Improvement of CO2-Cured Sludge Ceramsite on the Mechanical Performances and Corrosion Resistance of Cement Concrete
Abstract
:1. Introduction
2. Experimental
2.1. Raw Materials
2.2. Sample Preparation
2.3. Measurement Methods
2.3.1. Basic Physical Properties of Sludge Ceramsite
2.3.2. Mechanical Strength of Ceramsite Cement Concrete
2.3.3. The Measuring Process of Chloride Ion Permeability and Thermal Conductivity
2.3.4. The Corrosion Resistance of Reinforced Ceramsite Cement Concrete
2.3.5. Microscopic Characterization
3. Results and Discussions
3.1. Basic Physical Properties of Sludge Ceramsite
3.2. The Slump of Sludge Ceramsite Cement Concrete
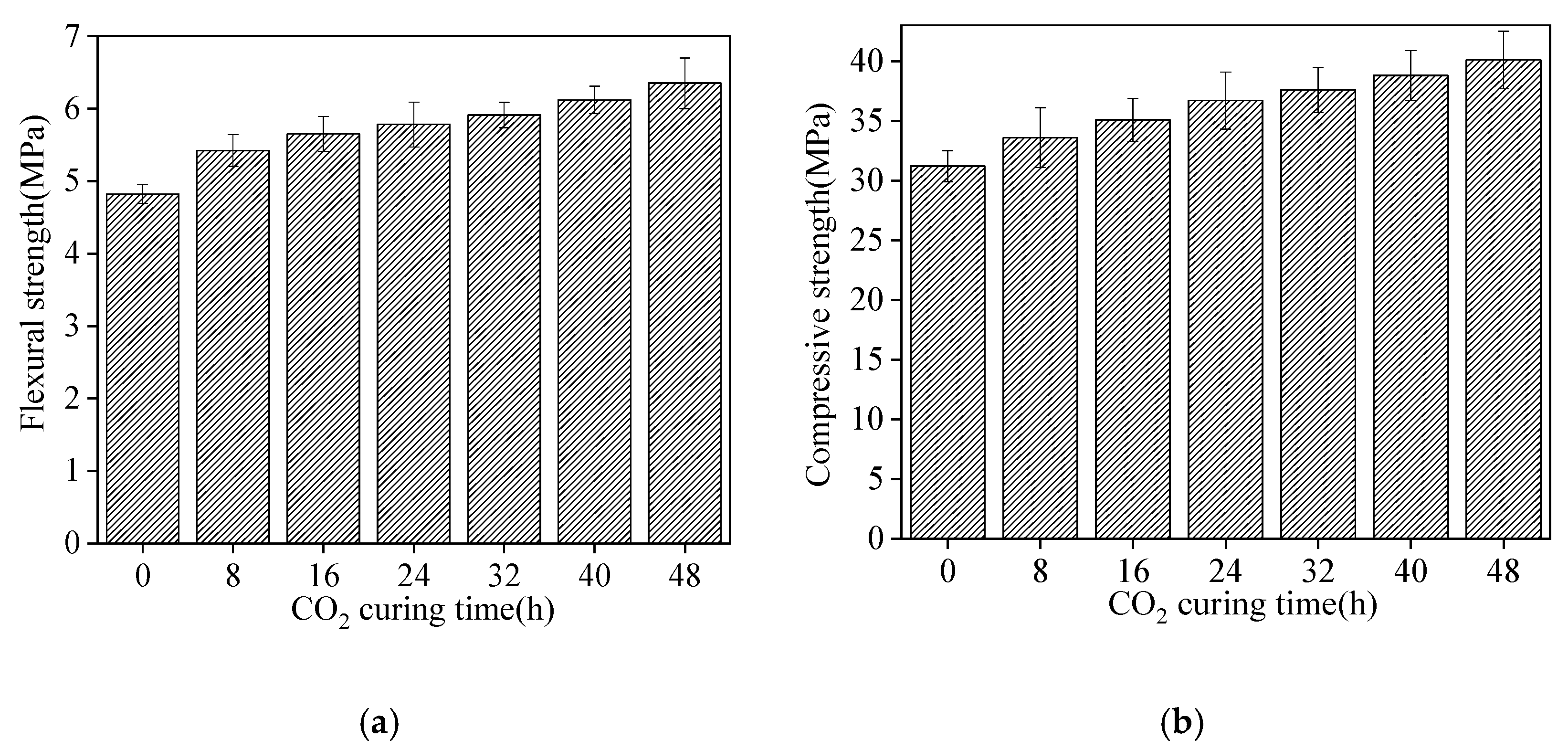
3.3. The Mechanical Strengths of Sludge Ceramsite Cement Concrete
3.4. The Damage of NaCl Freeze–Thaw Cycles
3.5. The Corrosion Resistance of Inner Steel Bars
4. Conclusions
Author Contributions
Funding
Institutional Review Board Statement
Informed Consent Statement
Data Availability Statement
Conflicts of Interest
References
- Zhai, X.; Yan, J.; Cao, C. Seismic performance and flexible connection optimization of prefabricated integrated short-leg shear wall filled with ceramsite concrete. Constr. Build. Mater. 2021, 311, 125224. [Google Scholar]
- Shen, Y.; Huang, J.; Ma, X.; Hao, F.; Lv, J. Experimental study on the free shrinkage of lightweight polymer concrete incorporating waste rubber powder and ceramsite. Compos. Struct. 2020, 242, 112152. [Google Scholar] [CrossRef]
- Cheng, G.; Li, Q.; Su, Z.; Sheng, S.; Fu, J. Preparation, optimization, and application of sustainable ceramsite substrate from coal flfly ash/waterworks sludge/oyster shell for phosphorus immobilization in constructed wetlands. J. Clean. Prod. 2018, 175, 572–581. [Google Scholar] [CrossRef]
- Monteiro, S.; Alexandre, J.; Margem, J.; Sánchez, R.; Vieira, C. Incorporation of Sludge Waste from Water Treatment Plant into Red Ceramic. Constr. Build. Mater. 2008, 22, 1281–1287. [Google Scholar] [CrossRef]
- Yang, Z.; Ji, R.; Liu, L.; Wang, X.; Zhang, Z. Recycling of municipal solid waste incineration by-product for cement composites preparation. Constr. Build. Mater. 2018, 162, 794–801. [Google Scholar] [CrossRef]
- Kongboon, R.; Gheewala, S.H.; Sampattagulad, S. Greenhouse gas emissions inventory data acquisition and analytics for low carbon cities. J. Clean. Prod. 2022, 343, 130711. [Google Scholar] [CrossRef]
- Xian, X.; Zhang, D.; Lin, H.; Shao, Y. Ambient pressure carbonation curing of reinforced concrete for CO2 utilization and corrosion resistance. J. CO2 Util. 2022, 56, 101861. [Google Scholar] [CrossRef]
