama, Y.; Cho, H.; Jintoku, T.; Kawakami, S.; Takemoto, M. The long-term behaviors of passivation and hydride layer of commercial grade pure titanium in TRU waste disposal environments. J. Nucl. Mater. 2008, 379, 174–180. [Google Scholar] [CrossRef]
- Qiao, Y.X.; Xu, D.K.; Wang, S.; Ma, Y.J.; Chen, J.; Wang, Y.X.; Zhou, H.L. Effect of hydrogen charging on microstructural evolution and corrosion behavior of Ti-4Al-2V-1Mo-1Fe alloy. J. Mater. Sci. Technol. 2021, 60, 168–176. [Google Scholar] [CrossRef]
- Xie, D.G.; Li, S.Z.; Li, M.; Wang, Z.J.; Gumbsch, P.; Sun, J.; Ma, E.; Li, J.; Shan, Z.W. Hydrogenated vacancies lock dislocations in aluminium. Nat. Commun. 2016, 7, 13341. [Google Scholar] [CrossRef]
- Joseph, S.; Kontis, P.; Chang, Y.; Shi, Y.; Raabe, D.; Gault, B.; Dye, D. A cracking oxygen story: A new view of stress corrosion cracking in titanium alloys. Acta Mater. 2022, 227, 117687. [Google Scholar] [CrossRef]
- Zhao, T.L.; Wang, S.Q.; Liu, Z.Y.; Du, C.W.; Li, X.G. Effect of cathodic polarisation on stress corrosion cracking behaviour of a Ni(Fe, Al)-maraging steel in artificial seawater. Corros. Sci. 2021, 179, 109176. [Google Scholar] [CrossRef]


















| Solution Condition | Hydrostatic Pressure (MPa) | Temperature (°C) | Dissolved Oxygen (mg/L) | pH | Salinity (%) |
|---|---|---|---|---|---|
| 1500 m deep sea | 15 | 28.2 | 7.4 | 8.0 | 3.4 |
| Shallow sea | 0.1 | 2.9 | 3.5 | 8.1 | 3.4 |
| Solution Condition | Most Probable Length of Secondary Crack | |||||||||
|---|---|---|---|---|---|---|---|---|---|---|
| 1500 m deep sea | Potential (V) | −1.3 | −1 | −0.9 | −0.8 | −0.46 | Ecorr | 0.1 | 0.8 | 1.5 |
| Length (μm) | 153.8 | 101.5 | 92 | 83.7 | 97.5 | 62.3 | 92.7 | 85.6 | 91.5 | |
| Shallow sea | Potential (V) | −1.5 | −1.3 | −1 | −0.8 | −0.6 | Ecorr | −0.15 | 0.8 | 1.5 |
| Length (μm) | 78.1 | 85.3 | 75.0 | 67.3 | 73.2 | 59.2 | 77.0 | 71.6 | 77.2 | |
| Solution Condition | Potential Region | Corresponding Potential | Input Parameters | Output Coefficients |
|---|---|---|---|---|
| 1500 m deep sea | Region I | 0.8, 1.5 V | Iψ, Rp | kf = 23.77, Ia = 99.66 |
| Region II | Ecorr, 0.1 V | Iψ, if, is | kAD = −17.85, Ib = 17.27 | |
| Region III | −0.9, −0.8, −0.46 V | Iψ, if, is | kHE = −4.531 × 104, kAD = −38.80, Ic = 25.29 | |
| Region IV | −1.3, −1 V | Iψ, is | kHE = 3.706 × 103, Id = 26.95 | |
| Shallow sea | Region I | 0.8, 1.5, 2 V | Iψ, Rp | kf = 7.95, Ia = 57.65 |
| Region II | Ecorr, −0.15 V | Iψ, if, is | kAD = 5.878 × 103, Ib = 28.11 | |
| Region III | −1, −0.8, −0.6 V | Iψ, if, is | kHE = −1.314 × 106, kAD = −6.669 × 103, Ic = 31.32 | |
| Region IV | −1.5, −1.3 V | Iψ, is | kHE = 6.008 × 103, Id = 28.06 |
Publisher’s Note: MDPI stays neutral with regard to jurisdictional claims in published maps and institutional affiliations. |
© 2022 by the authors. Licensee MDPI, Basel, Switzerland. This article is an open access article distributed under the terms and conditions of the Creative Commons Attribution (CC BY) license (https://creativecommons.org/licenses/by/4.0/).
Share and Cite
Liu, H.; Bai, X.; Li, Z.; Fan, L.; Tang, J.; Lin, B.; Wang, Y.; Sun, M. Electrochemical Evaluation of Stress Corrosion Cracking Susceptibility of Ti-6Al-3Nb-2Zr-1Mo Alloy Welded Joint in Simulated Deep-Sea Environment. Materials 2022, 15, 3201. https://doi.org/10.3390/ma15093201
Liu H, Bai X, Li Z, Fan L, Tang J, Lin B, Wang Y, Sun M. Electrochemical Evaluation of Stress Corrosion Cracking Susceptibility of Ti-6Al-3Nb-2Zr-1Mo Alloy Welded Joint in Simulated Deep-Sea Environment. Materials. 2022; 15(9):3201. https://doi.org/10.3390/ma15093201
Chicago/Turabian StyleLiu, Haochen, Xuehan Bai, Zhen Li, Lin Fan, Junlei Tang, Bing Lin, Yingying Wang, and Mingxian Sun. 2022. "Electrochemical Evaluation of Stress Corrosion Cracking Susceptibility of Ti-6Al-3Nb-2Zr-1Mo Alloy Welded Joint in Simulated Deep-Sea Environment" Materials 15, no. 9: 3201. https://doi.org/10.3390/ma15093201
APA StyleLiu, H., Bai, X., Li, Z., Fan, L., Tang, J., Lin, B., Wang, Y., & Sun, M. (2022). Electrochemical Evaluation of Stress Corrosion Cracking Susceptibility of Ti-6Al-3Nb-2Zr-1Mo Alloy Welded Joint in Simulated Deep-Sea Environment. Materials, 15(9), 3201. https://doi.org/10.3390/ma15093201

