An Evaluation of the Properties of Urethane Dimethacrylate-Based Dental Resins
Abstract
1. Introduction
2. Materials and Methods
2.1. Materials
2.2. Flexural Strength
2.3. Diametral Tensile Strength
- F—force that caused the destruction of the sample [N],
- d—diameter of the sample [mm],
- h—height of the sample [mm].
2.4. Hardness
2.5. Dynamic Absorbency
- A—the absorbency of water,
- m0—the initial mass of the sample,
- mi—the mass of the sample after storage in water for a specified (i) period of time.
- D—the dissolution in water,
- m0—the initial mass of the sample,
- mz—the constant mass of the sample after drying.
2.6. Statistical Analysis
3. Results
3.1. Flexural Strength
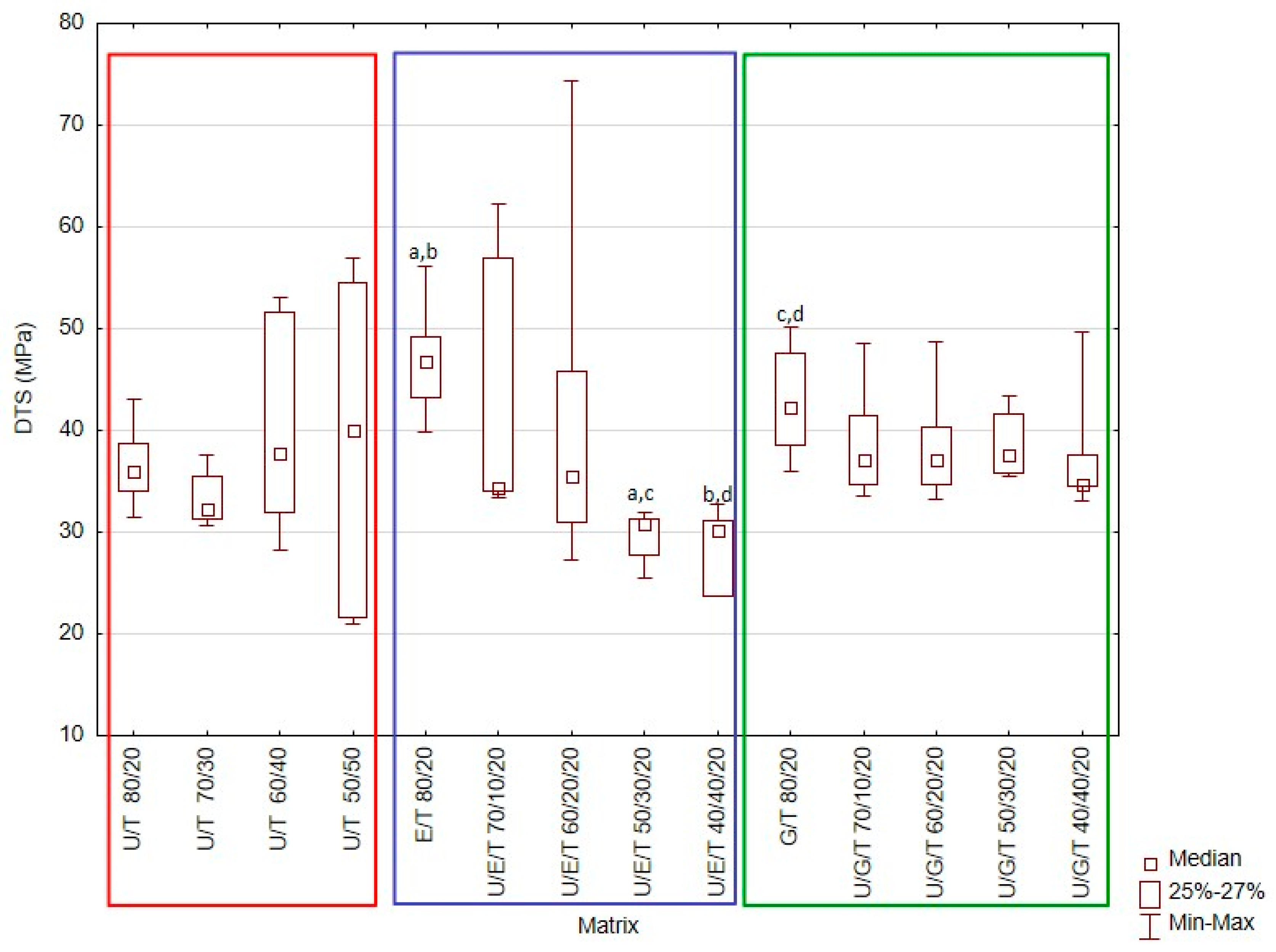
3.2. Diametral Tensile Strength
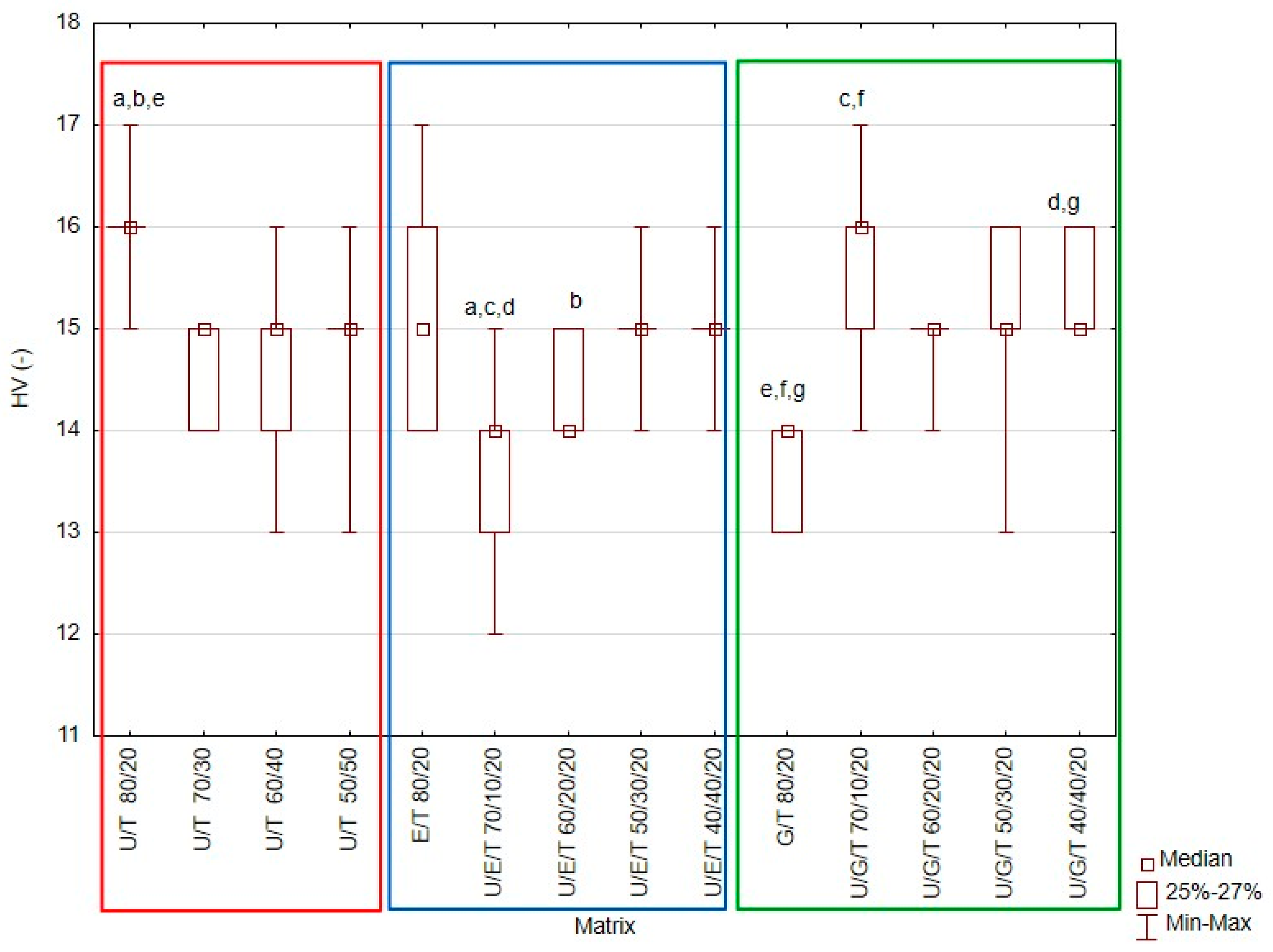
3.3. Hardness
3.4. Water Absorbency Dynamic Study
4. Discussion
5. Conclusions
Author Contributions
Funding
Institutional Review Board Statement
Informed Consent Statement
Data Availability Statement
Acknowledgments
Conflicts of Interest
Appendix A



References
- Ferracane, J.L. Current trends in dental composites. Crit. Rev. Oral Biol. Med. 1995, 6, 302–318. [Google Scholar] [CrossRef]
- Iftikhar, S.; Jahanzeb, N.; Saleem, M.; ur Rehman, S.; Matinlinna, J.P.; Khan, A.S. The trends of dental biomaterials research and future directions: A mapping review. Saudi Dent. J. 2021. [Google Scholar] [CrossRef]
- Karabela, M.M.; Sideridou, I.D. Synthesis and study of properties of dental resin composites with different nanosilica particles size. Dent. Mater. 2011, 27, 825–835. [Google Scholar] [CrossRef] [PubMed]
- Pratap, B.; Gupta, R.K.; Bhardwaj, B.; Nag, M. Resin based restorative dental materials: Characteristics and future perspectives. Jpn. Dent. Sci. Rev. 2019, 55, 126–138. [Google Scholar] [CrossRef] [PubMed]
- Yadav, R.; Kumar, M. Dental restorative composite materials: A review. J. Oral Biosci. 2019, 61, 78–83. [Google Scholar] [CrossRef] [PubMed]
