Evaluation of the Radiation Shielding Properties of a Tellurite Glass System Modified with Sodium Oxide
Abstract
:1. Introduction
2. Materials and Methods
2.1. Optical Properties
2.2. Radiation Shielding Parameters
3. Results and Discussion
3.1. Physical and Optical Parameters
3.2. Radiation Shielding Properties
4. Conclusions
Author Contributions
Funding
Institutional Review Board Statement
Informed Consent Statement
Data Availability Statement
Acknowledgments
Conflicts of Interest
References
- Aboudeif, Y.M.; Alqahtani, M.S.; Massoud, E.E.; Yaha, I.S.; Yousef, E. An evaluation of the radiation protection characteristics of prototyped oxide glasses utilising Phy-X/PSD software. J. Instrum. 2020, 15, P08005. [Google Scholar] [CrossRef]
- Alqahtani, M.S.; Almarhaby, A.M.; Hussein, K.I.; Aboudeif, Y.M.; Afifi, H.; Zahran, H.; Yaha, I.S.; Grelowska, I.; Yousef, E.S. Radiation attenuation and photoluminescence properties of host tellurite glasses doped with Er3+ ions. J. Instrum. 2021, 16, P01002. [Google Scholar] [CrossRef]
- Al-Buriahi, M.S.; Rammah, Y.S. Electronic polarizability, dielectric, and gamma-ray shielding properties of some tellurite-based glasses. Appl. Phys. A 2019, 125, 678. [Google Scholar] [CrossRef]
- Al-Buriahi, M.S.; Mann, K.S. Radiation shielding investigations for selected tellurite-based glasses belonging to the TNW system. Mater. Res. Express 2019, 6, 105206. [Google Scholar] [CrossRef]
- Rammah, Y.S.; Al-Buriahi, M.S.; Abouhaswa, A.S. B2O3–BaCO3–Li2O3 glass system doped with Co3O4: Structure, optical, and radiation shielding properties. Phys. B Condens. Matter 2020, 576, 411717. [Google Scholar] [CrossRef]
- Mohammed, S.B.; Baris, T.T. Study on gamma-ray buildup factors of bismuth borate glasses. Appl. Phys. 2019, 125, 482. [Google Scholar]
- Susoy, G.; Altunsoy Guclu, E.E.; Ozge, K.; Kamislioglu, M.; Al-Buriahi, M.S.; Abuzaid, M.M.; Tekin, H.O. The impact of Cr2O3 additive on nuclear radiation shielding properties of LiF-SrO-B2O3 glass system. Mater. Chem. Phys. 2019, 242, 122481. [Google Scholar] [CrossRef]
- Tekin, H.O.; Kassab, L.R.P.; Issa Shams, A.M.; Martins, M.M.; Bontempo, L.; da Silva Mattos, G.R. Newly developed BGO glasses: Synthesis, optical and nuclear radiation shielding properties. Ceram. Int. 2020, 46, 11861–11873. [Google Scholar] [CrossRef]
- Agar, O.; Khattari, Z.Y.; Sayyed, M.I.; Tekin, H.O.; Al-Omari, S.; Maghrabi, M.; Zaid, M.H.M.; Kityk, I.V. Evaluation of the shielding parameters of alkaline earth based phosphate glasses using MCNPX code. Results Phys. 2019, 12, 101–106. [Google Scholar] [CrossRef]
- Metwalli, E.; Karabulut, M.; Sidebottom, D.L.; Morsi, M.M.; Brow, R.K. Properties and structure of copper ultraphosphate glasses. J. Non-Cryst. Solids 2004, 344, 128–134. [Google Scholar] [CrossRef]
- Salehizadeh, S.A.; Melo, B.M.G.; Freire, F.N.A.; Valente, M.A.; Graça, M.P.F. Structural and electrical properties of TeO2–V2O5–K2O glassy systems. J. NonCryst. Solids 2016, 443, 65–74. [Google Scholar] [CrossRef]
- Souri, D.; Zaliani, H.; Mirdawoodi, E.; Zendehzaban, M. Thermal stability of Sb–V2O5–TeO2 semiconducting oxide glasses using thermal analysis. Measurement 2016, 82, 19–25. [Google Scholar] [CrossRef]
