Experimental Research on Mechanical Properties and Compression Constitutive Relationship of PVA Fiber-Reinforced Coral Concrete
Abstract
:1. Introduction
2. Materials and Methods
2.1. Materials and Properties
2.2. Mix Proportion
2.3. Specimen Production
2.4. Test Procedures
3. Results and Discussion
3.1. Basic Physical and Mechanical Properties
3.1.1. Working Performance
3.1.2. Test Phenomenon
3.1.3. Mechanical Properties
3.2. Discussions on Uniaxial Compression Stress–Strain Curves
3.2.1. Test Results
3.2.2. Toughness Index
3.2.3. Numerical Modeling
3.2.4. Determination of Parameters and Model Validation
4. Conclusions
- According to a certain proportion of silica fume, slag, P.O. 42.5 cement, coral coarse and fine aggregate, artificial sea water, etc., coral aggregate–seawater concrete with the compressive strength of 30 to 50 MPa and good performance can be prepared.
- With an increase of PVA fiber content, the slump and dispersion of coral concrete decreases significantly. In order to ensure the working performance of coral concrete, it is suggested that the PVA fiber content of coral concrete should not exceed 5 kg/m3 in marine environment construction, and not exceed 2 kg/m3 if using pumping construction.
- With increasing strength of coral concrete, the elastic modulus, Poisson’s ratio and peak strain increase, but the residual stress and the toughness decrease.
- PVA fiber effectively improves the compression strength of coral concrete, as well as the ductility and mechanical properties after peak load. Compared with the reference coral concrete, the maximum growth rate of cubic compressive strength fcu is up to 9.9%. The optimal amount of PVA fibers to optimize mechanical properties of coral concrete is about 2–3 kg/m3.
- PVA fiber has remarkable effect on improving the toughness of coral concrete. When the fiber content ranges from 0.8 to 6.5 kg/m3, the toughness index δ of coral concrete increases by 2.9% to 10.1%, and the brittleness index β decreases by 15.3–28.8%.
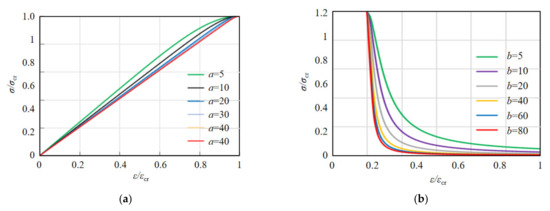
- The constitutive relationship of plain and PVA fiber-reinforced coral concrete can be described by the recommended piecewise function model and the proposed approach to determining critical parameter a and b. In addition, through analysis of the model, the optimal PVA fiber content of coral concrete may be 4 kg/m3.
- To meet the requirements of structure design and environmental benefits, it plays a very important guiding role in the engineering application of coral concrete to optimize the mix ratio design and improve the corrosion resistance, high temperature resistance and drying shrinkage resistance of coral concrete structure. However, more validation experiments are needed though.
Author Contributions
Funding
Data Availability Statement
Acknowledgments
Conflicts of Interest
References
- Dempsey, G. Coral and salt water as concrete materials. J. Am. Concr. Inst. 1951, 48, 157–166. [Google Scholar]
- Narver, D.L. Good concrete made with coral and water. Civ. Eng. 1964, 24, 654–858. [Google Scholar]
- Ehlert, R. Coral concrete at bikini atoll. Concr. Int. 1991, 13, 19–24. [Google Scholar]
- Howdyshell, P.A. The Use of Coral as an Aggregate for Portland Cement Concrete Structures; Army Construction Engineering Research Laboratory: Champaign, IL, USA, 1974. [Google Scholar]
- Yuan, Y.F. Mix Design and Property of Coral Aggregate Concrete. Master’s Thesis, Nanjing University of Aeronautics and Astronautics, Nanjing, China, 2015. (In Chinese). [Google Scholar]
- Zhang, Z.H.; Sang, Z.Q.; Zhang, L.Y.; Ma, Z.X.; Zhang, Y. Experimental Research on Durability of Concrete Made by Seawater and Sea-Sand. Adv. Mater. Res. 2013, 641–642, 385–388. [Google Scholar] [CrossRef]
