Development and Characteristics of Aerated Alkali-Activated Slag Cement Mixed with Zinc Powder
Abstract
:1. Introduction
2. Materials and Methods
2.1. Materials
2.2. Experiments
3. Results and Discussion
3.1. Compressive Strength
3.2. Reaction Products
3.3. Microstructures
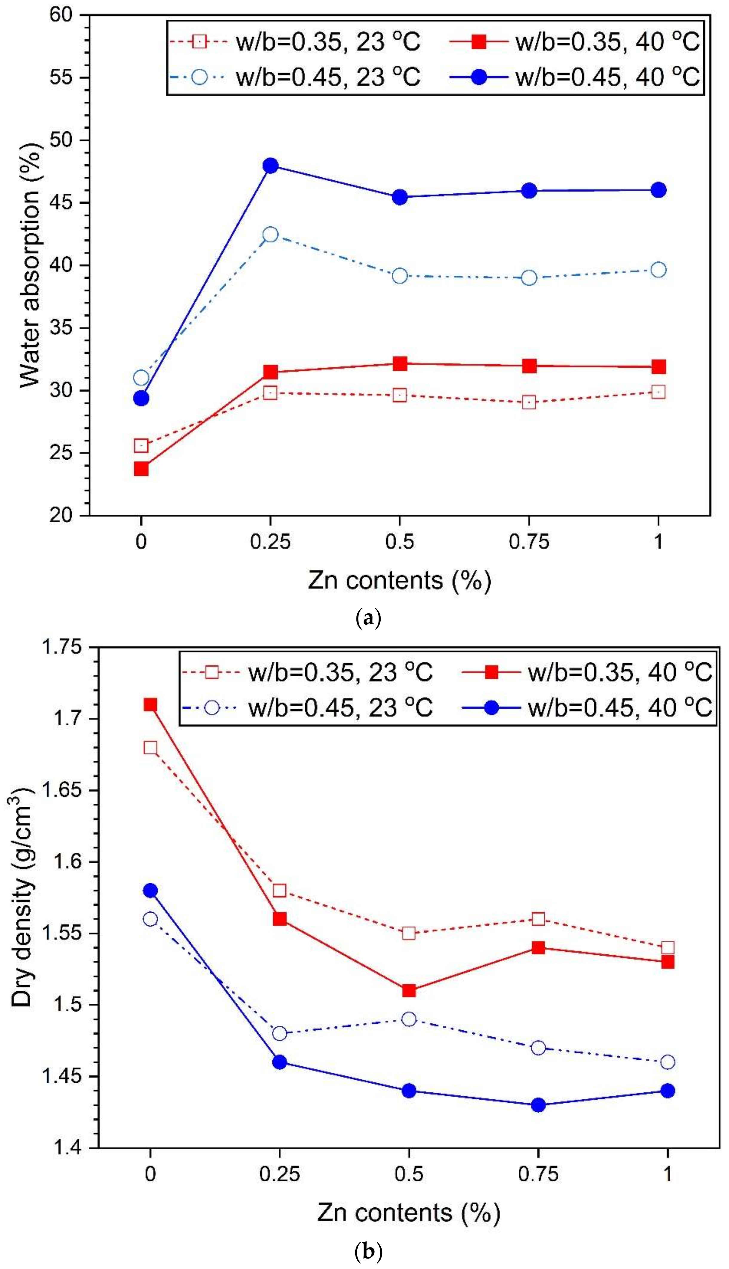
3.4. Water Absorption and Dry Density
3.5. Ultrasonic Pulse Velocity (UPV)
4. Conclusions
- ZP reduces the compressive strength regardless of the w/b and curing temperature. ZP reacts with water to generate H2 to form several pores inside the sample, causing a sharp decrease in the strength. Compared to the sample without ZP, a strength decrease of about 50% is observed. The larger the w/b ratio (0.45 > 0.35), the curing temperature (40 ± 2 °C > 23 ± 2 °C), and the concentration of ZP (1.0 > 0.75 > 0.5 > 0.25 > 0.0), the more the diameter of the bubbles formed inside the sample increases, which is a direct factor in the strength.