- Kim, K.-H.; Ong, J.L.; Okuno, O. The effect of filler loading andmorphology on the mechanical properties of contemporary composites. J. Prosthet. Dent. 2002, 87, 642–649. [Google Scholar] [CrossRef] [PubMed]
- Mount, G.J.; Rory Hume, W. A new cavity classification. Aust. Dent. J. 1998, 43, 153–159. [Google Scholar] [CrossRef]
- Sandner, B.; Baudach, S.; Davy, K.W.M.; Braden, M.; Clarke, R.L. Synthesis of BISGMA derivatives, properties of their polymers and composites. J. Mater. Sci. Mater. Med. 1997, 8, 39–44. [Google Scholar] [CrossRef]
- Cramer, N.B.; Stansbury, J.W.; Bowman, C.N. Recent Advances and Developments in Composite Dental Restorative Materials. J. Dent. Res. 2011, 90, 402–416. [Google Scholar] [CrossRef]
- Peutzfeldt, A. Resin composites in dentistry: The monomer systems. Eur. J. Oral Sci. 1997, 105, 97–116. [Google Scholar] [CrossRef]
- Gajewski, V.E.S.; Pfeifer, C.S.; Fróes-Salgado, N.R.G.; Boaro, L.C.C.; Braga, R.R. Monomers used in resin composites: Degree of conversion, mechanical properties and water sorption/solubility. Braz. Dent. J. 2012, 23, 508–514. [Google Scholar] [CrossRef] [PubMed]
- Sideridou, I.; Tserki, V.; Papanastasiou, G. Effect of chemical structure on degree of conversion in light-cured dimethacrylate-based dental resins. Biomaterials 2002, 23, 1819–1829. [Google Scholar] [CrossRef]
- Polski Komitet Organizacyjny. Stomatologia-Materiały na Bazie Żywic Syntetycznych do Wypełnień, Odbudowy i Cementowania; PN-EN ISO 4049:2003; Polski Komitet Organizacyjny: Warsaw, Poland, 2003. [Google Scholar]
- Ilie, N.; Hilton, T.J.; Heintze, S.D.; Hickel, R.; Watts, D.C.; Silikas, N.; Stansbury, J.W.; Cadenaro, M.; Ferracane, J.L. Academy of Dental Materials guidance—Resin composites: Part I—Mechanical properties. Dent. Mater. 2017, 33, 880–894. [Google Scholar] [CrossRef]
- Ferracane, J.L. Resin-based composite performance: Are there some things we can’t predict? Dent. Mater. 2013, 29, 51–58. [Google Scholar] [CrossRef] [PubMed]