- Elkhoshkhany, N.; El-Mallawany, R.; Eslam, S. Mechanical and thermal properties of TeO2–Bi2O3–V2O5–Na2O–TiO2 glass system. Ceram. Int. 2016, 42, 19218–19224. [Google Scholar] [CrossRef]
- Sayyed, M.; Elhouichet, H. Variation of energy absorption and exposure buildup factors with incident photon energy and penetration depth for boro-tellurite (B2O3-TeO2) glasses. Radiat. Phys. Chem. 2017, 130, 335–342. [Google Scholar] [CrossRef]
- Azlan, M.N.; Halimah, M.K.; Suriani, A.B.; Azlina, Y.; El-Mallawany, R. Electronic polarizability and third-order nonlinearity of Nd3þ doped borotellurite glass for potential optical fiber. Mater. Chem. Phys. 2019, 236, 121812. [Google Scholar] [CrossRef]
- Aşkın, M.I.; Sayyed, M.I.; Amandeep, S.; Dal, M.; El-Mallawany, R.; Kaçal, M.R. Investigation ofthe gamma ray shielding parameters of (100 − x)[0.5Li2O–0.1B2O3–0.4P2O5]-xTeO2 glasses using Geant4 and FLUKA codes. J. Non-Cryst. Solids 2019, 521, 119489. [Google Scholar] [CrossRef]
- Bilir, G.; Ayfer, K.; Hatun, C.; Gönül, E. Spectroscopic investigation of zinc tellurite glasses doped with Yb3+ and Er3+ ions. Spectrochim. Acta Part A Mol. Biomol. Spectrosc. 2016, 165, 183–190. [Google Scholar] [CrossRef]
- Upender, G.; Prasad, M. Raman, FTIR, thermal and optical properties of TeO2-Nb2O5-B2O3-V2O5 quaternary glass system. J. Taibah Univ. Sci. 2016, 11, 583–592. [Google Scholar]
- Elkhoshkhany, N.; Rafik Abbas, R.; El-Mallawany, R.; Hathot, S.F. Optical properties and crystallization of bismuth boro-tellurite glasses. J. Non-Cryst. Solids 2017, 476, 15–24. [Google Scholar] [CrossRef]
- Sayyed, M.I.; Albarzan, B.; Almuqrin, A.H.; El-Khatib, A.M.; Kumar, A.; Tishkevich, D.I.; Trukhanov, A.V.; Elsafi, M. Experimental and Theoretical Study of Radiation Shielding Features of CaO-K2O-Na2O-P2O5 Glass Systems. Materials 2021, 14, 3772. [Google Scholar] [CrossRef]
- Kumar, A. Gamma ray shielding properties of PbO-Li2O-B2O3 glasses. Radiat. Phys. Chem. 2017, 136, 50–53. [Google Scholar] [CrossRef]
- Zamyatin, O.A.; Churbanov, M.F.; Plotnichenko, V.G.; Zamyatina, E.V. Optical properties of the MoO3-TeO2 glasses doped with Ni2+-ions. J. NonCryst. Solids 2018, 480, 74–80. [Google Scholar] [CrossRef]
- Yousef, E.S. Deduction of kinetics parameters in composition: Tellurite–phosphate–sodium oxide. Solid State Sci. 2013, 19, 136–143. [Google Scholar] [CrossRef]
- Şakar, E.; Özgür, Ö.F.; Alım, B.; Sayyed, M.; Kurudirek, M. Phy-X/PSD: Development of a user friendly online software for calculation of parameters relevant to radiation shielding and dosimetry. Radiat. Phys. Chem. 2020, 166, 108496. [Google Scholar] [CrossRef]
- Hussein, K.I.; Alqahtani, M.S.; Algarni, H.; Zahran, H.Y.; Yaha, I.S.; Grelowska, I.; Reben, M.; Yousef, E.S. MIKE: A new computational tool for investigating radiation, optical and physical properties of prototyped shielding materials. J. Instrum. 2021, 16, T07004. [Google Scholar] [CrossRef]
- Schott, Co. Available online: https://www.schott.com/advanced_optics/english/products/optical-materials/special-materials/radiation-shielding-glasses/index.html (accessed on 15 March 2022).
