Possible Evidence for Berezinskii–Kosterlitz–Thouless Transition in Ba(Fe0.914Co0.086)2As2 Crystals
Abstract
1. Introduction
2. Experimental Methods
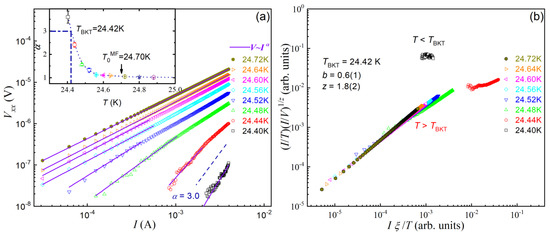
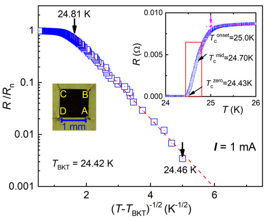
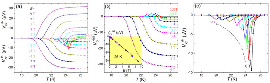
3. Data Analysis
4. Summary and Discussion
Author Contributions
Funding
Institutional Review Board Statement
Informed Consent Statement
Data Availability Statement
Conflicts of Interest
References
- Mazin, I.I. Superconductivity gets an iron boost. Nature 2010, 464, 183–186. [Google Scholar] [CrossRef]
- Basov, D.N.; Chubukov Andrey, V. Manifesto for a higher Tc. Nat. Phys. 2011, 7, 272–276. [Google Scholar] [CrossRef]
- Scalapino, D.J. A common thread: The pairing interaction for unconventional superconductors. Rev. Mod. Phys. 2012, 84, 1383–1417. [Google Scholar] [CrossRef]
- Yuan, H.Q.; Singleton, J.; Balakirev, F.; Baily, S.A.; Chen, G.F.; Luo, J.L.; Wang, N.L. Nearly isotropic superconductivity in (Ba,K)Fe2As2. Nature 2009, 457, 565–568. [Google Scholar] [CrossRef] [PubMed]
- Ni, N.; Bud’ko, S.L.; Kreyssig, A.; Nandi, S.; Rustan, G.E.; Goldman, A.I.; Gupta, S.; Corbett, J.D.; Kracher, A.; Canfield, P.C. Anisotropic thermodynamic and transport properties of single-crystalline Ba1− xKxFe2As2 (x = 0 and 0.45). Phys. Rev. B 2008, 78, 014507. [Google Scholar] [CrossRef]
- Blatter, G.; Feigel’Man, M.V.; Geshkenbein, V.B.; Larkin, A.I.; Vinokur, V.M. Vortices in high-temperature superconductors. Rev. Mod. Phys. 1994, 66, 1125–1388. [Google Scholar] [CrossRef]
- Anderson, P.W. The Theory of Superconductivity in the High-Tc Cuprate Superconductivity; Princeton University Press: Princeton, NJ, USA, 1997. [Google Scholar]
- Kosterlitz, J.M.; Thouless, D.J. Ordering, metastability and phase transitions in two-dimensional systems. J. Phys. C 1973, 6, 1181. [Google Scholar] [CrossRef]
- Martin, S.; Fiory, A.T.; Espinosa, G.P.; Cooper, A.S.; Fleming, R.M. Vortex-Pair Excitation near the Superconducting Transition of Bi2Sr2CaCu2O8 Crystals. Phys. Rev. Lett. 1989, 62, 677–680. [Google Scholar] [CrossRef] [PubMed]
- Artemenko, S.; Gorlova, I.; Latyshev, Y. Vortex motion and kosterlitz-thouless transition in superconducting single crystals Bi2Sr2CaCu2Ox. Phys. Lett. A 1989, 138, 428–434. [Google Scholar] [CrossRef]
- Stamp, P.C.E.; Forro, L.; Ayache, C. Kosterlitz-Thouless transition of fluxless solitons in superconducting YBa2Cu3O7−δ single crystals. Phys. Rev. B 1988, 38, 2847. [Google Scholar] [CrossRef]
- Yeh, N.-C.; Tsuei, C.C. Quasi-two-dimensional phase fluctuations in bulk superconducting YBa2Cu3O7 single crystals. Phys. Rev. B 1989, 39, 9708–9711. [Google Scholar] [CrossRef]
- Li, Q.; Huecker, M.; Gu, G.D.; Tsvelik, A.M.; Tranquada, J.M. Two-Dimensional Superconducting Fluctuations in Stripe-Ordered La1.875Ba0.125CuO4. Phys. Rev. Lett. 2007, 99, 067001. [Google Scholar] [CrossRef] [PubMed]
- Beasley, M.R.; Mooij, J.E.; Orlando, T.P. Possibility of Vortex-Antivortex Pair Dissociation in Two-Dimensional Superconductors. Phys. Rev. Lett. 1979, 42, 1165–1168. [Google Scholar] [CrossRef]
