Design and Development of Cellulosic Bionanocomposites from Forestry Waste Residues for 3D Printing Applications
Abstract
:1. Introduction
2. Materials
3. Experimental
3.1. Extraction of Cellulose Nanofibres (CNFs) from Saw Dust
3.2. Chemical Modification of Cellulose Nanofibres
3.3. Preparation of cPLA/PBS Biopolymer Blends
3.3.1. Processing of Blends
3.3.2. Preparation of Blends by Injection Moulding
3.3.3. Preparation of Bionanocomposites from CNF’s (Treated and Untreated) and PLA/PBS Blends
3.4. Characterization
4. Results and Discussion
4.1. Characterization of Chemically Modified Cellulose Nanofibres
4.1.1. Fourier Transform InfraRed Spectrometer (FTIR) Studies
4.1.2. TEM Studies of CNFs
4.2. Mechanical Properties of the Biopolymer Blends
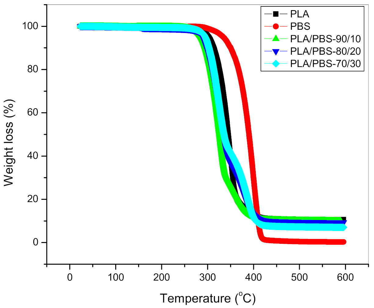
4.3. Thermal Studies of Blends and Bionanocomposites
DSC Results
4.4. Product Development Using 3-Dimensional (3D) Printing
5. Conclusions
Author Contributions
Funding
Institutional Review Board Statement
Informed Consent Statement
Data Availability Statement
Acknowledgments
Conflicts of Interest
References
- New Plastics Economy—A Circular Economy for Plastic in Which It Never Becomes Waste. Available online: https://www.ellenmacarthurfoundation.org/our-work/activities/new-plastics-economy (accessed on 2 June 2021).
- Muthuraj, R.; Misra, M.; Mohanty, A.K. Biodegradable poly(butylene succinate) and poly(butylene adipate-co-terephthalate) Blends: Reactive Extrusion and Performance Evaluation. J. Polym. Environ. 2014, 22, 336–349. [Google Scholar] [CrossRef]
- Wu, D.; Yuan, L.; Laredo, E.; Zhang, M.; Zhou, W. Interfacial properties, viscoelasticity, and thermal behaviors of poly(butylene succinate)/polylactide blend. Ind. Eng. Chem. Res. 2012, 51, 2290–2298. [Google Scholar] [CrossRef]
- Luzi, F.; Fortunati, E.; Jiménez, A.; Puglia, D.; Pezzolla, D.; Gigliotti, G.; Kenny, J.M.; Chiralt, A.; Torre, L. Production and characterization of PLA_PBS biodegradable blends reinforced with cellulose nanocrystals extracted from hemp fibres. Ind. Crops Prod. 2016, 93, 276–289. [Google Scholar] [CrossRef]
- Mousa, H.M.; Hussein, K.H.; Sayed, M.M.; El-Rahman, M.K.A.; Woo, H.M. Development and Characterization of Cellulose/Iron Acetate Nanofibers for Bone Tissue Engineering Applications. Polymers 2021, 13, 1339. [Google Scholar] [CrossRef]
- Yong, C.; Mei, C.; Guan, M.; Wu, Q.; Sun, X.; Xu, B.; Wang, K. Interfacial modification mechanism of nanocellulose as a compatibilizer for immiscible binary poly(vinyl alcohol)/poly(ethylene oxide) blends. J. Appl. Polym. Sci. 2018, 135, 45896. [Google Scholar] [CrossRef]
- Yu, S.; Sun, J.; Shi, Y.; Wang, Q.; Wu, J.; Liu, J. Nanocellulose from various biomass wastes: Its preparation and potential usages towards the high value-added products. Environ. Sci. Ecotechnol. 2021, 5, 100077. [Google Scholar] [CrossRef]
