Ge/Al and Ge/Si3N4/Al Core/Shell Quantum Dot Lattices in Alumina: Boosting the Spectral Response by Tensile Strain
Abstract
1. Introduction
2. Materials and Methods
Sample Preparation and Characterisation
3. Results
3.1. Structural Properties
3.2. Optical Properties
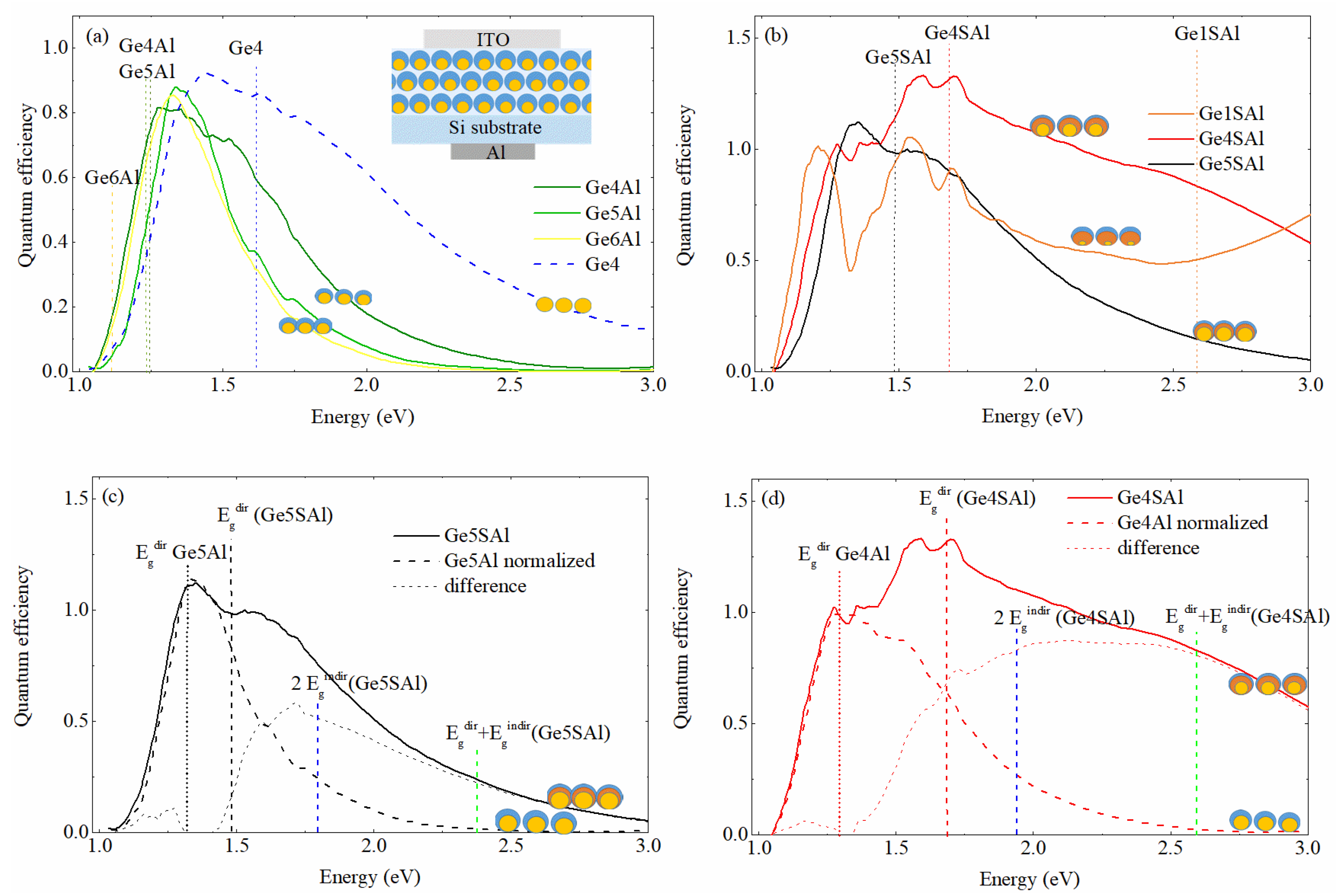
3.3. Optoelectronic Properties
4. Conclusions
Author Contributions
Funding
Data Availability Statement
Acknowledgments
Conflicts of Interest
References
- Nozik, A.J.; Beard, M.C.; Luther, J.M.; Law, M.; Ellingson, R.J.; Johnson, J.C. Semiconductor Quantum Dots and Quantum Dot Arrays and Applications of Multiple Exciton Generation to Third-Generation Photovoltaic Solar Cells. Chem. Rev. 2010, 110, 6873–6890. [Google Scholar] [CrossRef] [PubMed]
- Martyniuk, P.; Rogalski, A. Quantum-dot infrared photodetectors: Status and outlook. Prog. Quantum Electron. 2008, 32, 89–120. [Google Scholar] [CrossRef]
- Bhattacharya, P.; Ghosh, S.; Stiff-Roberts, A.D. Quantum dot opto-electronic devices. Annu. Rev. Mater. Res. 2004, 34, 1–40. [Google Scholar] [CrossRef]
- Trinh, M.T.; Limpens, R.; de Boer, W.D.A.M.; Schins, J.M.; Siebbeles, L.D.A.; Gregorkiewicz, T. Direct generation of multiple excitons in adjacent silicon nanocrystals revealed by induced absorption. Nat. Photonics 2012, 6, 316–321. [Google Scholar] [CrossRef]
- Bányai, L.; Koch, S.W. Semiconductor Quantum Dots; World Scientific: Singapore; River Edge, NJ, USA, 1993; p. 244. [Google Scholar]
- Cho, E.-C.; Green, M.A.; Conibeer, G.; Song, D.; Cho, Y.-H.; Scardera, G.; Huang, S.; Park, S.; Hao, X.J.; Huang, Y.; et al. Silicon Quantum Dots in a Dielectric Matrix for All-Silicon Tandem Solar Cells. Adv. OptoElectronics 2007, 2007, 069578. [Google Scholar] [CrossRef]
- Kim, T.-Y.; Park, N.-M.; Kim, K.-H.; Sung, G.Y.; Ok, Y.-W.; Seong, T.-Y.; Choi, C.-J. Quantum confinement effect of silicon nanocrystals in situ grown in silicon nitride films. Appl. Phys. Lett. 2004, 85, 5355–5357. [Google Scholar] [CrossRef]
- Bostedt, C.; van Buuren, T.; Willey, T.M.; Franco, N.; Terminello, L.J.; Heske, C.; Möller, T. Strong quantum-confinement effects in the conduction band of germanium nanocrystals. Appl. Phys. Lett. 2004, 84, 4056–4058. [Google Scholar] [CrossRef]