- Hebard, A.F.; Fiory, A.T. Evidence for the Kosterlitz-Thouless transition in thin superconducting aluminum films. Phys. Rev. Lett. 1980, 44, 291. [Google Scholar] [CrossRef]
- Jensen, H.J.; Minnhagen, P. Two-dimensional vortex fluctuations in the nonlinear current-voltage characteristics for high-temperature superconductors. Phys. Rev. Lett. 1991, 66, 1630–1633. [Google Scholar] [CrossRef] [PubMed]
- Bulaevskii, L.N.; Ledvij, M.; Kogan, V.G. Fluctuations of vortices in layered high-Tc superconductors. Phys. Rev. Lett. 1992, 68, 3773. [Google Scholar] [CrossRef]
- Vasek, P. Transverse voltage in high-Tc superconductors in zero magnetic fields. Phys. C Supercond. 2001, 364–365, 194–196. [Google Scholar] [CrossRef]
- Janeček, I.; Vašek, P. Reciprocity theorem in high-temperature superconductors. Phys. C Supercond. 2003, 390, 330–340. [Google Scholar] [CrossRef]
- Xu, Z.A.; Ong, N.P.; Wang, Y.; Kakeshita, T.; Uchida, S.I. Vortex-like excitations and the onset of superconducting phase fluctuation in underdoped La2-xSrx CuO4. Nature 2000, 406, 486–488. [Google Scholar] [CrossRef]
- Pallecchi, I.; Fanciulli, C.; Tropeano, M.; Palenzona, A.; Ferretti, M.; Malagoli, A.; Martinelli, A.; Sheikin, I.; Putti, M.; Ferdeghini, C. Upper critical field and fluctuation conductivity in the critical regime of doped SmFeAsO. Phys. Rev. B 2009, 79, 104515. [Google Scholar] [CrossRef]
- Lee, H.-S.; Park, J.-H.; Lee, J.-Y.; Kim, J.-Y.; Sung, N.-H.; Cho, B.; Lee, H.-J. Two-dimensional superconductivity of SmFeAsO0.85 single crystals: A fluctuation-conductivity study. Phys. C Supercond. 2010, 470, S422–S423. [Google Scholar] [CrossRef]
- Rullier-Albenque, F.; Colson, D.; Forget, A.; Alloul, H. Multiorbital Effects on the Transport and the Superconducting Fluctuations in LiFeAs. Phys. Rev. Lett. 2012, 109, 187005. [Google Scholar] [CrossRef]
- Fanfarillo, L.; Benfatto, L.; Caprara, S.; Castellani, C.; Grilli, M. Theory of fluctuation conductivity from interband pairing in pnictide superconductors. Phys. Rev. B 2009, 79, 172508. [Google Scholar] [CrossRef]
- Ge, J.; Cao, S.; Yuan, S.; Kang, B.; Zhang, J. Three-dimensional superconductivity in nominal composition Fe1.03Se with up to 10.9 K induced by internal strain. J. Appl. Phys. 2010, 108, 53903. [Google Scholar] [CrossRef]
- Marra, P.; Nigro, A.; Li, Z.; Chen, G.F.; Wang, N.L.; Luo, J.L.; Noce, C. Paraconductivity of the K-doped SrFe2As2 superconductor. N. J. Phys. 2012, 14, 043001. [Google Scholar] [CrossRef][Green Version]
- Tang, F.; Wang, P.; Wang, P.; Gan, Y.; Gu, G.D.; Zhang, W.; He, M.; Zhang, L. Quasi-2D superconductivity in FeTe0.55Se0.45 ultrathin film. J. Phys. Condens. Matter 2019, 31, 265702. [Google Scholar] [CrossRef]
- Wang, X.F.; Wu, T.; Wu, G.; Liu, R.H.; Chen, H.; Xie, Y.L.; Chen, X.H. The peculiar physical properties and phase diagram of BaFe2-xCoxAs2 single crystals. N. J. Phys. 2009, 11, 045003. [Google Scholar] [CrossRef]
