Poly(lactic acid) Matrix Reinforced with Diatomaceous Earth
Abstract
:1. Introduction
2. Materials and Methods
2.1. Materials
2.2. Fabrication of Composites
2.3. Experimental Techniques
3. Results and Discussion
3.1. Morphology Analysis and Density Measurements
3.2. Effects of Diatomaceous Earth on the Crystallization of PLA
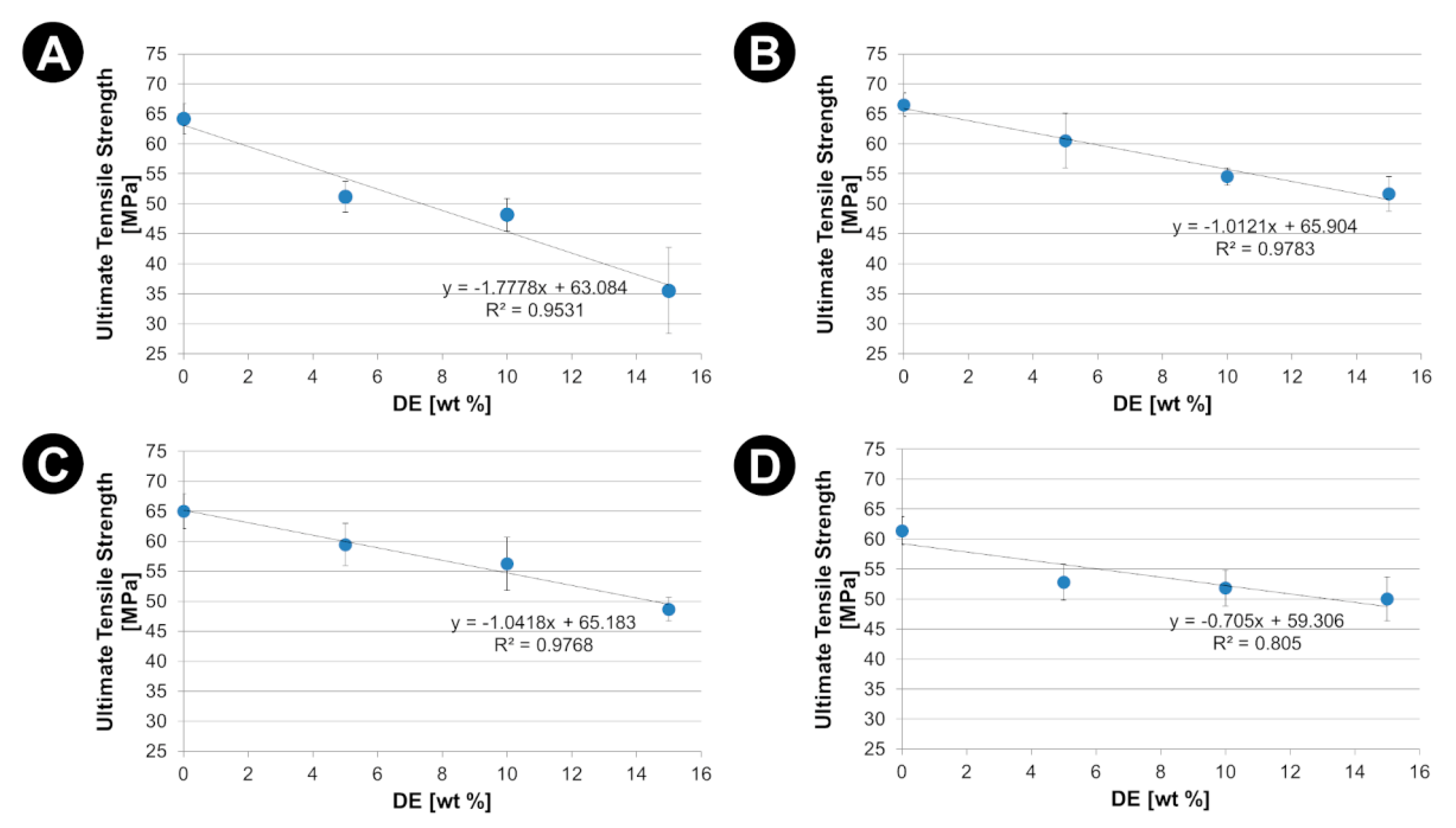
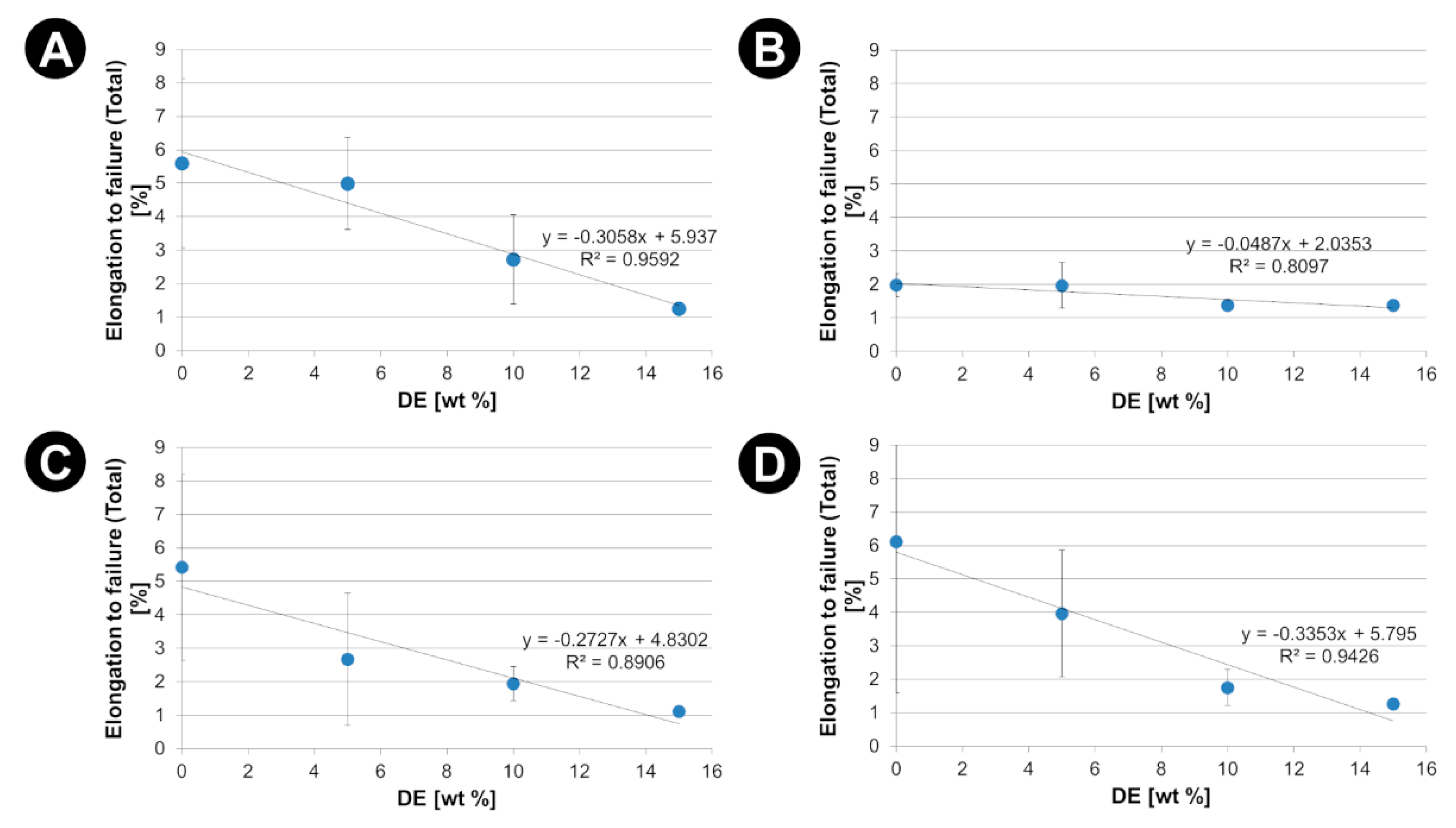
3.3. Effects of Diatomaceous Earth Reinforcement on the Mechanical Properties of PLA
4. Conclusions
Supplementary Materials
Author Contributions
Funding
Informed Consent Statement
Data Availability Statement
Conflicts of Interest
References
- Shogren, R.; Wood, D.; Orts, W.; Glenn, G. Plant-based materials and transitioning to a circular economy. Sustain. Prod. Consum. 2019, 19, 194–215. [Google Scholar] [CrossRef]
- Murariu, M.; Dubois, P. PLA composites: From production to properties. Adv. Drug Deliv. Rev. 2016, 107, 17–46. [Google Scholar] [CrossRef] [PubMed]
- Topal, E.; Rajendran, H.; Zgłobicka, I.; Gluch, J.; Liao, Z.; Clausner, A.; Kurzydłowski, K.J.; Zschech, E. Numerical and experimental study of the mechanical response of diatom frustules. Nanomaterials 2020, 10, 222. [Google Scholar] [CrossRef] [PubMed]
- Dubicki, A.; Zglobicka, I.; Kurzydłowskı, K.J. Investigation of Energy-Absorbing Properties of a Bio-Inspired Structure. Metals 2021, 11, 881. [Google Scholar] [CrossRef]
- Zglobicka, I.; Jablonska, J.; Suchecki, P.; Mazurkiewicz-Pawlicka, M.; Jaroszewicz, J.; Jastrzebska, A.; Pakiela, Z.; Lewandowska, M.; Swieszkowski, W.; Witkowski, A.; et al. Frustules of Didymosphenia geminata as a modifier of resins. Inżynieria Mater. 2018, 1, 10–16. [Google Scholar] [CrossRef]