- The new hydration reactants by ZP are calcium zincate (Wurtzite type) and zinc hydroxide. No new hydration reactants were observed according to the concentration of ZP, w/b ratio, and curing temperature. In all the samples, the increase and sharpening of the C-S-H peaks over time were most pronounced. The decrease in the mechanical performance due to the formation of bubbles is a greater influence factor than the change in the hydration reactant due to the mixing of ZP.
- Increasing the ZP content increases the water absorption and decreases the dry density and UPV. Moreover, the difference in characteristics according to the w/b ratio and the curing temperature was clearly shown. Compared with a w/b = 0.35, at 0.45, the difference in the water absorption, dry density, and UPV according to the curing temperature was relatively large. The increase in the w/b ratio shows the effect of the diameter and distribution of the pores formed by ZP on the absorption rate, density, and UPV of the sample.
- The bubble formation characteristics according to the curing temperature show different aspects according to the w/b. The w/b = 0.35 had little effect on the pore size and distribution of the samples cured at 23 ± 2 °C and 40 ± 2 °C. However, in the case of W / B in 0.45, the difference in the pore diameter according to the curing temperature was significant. That is, it was observed that the pore diameter becomes larger at 40 ± 2 °C than 23 ± 2 °C. This tendency is that, the smaller the w/b ratio, the shorter the setting time, which is considered to be a factor limiting the expansion and movement of the pores by the H2 gas.
- Zinc powder suggested the possibility of being used as a gas for the production of aerated concrete instead of aluminum powder. To control the diameters and distribution of the pores by ZP, it is necessary to increase the curing time of the AASC paste. The setting time or curing time is considered to be one of the important factors in controlling the movement and expansion of the H2 generated by ZP. In addition, the construction site construction at room temperature (23 ± 2 °C) and at a high temperature (40 ± 2 °C) are expected to be fully utilized for manufacturing concrete products in factories.
Author Contributions
Funding
Institutional Review Board Statement
Informed Consent Statement
Data Availability Statement
Acknowledgments
Conflicts of Interest
References
- Cheah, C.B.; Tan, L.E.; Ramli, M. Recent advances in slag-based binder and chemical activators derived from industrial by-products—A review. Constr. Build. Mater. 2021, 272, 12167. [Google Scholar] [CrossRef]
- Elahi, M.M.A.; Hossain, M.M.; Karim, M.R.; Zain, M.F.M. A review on alkali-activated binders: Materials composition and fresh properties of concrete. Constr. Build. Mater. 2020, 260, 19788. [Google Scholar] [CrossRef]
- Athira, V.S.; Bahurudeen, A.; Saljas, M.; Jayachandran, K. Influence of different curing methods on mechanical and durability properties of alkali activated binders. Constr. Build. Mater. 2021, 299, 123963. [Google Scholar] [CrossRef]
- Gökçe, H.S.; Tuyan, M.; Nehdi, M.L. Alkali-activated and geopolymer materials developed using innovative manufacturing techniques: A critical review. Constr. Build. Mater. 2021, 303, 124483. [Google Scholar] [CrossRef]