- Kamal, N.L.M.; Itam, Z.; Sivaganese, Y.; Beddu, S. Carbon dioxide sequestration in concrete and its effects on concrete compressive strength. Mater. Today Proc. 2020, 31, A18–A21. [Google Scholar] [CrossRef]
- Cao, H.; Liang, Z.; Peng, X.; Cai, X.; Wang, K.; Wang, H.; Lyu, Z. Research of Carbon Dioxide Curing on the Properties of Reactive Powder Concrete with Assembly Unit of Sulphoaluminate Cement and Ordinary Portland Cement. Coatings 2022, 12, 209. [Google Scholar] [CrossRef]
- Sirtoli, D.; Wyrzykowski, M.; Riva, P.; Tortelli, S.; Marchi, M.; Lura, P. Shrinkage and creep of high-performance concrete based on calcium sulfoaluminate cement. Cem. Concr. Compos. 2019, 98, 61–73. [Google Scholar] [CrossRef]
- Zhu, J.; Qu, Z.; Liang, S.; Li, B.; Du, T.; Wang, H. The macro-scopic and microscopic properties of cement paste with carbon dioxide curing. Materials 2022, 15, 1578. [Google Scholar] [CrossRef]
- Witoon, T.; Lapkeatseree, V.; Numpilai, T.; Cheng, C.; Limtrakul, J. CO2 hydrogenation to light olefifins over mixed Fe-Co-K-Al oxides catalysts prepared via precipitation and reduction methods. Chem. Eng. J. 2022, 428, 131389. [Google Scholar] [CrossRef]
- Witoon, T.; Numpilai, T.; Nijpanich, S.; Chanlek, N.; Kidkhunthod, P.; Cheng, C.K.; Ng, K.H.; Vo, D.-V.N.; Ittisanronnachai, S.; Wattanakit, C.; et al. Enhanced CO2 hydrogenation to higher alcohols over K-Co promoted In2O3 catalysts. Chem. Eng. J. 2022, 431, 133211. [Google Scholar] [CrossRef]
- AL-Ameeri, A.S.; ImranRafifiq, M.; Tsioulou, O.; Rybdylova, O. Impact of climate change on the carbonation in concrete due to carbon dioxide ingress: Experimental investigation and modelling. J. Build. Eng. 2021, 44, 102594. [Google Scholar] [CrossRef]
- Atsbha, T.G.; Zhutovsky, S. The effect of external curing methods on the development of mechanical and durability-related properties of normal-strength concrete. Constr. Build. Mater. 2022, 324, 126706. [Google Scholar] [CrossRef]
- Qin, L.; Gao, X.; Chen, T. Influence of mineral admixtures on carbonation curing of cement paste. Constr. Build. Mater. 2019, 212, 653–662. [Google Scholar] [CrossRef]
- Zhang, D.; Shao, Y. Effect of early carbonation curing on chloride penetration and weathering carbonation in concrete. Constr. Build. Mater. 2016, 123, 516–526. [Google Scholar] [CrossRef]
- JGJ/T12-2019; Technical Standard for Application of Lightweight Aggregate Concrete. People’s Republic of China Industry Standards: Beijing, China, 2019.