- Mochida, N.K.; Takahashi, K.; Nakata, K.; Shibusawa, S. Properties and structure of the binary tellurite glasses containing mono-and di-valent cations. J. Ceram. Assoc. Jpn. 1978, 86, 317–326. [Google Scholar] [CrossRef]
- Maheshvaran, K.; Linganna, K.; Marimuthu, K. Composition dependent structural and optical properties of Sm3+ doped boro-tellurite glasses. J. Lumin. 2011, 131, 2746–2753. [Google Scholar] [CrossRef]
- Hubbell, J.H.; Seltzer, S.M. Tables of X-ray Mass Attenuation Coefficients and Mass Energy-Absorption Coefficients 1 keV to 20 MeV for Elements Z = 1 to 92 and 48 Additional Substances of Dosimetric Interest; 1995-PL.; National Institute of Standards and Technology: Gaithersburg, MD, USA, 1995.
- Hubbell, J.H. Review of photon interaction cross section data in the medical and biological context. Phys. Med. Biol. 1999, 44, R1–R22. [Google Scholar] [CrossRef]
- Singh, V.P.; Medhat, M.; Shirmardi, S. Comparative studies on shielding properties of some steel alloys using Geant4, MCNP, WinXCOM and experimental results. Radiat. Phys. Chem. 2015, 106, 255–260. [Google Scholar] [CrossRef]
- Sayyed, M.I.; Kumar, A.; Tekin, H.O.; Kaur, R.; Singh, M.; Agar, O.; Khandaker, M.U. Evaluation of gamma-ray and neutron shielding features of heavy metals doped Bi2O3-BaO-Na2O-MgO-B2O3 glass systems. Prog. Nucl. Energy 2020, 118, 103118. [Google Scholar] [CrossRef]
- Mahmoud, I.; Issa, S.A.; Saddeek, Y.B.; Tekin, H.; Kilicoglu, O.; Alharbi, T.; Sayyed, M.; Erguzel, T.; Elsaman, R. Gamma, neutron shielding and mechanical parameters for lead vanadate glasses. Ceram. Int. 2019, 45, 14058–14072. [Google Scholar] [CrossRef]
- Kurudirek, M. Effective atomic numbers and electron densities of some human tissues and dosimetric materials for mean energies of various radiation sources relevant to radiotherapy and medical applications. Radiat. Phys. Chem. 2014, 102, 139–146. [Google Scholar] [CrossRef]
- Al-Buriahi, M.S.; Arslan, H.; Toguc, B.T. Investigation of photon energy absorption properties for some biomolecules. Nucl. Sci. Tech. 2019, 30, 103. [Google Scholar] [CrossRef]