- Liu, B.; Hu, J.; Jia, L.; Liu, J.; Ren, X.; Zhang, X.; Guo, X.; (Frank) Liu, S. Ge quantum-dot enhanced c-Si solar cell for improved light trapping efficiency. Solar Energy 2018, 167, 102–107. [Google Scholar] [CrossRef]
- Kaganovich, E.B.; Korbutyak, D.V.; Kryuchenko, Y.V.; Kupchak, I.M.; Manoilov, E.G.; Sachenko, A.V. Exciton states and photoluminescence in Ge quantum dots. Nanotechnology 2007, 18, 295401. [Google Scholar] [CrossRef]
- Nekić, N.; Šarić, I.; Salamon, K.; Basioli, L.; Sancho-Parramon, J.; Grenzer, J.; Hübner, R.; Bernstorff, S.; Petravić, M.; Mičetić, M. Preparation of non-oxidized Ge quantum dot lattices in amorphous Al2O3, Si3N4 and SiC matrices. Nanotechnology 2019, 30, 335601. [Google Scholar] [CrossRef]
- Buljan, M.; Jerčinović, M.; Siketić, Z.; Bogdanović-Radović, I.; Marion, I.D.; Kralj, M.; Ivanda, M.; Turković, A.; Dražić, G.; Bernstorff, S.; et al. Tuning the growth properties of Ge quantum dot lattices in amorphous oxides by matrix type. J. Appl. Crystallogr. 2013, 46, 1490–1500. [Google Scholar] [CrossRef]
- Buljan, M.; Pinto, S.R.C.; Rolo, A.G.; Martín-Sánchez, J.; Gomes, M.J.M.; Grenzer, J.; Mücklich, A.; Bernstorff, S.; Holý, V. Self-assembling of Ge quantum dots in an alumina matrix. Phys. Rev. B 2010, 82, 235407. [Google Scholar] [CrossRef]
- Tkalčević, M.; Basioli, L.; Salamon, K.; Šarić, I.; Parramon, J.S.; Bubaš, M.; Bogdanović-Radović, I.; Bernstorff, S.; Fogarassy, Z.; Balázsi, K.; et al. Ge quantum dot lattices in alumina prepared by nitrogen assisted deposition: Structure and photoelectric conversion efficiency. Sol. Energy Mater. Sol. Cells 2020, 218, 110722. [Google Scholar] [CrossRef]
- Tahir, D.; Kang, H.J.; Tougaard, S. Electronic and Optical Properties of Aluminum Oxide Before and After Surface Reduction by Ar+ Bombardment. Atom Indo. 2014, 40, 63. [Google Scholar] [CrossRef]
- Nekić, N.; Sancho-Parramon, J.; Bogdanović-Radović, I.; Grenzer, J.; Hübner, R.; Bernstorff, S.; Ivanda, M.; Buljan, M. Ge/Si core/shell quantum dots in alumina: Tuning the optical absorption by the core and shell size. Nanophotonics 2017, 6, 1055–1062. [Google Scholar] [CrossRef][Green Version]
- Buljan, M.; Radić, N.; Sancho-Paramon, J.; Janicki, V.; Grenzer, J.; Bogdanović-Radović, I.; Siketić, Z.; Ivanda, M.; Utrobičić, A.; Hübner, R.; et al. Production of three-dimensional quantum dot lattice of Ge/Si core–shell quantum dots and Si/Ge layers in an alumina glass matrix. Nanotechnology 2015, 26, 065602. [Google Scholar] [CrossRef]