- GB/T 17431.2-2010; Lightweight Aggregates and Its Test Methods-Part 2: Test Methods for Lightweight Aggregates. The State Bureau of Quality and Technical Supervision: Beijing, China, 2010.
- GBJ81-85; Test Method for Mechanical Properties of Ordinary Concrete. National Standards of People’s Republic of China: Beijing, China, 1986.
- GB/T50082-2009; Standard for Test Methods for Long-Term Performance and Durability of Ordinary Concrete. National standards of People’s Republic of China: Beijing, China, 2009.
- Smirnov, V.G.; Manakov, A.Y.; Dyrdin, V.V.; Ismagilov, Z.R.; Mikhailova, E.S.; Rodionova, T.V. The formation of carbon dioxide hydrate from water sorbed by coals. Fuel 2018, 228, 123–131. [Google Scholar] [CrossRef]
- Wang, J.; Wang, S.; Wang, H.; He, Z. Influence of Ceramsite with Assembly Unit of Sludge and Excavated Soil on the Properties of Cement Concrete. Materials 2022, 15, 3164. [Google Scholar] [CrossRef]
- Ahmad, S.; Assaggaf, R.; Maslehuddin, M.; Al-Amoudi, O.; Adekunle, S.; Ali, S.I. Effects of carbonation pressure and duration on strength evolution of concrete subjected to accelerated carbonation curing. Constr. Build. Mater. 2017, 136, 565–573. [Google Scholar] [CrossRef]
- Zhu, J.; Liu, S.; Song, L.; Qu, Z.; Wang, H. Inflfluence of Carbon Dioxide Curing on the Corrosion Resistance of Reinforced Cement Mortar under the External Erosion of NaCl Freeze–Thaw Cycle. Appl. Sci. 2022, 12, 5061. [Google Scholar] [CrossRef]
- Castellote, M.; Andrade, C.; Turrillas, X.; Campo, J.; Cuello, G.J. Accelerated carbonation of cement pastes in situ monitored by neutron diffraction. Cem. Concr. Res. 2008, 38, 1365–1373. [Google Scholar] [CrossRef]
- Huang, G.; Wang, H.; Shi, F. Coupling Effect of Salt Freeze-thaw Cycles and Carbonation on the Mechanical Performance of Quick Hardening Sulphoalu-minate Cement-based Reactive Powder Concrete with Basalt Fibers. Coatings 2021, 11, 1142. [Google Scholar] [CrossRef]
- Wang, H.; Gao, X.; Liu, J. Effects of salt freeze-thaw cycles and cyclic loading on the piezoresistive properties of carbon nanofibers mortar. Constr. Build. Mater. 2018, 177, 192–201. [Google Scholar] [CrossRef]
- Wang, H.; Gao, X.; Liu, J. Coupling effect of salt freeze-thaw cycles and cyclic loading on performance degradation of carbon nanofiber mortar. Cold Reg. Sci. Technol. 2018, 154, 95–102. [Google Scholar] [CrossRef]
- Liu, Q.; Iqbal, M.; Yang, J.; Lu, X.; Zhang, P.; Rauf, M. Prediction of chloride diffusivity in concrete using artificial neural network: Modelling and performance evaluation. Constr. Build. Mater. 2021, 266, 12108. [Google Scholar] [CrossRef]
- Liu, X.; Chia, K.; Zhang, M. Water absorption, permeability, and resistance to chloride-ion penetration of lightweight aggregate concrete. Constr. Build. Mater. 2011, 25, 335–343. [Google Scholar] [CrossRef]
- Berger, R.L.; Klemm, W. Accelerated curing of cementitious systems by carbon dioxide: Part II. Hydraulic calcium silicates and aluminates. Cem. Concr. Res. 1972, 2, 647–652. [Google Scholar] [CrossRef]
- Merino, I.; Arevalo, L.; Romero, F. Preparation and characterization of ceramic products by thermal treatment of sewage sludge ashes mixed with different additives. Waste Manag. 2007, 27, 1829–1844. [Google Scholar] [CrossRef]
- Chen, G.; Wang, K. Mechanical and thermal properties of glass fibrereinforced ceramsite-foamed concrete. Indoor Built Environ. 2018, 27, 890–897. [Google Scholar] [CrossRef]
- Zhang, D.; Shao, Y. Surface scaling of CO2 -cured concrete exposed to freeze-thaw cycles. J. CO2 Util. 2018, 27, 137–144. [Google Scholar] [CrossRef]