- Manohara, S.; Hanagodimath, S.; Gerward, L.; Subhranshu, S. Energy-absorption buildup factors of some fluorides and sulfates: Thermoluminescent dosimetric materials. Mater. Today Proc. 2019, 10, 20–24. [Google Scholar] [CrossRef]
- Halimah, M.K.; Hasnimulyati, L.; Zakaria, A.; Halim, S.A.; Ishak, M.; Azuraida, A.; Al-Hada, N.M. Influence of gamma radiation on the structural and optical properties of thulium-doped glass. Mater. Sci. Eng. B 2017, 226, 158–163. [Google Scholar] [CrossRef]
- Sakida, S.; Hayakawa, S.; Yoko, T. Part 2. T125 NMR study of M2O-TeO2 (M=Li, Na, K, Pb and Cs) glasses. J. Non-Cryst. Soilds. 1999, 243, 13–25. [Google Scholar] [CrossRef]
- Mhareb, M.H.A.; Hashim, S.; Sharbirin, A.S.; Alajerami, Y.S.M.; Dawaud, R.S.E.S.; Tamchek, N. Physical and optical properties of Li2O-MgO-B2O3 doped with Dy3+. Opt. Spectrosc. 2014, 117, 552–559. [Google Scholar] [CrossRef]
- Davis, E.A.; Mott, N.F. Conduction in non-crystalline systems V. Conductivity, optical absorption and photoconductivity in amorphous semiconductors. Philos. Mag. 1970, 22, 903–922. [Google Scholar] [CrossRef]
- Abouhaswa, A.S.; Rammah, Y.S.; Ibrahim, S.E.; El-Hamalawy, A.A. Optical Structural, and electrical characterization of borate glasses doped with SnO2. J. Non-Cryst. Solids 2018, 494, 59–65. [Google Scholar] [CrossRef]
- Laariedh, F.; Sayyed, M.I.; Kumar, A.; Tekin, H.O.; Kaur, R.; Badeche, T.B. Studies on the structural, optical and radiation shielding properties of (50 − x)PbO–10WO3–10Na2O–10MgO–(20 + x)B2O3 glasses. J. Non Cryst. Solids 2019, 512, 159–166. [Google Scholar] [CrossRef]
- Urbach, F. The Long-Wavelength Edge of Photographic Sensitivity and of the Electronic Absorption of Solids. Phys. Rev. Ser. I 1953, 92, 1324. [Google Scholar] [CrossRef]
- Rammah, Y.S.; Awad, E.M. Modifications of the optical properties for DAM-ADC nuclear track detector exposed to alpha particles. Radiat. Phys. Chem. 2018, 146, 42–46. [Google Scholar] [CrossRef]








| Sample Code | Composition (mol%) | Density in g cm−3 ± 0.037 [25] | Refractive Index ± 0.0002 |