- Fisher, D.S.; Fisher, M.P.A.; Huse, D.A. Thermal fluctuations, quenched disorder, phase transitions, and transport in type-II superconductors. Phys. Rev. B 1991, 43, 130–159. [Google Scholar] [CrossRef]
- Jiang, S.; Xing, H.; Xuan, G.; Ren, Z.; Wang, C.; Xu, Z.-A.; Cao, G. Superconductivity and local-moment magnetism in Eu(Fe0.89Co0.11)2As2. Phys. Rev. B 2009, 80, 184514. [Google Scholar] [CrossRef]
- Van der Pauw, L.J. A method of measuring specific resistivity and Hall effect of discs of arbitrary shape. Philips Res. Rep. 1958, 13, 1–9. [Google Scholar]
- Sample, H.H.; Bruno, W.J.; Sample, S.B.; Sichel, E.K. Reverse-field reciprocity for conducting specimens in magnetic fields. J. Appl. Phys. 1987, 61, 1079–1084. [Google Scholar] [CrossRef]
- Pierson, S.W.; Friesen, M.; Ammirata, S.M.; Hunnicutt, J.C.; Gorham, L.A. Dynamic scaling for two-dimensional superconductors, Josephson-junction arrays, and superfluids. Phys. Rev. B 1999, 60, 1309–1325. [Google Scholar] [CrossRef]
- Halperin, B.I.; Nelson, D.R. Resistive transition in superconducting films. J. Low Temp. Phys. 1979, 36, 599–616. [Google Scholar] [CrossRef]
- Aslamazov, L.G.; Larkin, A.I. Effect of fluctuations on the properties of a superconductor above the critical temperature. Sov. Phys. Solid State 1968, 10, 875. [Google Scholar] [CrossRef]
- Tinkham, M. Introduction to Superconductivity, 2nd ed.; McGraw-Hill: New York, NY, USA, 1996. [Google Scholar]
- Nelson, D.R.; Kosterlitz, J.M. Universal Jump in the Superfluid density of two-dimensional superfluids. Phys. Rev. Lett. 1977, 39, 1201–1205. [Google Scholar] [CrossRef]
- Lv, J.-P.; Liu, H.; Chen, Q.-H. Phase transition in site-diluted Josephson junction arrays: A numerical study. Phys. Rev. B 2009, 79, 104512. [Google Scholar] [CrossRef]
- Vašek, P.; Janeček, I.; Plecháček, V. Intrinsic pinning and guided motion of vortices in high-Tc superconductors. Phys. C Supercond. 1995, 247, 381–384. [Google Scholar] [CrossRef]
- Chu, J.-H.; Analytis, J.G.; De Greve, K.; McMahon, P.L.; Islam, Z.; Yamamoto, Y.; Fisher, I.R. In-plane resistivity anisotropy in an underdoped iron arsenide superconductor. Science 2010, 329, 824–826. [Google Scholar] [CrossRef] [PubMed]
- Yin, Y.; Zech, M.; Williams, T.L.; Wang, X.F.; Wu, G.; Chen, X.H.; Hoffman, J.E. Scanning tunneling spectroscopy and vortex imaging in the iron pnictide superconductor BaFe1.8Co0.2As2. Phys. Rev. Lett. 2009, 102, 097002. [Google Scholar] [CrossRef] [PubMed]
- Niessen, A.K.; Weijsenfeld, C.H. Anisotropic Pinning and Guided Motion of Vortices in Type-II Superconductors. J. Appl. Phys. 1969, 40, 384–393. [Google Scholar] [CrossRef]
- Wang, L.M.; Sou, U.C.; Yang, H.C.; Chang, L.J.; Cheng, C.M.; Tsuei, K.D.; Su, Y.; Wolf, T.; Adelmann, P. Mixed-state Hall effect and flux pinning in Ba(Fe1−xCox)2As2 single crystals (x = 0.08 and 0.10). Phys. Rev. B 2011, 83, 134506. [Google Scholar] [CrossRef]
- Segal, A.; Karpovski, M.; Gerber, A. Inhomogeneity and transverse voltage in superconductors. Phys. Rev. B 2011, 83, 094531. [Google Scholar] [CrossRef]