- Dobrosielska, M.; Przekop, R.E.; Sztorch, B.; Brzakalski, D.; Zgłobicka, I.; Łępicka, M.; Dobosz, R.; Kurzydłowski, K.J. Biogenic composite filaments based on polylactide and diatomaceous earth for 3D printing. Materials 2020, 13, 4632. [Google Scholar] [CrossRef]
- Dobrosielska, M.; Dobrucka, R.; Brząkalski, D.; Gloc, M.; Rębiś, J.; Głowacka, J.; Kurzydłowski, K.J.; Przekop, R.E. Methodological Aspects of Obtaining and Characterizing Composites Based on Biogenic Diatomaceous Silica and Epoxy Resins. Materials 2021, 14, 4607. [Google Scholar] [CrossRef] [PubMed]
- Li, T.; Sun, H.; Wu, B.; Han, H.; Li, D.; Wang, J.-K.; Zhang, J.; Huang, J.; Sun, D. High-performance polylactic acid composites reinforced by artificially cultured diatom frustules. Mater. Des. 2020, 195, 109003. [Google Scholar] [CrossRef]
- Aguero, A.; Quiles-Carrillo, L.; Jorda-Vilaplana, A.; Fenollar, O.; Montanes, N. Effect of different compatibilizers on environmentally friendly composites from poly(lactic acid) and diatomaceous earth. Polym. Int. 2019, 68, 893–903. [Google Scholar] [CrossRef]
- Gonzalez, L.; Agüero, A.; Quiles-Carrillo, L.; Lascano, D.; Montanes, N. Optimization of the Loading of an Environmentally Friendly Compatibilizer Derived from Linseed Oil in Poly(Lactic Acid)/Diatomaceous Earth Composites. Materials 2019, 12, 1627. [Google Scholar] [CrossRef] [Green Version]
- Aggarwal, S.; Johnson, S.; Saloni, D.; Hakovirta, M. Novel 3D printing filament composite using diatomaceous earth and polylactic acid for materials properties and cost improvement. Compos. Part B Eng. 2019, 177, 107310. [Google Scholar] [CrossRef]