|---|---|---|---|
| TPN1 | 70TeO2–15P2O5–15Na2O | 4.602 | 2.1281 |
| TPN2 | 65TeO2–15P2O5–20Na2O | 4.344 | 2.089 |
| TPN3 | 60TeO2–15P2O5–25Na2O | 4.149 | 2.0681 |
| Sample Code | VM (cm3·mol−1) | VO (cm3·mol−1) | OPD (mol·dm−3) | Energy Gap, Eopt (eV) ±0.0047 eV | Urbach Energy, ΔE (eV) ±0.0016 |
|---|---|---|---|---|---|
| TPN1 | 30.923 | 13.445 | 74.378 | 3.006 | 0.3726 |
| TPN2 | 31.636 | 14.061 | 71.121 | 2.876 | 0.3146 |
| TPN3 | 31.950 | 14.521 | 68.864 | 2.695 | 0.4804 |
| Sample Code | (M) (±0.001) | ε | εO | |||
|---|---|---|---|---|---|---|
| TPN1 | 16.714 | 0.130 | 6.633 | 0.459 | 4.529 | 3.529 |
| TPN2 | 16.722 | 0.124 | 6.635 | 0.471 | 4.364 | 3.364 |
| TPN3 | 16.678 | 0.121 | 6.618 | 0.478 | 4.277 | 3.277 |
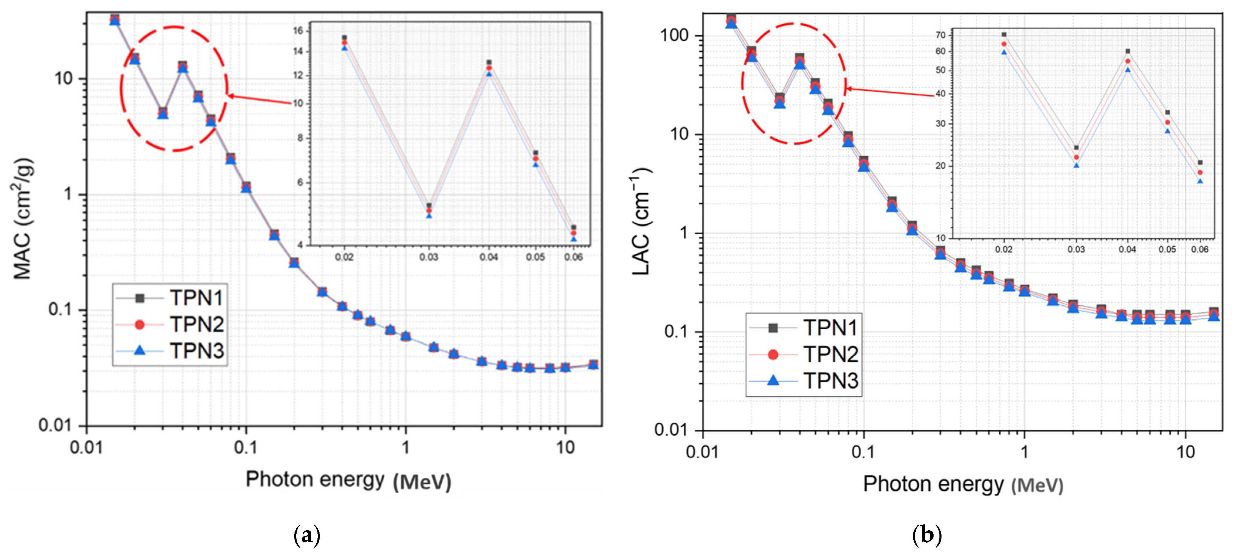
| Photon Energy | MAC (cm2/g) | LAC (cm−1) | ||||||||||
|---|---|---|---|---|---|---|---|---|---|---|---|---|
| MIKE | Phy-X | MIKE | Phy-X | |||||||||
| TPN1 | TPN2 | TPN3 | TPN1 | TPN2 | TPN3 | TPN1 | TPN2 | TPN3 | TPN1 | TPN2 | TPN3 | |
| 0.015 | 33.384 | 32.28 | 31.094 | 33.381 | 32.277 | 31.092 | 153.62 | 140.21 | 129 | 153.63 | 140.22 | 129.01 |
| 0.02 | 15.366 | 14.855 | 14.305 | 15.367 | 14.855 | 14.306 | 70.719 | 64.532 | 59.356 | 70.72 | 64.53 | 59.35 |
| 0.03 | 5.1889 | 5.0173 | 4.833 | 5.189 | 5.0170 | 4.833 | 23.878 | 21.794 | 20.051 | 23.88 | 21.79 | 20.05 |
| 0.04 | 13.100 | 12.612 | 12.088 | 13.098 | 12.609 | 12.085 | 60.275 | 54.775 | 50.142 | 60.29 | 54.79 | 50.15 |
| 0.05 | 7.2875 | 7.0182 | 6.7291 | 7.287 | 7.0180 | 6.7290 | 33.536 | 30.486 | 27.918 | 33.54 | 30.49 | 27.92 |
| 0.06 | 4.5018 | 4.3376 | 4.1612 | 4.502 | 4.3380 | 4.1610 | 20.718 | 18.843 | 17.266 | 20.72 | 18.84 | 17.26 |
| 0.08 | 2.1103 | 2.0362 | 1.9566 | 2.110 | 2.0360 | 1.9570 | 9.7112 | 8.8448 | 8.1175 | 9.710 | 8.850 | 8.120 |
| 0.1 | 1.1904 | 1.1508 | 1.1083 | 1.190 | 1.1510 | 1.1080 | 5.4778 | 4.9988 | 4.5981 | 5.480 | 5.000 | 4.600 |
| 0.15 | 0.4586 | 0.4462 | 0.4329 | 0.459 | 0.4460 | 0.4330 | 2.1106 | 1.9383 | 1.796 | 2.110 | 1.940 | 1.800 |