- Szczesio-Wlodarczyk, A.; Sokolowski, J.; Kleczewska, J.; Bociong, K. Ageing of dental composites based on methacrylate resins-A critical review of the causes and method of assessment. Polymers 2020, 12, 882. [Google Scholar] [CrossRef] [PubMed]
- Par, M.; Lapas-Barisic, M.; Gamulin, O.; Panduric, V.; Spanovic, N.; Tarle, Z. Long Term Degree of Conversion of two Bulk-Fill Composites. Acta Stomatol. Croat. 2016, 50, 292–300. [Google Scholar] [CrossRef]
- Pfeifer, C.S.; Shelton, Z.R.; Braga, R.R.; Windmoller, D.; MacHado, J.C.; Stansbury, J.W. Characterization of dimethacrylate polymeric networks: A study of the crosslinked structure formed by monomers used in dental composites. Eur. Polym. J. 2011, 47, 162–170. [Google Scholar] [CrossRef]
- Barszczewska-Rybarek, I.M.; Chrószcz, M.W.; Chladek, G. Novel urethane-dimethacrylate monomers and compositions for use as matrices in dental restorative materials. Int. J. Mol. Sci. 2020, 21, 2644. [Google Scholar] [CrossRef]
- Fugolin, A.P.; de Paula, A.B.; Dobson, A.; Huynh, V.; Consani, R.; Ferracane, J.L.; Pfeifer, C.S. Alternative monomer for Bis-GMA-free resin composites formulations. Dent. Mater. 2020, 36, 884–892. [Google Scholar] [CrossRef]
- Pomes, B.; Derue, I.; Lucas, A.; Nguyen, J.F.; Richaud, E. Water ageing of urethane dimethacrylate networks. Polym. Degrad. Stab. 2018, 154, 195–202. [Google Scholar] [CrossRef]
- Dickens, S.H.; Stansbury, J.W.; Choi, K.M.; Floyd, C.J.E. Photopolymerization kinetics of methacrylate dental resins. Macromolecules 2003, 36, 6043–6053. [Google Scholar] [CrossRef]
- Goņalves, F.; Kawano, Y.; Pfeifer, C.; Stansbury, J.W.; Braga, R.R. Influence of BisGMA, TEGDMA, and BisEMA contents on viscosity, conversion, and flexural strength of experimental resins and composites. Eur. J. Oral Sci. 2009, 117, 442–446. [Google Scholar] [CrossRef] [PubMed]