- Cotón, N.; Ramallo, M.; Vidal, F. Effects of critical temperature inhomogeneities on the voltage–current characteristics of a planar superconductor near the Berezinskii–Kosterlitz–Thouless transition. Supercond. Sci. Technol. 2011, 24, 085013. [Google Scholar] [CrossRef]
- Lumsden, M.D.; Christianson, A.D.; Parshall, D.; Stone, M.B.; Nagler, S.E.; MacDougall, G.J.; Mook, H.A.; Lokshin, K.; Egami, T.; Abernathy, D.L.; et al. Two-dimensional resonant magnetic excitation in BaFe1.84Co0.16As2. Phys. Rev. Lett. 2009, 102, 107005. [Google Scholar] [CrossRef]
- Biswas, P.K.; Krzton-Maziopa, A.; Khasanov, R.; Luetkens, H.; Pomjakushina, E.; Conder, K.; Amato, A. Two-Dimensional Superfluid Density in an Alkali Metal-Organic Solvent Intercalated Iron Selenide Superconductor Li(C5H5N)0.2Fe2Se2. Phys. Rev. Lett. 2013, 110, 137003. [Google Scholar] [CrossRef]
- Kang, B.L.; Shi, M.Z.; Li, S.J.; Wang, H.H.; Zhang, Q.; Zhao, D.; Li, J.; Song, D.W.; Zheng, L.X.; Nie, L.P.; et al. Preformed cooper pairs in layered FeSe-based superconductors. Phys. Rev. Lett. 2020, 125, 097003. [Google Scholar] [CrossRef] [PubMed]
- Wang, Q.-Y.; Li, Z.; Zhang, W.-H.; Zhang, Z.-C.; Zhang, J.-S.; Li, W.; Ding, H.; Ou, Y.-B.; Deng, P.; Chang, K.; et al. Interface-induced high-temperature superconductivity in single unit-cell FeSe films on SrTiO3. Chin. Phys. Lett. 2012, 29, 037402. [Google Scholar] [CrossRef]
- Kano, M.; Kohama, Y.; Graf, D.; Balakirev, F.; Sefat, A.S.; Mcguire, M.A.; Sales, B.C.; Mandrus, D.; Tozer, S.W. Anisotropy of the upper critical field in a Co-doped BaFe2As2 single crystal. J. Phys. Soc. Jpn. 2009, 78, 084719. [Google Scholar] [CrossRef]




Publisher’s Note: MDPI stays neutral with regard to jurisdictional claims in published maps and institutional affiliations. |
© 2021 by the authors. Licensee MDPI, Basel, Switzerland. This article is an open access article distributed under the terms and conditions of the Creative Commons Attribution (CC BY) license (https://creativecommons.org/licenses/by/4.0/).
Share and Cite
Jiao, W.-H.; Xu, X.-F.; Jiang, H.; Xu, Z.-A.; Chen, Q.-H.; Cao, G.-H. Possible Evidence for Berezinskii–Kosterlitz–Thouless Transition in Ba(Fe0.914Co0.086)2As2 Crystals. Materials 2021, 14, 6294. https://doi.org/10.3390/ma14216294
Jiao W-H, Xu X-F, Jiang H, Xu Z-A, Chen Q-H, Cao G-H. Possible Evidence for Berezinskii–Kosterlitz–Thouless Transition in Ba(Fe0.914Co0.086)2As2 Crystals. Materials. 2021; 14(21):6294. https://doi.org/10.3390/ma14216294
Chicago/Turabian StyleJiao, Wen-He, Xiao-Feng Xu, Hao Jiang, Zhu-An Xu, Qing-Hu Chen, and Guang-Han Cao. 2021. "Possible Evidence for Berezinskii–Kosterlitz–Thouless Transition in Ba(Fe0.914Co0.086)2As2 Crystals" Materials 14, no. 21: 6294. https://doi.org/10.3390/ma14216294
APA StyleJiao, W.-H., Xu, X.-F., Jiang, H., Xu, Z.-A., Chen, Q.-H., & Cao, G.-H. (2021). Possible Evidence for Berezinskii–Kosterlitz–Thouless Transition in Ba(Fe0.914Co0.086)2As2 Crystals. Materials, 14(21), 6294. https://doi.org/10.3390/ma14216294

