Uniaxial Compression Mechanical Properties of Foam Nickel/Iron-Epoxy Interpenetrating Phase Composites
Abstract
:1. Introduction
2. Materials and Methods
2.1. Materials
2.2. Preparation of Composite Materials
2.3. Compressive Test
3. Results
3.1. Analysis of Deformation and Failure Morphology
3.2. Mechanics Property Analysis
3.3. Energy Absorption Performance Analysis
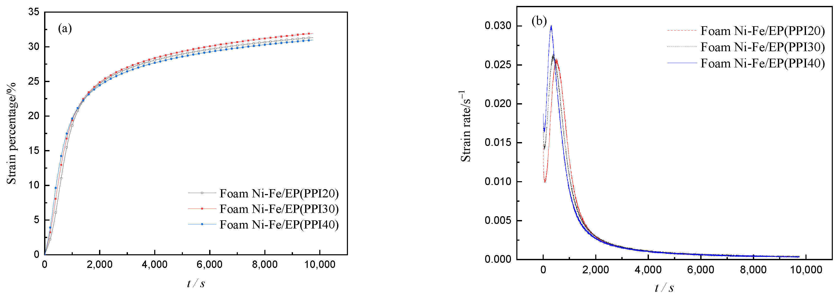
3.4. Stress Relaxation Analysis
3.5. Creep Analysis
4. Conclusions
- (1)
- The three-stage deformation characteristics of typical foam materials appeared in the compression process of pure foam Ni-Fe. Foam Ni-Fe/EP interpenetrating phase composites (IPC) have four stages of deformation. The plastic platform stage was very short when PPI was 20, similar to that of pure epoxy resin.
- (2)
- The effective elastic modulus of the three kinds of foam Ni-Fe/EP interpenetrating phase composites (IPC) was smaller than that of the pure epoxy resin, but all were greatly improved than that of the pure foam Ni-Fe. Compared with the pure epoxy resin, the foam Ni-Fe/EP composites with PPI30 and 40 had a plastic platform in the compression process, which was higher than that of the pure foam Ni-Fe. The mechanical properties of the three IPC materials first increased and then decreased with the increase in PPI.
- (3)
- Through the comparison and analysis of the mechanical properties of the three materials such as strength, stiffness, specific strength, and specific stiffness, the foam Ni-Fe/EP interpenetrating phase composites with PPI30 and 40 were better than those of pure foam Ni-Fe and pure epoxy and the energy absorption performance was higher than that of pure epoxy resin and pure foam Ni-Fe. As the PPI increased, the energy absorption rate per unit volume of IPC materials decreased.
- (4)
- The three kinds of foam Ni-Fe/EP IPC materials had obvious stress relaxation phenomenon, and the stress relaxation rate decreased first and then increased with the increase in PPI, indicating that the material had obvious viscoelastic and plastic unloading capacity, which is similar to epoxy resin.
- (5)
- The creep behavior of the three kinds of foam Ni-Fe/EP IPC materials was obvious, and the creep rate increased with the increase in PPI in the creep elastic stage. The creep rate decreased with the increase in PPI in the creep transition stage.
Author Contributions
Funding
Institutional Review Board Statement
Informed Consent Statement
Data Availability Statement
Conflicts of Interest
References
- Liu, P.S. Introduction to Cellular Materials; Tsinghua University Press: Beijing, China, 2012; pp. 7–8. [Google Scholar]
- Gracia, C.; Jurado, A.; Zaba, O.; Beltran, P. Detection and quantification of delamination failures in marine composite bulkheads via vibration energy variations. Sensors 2021, 21, 2843. [Google Scholar] [CrossRef]
- Gracia, C.; Trendafilova, I.; Zucchelli, A. The effect of polycaprolactone nanofibers on the dynamic and impact behavior of glass fibre reinforced polymer composites. J. Compos. Sci. 2018, 2, 43. [Google Scholar] [CrossRef] [Green Version]
- Yu, W.; Li, H.J.; Zhao, Z.; Liang, X. Compressive mechanical properties of foam aluminum-epoxy interpenetrating phase composites. Acta Mater. Compos. Sin. 2012, 29, 224–230. [Google Scholar]
- Shunmugasamy, V.C.; Mansoor, B. Compressive behavior of a rolled open-cell aluminum foam. Mater. Sci. Eng. A 2018, 715, 281–294. [Google Scholar] [CrossRef]
- Dukhan, N.; Rayess, N.; Hadley, J. Characterization of aluminum foam-polypropylene interpenetrating phase composites: Flexural test results. Mech. Mater. 2010, 42, 134–141. [Google Scholar] [CrossRef]
- Long, J. Study on Aging Resistance of Aluminum Powder/Epoxy Resin Composite. Master’s Thesis, Xi’an University of Technology, Xi’an, China, June 2020. [Google Scholar]
- Wouterson, E.M.; Boey, F.Y.C.; Hu, X.; Wong, S. Effect of fiber reinforcement on the tensile, fracture and thermal properties of syntactic foam. Polymer 2007, 48, 3183–3191. [Google Scholar] [CrossRef]
- Idris, M.; Vodenitcharova, T.; Hoffman, M. Mechanical behavior and energy absorption of closed-cell aluminum foam panels in uniaxial compression. Mater. Sci. Eng. A 2009, 517, 37–45. [Google Scholar] [CrossRef]