- Mousa, H.M.; Al Fahdel, H.; Nasr, E.A. Engineering and Characterization of Antibacterial Coaxial Nanofiber Membranes for Oil/Water Separation. Polymers 2020, 12, 2597. [Google Scholar] [CrossRef]
- Wang, Y.; Ying, Z.; Xie, W.; Wu, D. Cellulose nanofibers reinforced biodegradable polyester blends: Ternary biocomposites with balanced mechanical properties. Carbohydr. Polym. 2020, 233, 115845. [Google Scholar] [CrossRef]
- Platnieks, O.; Sereda, A.; Gaidukovs, S.; Thakur, V.K.; Barkane, A.; Gaidukova, G.; Filipova, I.; Ogurcovs, A.; Fridrihsone, V. Adding value to poly (butylene succinate) and nanofibrillated cellulose-based sustainable nanocomposites by applying masterbatch process. Ind. Crop. Prod. 2021, 169, 113669. [Google Scholar] [CrossRef]
- Tolga, S.; Kabasci, S.; Duhme, M. Progress of Disintegration of Polylactide (PLA)/Poly(Butylene Succinate) (PBS) Blends Containing Talc and Chalk Inorganic Fillers under Industrial Composting Conditions. Polymers 2021, 13, 10. [Google Scholar] [CrossRef]
- Jamnongkan, T.; Yosta, A.; Thanesthakul, B.; Sugimoto, M.; Hara, T.; Takatsuka, Y.; Mongkholrattanasit, R. Effect of ZnO Nanoparticles on the Physical Properties of PLA/PBS Biocomposite Films. In Materials Science Forum; Trans Tech Publications Ltd.: Bäch, Switzerland, 2021; Volume 1033, pp. 143–150. ISSN 1662-9752. [Google Scholar]
- Mokhena, T.; John, M.J. Esterified cellulose nanofibres from saw dust using vegetable oil. Int. J. Biomacromol. 2020, 148, 1109–11107. [Google Scholar] [CrossRef]
- Ilyas, R.A.; Sapuan, S.M.; Ishak, M.R. Isolation and characterization of nanocrystalline cellulose from sugar palm fibers (Arenga pinnata). Carbohydr. Polym. 2018, 181, 1038–1051. [Google Scholar] [CrossRef]
- Wei, L.; Agarwal, U.P.; Hirth, K.C.; Matuana, L.M.; Sabo, R.C.; Stark, N.M. Chemical modification of nanocellulose with canola oil fatty acid methyl ester. Carbohydr. Polym. 2017, 169, 108–116. [Google Scholar] [CrossRef] [Green Version]
- Ventura-Cruz, S.; Tecante, A. Extraction and characterization of cellulose nanofibers from Rose stems (Rosa spp.). Carbohydr. Polym. 2019, 220, 50–53. [Google Scholar] [CrossRef]
- Leite-Pereira, L.M.; Zanon, C.D.; Menegalli, F.C. Isolation and characterization of cellulose nanofibers from cassava root bagasse and peelings. , Carbohydr. Polym. 2017, 157, 962–970. [Google Scholar] [CrossRef]
- Moriana, R.; Vilaplana, F.; Monica, E.K. Cellulose nanocrystals from forest residues as reinforcing agents for composites: A study from macro-to-nano-dimensions. Carbohydr. Polym. 2016, 139, 139–149. [Google Scholar] [CrossRef]
- Saurabh, C.K.; Mustapha, A.; Masri, M.M.; Owolabi, A.F.; Syakir, M.I.; Dungani, R. Isolation and characterization of cellulose nanofibers from Gigantochloa scortechinii as a reinforcement material. J. Nanomater. 2016, 3, 1–8. [Google Scholar] [CrossRef] [Green Version]
- Wei, L.; McDonald, A.G.; Freitag, C.; Morrell, J.J. Effects of wood fiber esterification on properties, weatherability and biodurability of wood plastic composites. Polym. Degrad. Stab. 2013, 98, 1348–1356. [Google Scholar] [CrossRef]