- Barszczewska-Rybarek, I.M. Structure-property relationships in dimethacrylate networks based on Bis-GMA, UDMA and TEGDMA. Dent. Mater. 2009, 25, 1082–1089. [Google Scholar] [CrossRef]
- Martim, G.C.; Pfeifer, C.S.; Girotto, E.M. Novel urethane-based polymer for dental applications with decreased monomer leaching. Mater. Sci. Eng. C 2017, 72, 192–201. [Google Scholar] [CrossRef] [PubMed]
- Fu, J.; Liu, W.; Hao, Z.; Wu, X.; Yin, J.; Panjiyar, A.; Liu, X.; Shen, J.; Wang, H. Characterization of a low shrinkage dental composite containing bismethylene spiroorthocarbonate expanding monomer. Int. J. Mol. Sci. 2014, 15, 2400–2412. [Google Scholar] [CrossRef] [PubMed]
- Wu, J.; Xie, X.; Zhou, H.; Tay, F.R.; Weir, M.D.; Melo, M.A.S.; Oates, T.W.; Zhang, N.; Zhang, Q.; Xu, H.H.K. Development of a new class of self-healing and therapeutic dental resins. Polym. Degrad. Stab. 2019, 163, 87–99. [Google Scholar] [CrossRef]
- Ding, Y.; Li, B.; Wang, M.; Liu, F.; He, J. Bis-GMA Free Dental Materials Based on UDMA/SR833s Dental Resin System. Adv. Polym. Technol. 2016, 35, 396–401. [Google Scholar] [CrossRef]
- Fugolin, A.P.P.; Pfeifer, C.S. New Resins for Dental Composites. J. Dent. Res. 2017, 96, 1085–1091. [Google Scholar] [CrossRef]
- De Oliveira, D.C.R.; Rovaris, K.; Hass, V.; Souza-Júnior, E.J.; Haiter-Neto, F.; Sinhoreti, M.A.C. Effect of low shrinkage monomers on physicochemical properties of dental resin composites. Braz. Dent. J. 2015, 26, 272–276. [Google Scholar] [CrossRef][Green Version]
- Ilie, N.; Hickel, R. Investigations on a methacrylate-based flowable composite based on the SDRTM technology. Dent. Mater. 2011, 27, 348–355. [Google Scholar] [CrossRef]
- Floyd, C.J.E.; Dickens, S.H. Network structure of Bis-GMA- and UDMA-based resin systems. Dent. Mater. 2006, 22, 1143–1149. [Google Scholar] [CrossRef] [PubMed]
- Asmussen, E.; Peutzfeldt, A. Influence of UEDMA, BisGMA and TEGDMA on selected mechanical properties of experimental resin composites. Dent. Mater. 1998, 14, 51–56. [Google Scholar] [CrossRef]