- Despoja, V.; Basioli, L.; Parramon, J.S.; Mičetić, M. Optical absorption in array of Ge/Al-shell nanoparticles in an Alumina matrix. Sci. Rep. 2020, 10, 65. [Google Scholar] [CrossRef]
- Basioli, L.; Sancho-Parramon, J.; Despoja, V.; Fazinić, S.; Radović, I.B.; Mihalić, I.B.; Salamon, K.; Nekić, N.; Ivanda, M.; Dražić, G.; et al. Ge Quantum Dots Coated with Metal Shells (Al, Ta, and Ti) Embedded in Alumina Thin Films for Solar Energy Conversion. ACS Appl. Nano Mater. 2020, 3, 8640–8650. [Google Scholar] [CrossRef]
- Michel, J.; Liu, J.; Kimerling, L.C. High-performance Ge-on-Si photodetectors. Nat. Photonics 2010, 4, 527–534. [Google Scholar] [CrossRef]
- El Kurdi, M.; Prost, M.; Ghrib, A.; Sauvage, S.; Checoury, X.; Beaudoin, G.; Sagnes, I.; Picardi, G.; Ossikovski, R.; Boucaud, P. Direct Band Gap Germanium Microdisks Obtained with Silicon Nitride Stressor Layers. ACS Photonics 2016, 3, 443–448. [Google Scholar] [CrossRef]
- Ishikawa, Y.; Wada, K.; Cannon, D.D.; Liu, J.; Luan, H.-C.; Kimerling, L.C. Strain-induced band gap shrinkage in Ge grown on Si substrate. Appl. Phys. Lett. 2003, 82, 2044–2046. [Google Scholar] [CrossRef]
- Ghrib, A.; El Kurdi, M.; Prost, M.; Sauvage, S.; Checoury, X.; Beaudoin, G.; Chaigneau, M.; Ossikovski, R.; Sagnes, I.; Boucaud, P. All-Around SiN Stressor for High and Homogeneous Tensile Strain in Germanium Microdisk Cavities. Adv. Opt. Mater. 2015, 3, 353–358. [Google Scholar] [CrossRef]
- Buljan, M.; Desnica, U.V.; Dražić, G.; Ivanda, M.; Radić, N.; Dubček, P.; Salamon, K.; Bernstorff, S.; Holý, V. The influence of deposition temperature on the correlation of Ge quantum dot positions in amorphous silica matrix. Nanotechnology 2009, 20, 085612. [Google Scholar] [CrossRef] [PubMed]
- Toma, O.; Antohe, V.-A.; Panaitescu, A.-M.; Iftimie, S.; Răduţă, A.-M.; Radu, A.; Ion, L.; Antohe, Ş. Effect of RF Power on the Physical Properties of Sputtered ZnSe Nanostructured Thin Films for Photovoltaic Applications. Nanomaterials 2021, 11, 2841. [Google Scholar] [CrossRef] [PubMed]
- Kelly, P.J.; Arnell, R.D. Magnetron sputtering: A review of recent developments and applications. Vacuum 2000, 56, 159–172. [Google Scholar] [CrossRef]