| 0.2 | 0.2612 | 0.2558 | 0.2501 | 0.261 | 0.2560 | 0.2500 | 1.2019 | 1.1112 | 1.0375 | 1.200 | 1.110 | 1.040 |
| 0.3 | 0.1449 | 0.1434 | 0.1417 | 0.145 | 0.1430 | 0.1420 | 0.6668 | 0.6227 | 0.5879 | 0.670 | 0.620 | 0.590 |
| 0.4 | 0.1083 | 0.1077 | 0.1071 | 0.108 | 0.1080 | 0.1070 | 0.4985 | 0.468 | 0.4445 | 0.500 | 0.470 | 0.440 |
| 0.5 | 0.0907 | 0.0905 | 0.0903 | 0.091 | 0.0910 | 0.0900 | 0.4176 | 0.3932 | 0.3746 | 0.420 | 0.390 | 0.370 |
| 0.6 | 0.0801 | 0.0800 | 0.0800 | 0.080 | 0.0800 | 0.0800 | 0.3686 | 0.3477 | 0.3318 | 0.370 | 0.350 | 0.330 |
| 0.8 | 0.0671 | 0.0672 | 0.0673 | 0.067 | 0.0670 | 0.0670 | 0.309 | 0.292 | 0.2792 | 0.310 | 0.290 | 0.280 |
| 1 | 0.0591 | 0.0592 | 0.0593 | 0.059 | 0.0590 | 0.0590 | 0.2718 | 0.257 | 0.246 | 0.270 | 0.260 | 0.250 |
| 1.5 | 0.0475 | 0.0476 | 0.0477 | 0.047 | 0.0480 | 0.0480 | 0.2184 | 0.2067 | 0.1979 | 0.220 | 0.210 | 0.200 |
| 2 | 0.0416 | 0.0417 | 0.0418 | 0.042 | 0.0420 | 0.0420 | 0.1915 | 0.1811 | 0.1733 | 0.190 | 0.180 | 0.170 |
| 3 | 0.0360 | 0.0359 | 0.0359 | 0.036 | 0.0360 | 0.0360 | 0.1655 | 0.1561 | 0.149 | 0.170 | 0.160 | 0.150 |
| 4 | 0.0335 | 0.0334 | 0.0333 | 0.033 | 0.0330 | 0.0330 | 0.1541 | 0.145 | 0.1381 | 0.150 | 0.150 | 0.140 |
| 5 | 0.0323 | 0.0322 | 0.0320 | 0.032 | 0.0320 | 0.0320 | 0.1488 | 0.1397 | 0.1327 | 0.150 | 0.140 | 0.130 |
| 6 | 0.0318 | 0.0316 | 0.0313 | 0.032 | 0.0320 | 0.0310 | 0.1464 | 0.1372 | 0.13 | 0.150 | 0.140 | 0.130 |
| 8 | 0.0318 | 0.0314 | 0.0311 | 0.032 | 0.0310 | 0.0310 | 0.1461 | 0.1365 | 0.129 | 0.150 | 0.140 | 0.130 |
| 10 | 0.0323 | 0.0319 | 0.0315 | 0.032 | 0.0320 | 0.0310 | 0.1486 | 0.1385 | 0.1305 | 0.150 | 0.140 | 0.130 |
| 15 | 0.0343 | 0.0337 | 0.0331 | 0.034 | 0.0340 | 0.0330 | 0.1577 | 0.1465 | 0.1375 | 0.160 | 0.150 | 0.140 |
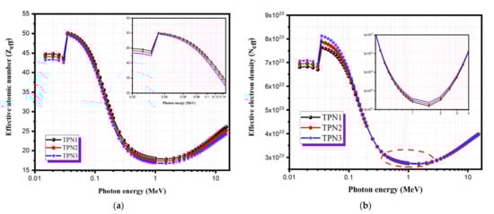
| Photon Energy | Zeff | Neff ×1023 (Electrons. Gram−1) | ||||||||||
|---|---|---|---|---|---|---|---|---|---|---|---|---|
| MIKE | Phy-X | MIKE | Phy-X | |||||||||
| TPN1 | TPN2 | TPN3 | TPN1 | TPN2 | TPN3 | TPN1 | TPN2 | TPN3 | TPN1 | TPN2 | TPN3 | |