- Wang, Y.; Zhang, S.; Niu, D.; Su, L.; Luo, D. Effects of silica fume and blast furnace slag on the mechanical properties and chloride ion distribution of coral aggregate concrete. Constr. Build. Mater. 2019, 214, 648–658. [Google Scholar] [CrossRef]
- Sun, Z.X. Engineering properties of coral sand in Nansha Islands. Trop. Ocean 2000, 19, 1–8. (In Chinese). [Google Scholar]
- Liu, J.; Ou, Z.; Peng, W.; Guo, T.; Deng, W.; Chen, Y. Literature Review of Coral Concrete. Arab. J. Sci. Eng. 2018, 43, 1529–1541. [Google Scholar] [CrossRef]
- Cheng, S.; Shui, Z.H.; Sun, T.; Yu, R.; Zhang, G. Durability and microstructure of coral sand concrete incorporating supplementary cementitious materials. Constr. Build. Mater. 2018, 171, 44–53. [Google Scholar] [CrossRef]
- Bentz, D. Influence of internal curing using lightweight aggregates on interfacial transition zone percolation and chloride ingress in mortars. Cem. Concr. Compos. 2009, 31, 285–289. [Google Scholar] [CrossRef]
- De Domenico, D.; Faleschini, F.; Pellegrino, C.; Ricciardia, G. Structural behavior of RC beams containing EAF slag as recycled aggregate: Numerical versus experimental results. Constr. Build. Mater. 2018, 171, 321–337. [Google Scholar] [CrossRef]
- Le, H.B.; Bui, Q.B. Recycled aggregate concretes–a state-of-the-art from the microstructure to the structural performance. Constr. Build. Mater. 2020, 257, 119522. [Google Scholar] [CrossRef]
- Mukhopadhyay, S.; Khatana, S. A review on the use of fibers in reinforced cementitious concrete. J. Ind. Text. 2015, 45, 239–264. [Google Scholar] [CrossRef]
- Pereira, E.B.; Fischer, G.; Barros, J.A. Effect of hybrid fiber reinforcement on the cracking process in fiber reinforced cementitious composites. Cem. Concr. Compos. 2012, 34, 1114–1123. [Google Scholar] [CrossRef]
- Nia, A.A.; Hedayatian, M.; Nili, M.; Afroughsabet, V. An experimental and numerical study on how steel and polypropylene fibers affect the impact resistance in fiber-reinforced concrete. Int. J. Impact Eng. 2012, 46, 62–73. [Google Scholar] [CrossRef]
- Yoo, D.-Y.; Banthia, N.; Yoon, Y.-S. Impact Resistance of Reinforced Ultra-High-Performance Concrete Beams with Different Steel Fibers. ACI Struct. J. 2017, 114, 113–124. [Google Scholar] [CrossRef]
- Wang, L.; Liu, C.P.; Xiong, J.Z. Study test on mechanical property of sisal fiber reinforced coral concrete. J. Henan Polytech. Univ. 2014, 33, 826–830. (In Chinese). [Google Scholar]
- Wang, L.; Deng, X.L.; Wang, G.X. Experimental research on the mechanical properties of carbon fiber coral concrete. Concrete 2014, 8, 88–91. (In Chinese). [Google Scholar]
- Wang, L.; Yi, J.; Deng, X.L.; Li, J.Y. Study on mechanical property and damage morphology analysis of coral aggregate concrete with fiber. J. Henan Polytech. Univ. 2016, 35, 713–718. (In Chinese). [Google Scholar]
- Wang, J.; Dai, Q.; Si, R.; Guo, S. Investigation of properties and performances of Polyvinyl Alcohol (PVA) fiber-reinforced rubber concrete. Constr. Build. Mater. 2018, 193, 631–642. [Google Scholar] [CrossRef]
- Arisoy, B.; Wu, H.-C. Material characteristics of high performance lightweight concrete reinforced with PVA. Constr. Build. Mater. 2008, 22, 635–645. [Google Scholar] [CrossRef]
- Passuello, A.; Moriconi, G.; Shah, S.P. Cracking behavior of concrete with shrinkage reducing admixtures and PVA fibers. Cem. Concr. Compos. 2009, 31, 699–704. [Google Scholar] [CrossRef]
- Noushini, A.; Samali, B.; Vessalas, K. Effect of polyvinyl alcohol (PVA) fiber on dynamic and material properties of fiber reinforced concrete. Constr. Build. Mater. 2013, 49, 374–383. [Google Scholar] [CrossRef]
- ASTM C33/C33M-18; Standard Specification for Concrete Aggregates. American Society for Testing and Materials: West Conshohocken, PA, USA, 2018.