- Singh, B.; Kumar, R.; Singh Chohan, J. Polymer matrix composites in 3D printing: A state of art review. Mater. Today Proc. 2020, 33, 1562–1567. [Google Scholar] [CrossRef]
- Quero, E.; Müller, A.J.; Signori, F.; Coltelli, M.-B.; Bronco, S. Isothermal Cold-Crystallization of PLA/PBAT Blends with and Without the Addition of Acetyl Tributyl Citrate. Macromol. Chem. Phys. 2012, 213, 36–48. [Google Scholar] [CrossRef]









| Sample | PLA (wt%) | DE (wt%) |
|---|---|---|
| 2003-0 | 100 | 0 |
| 2003-5 | 95 | 5 |
| 2003-10 | 90 | 10 |
| 2003-15 | 85 | 15 |
| 3001-0 | 100 | 0 |
| 3001-5 | 95 | 5 |
| 3001-10 | 90 | 10 |
| 3001-15 | 85 | 15 |
| 3251-0 | 100 | 0 |
| 3251-5 | 95 | 5 |
| 3251-10 | 90 | 10 |
| 3251-15 | 85 | 15 |
| 4043-0 | 100 | 0 |
| 4043-5 | 95 | 5 |
| 4043-10 | 90 | 10 |
| 4043-15 | 85 | 15 |
| Sample | Tg [°C] | ΔCp [J·(g·°C)−1] | Tc [°C] | ΔHc [J·g−1] | Tm [°C] | ΔHm [J·g−1] | Xc [%] |
|---|---|---|---|---|---|---|---|
| 2003-0 | 60.7 | 0.755 | 119.6 | 19.26 | 151.6 | 21.38 | 2.28 |
| 2003-5 | 61.1 | 0.734 | 125.1 | 11.35 | 151.9 | 15.76 | 4.97 |
| 2003-10 | 61.1 | 0.708 | 121.1 | 7.16 | 151.1 | 13.29 | 7.30 |
| 2003-15 | 60.9 | 0.691 | 117.4 | 11.06 | 151.3 | 17.76 | 8.41 |
| 3001-0 | 61.9 | 0.710 | 121.0 | 33.34 | 169.2 | 41.44 | 8.69 |
| 3001-5 | 62.3 | 0.621 | 107.1 | 33.09 | 169.7 | 41.25 | 9.10 |
| 3001-10 | 62.2 | 0.599 | 104.6 | 29.69 | 170.4 | 37.69 | 9.45 |
| 3001-15 | 62.1 | 0.618 | 102.1 | 28.56 | 170.1 | 37.22 | 10.84 |
| 3251-0 | 61.7 | 0.719 | 107.3 | 36.46 | 171.7 | 44.58 | 8.75 |
| 3251-5 | 61.6 | 0.572 | 103.0 | 31.77 | 170.5 | 41.44 | 10.88 |
| 3251-10 | 61.4 | 0.683 | 102.1 | 33.11 | 170.5 | 45.12 | 14.28 |
| 3251-15 | 61.7 | 0.549 | 101.5 | 30.20 | 170.1 | 40.66 | 13.16 |