- Buljan, M.; Radić, N.; Bernstorff, S.; Dražić, G.; Bogdanović-Radović, I.; Holý, V. Grazing-incidence small-angle X-ray scattering: Application to the study of quantum dot lattices. Acta Crystallogr. Sect. A Found. Crystallogr. 2012, 68, 124–138. [Google Scholar] [CrossRef]
- Basioli, L.; Salamon, K.; Tkalčević, M.; Mekterović, I.; Bernstorff, S.; Mičetić, M. Application of GISAXS in the Investigation of Three-Dimensional Lattices of Nanostructures. Crystals 2019, 9, 479. [Google Scholar] [CrossRef]
- Buljan, M.; Radić, N.; Ivanda, M.; Bogdanović-Radović, I.; Karlušić, M.; Grenzer, J.; Prucnal, S.; Dražić, G.; Pletikapić, G.; Svetličić, V.; et al. Ge quantum dot lattices in Al2O3 multilayers. J. Nanoparticle Res. 2013, 15, 1485. [Google Scholar] [CrossRef]
- Ishikawa, Y.; Wada, K. Germanium for silicon photonics. Thin Solid Films 2010, 518, S83–S87. [Google Scholar] [CrossRef]
- Zanatta, A.R. Revisiting the optical bandgap of semiconductors and the proposal of a unified methodology to its determination. Sci. Rep. 2019, 9, 11225. [Google Scholar] [CrossRef]
- Niquet, Y.M.; Allan, G.; Delerue, C.; Lannoo, M. Quantum confinement in germanium nanocrystals. Appl. Phys. Lett. 2000, 77, 1182–1184. [Google Scholar] [CrossRef]
- Cosentino, S.; Mio, A.M.; Barbagiovanni, E.G.; Raciti, R.; Bahariqushchi, R.; Miritello, M.; Nicotra, G.; Aydinli, A.; Spinella, C.; Terrasi, A.; et al. The role of the interface in germanium quantum dots: When not only size matters for quantum confinement effects. Nanoscale 2015, 7, 11401–11408. [Google Scholar] [CrossRef] [PubMed]





| Sample | Composition | t_Ge (s) | t_Al (s) | Sample | Composition | t_Ge (s) | t_Si3N4 (s) | t_Al (s) |
|---|---|---|---|---|---|---|---|---|
| Ge4 | Ge/Al2O3 × 20 | 40 | 40 | Ge0SAl | Si3N4/Al/Al2O3 × 20 | --- | 40 | 0 |
| Ge4Al | Al/Ge/Al2O3 × 20 | 40 | 40 | Ge1SAl | Ge/Si3N4/Al/Al2O3 × 20 | 10 | 40 | 40 |
| Ge5Al | Al/Ge/Al2O3 × 20 | 50 | 40 | Ge4SAl | Ge/Si3N4/Al/Al2O3 × 20 | 40 | 40 | 40 |
| Ge6Al | Al/Ge/Al2O3 × 20 | 60 | 40 | Ge5SAl | Ge/Si3N4/Al/Al2O3 × 20 | 50 | 40 | 40 |
| Sample | a | c | σx | σy | σz | RLcore | fshape | dAl | dSi3N4 | σR |
|---|---|---|---|---|---|---|---|---|---|---|
| Ge4 | 5.8 | 4.5 | 5.4 | 2.5 | 0.1 | 1.6 | 0.97 | 0 | --- | 0.8 |
| Ge4Al | 6.1 | 5.1 | 3.1 | 1.6 | 0.1 | 1.7 | 1.01 | 1.4 | --- | 0.5 |
| Ge5Al | 7.7 | 5.4 | 3.2 | 1.5 | 0.1 | 2.0 | 1.03 | 1.4 | --- | 0.5 |