- GB/T 17431.2-2010; Light Aggregates and Test Methods-Part 2: Light Aggregate Test Method. AQSIQ and SAC (General Administration of Quality Supervision, Inspection and Quarantine/Standardization Administration of the People’s Republic of China): Beijing, China, 2010. (In Chinese).
- Da, B.; Yu, H.; Ma, H.; Tan, Y.; Mi, R.; Dou, X. Experimental investigation of whole stress-strain curves of coral concrete. Constr. Build. Mater. 2016, 122, 81–89. [Google Scholar] [CrossRef]
- JGJ/T 12-2019; Technical Standard for Application of Lightweight Aggregate Concrete. China Architecture & Building Press: Beijing, China, 2002. (In Chinese).
- CECS13: 2009; Standard for Test Methods for Fiber Reinforced Concrete. China Planning Press: Beijing, China, 2009. (In Chinese).
- Wang, L.; Fan, L. Analysis of strength characteristics and failure modes of coral debris concrete. China Concr. Cem. Prod. 2015, 1, 1–4. (In Chinese). [Google Scholar]
- Liu, J.; Ou, Z.; Mo, J.; Chen, Y.; Guo, T.; Deng, W. Effectiveness of Saturated Coral Aggregate and Shrinkage Reducing Admixture on the Autogenous Shrinkage of Ultrahigh Performance Concrete. Adv. Mater. Sci. Eng. 2017, 2017, 1–11. [Google Scholar] [CrossRef] [Green Version]
- Li, L.; Zhao, Y.L.; Lu, H.B.; Han, C. Coral aggregate pre-wet on the mechanical properties of concrete. Concrete 2011, 1, 85–86. (In Chinese). [Google Scholar]
- GB/T 50081-2019; Standard for Method of Mechanical Properties on Ordinary Concrete. China Architecture and Building Press: Beijing, China, 2019. (In Chinese).
- GB/T 50080-2016; Standard for Test Method of Performance on Ordinary Fresh Concrete. China Architecture & Building Press: Beijing, China, 2017. (In Chinese).
- GB 50164-2011; Standard for Quality Control of Concrete. China Architecture & Building Press: Beijing, China, 2012. (In Chinese).
- GB50666-2011; Code for Construction of Concrete Structure. China Architecture & Building Press: Beijing, China, 2011. (In Chinese).
- ASTM C 469; Standard Test Method for Static Modulus of Elasticity and Poisson’s Ratio of Concrete. ASTM International: West Conshohocken, PA, USA, 2014.
- Wang, S.H. Research of Material Confect and Property of High Strength and High Content Hybrid Fiber Reinforced Concrete. Master’s Thesis, Tongji University, Shanghai, China, 2007. (In Chinese). [Google Scholar]
- Liu, H.W. Mechanics of Materials; Higher Education Press: Beijing, China, 1997. (In Chinese). [Google Scholar]
- Li, J.J.; Niu, J.G.; Liu, H.Z.; Zhu, C.; Zhang, Z. Comparative study of evaluation methods for toughness index in steel fiber reinforced lightweight aggregate concrete. Build. Struct. 2016, 46, 39–42. (In Chinese). [Google Scholar]
- ASTM-C 1018-97; Standard Test Method for Flexural Toughness and First-Crack Strength of Fiber Reinforced Concrete. ASTM International: West Conshohocken, PA, USA, 1997.