- Ibrahim, M.; Maslehuddin, M. An overview of factors influencing the properties of alkali-activated binders. J. Cleaner Prod. 2021, 286, 124972. [Google Scholar] [CrossRef]
- Mendes, B.C.; Pedroti, L.G.; Vieira, C.M.F.; Marvila, M.; Azevedo, A.R.G.; Franco de Carvalho, J.M.; Ribeiro, J.C.L. Application of eco-friendly alternative activators in alkali-activated materials: A review. J. Build. Eng. 2021, 35, 102010. [Google Scholar] [CrossRef]
- Shi, C.; Roy, D.; Krivenko, P. Alkali-Activated Cements and Concretes; CRC Press: Boca Raton, FL, USA, 2003. [Google Scholar]
- Wang, W.; Noguchi, T. Alkali-silica reaction (ASR) in the alkali-activated cement (AAC) system: A state-of-the-art review. Constr. Build. Mater. 2020, 252, 119105. [Google Scholar] [CrossRef]
- Ruan, S.; Zhu, W.; Yang, E.-H.; Weng, Y.; Unluer, C. Improvement of the performance and microstructural development of alkali-activated slag blends. Constr. Build. Mater. 2020, 261, 120017. [Google Scholar] [CrossRef]
- Adesanya, E.; Perumal, P.; Luukkonen, T.; Yliniemi, J.; Ohenoja, K.; Kinnunen, P.; Illikainen, M. Opportunities to improve sustainability of alkali-activated materials: A review of side-stream based activators. J. Cleaner Prod. 2021, 286, 125558. [Google Scholar] [CrossRef]
- Gu, G.; Xu, F.; Ruan, S.; Huang, X.; Zhu, J.; Peng, C. Influence of precast foam on the pore structure and properties of fly ash-based geopolymer foams. Constr. Build. Mater. 2020, 256, 119410. [Google Scholar] [CrossRef]
- Amran, M.; Fediok, R.; Vatin, N.; Lee, Y.H.; Murali, G.; Ozbakkaloglu, T.; Klyuev, S.; Alabduljabber, H. Fiber-Reinforced Foamed Concrete: A Review. Materials 2020, 13, 4323. [Google Scholar] [CrossRef]
- Hou, L.; Li, J.; Lu, Z.; Niu, Y. Influence of foaming agent on cement and foam concrete. Constr. Build. Mater. 2021, 280, 122399. [Google Scholar] [CrossRef]
- Pasupathy, K.; Ramakrishnan, S.; Sanjayan, J. Enhancing the mechanical and thermal properties of aerated geopolymer concrete using porous lightweight aggregates. Constr. Build. Mater. 2020, 264, 120713. [Google Scholar] [CrossRef]
- Fu, X.; Lai, Z.; Lai, X.; Lu, Z.; Lv, S. Preparation and characteristics of magnesium phosphate cement based porous materials. Constr. Build. Mater. 2016, 127, 712–723. [Google Scholar] [CrossRef]
- Novais, R.M.; Ascensão, G.; Ferreira, N.; Seabra, M.P.; Labrincha, J.A. Influence of water and aluminium powder content on the properties of waste-containing geopolymer foams. Ceram. Int. 2018, 44, 6242–6249. [Google Scholar] [CrossRef]
- Kioupis, D.; Zisimopoulou, A.; Tsivilis, S.; Kakali, G. Development of porous geopolymers foamed by aluminum and zinc powders. Ceram. Internet 2021, 47, 26280–26292. [Google Scholar] [CrossRef]
- Shuai, Q.; Xu, Z.; Yao, Z.; Chen, X.; Jiang, Z.; Peng, X.; An, R.; Li, Y.; Jiang, X.; Li, H. Fire resistance of phosphoric acid-based geopolymer foams fabricated from metakaolin and hydrogen peroxide. Mater. Lett. 2020, 263, 127228. [Google Scholar] [CrossRef]
- Yan, S.; Zhang, F.; Liu, J.; Ren, B.; He, P.; Jia, D.; Yang, J. Green synthesis of high porosity waste gangue microsphere/geopolymer composite foams via hydrogen peroxide modification. J. Cleaner Prod. 2019, 227, 483–494. [Google Scholar] [CrossRef]