- Jhaver, R.; Tippur, H. Processing, compression response and finite element modeling of syntactic foam based interpenetrating phase composite (IPC). Mater. Sci. Eng. A 2009, 499, 507–517. [Google Scholar] [CrossRef]
- Li, X. Research on Preparation of Epoxy Resin/Hollow Glass Bead Compound Foam Materials. Master’s Thesis, Shanghai Institute of Materials Research, Shanghai, China, May 2016. [Google Scholar]
- Pathak, A.K.; Garg, H.; Singh, M.; Yokozeki, T.; Dhakate, S.R. Enhanced interfacial properties of graphene oxide incorporated carbon fiber reinforced epoxy nanocomposite: A systematic thermal properties investigation. J. Polym. Res. 2019, 26, 23. [Google Scholar] [CrossRef]
- Yu, Y.H.; Ma, Y.S.; Xu, P. Simulation analysis on compression behavior of foamed aluminum/epoxy resin composite. World Sci-Tech. RD 2011, 33, 11–13. [Google Scholar]
- Tilbrook, M.T.; Moon, R.J.; Hoffman, M. On the mechanical properties of alumina-epoxy composites with an interpenetrating network structure. Mater. Sci. Eng. A Struct. Mater. Prop. Microstruct. Process. 2005, 393, 170–178. [Google Scholar] [CrossRef]
- Jiang, S.L.; Hou, S.H.; Liu, Y.; Duan, D.L.; Li, S. Slurry erosion of nickel foam/epoxy/SiC co-continuous composites. Tribology 2017, 37, 44–51. [Google Scholar]
- Damghani, M.N.; Gonabadi, A.M. Numerical study of energy absorption in aluminum foam sandwich panel structures using drop hammer test. J. Sandw. Struct. Mater. 2019, 21, 3–18. [Google Scholar] [CrossRef]
- Xie, B.P. Damping and Mechanical Properties of Ni Foam/Epoxy Resin Composites Modified with CNTs. Master’s Thesis, Wuhan University of Technology, Wuhan, China, May 2017. [Google Scholar]
- Gisbon, L.J.; Ashby, M.F. Cellular Solids: Structure and Propertises, 2nd ed.; Cambridge University Press: London, UK, 1997; pp. 159–161. [Google Scholar]
- Hung, K.C.; Wu, T.L.; Chen, Y.L.; Wu, J.H. Assessing the effect of wood acetylation on mechanical properties and extended creep behavior of wood/recycled-polypropylene composites. Constr. Build. Mater. 2016, 108, 139–145. [Google Scholar] [CrossRef]










| Materials | Foam Material’s Density ρ* (kg·m−3) (103) | Foam Material’s Elastic Modulus E*/Pa (106) | Matrix Material’s Density ρs (kg·m−3) (103) | Matrix Material’s Elastic Modulus Es/Pa (106) | Proportionality Constant C1 |
|---|---|---|---|---|---|
| Pure foam Ni-Fe (PPI20) | 0.18 | 3 | 8.23 | 89,639 | 0.06996 |
| Pure foam Ni-Fe (PPI30) | 0.21 | 6 | 8.23 | 89,639 | 0.10276 |
| Pure foam Ni-Fe (PPI40) | 0.26 | 23 | 8.23 | 89,639 | 0.25696 |
| average | 0.14323 |
| Materials | Density/(kg·m−3) (103) | Elastic Modulus/Pa (106) | Yield Limit/Pa (106) | Specific Stiffness/ (N·m·kg−1) (103) | Specific Strength/ (N·m·kg−1) (103) |
|---|---|---|---|---|---|
| Epoxy(EP) | 1.10 | 390 | / | 355 | / |
| Pure foam Ni-Fe (PPI20) | 0.18 | 3 | 0.4 | 17 | 2.3 |
| Pure foam Ni-Fe (PPI30) | 0.21 | 6 | 0.7 | 28 | 3.3 |
| Pure foam Ni-Fe (PPI40) | 0.26 | 23 | 1.4 | 90 | 5.5 |
| Foam Ni-Fe/EP (PPI20) | 1.43 | 300 | / | 210 | / |
| Foam Ni-Fe/EP (PPI30) | 1.36 | 721 | 55.0 | 530 | 40.4 |
| Foam Ni-Fe/EP (PPI40) | 1.31 | 565 | 36.9 | 431 | 28.2 |
Publisher’s Note: MDPI stays neutral with regard to jurisdictional claims in published maps and institutional affiliations. |
© 2021 by the authors. Licensee MDPI, Basel, Switzerland. This article is an open access article distributed under the terms and conditions of the Creative Commons Attribution (CC BY) license (https://creativecommons.org/licenses/by/4.0/).
Share and Cite
Wang, X.; Zhou, Y.; Li, J.; Li, H. Uniaxial Compression Mechanical Properties of Foam Nickel/Iron-Epoxy Interpenetrating Phase Composites. Materials 2021, 14, 3523. https://doi.org/10.3390/ma14133523
Wang X, Zhou Y, Li J, Li H. Uniaxial Compression Mechanical Properties of Foam Nickel/Iron-Epoxy Interpenetrating Phase Composites. Materials. 2021; 14(13):3523. https://doi.org/10.3390/ma14133523
Chicago/Turabian StyleWang, Xiaoxing, Yu Zhou, Jingli Li, and Huijian Li. 2021. "Uniaxial Compression Mechanical Properties of Foam Nickel/Iron-Epoxy Interpenetrating Phase Composites" Materials 14, no. 13: 3523. https://doi.org/10.3390/ma14133523
APA StyleWang, X., Zhou, Y., Li, J., & Li, H. (2021). Uniaxial Compression Mechanical Properties of Foam Nickel/Iron-Epoxy Interpenetrating Phase Composites. Materials, 14(13), 3523. https://doi.org/10.3390/ma14133523