| Ge6Al | 8.9 | 6.1 | 4.3 | 1.9 | 0.1 | 2.2 | 1.04 | 1.9 | --- | 0.4 |
| Ge0SAl | --- | --- | --- | --- | --- | --- | --- | --- | --- | --- |
| Ge1SAl | 6.8 | 4.1 | 3.3 | 1.5 | 0.1 | 1.0 | 1.03 | 2.4 | 2.7 | 0.2 |
| Ge4SAl | 7.2 | 4.9 | 2.8 | 1.4 | 0.1 | 1.7 | 1.04 | 2.0 | 3.1 | 0.5 |
| Ge5SAl | 7.5 | 5.6 | 2.8 | 1.7 | 0.1 | 2.0 | 1.1 | 2.5 | 3.3 | 0.6 |
| Sample | Eg indirect | Egdirect | Sample | Egindirect | Egdirect |
|---|---|---|---|---|---|
| Ge4 | 1.03 ± 0.01 | 1.767 ± 0.002 | Ge0SAl | 3.44 ± 0.01 | 3.877 ± 0.006 |
| Ge4Al | 0.82 ± 0.01 | 1.328 ± 0.007 | Ge1SAl | 1.37 ± 0.03 | 2.57 ± 0.03 |
| Ge5Al | 0.79 ± 0.03 | 1.30 ± 0.02 | Ge4SAl | 0.95 ± 0.01 | 1.732 ± 0.003 |
| Ge6Al | 0.73 ± 0.02 | 1.12 ± 0.02 | Ge5SAl | 0.918 ± 0.004 | 1.593 ± 0.001 |
Publisher’s Note: MDPI stays neutral with regard to jurisdictional claims in published maps and institutional affiliations. |
© 2022 by the authors. Licensee MDPI, Basel, Switzerland. This article is an open access article distributed under the terms and conditions of the Creative Commons Attribution (CC BY) license (https://creativecommons.org/licenses/by/4.0/).
Share and Cite
Periša, I.; Tkalčević, M.; Isaković, S.; Basioli, L.; Ivanda, M.; Bernstorff, S.; Mičetić, M. Ge/Al and Ge/Si3N4/Al Core/Shell Quantum Dot Lattices in Alumina: Boosting the Spectral Response by Tensile Strain. Materials 2022, 15, 6211. https://doi.org/10.3390/ma15186211
Periša I, Tkalčević M, Isaković S, Basioli L, Ivanda M, Bernstorff S, Mičetić M. Ge/Al and Ge/Si3N4/Al Core/Shell Quantum Dot Lattices in Alumina: Boosting the Spectral Response by Tensile Strain. Materials. 2022; 15(18):6211. https://doi.org/10.3390/ma15186211
Chicago/Turabian StylePeriša, Ivana, Marija Tkalčević, Senad Isaković, Lovro Basioli, Mile Ivanda, Sigrid Bernstorff, and Maja Mičetić. 2022. "Ge/Al and Ge/Si3N4/Al Core/Shell Quantum Dot Lattices in Alumina: Boosting the Spectral Response by Tensile Strain" Materials 15, no. 18: 6211. https://doi.org/10.3390/ma15186211
APA StylePeriša, I., Tkalčević, M., Isaković, S., Basioli, L., Ivanda, M., Bernstorff, S., & Mičetić, M. (2022). Ge/Al and Ge/Si3N4/Al Core/Shell Quantum Dot Lattices in Alumina: Boosting the Spectral Response by Tensile Strain. Materials, 15(18), 6211. https://doi.org/10.3390/ma15186211