- Shi, J.; Liu, B.; Liu, Y.; Wang, E.; He, Z.; Xu, H.; Ren, X. Preparation and characterization of lightweight aggregate foamed geopolymer concretes aerated using hydrogen peroxide. Constr. Build. Mater. 2020, 256, 119442. [Google Scholar] [CrossRef]
- Yang, Y.; Zhou, Q.; Deng, Y.; Lin, J. Reinforcement effects of multi-scale hybrid fiber on flexural and fracture behaviors of ultra-low-weight foamed cement-based composites. Cement Concrete Comp. 2020, 108, 103509. [Google Scholar] [CrossRef]
- Ducman, V.; Korat, L. Characterization of geopolymer fly-ash based foams obtained with the addition of Al powder or H2O2 as foaming agents. Mater. Charact. 2016, 113, 207–213. [Google Scholar] [CrossRef]
- Li, T.; Huang, F.; Zhu, J.; Tang, J.; Liu, J. Effect of foaming gas and cement type on the thermal conductivity of foamed concrete. Constr. Build. Mater. 2020, 231, 117197. [Google Scholar] [CrossRef]
- Ji, Z.; Li, M.; Su, L.; Pei, Y. Porosity, mechanical strength and structure of waste-based geopolymer foams by different stabilizing agents. Constr. Build. Mater. 2020, 258, 119555. [Google Scholar] [CrossRef]
- Falliano, D.; De Domenico, D.; Ricciardi, G.; Gugliandolo, E. Experimental investigation on the compressive strength of foamed concrete: Effect of curing conditions, cement type, foaming agent and dry density. Constr. Build. Mater. 2018, 165, 735–749. [Google Scholar] [CrossRef]
- He, J.; Gao, Q.; Song, X.; Bu, X.; He, J. Effect of foaming agent on physical and mechanical properties of alkali-activated slag foamed concrete. Constr. Build. Mater. 2019, 226, 280–287. [Google Scholar] [CrossRef]
- Pasupathy, K.; Ramakrishnan, S.; Sanjayan, J. influence of recycled concrete aggregate on the foam stability of aerated geopolymer concrete. Constr. Build. Mater. 2021, 271, 121850. [Google Scholar] [CrossRef]
- Hajimohammadi, A.; Ngo, T.; Mendis, P.; Kashani, K.; van Deventer, J.S.J. Alkali activated slag foams: The effect of the alkali reaction on foam characteristics. J. Clean. Prod. 2017, 147, 330–339. [Google Scholar] [CrossRef]
- Kränzlein, E.; Pollmann, H.; Krcmar, W. Metal powders as foaming agents in fly ash based geopolymer synthesis and their impact on the structure depending on the Na/Al ratio. Cem. Concr. Comp. 2018, 90, 161–168. [Google Scholar] [CrossRef]
- Klapiszewska, I.; Parus, A.; Ławniczak, Ł.; Jesionowski, T.; Klapiszewski, Ł.; Ślosarczyk, A. Production of antibacterial cement composites containing ZnO/lignin and ZnO-SiO2/lignin hybrid admixtures. Cem. Concr. Comp. 2021, 124, 104250. [Google Scholar] [CrossRef]
- Noeiaghaei, T.; Dhami, N.; Mukherjeem, A. Nanoparticles surface treatment on cemented materials for inhibition of bacterial growth. Constr. Build. Mater. 2017, 150, 880–891. [Google Scholar] [CrossRef]
- Abo-El-Enein, S.A.; El-Hosiny, F.I.; El-Gamal, S.M.A.; Amin, M.S.; Ramadan, M. Gamma radiation shielding, fire resistance and physicochemical characteristics of Portland cement pastes modified with synthesized Fe2O3 and ZnO nanoparticles. Constr. Build. Mater. 2018, 173, 687–706. [Google Scholar] [CrossRef]
- Le Pivert, M.; Zerelli, B.; Martin, N.; Capochichi-Gnambodoe, M.; Leprince-Wang, Y. Smart ZnO decorated optimized engineering materials for water purification under natural sunlight. Constr. Build. Mater. 2020, 257, 119592. [Google Scholar] [CrossRef]