| 0.015 | 44.697 | 43.985 | 43.191 | 44.7 | 43.98 | 43.19 | 6.81 | 6.94 | 7.07 | 6.80 | 6.94 | 7.10 |
| 0.02 | 44.813 | 44.121 | 43.35 | 44.81 | 44.12 | 43.35 | 6.83 | 6.96 | 7.09 | 6.80 | 6.96 | 7.10 |
| 0.03 | 44.015 | 43.304 | 42.512 | 44.02 | 43.3 | 42.51 | 6.71 | 6.83 | 6.95 | 6.70 | 6.83 | 7.00 |
| 0.04 | 49.833 | 49.614 | 49.363 | 49.83 | 49.61 | 49.36 | 7.59 | 7.83 | 8.07 | 7.60 | 7.83 | 8.10 |
| 0.05 | 49.082 | 48.806 | 48.489 | 49.08 | 48.81 | 48.49 | 7.48 | 7.69 | 7.93 | 7.50 | 7.70 | 7.90 |
| 0.06 | 48.066 | 47.714 | 47.313 | 48.07 | 47.71 | 47.31 | 7.32 | 7.53 | 7.74 | 7.30 | 7.53 | 7.70 |
| 0.08 | 45.365 | 44.834 | 44.235 | 45.37 | 44.83 | 44.24 | 6.91 | 7.07 | 7.24 | 6.90 | 7.07 | 7.20 |
| 0.1 | 42.119 | 41.416 | 40.634 | 42.12 | 41.41 | 40.63 | 6.42 | 6.53 | 6.65 | 6.40 | 6.53 | 6.60 |
| 0.15 | 34.100 | 33.172 | 32.176 | 34.10 | 33.17 | 32.18 | 5.19 | 5.23 | 5.26 | 5.20 | 5.23 | 5.30 |
| 0.2 | 28.360 | 27.44 | 26.478 | 28.36 | 27.44 | 26.48 | 4.32 | 4.33 | 4.33 | 4.30 | 4.33 | 4.30 |
| 0.3 | 22.653 | 21.877 | 21.085 | 22.65 | 21.88 | 21.09 | 3.45 | 3.45 | 3.45 | 3.50 | 3.45 | 3.40 |
| 0.4 | 20.403 | 19.72 | 19.028 | 20.40 | 19.72 | 19.03 | 3.11 | 3.11 | 3.11 | 3.10 | 3.11 | 3.10 |
| 0.5 | 19.359 | 18.726 | 18.087 | 19.36 | 18.73 | 18.09 | 2.95 | 2.95 | 2.96 | 2.90 | 2.95 | 3.00 |
| 0.6 | 18.804 | 18.199 | 17.591 | 18.80 | 18.20 | 17.59 | 2.87 | 2.87 | 2.88 | 2.90 | 2.87 | 2.90 |
| 0.8 | 18.253 | 17.677 | 17.099 | 18.25 | 17.68 | 17.10 | 2.78 | 2.79 | 2.79 | 2.80 | 2.79 | 2.80 |
| 1 | 17.994 | 17.432 | 16.869 | 17.99 | 17.43 | 16.87 | 2.74 | 2.75 | 2.76 | 2.80 | 2.77 | 2.80 |
| 1.5 | 17.846 | 17.293 | 16.738 | 17.85 | 17.29 | 16.74 | 2.72 | 2.73 | 2.74 | 2.70 | 2.75 | 2.80 |
| 2 | 18.064 | 17.498 | 16.931 | 18.06 | 17.50 | 16.93 | 2.75 | 2.76 | 2.77 | 2.80 | 2.76 | 2.80 |
| 3 | 18.853 | 18.244 | 17.632 | 18.85 | 18.24 | 17.63 | 2.87 | 2.88 | 2.88 | 2.90 | 2.88 | 2.90 |
| 4 | 19.750 | 19.095 | 18.435 | 19.75 | 19.10 | 18.44 | 3.01 | 3.01 | 3.02 | 3.00 | 3.01 | 3.00 |
| 5 | 20.632 | 19.934 | 19.228 | 20.63 | 19.93 | 19.23 | 3.14 | 3.15 | 3.15 | 3.10 | 3.14 | 3.10 |