- Liu, X.; Wu, T.; Liu, Y. Stress-strain relationship for plain and fibre-reinforced lightweight aggregate concrete. Constr. Build. Mater. 2019, 225, 256–272. [Google Scholar] [CrossRef]
- Guo, Z.H.; Zhang, X.Q. Stress-strain full curves of concrete under cyclic loading. Ind. Constr. 1981, 11, 13–17. (In Chinese). [Google Scholar]
- Yang, K.-H.; Mun, J.-H.; Cho, M.-S.; Kang, T.H.-K. Stress-Strain Model for Various Unconfined Concretes in Compression. ACI Mater. J. 2014, 111, 819–826. [Google Scholar] [CrossRef]
- Zhang, Y. Research on Dynamic and Static Mechanical Properties of Coral Aggregate Concrete. Master’s Thesis, Nanjing University of Aeronautics and Astronautics, Nanjing, China, 2016. (In Chinese). [Google Scholar]
- Zhao, M.S. Stress-Strain Behaviors of Steel Fiber Reinforced Full-Lightweight Concrete under Compression. Master’s Thesis, North China University of Water Resources and Electric Power, Zhengzhou, China, 2016. (In Chinese). [Google Scholar]
- GB50010-2010; Code for Design of Concrete Structures. China Architecture & Building Press: Beijing, China, 2011. (In Chinese).
- Shannag, M. Characteristics of lightweight concrete containing mineral admixtures. Constr. Build. Mater. 2011, 25, 658–662. [Google Scholar] [CrossRef]



















| Type | Bulk Density (kg/m3) | Apparent Density (kg/m3) | Water Absorption (%) | Cylindrical Strength (MPa) | Void Content (%) |
|---|---|---|---|---|---|
| Coarse aggregate | 888 | 1870 | 12 | 3.8 | 52.5 |
| Fine aggregate | 1392 | 2380 | 10 | - | 42.5 |
| Test Project | W% | Specific Surface Area (m2·kg−1) | Loss of Ignition | Density (kg/m3) | ||||||
|---|---|---|---|---|---|---|---|---|---|---|
| SiO2 | Al2O3 | Fe2O3 | CaO | MgO | SO3 | LOI | ||||
| OPC | 22.47 | 4.83 | 2.97 | 59.28 | 1.97 | 2.39 | - | - | 2.75 | 3100 |
| SG | 33.65 | 15.3 | 0.46 | 35.42 | 10.2 | 0.70 | 0.15 | 424 | 0.71 | 2940 |
| SF | 95.70 | 0.54 | 0.06 | 0.76 | 0.54 | 0.01 | 1.32 | 18,465 | 2.95 | 330 |
| Length (mm) | Diameter (μm) | Density (kg/m3) | Young Modulus (Gpa) | Tensile Strength (Mpa) | Elongation (%) |
|---|---|---|---|---|---|
| 11–13 | 42–46 | 1290 | 33.8 | 1430 | 6–11 |
| NaCl | MgCl2·6H20 | Na2SO4 | CaCl2 | KCl | NaHCO3 |
|---|---|---|---|---|---|
| 22.2 | 11.3 | 3.86 | 1.08 | 0.75 | 0.21 |
| Groups | Mix Proportions (kg/m3) | Total w/b | |||||||
|---|---|---|---|---|---|---|---|---|---|
| OPC | S95 | SF95 | Coarse Aggregate | Coral Sand | Total Water | SP | Fiber | ||
| C25 | 255 | 82 | 27 | 729 | 729 | 246 | 2.9 | 0 | 0.68 |
| C30 | 288 | 93 | 31 | 709 | 709 | 241 | 3.7 | 0 | 0.58 |
| C35 | 420 | 135 | 45 | 700 | 700 | 235 | 7.2 | 0 | 0.39 |
| C40 | 480 | 90 | 30 | 625 | 625 | 220 | 10 | 0 | 0.37 |
| FC1 | 480 | 90 | 30 | 625 | 625 | 220 | 10 | 0.8125 | 0.37 |
| FC2 | 480 | 90 | 30 | 625 | 625 | 220 | 10 | 1.625 | 0.37 |
| FC3 | 480 | 90 | 30 | 625 | 625 | 220 | 10 | 3.25 | 0.37 |
| FC4 | 480 | 90 | 30 | 625 | 625 | 220 | 10 | 6.5 | 0.37 |
| Slump | 10–40 | 50–90 | 100–150 | 160–210 | ≥220 | --- |
| Grades | S1 | S2 | S3 | S4 | S5 | --- |