- Jabbari, E.; Wisniewski, N.; Peppas, N.A. Evidence of mucoadhesion by chain interpenetration at a poly (acrylic acid)/mucin interface using ATR-FTIR spectroscopy. J. Control. Release 1993, 26, 99–108. [Google Scholar] [CrossRef]
- Hernandez, C.C.; Ferreira, F.F.; Rosa, D.S. X-ray powder diffraction and other analyses of cellulose nanocrystals obtained from corn straw by chemical treatments. Carbohydr. Polym. 2018, 193, 39–44. [Google Scholar] [CrossRef]
- Pacaphol, K.; Aht-Ong, D. Preparation of hemp nanofibers from agricultural waste by mechanical defibrillation in water. J. Clean. Prod. 2017, 142, 1283–1295. [Google Scholar] [CrossRef]
- Ilyas, R.A.; Sapuan, S.M.; Ishak, M.R.; Zainudin, E.S. Sugar palm nanofibrillated cellulose (Arenga pinnata (Wurmb.) Merr): Effect of cycles on their yield, physic-chemical, morphological and thermal behavior. Int. J. Biol. Macromol. 2019, 123, 379–388. [Google Scholar] [CrossRef]
- Bhatia, A.; Gupta, R.; Bhattacharya, S.; Choi, H. Compatibility of Biodegradable Poly (lactic acid) (PLA) and Poly (butylene succinate) (PBS) Blends for Packaging Application. Korea Aust. Rheol. J. 2007, 19, 125–131. [Google Scholar]
- Fortunati, E.; Armentano, I.; Zhou, Q.; Iannoni, A.; Saino, E.; Visai, L.; Berglund, L.A.; Kenny, J.M. Multifunctional bionanocomposite films of poly(lactic acid), cellulose nanocrystals and silver nanoparticles. Carbohydr. Polym. 2012, 87, 1596–1605. [Google Scholar] [CrossRef]
- Lu, S.F.; Chen, M.; Chen, C.H. Mechanisms and kinetics of thermal degradation of poly(butylene succinate-co-propylene succinates). J. Appl. Polym. Sci. 2012, 123, 3610–3619. [Google Scholar] [CrossRef]
- Tingaut, P.; Zimmermann, T.; Lopez-Suevos, F. Synthesis and Characterization of Bionanocomposites with Tunable Properties from Poly(lactic acid) and Acetylated Microfibrillated Cellulose. Biomacromolecules 2009, 11, 454. [Google Scholar] [CrossRef]
- Wang, X.; Jiang, M.; Zhou, Z.; Gou, J.; Hui, D. 3D Printing of Polymer Matrix Composites: A Review and Prospective. Compos. Part B 2017, 110, 442–458. [Google Scholar] [CrossRef]
- Lebedev, S.M.; Gefle, O.S.; Amitov, E.T.; Zhuravlev, D.V.; Berchuk, D.Y.; Mikutskiy, E.A. Mechanical Properties of PLA-based Composites for Fused Deposition Modeling Technology. Int. J. Adv. Manuf. Technol. 2018, 97, 511–518. [Google Scholar] [CrossRef]
- Ou-Yang, Q.; Baohua Guo, B.; Xu, J. Preparation and Characterization of Poly(butylene succinate)/Polylactide Blends for Fused Deposition Modeling 3D Printing. ACS Omega 2018, 3, 14309–14317. [Google Scholar] [CrossRef]









| Wavenumber | Chemical Groups |
|---|---|
| 3200–3300 | –OH, Water [19] |
| 2800–2900 | –CH stretching vibration |
| 1750 | –C=O [20] |
| 1600 | –OH band of adsorbed water [21] |
| 1000–1200 | C–O stretching, C–O–C asymmetric stretching and C–H oscillating vibrations, [13,14,22] |