| 4043-0 | 61.5 | 0.759 | 122.3 | 11.90 | 151.8 | 16.63 | 5.09 |
| 4043-5 | 61.3 | 0.688 | 126.0 | 13.56 | 152.3 | 18.28 | 5.30 |
| 4043-10 | 61.4 | 0.685 | 123.9 | 13.50 | 152.7 | 18.72 | 6.21 |
| 4043-15 | 60.9 | 0.634 | 122.7 | 7.99 | 152.8 | 14.48 | 8.01 |
Publisher’s Note: MDPI stays neutral with regard to jurisdictional claims in published maps and institutional affiliations. |
© 2022 by the authors. Licensee MDPI, Basel, Switzerland. This article is an open access article distributed under the terms and conditions of the Creative Commons Attribution (CC BY) license (https://creativecommons.org/licenses/by/4.0/).
Share and Cite
Zglobicka, I.; Joka-Yildiz, M.; Molak, R.; Kawalec, M.; Dubicki, A.; Wroblewski, J.; Dydek, K.; Boczkowska, A.; Kurzydlowski, K.J. Poly(lactic acid) Matrix Reinforced with Diatomaceous Earth. Materials 2022, 15, 6210. https://doi.org/10.3390/ma15186210
Zglobicka I, Joka-Yildiz M, Molak R, Kawalec M, Dubicki A, Wroblewski J, Dydek K, Boczkowska A, Kurzydlowski KJ. Poly(lactic acid) Matrix Reinforced with Diatomaceous Earth. Materials. 2022; 15(18):6210. https://doi.org/10.3390/ma15186210
Chicago/Turabian StyleZglobicka, Izabela, Magdalena Joka-Yildiz, Rafal Molak, Michal Kawalec, Adrian Dubicki, Jakub Wroblewski, Kamil Dydek, Anna Boczkowska, and Krzysztof J. Kurzydlowski. 2022. "Poly(lactic acid) Matrix Reinforced with Diatomaceous Earth" Materials 15, no. 18: 6210. https://doi.org/10.3390/ma15186210
APA StyleZglobicka, I., Joka-Yildiz, M., Molak, R., Kawalec, M., Dubicki, A., Wroblewski, J., Dydek, K., Boczkowska, A., & Kurzydlowski, K. J. (2022). Poly(lactic acid) Matrix Reinforced with Diatomaceous Earth. Materials, 15(18), 6210. https://doi.org/10.3390/ma15186210