- Troconis de Rincón, O.; Pérez, O.; Paredes, E.; Caldera, Y.; Urdaneta, C.; Sandoval, I. Long-term performance of ZnO as a rebar corrosion inhibitor. Cem. Concr. Comp. 2002, 24, 79–87. [Google Scholar] [CrossRef]
- Loh, K.; Gaylarde, C.C.; Shirakawa, M.A. Photocatalytic activity of ZnO and TiO2 ‘nanoparticles’ for use in cement Mixes. Constr. Build. Mater. 2018, 167, 853–859. [Google Scholar] [CrossRef]
- Bica, B.O.; Staub de Melo, J.V. Concrete blocks nano-modified with zinc oxide (ZnO) for photocatalytic paving: Performance comparison with titanium dioxide (TiO2). Constr. Build. Mater. 2020, 252, 119120. [Google Scholar] [CrossRef]
- Reichlek, R.; Mccurdy, E.; Heple, L. Zinc Hydroxide: Solubility Product and Hydroxy-597 complex Stability Constants from 12.5–75 °C. Can. J. Chem. 1975, 53, 3841–3845. [Google Scholar] [CrossRef]
- Degen, A.; Kosec, M. Effect of pH and impurities on the surface charge of zinc oxide in 599 aqueous solution. J. Eur. Ceram. Soc. 2000, 20, 667–673. [Google Scholar] [CrossRef]
- ASTM International. Standard Practice for Mechanical Mixing of Hydraulic Cement Pastes and Mortars of Plastic Consistency; ASTM C305; ASTM International: West Conshohocken, PA, USA, 2014. [Google Scholar]
- ASTM International. Standard Test Method for Time of Setting of Hydraulic-Cement Paste by Gillmore Needles; ASTM C266; ASTM International: West Conshohocken, PA, USA, 2015. [Google Scholar]
- ASTM International. Standard Specification for Flow Table for Use in Tests of Hydraulic Cement; ASTM C230; ASTM International: West Conshohocken, PA, USA, 2008. [Google Scholar]
- ASTM International. Standard Test Method for Rate of Water Absorption of Masonry Mortars; ASTM C1403; ASTM International: West Conshohocken, PA, USA, 2015. [Google Scholar]
- Kim, T.; Kang, C. The Mechanical Properties of Alkali-Activated Slag-Silica Fume Cement Pastes by Mixing Method. Int. J. Concr. Struct. Mater. 2020, 14, 41. [Google Scholar] [CrossRef]
- Jun, Y.; Kim, T.; Kim, J.H. Chloride-bearing characteristics of alkali-activated slag mixed with seawater: Effect of different salinity levels. Cement Concrete Comp. 2020, 112, 103680. [Google Scholar] [CrossRef]
- Yum, W.S.; Jeong, Y.; Yoon, S.; Jeon, D.; Jun, Y.; Oh, J.E. Effects of CaCl2 on hydration and properties of lime(CaO)-activated slag/fly ash binder. Cement Concrete Comp. 2017, 84, 111–123. [Google Scholar] [CrossRef]
- Garg, N.; White, C.E. Mechanism of zinc oxide retardation in alkali activated materials: An in situ X-ray pair distribution function investigation. J. Mater. Chem. A 2017, 5, 11794–11804. [Google Scholar] [CrossRef]
- Mohsen, A.; Abdel-Gawwad, H.A.; Ramadan, M. Performance, radiation shielding, and anti-fungal activity of alkali-activated slag individually modified with zinc oxide and zinc ferrite nano-particles. Constr. Build. Mater. 2020, 257, 119584. [Google Scholar] [CrossRef]
- Taylor-Lange, S.C.; Riding, K.A.; Juenger, M.C.G. Increasing the reactivity of metakaolin-cement blends using zinc oxide. Cem. Concr. Comp. 2012, 34, 835–847. [Google Scholar] [CrossRef]
- Amer, M.W.; Fawwaz, I.K.; Akl, M.A. Adsorption of lead, zinc and cadmium ions on polyphosphate-modified kaolinite clay. J. Environ. Chem. Ecotoxicol. 2010, 2, 1–8. [Google Scholar]
- Nochaiya, T.; Sekine, Y.; Choopun, S.; Chaipanich, A. Microstructure, characterizations, functionality and compressive strength of cement-based materials using zinc oxide nanoparticles as an additive. J. Alloys Compd. 2015, 630, 1–10. [Google Scholar] [CrossRef]