- Ben Mansour, H.; Dhouibi, L.; Idrissi, H. Effffect of phosphate-based inhibitor on prestressing tendons corrosion in simulated concrete pore solution contaminated by chloride ions. Constr. Build. Mater. 2018, 171, 250–260. [Google Scholar] [CrossRef]
- Wang, H.; Zhang, A.; Zhang, L.; Wang, Q.; Yang, X.-H.; Gao, X.; Shi, F. Electrical and piezoresistive properties of carbon nanofifififiber cement mortar under difffferent temperatures and water contents. Constr. Build. Mater. 2020, 265, 120740. [Google Scholar] [CrossRef]
- Chi, L.; Wang, Z.; Lu, S.; Zhao, D.; Yao, Y. Development of mathematical models for predicting the compressive strength and hydration process using the EIS impedance of cementitious materials. Constr. Build. Mater. 2019, 208, 659–668. [Google Scholar] [CrossRef]
- Zhang, Q.; Xu, W.; Sun, Y.; Ji, Y.; Cerný, R. Investigation on Mechanical and Microstructure Properties of Steel Fiber Reinforced Concrete. Adv. Mater. Sci. Eng. 2022, 2022, 3681132. [Google Scholar] [CrossRef]
- Liang, J.; Zhu, H.; Chen, L.; Han, X.; Guo, Q.; Gao, Y.; Liu, C. Rebar corrosion investigation in rubber aggregate concrete via the chloride electro-accelerated test. Materials. 2019, 12, 862. [Google Scholar] [CrossRef] [PubMed] [Green Version]
- Zhang, B.; Tan, H.; Shen, W.; Xu, G.; Ma, B.; Ji, X. Nano-silica and silica fume modifififified cement mortar used as Surface Protection Material to enhance the impermeability. Cem. Concr. Compos. 2018, 92, 7–17. [Google Scholar] [CrossRef]
- Berger, R.; Young, J.; Leung, K. Acceleration of hydration of calcium silicates by carbon dioxide treatment. Nature 1972, 240, 16–18. [Google Scholar] [CrossRef]












| Types | SiO2 | Al2O3 | FexOy | MgO | CaO | SO3 | ZnO | R2O | Loss on Ignition |
|---|---|---|---|---|---|---|---|---|---|
| Sludge | 69.75 | 15.18 | 5.91 | 2.31 | 2.43 | - | - | 2.14 | 2.28 |
| P·O cement | 20.9 | 5.5 | 3.9 | 1.7 | 62.2 | 2.7 | - | - | 3.1 |
| Cement | Water | Ceramsite Sand | Ceramsite | Water-Reducing Agent | CO2 Curing Time (h) |
|---|---|---|---|---|---|
| 500 | 200 | 700 | 300 | 0.5 | 0 |
| 500 | 200 | 700 | 300 | 0.5 | 8 |
| 500 | 200 | 700 | 300 | 0.5 | 16 |
| 500 | 200 | 700 | 300 | 0.5 | 24 |
| 500 | 200 | 700 | 300 | 0.5 | 32 |
| 500 | 200 | 700 | 300 | 0.5 | 48 |
Publisher’s Note: MDPI stays neutral with regard to jurisdictional claims in published maps and institutional affiliations. |
© 2022 by the authors. Licensee MDPI, Basel, Switzerland. This article is an open access article distributed under the terms and conditions of the Creative Commons Attribution (CC BY) license (https://creativecommons.org/licenses/by/4.0/).
Share and Cite
Xu, F.; Chang, R.; Zhang, D.; Liang, Z.; Wang, K.; Wang, H. Improvement of CO2-Cured Sludge Ceramsite on the Mechanical Performances and Corrosion Resistance of Cement Concrete. Materials 2022, 15, 5758. https://doi.org/10.3390/ma15165758
Xu F, Chang R, Zhang D, Liang Z, Wang K, Wang H. Improvement of CO2-Cured Sludge Ceramsite on the Mechanical Performances and Corrosion Resistance of Cement Concrete. Materials. 2022; 15(16):5758. https://doi.org/10.3390/ma15165758
Chicago/Turabian StyleXu, Feng, Rencai Chang, Dongling Zhang, Zhao Liang, Kewei Wang, and Hui Wang. 2022. "Improvement of CO2-Cured Sludge Ceramsite on the Mechanical Performances and Corrosion Resistance of Cement Concrete" Materials 15, no. 16: 5758. https://doi.org/10.3390/ma15165758
APA StyleXu, F., Chang, R., Zhang, D., Liang, Z., Wang, K., & Wang, H. (2022). Improvement of CO2-Cured Sludge Ceramsite on the Mechanical Performances and Corrosion Resistance of Cement Concrete. Materials, 15(16), 5758. https://doi.org/10.3390/ma15165758