| Dispersion | ≤340 | 350–410 | 420–480 | 490–550 | 560–620 | ≥630 |
| Grades | F1 | F2 | F3 | F4 | F5 | F6 |
| Groups | C25 | C30 | C35 | C40 | FC1 | FC2 | FC3 | FC4 |
|---|---|---|---|---|---|---|---|---|
| Slump Ti/mm | 190 | 220 | 250 | 260 | 250 | 230 | 160 | 65 |
| Dispersion Ki/mm | 430 | 490 | 610 | 700 | 690 | 565 | 300 | 200 |
| Slump grade | S4 | S5 | S5 | S5 | S5 | S5 | S4 | S2 |
| Dispersion grade | F3 | F4 | F5 | F6 | F6 | F5 | F1 | F1 |
| Groups | ||||||||
|---|---|---|---|---|---|---|---|---|
| C25 | 0 | 30.5 | 38.1 | 1754 | 24,960 | 0.229 | 8.7 | 2040 |
| C30 | 0 | 35.5 | 42.4 | 1874 | 26,179 | 0.224 | 7.6 | 2140 |
| C35 | 0 | 41.8 | 50.0 | 1940 | 28,886 | 0.242 | 4.8 | 2110 |
| C40 | 0 | 45.9 | 48.3 | 1889 | 28,542 | 0.242 | 3.9 | 2220 |
| FC1 | 0.8125 | 48.1 | 46.8 | 1856 | 28,093 | 0.237 | 7.5 | 2214 |
| FC2 | 1.625 | 51.2 | 49.8 | 1841 | 29,406 | 0.302 | 7.1 | 2193 |
| FC3 | 3.25 | 54.9 | 51.8 | 1977 | 28,488 | 0.286 | 6.8 | 2171 |
| FC4 | 6.5 | 50.3 | 49.5 | 2040 | 27,548 | 0.252 | 9.1 | 2150 |
| Section | Numbers | Mathematical Model | Proposer/Literature |
|---|---|---|---|
| Ascending stage | model 1 | Guo [43] | |
| model 2 | Yang [44] | ||
| model 3 | Sahlin [45] modified | ||
| Declining stage | model 1 | Zhao [46] | |
| model 2 | GB50010-2010 [47] | ||
| model 3 | Da [27] |
| Types | Model | Parameter | C25 | C30 | C35 | C40 | FC1 | FC2 | FC3 | FC4 | Key Parameter Value |
|---|---|---|---|---|---|---|---|---|---|---|---|
| Ascend stage | a | 21.84 | 22.48 | 30.64 | 28.53 | 21.62 | 17.52 | 14.36 | 18.47 | ||
| R2 | 0.999 | 0.999 | 0.999 | 0.999 | 0.999 | 0.999 | 0.998 | 0.998 | |||
| Decline stage | b | 39.68 | 50.67 | 65.80 | 51.64 | 48.75 | 33.29 | 29.50 | 45.41 | ||
| R2 | 0.990 | 0.989 | 0.985 | 0.968 | 0.969 | 0.981 | 0.987 | 0.959 |
Publisher’s Note: MDPI stays neutral with regard to jurisdictional claims in published maps and institutional affiliations. |
© 2022 by the authors. Licensee MDPI, Basel, Switzerland. This article is an open access article distributed under the terms and conditions of the Creative Commons Attribution (CC BY) license (https://creativecommons.org/licenses/by/4.0/).
Share and Cite
Rao, L.; Wang, L.; Zheng, Y. Experimental Research on Mechanical Properties and Compression Constitutive Relationship of PVA Fiber-Reinforced Coral Concrete. Materials 2022, 15, 1762. https://doi.org/10.3390/ma15051762
Rao L, Wang L, Zheng Y. Experimental Research on Mechanical Properties and Compression Constitutive Relationship of PVA Fiber-Reinforced Coral Concrete. Materials. 2022; 15(5):1762. https://doi.org/10.3390/ma15051762
Chicago/Turabian StyleRao, Lan, Ling Wang, and Yun Zheng. 2022. "Experimental Research on Mechanical Properties and Compression Constitutive Relationship of PVA Fiber-Reinforced Coral Concrete" Materials 15, no. 5: 1762. https://doi.org/10.3390/ma15051762
APA StyleRao, L., Wang, L., & Zheng, Y. (2022). Experimental Research on Mechanical Properties and Compression Constitutive Relationship of PVA Fiber-Reinforced Coral Concrete. Materials, 15(5), 1762. https://doi.org/10.3390/ma15051762