- Šiler, P.; Kolářová, I.; Novotný, R.; Másilko, J.; Pořízka, J.; Bednárek, J.; Švec, J.; Opravil, T. Application of isothermal and isoperibolic calorimetry to assess the effect of zinc on cement hydration. J. Therm. Anal. Calorim. 2018, 133, 27–40. [Google Scholar] [CrossRef]
- Nambiar, E.K.K.; Ramamurthy, K. Air–void characterisation of foam concrete. Cem. Concr. Res. 2007, 37, 221–230. [Google Scholar] [CrossRef]
- Cabrillac, R.; Fiorio, B.; Beaucour, A.; Dumontet, H.; Ortola, S. Experimental study of the mechanical anisotropy of aerated concrete and of the adjustment parameters on the induced porosity. Constr. Build. Mater. 2006, 20, 286–295. [Google Scholar] [CrossRef]
- Masi, G.; Rickard, W.D.A.; Bignozzi, M.C.; Riessen, A. The influence of short fibres and foaming agents on the physical and thermal behaviour of geopolymer composites. Adv. Sci. Technol. 2014, 92, 56–61. [Google Scholar] [CrossRef]









| Chemical Components (%) | Density (g/cm3) | Fineness (cm2/kg) | LOI (%) | |||||||
|---|---|---|---|---|---|---|---|---|---|---|
| SiO2 | Al2O | Fe2O3 | MgO | CaO | K2O | SO3 | ||||
| Slag | 34.57 | 10.88 | 0.61 | 4.19 | 44.56 | 0.37 | 3.94 | 2.89 | 4200 | 0.96 |
| w/b | Curing Temperature (°C) | ZP Contents (%) |
|---|---|---|
| 0.35 | 23 ± 2 °C | 0.00 |
| 0.25 | ||
| 0.50 | ||
| 0.75 | ||
| 1.00 | ||
| 0.45 | 0.00 | |
| 0.25 | ||
| 0.50 | ||
| 0.75 | ||
| 1.00 | ||
| 0.35 | 40 ± 2 °C | 0.00 |
| 0.25 | ||
| 0.50 | ||
| 0.75 | ||
| 1.00 | ||
| 0.45 | 0.00 | |
| 0.25 | ||
| 0.50 | ||
| 0.75 | ||
| 1.00 |
| w/b | Setting Time (min) | Flow Value (mm) | |
|---|---|---|---|
| Initial | Final | ||
| 0.35 | 20 | 25 | 205 |
| 0.45 | 55 | 65 | overflow |
| Label | Hydration Reactant |
|---|---|
| C | calcite |
| C1 | monocarboaluminate |
| C2 | C-S-H(I) |
| C3 | C-S-H gel |
| C4 | calcium aluminum oxide sulfate hydrate |
| C5 | calcium iron sulfate hydrate |
| H | Hydrotalcite |
| K | Katoite |
| S | Stratlingite |
| G | Hydrogarnet |
| Cz | Calcium zinc oxide (Wurzite type) |
| Z | Zinc hydroxide |
Publisher’s Note: MDPI stays neutral with regard to jurisdictional claims in published maps and institutional affiliations. |
© 2021 by the authors. Licensee MDPI, Basel, Switzerland. This article is an open access article distributed under the terms and conditions of the Creative Commons Attribution (CC BY) license (https://creativecommons.org/licenses/by/4.0/).
Share and Cite
Kim, T.; Kang, C.; Seo, K. Development and Characteristics of Aerated Alkali-Activated Slag Cement Mixed with Zinc Powder. Materials 2021, 14, 6293. https://doi.org/10.3390/ma14216293
Kim T, Kang C, Seo K. Development and Characteristics of Aerated Alkali-Activated Slag Cement Mixed with Zinc Powder. Materials. 2021; 14(21):6293. https://doi.org/10.3390/ma14216293
Chicago/Turabian StyleKim, Taewan, Choonghyun Kang, and Kiyoung Seo. 2021. "Development and Characteristics of Aerated Alkali-Activated Slag Cement Mixed with Zinc Powder" Materials 14, no. 21: 6293. https://doi.org/10.3390/ma14216293
APA StyleKim, T., Kang, C., & Seo, K. (2021). Development and Characteristics of Aerated Alkali-Activated Slag Cement Mixed with Zinc Powder. Materials, 14(21), 6293. https://doi.org/10.3390/ma14216293