| 6 | 21.442 | 20.707 | 19.961 | 21.44 | 20.70 | 19.96 | 3.27 | 3.27 | 3.27 | 3.30 | 3.27 | 3.30 |
| 8 | 22.86 | 22.065 | 21.255 | 22.86 | 22.06 | 21.25 | 3.48 | 3.48 | 3.48 | 3.50 | 3.48 | 3.50 |
| 10 | 24.024 | 23.186 | 22.327 | 24.02 | 23.19 | 22.33 | 3.66 | 3.66 | 3.65 | 3.70 | 3.66 | 3.70 |
| 15 | 26.105 | 25.200 | 24.267 | 26.11 | 25.20 | 24.27 | 3.98 | 3.98 | 3.97 | 4.00 | 3.98 | 4.00 |
Publisher’s Note: MDPI stays neutral with regard to jurisdictional claims in published maps and institutional affiliations. |
© 2022 by the authors. Licensee MDPI, Basel, Switzerland. This article is an open access article distributed under the terms and conditions of the Creative Commons Attribution (CC BY) license (https://creativecommons.org/licenses/by/4.0/).
Share and Cite
Hussein, K.I.; Alqahtani, M.S.; Meshawi, A.A.; Alzahrani, K.J.; Zahran, H.Y.; Alshehri, A.M.; Yahia, I.S.; Reben, M.; Yousef, E.S. Evaluation of the Radiation Shielding Properties of a Tellurite Glass System Modified with Sodium Oxide. Materials 2022, 15, 3172. https://doi.org/10.3390/ma15093172
Hussein KI, Alqahtani MS, Meshawi AA, Alzahrani KJ, Zahran HY, Alshehri AM, Yahia IS, Reben M, Yousef ES. Evaluation of the Radiation Shielding Properties of a Tellurite Glass System Modified with Sodium Oxide. Materials. 2022; 15(9):3172. https://doi.org/10.3390/ma15093172
Chicago/Turabian StyleHussein, Khalid I., Mohammed S. Alqahtani, Arwa A. Meshawi, Khloud J. Alzahrani, Heba Y. Zahran, Ali M. Alshehri, Ibrahim S. Yahia, Manuela Reben, and El Sayed Yousef. 2022. "Evaluation of the Radiation Shielding Properties of a Tellurite Glass System Modified with Sodium Oxide" Materials 15, no. 9: 3172. https://doi.org/10.3390/ma15093172
APA StyleHussein, K. I., Alqahtani, M. S., Meshawi, A. A., Alzahrani, K. J., Zahran, H. Y., Alshehri, A. M., Yahia, I. S., Reben, M., & Yousef, E. S. (2022). Evaluation of the Radiation Shielding Properties of a Tellurite Glass System Modified with Sodium Oxide. Materials, 15(9), 3172. https://doi.org/10.3390/ma15093172