| Specimen Label | Tensile Stress (MPa) | Tensile Modulus (MPa) | Tensile Strain (%) |
|---|---|---|---|
| PLA | 41.37 ± 1.43 | 2204.45 ± 21.25 | 3.03 ± 0.11 |
| PLA/PBS (90/10) | 37.83 ± 0.91 | 1731.78 ± 35.74 | 3.53 ± 0.15 |
| PLA/PBS (80/20) | 36.31 ± 0.90 | 1603.63 ± 74.19 | 3.66 ± 0.15 |
| PLA/PBS (70/30) | 33.67 ± 0.96 | 1500.51 ± 88.09 | 3.67 ± 0.2 |
| PBS | 37.29 ± 2.01 | 287 ± 16.7 | 605 ± 62.19 |
| Specimen Label | Flexural Stress (MPa) | Flexural Modulus (MPa) | Flexural Strain (%) |
|---|---|---|---|
| PLA | 72.06 ± 1.38 | 3074.74 ± 132.58 | 4.18 ± 0.17 |
| PLA/PBS (90/10) | 65.62 ± 3.72 | 2709.37 ± 137.71 | 4.07 ± 0.17 |
| PLA/PBS (80/20) | 63.93 ± 0.68 | 2560.17 ± 51.89 | 4.15 ± 0.06 |
| PLA/PBS (70/30) | 57.11 ± 0.50 | 2129.92 ± 29.58 | 4.46 ± 0.08 |
| PBS | 30 ± 1.5 | 670 ± 80 | 250 ± 60.6 |
| Sample Description | Cold Crystallisation | Melt of Crystalline Region | Crystallinity | Glass Transition | ||
|---|---|---|---|---|---|---|
| Tcc (°C) | ΔHcc (J/g) | Tm (°C) | ΔHm (J/g) | Χc(PLA) (%) | Tg (°C) | |
| Neat PLA | 100 | 22.7 | 150.1 | 28.5 | 6.2 | 59.4 |
| Neat PBS | 99 | 20.4 | 112.5 | 30.4 | 3.2 | - |
| PLA/PBS (90/10) | 98.3 | 23.0 | 149.4 | 29.6 | 8.5 | 60.0 |
| 112.5 | ||||||
| PLA/PBS (80/20) | 98.2 | 29.0 | 148.9 | 30.6 | 10.2 | 61.2 |
| 111.6 | ||||||
| PLA/PBS (70/30) | 98 | 30.1 | 148.8 | 33.7 | 13.5 | 61 |
| 113.7 | ||||||
| PLA/PBS-CNF5 | 99 | 31.4 | 148.3 | 34.4 | 13.6 | 60.5 |
| 112.4 | ||||||
| PLA/PBS-fCNF5 | 99.6 | 31.6 | 148.5 | 34.8 | 14.8 | 61 |
| 112.9 | ||||||
Publisher’s Note: MDPI stays neutral with regard to jurisdictional claims in published maps and institutional affiliations. |
© 2021 by the authors. Licensee MDPI, Basel, Switzerland. This article is an open access article distributed under the terms and conditions of the Creative Commons Attribution (CC BY) license (https://creativecommons.org/licenses/by/4.0/).
Share and Cite
John, M.J.; Dyanti, N.; Mokhena, T.; Agbakoba, V.; Sithole, B. Design and Development of Cellulosic Bionanocomposites from Forestry Waste Residues for 3D Printing Applications. Materials 2021, 14, 3462. https://doi.org/10.3390/ma14133462
John MJ, Dyanti N, Mokhena T, Agbakoba V, Sithole B. Design and Development of Cellulosic Bionanocomposites from Forestry Waste Residues for 3D Printing Applications. Materials. 2021; 14(13):3462. https://doi.org/10.3390/ma14133462
Chicago/Turabian StyleJohn, Maya Jacob, Nokuzola Dyanti, Teboho Mokhena, Victor Agbakoba, and Bruce Sithole. 2021. "Design and Development of Cellulosic Bionanocomposites from Forestry Waste Residues for 3D Printing Applications" Materials 14, no. 13: 3462. https://doi.org/10.3390/ma14133462
APA StyleJohn, M. J., Dyanti, N., Mokhena, T., Agbakoba, V., & Sithole, B. (2021). Design and Development of Cellulosic Bionanocomposites from Forestry Waste Residues for 3D Printing Applications. Materials, 14(13), 3462. https://doi.org/10.3390/ma14133462