- Musanje, L.; Ferracane, J.L. Effects of resin formulation and nanofiller surface treatment on the properties of experimental hybrid resin composite. Biomaterials 2004, 25, 4065–4071. [Google Scholar] [CrossRef]
- Sideridou, I.; Tserki, V.; Papanastasiou, G. Study of water sorption, solubility and modulus of elasticity of light-cured dimethacrylate-based dental resins. Biomaterials 2003, 24, 655–665. [Google Scholar] [CrossRef]
- Gonçalves, F.; Pfeifer, C.C.S.; Stansbury, J.W.; Newman, S.M.; Braga, R.R. Influence of matrix composition on polymerization stress development of experimental composites. Dent. Mater. 2010, 26, 697–703. [Google Scholar] [CrossRef] [PubMed]
- Nicolae, L.C.; Shelton, R.M.; Cooper, P.R.; Martin, R.A.; Palin, W.M. The Effect of UDMA/TEGDMA Mixtures and Bioglass Incorporation on the Mechanical and Physical Properties of Resin and Resin-Based Composite Materials. Conf. Pap. Sci. 2014, 2014, 1–5. [Google Scholar] [CrossRef]
- Elliott, J.E.; Lovell, L.G.; Bowman, C.N. Primary cyclization in the polymerization of bis-GMA and TEGDMA: A modeling approach to understanding the cure of dental resins. Dent. Mater. 2001, 17, 221–229. [Google Scholar] [CrossRef]
- Gonçalves, F.; Pfeifer, C.S.; Ferracane, J.L.; Braga, R.R. Contraction Stress Determinants in Dimethacrylate Composites. J. Dent. Res. 2008, 87, 367–372. [Google Scholar] [CrossRef]
- Lemon, M.T.; Jones, M.S.; Stansbury, J.W. Hydrogen bonding interactions in methacrylate monomers and polymers. J. Biomed. Mater. Res. 2007, 83, 734–746. [Google Scholar] [CrossRef]
- Barszczewska-Rybarek, I.M. A guide through the dental dimethacrylate polymer network structural characterization and interpretation of physico-mechanical properties. Materials 2019, 12, 4057. [Google Scholar] [CrossRef] [PubMed]
- Penn, R.; Craig, R.; Tesk, J. Diametral tensile strength and dental composites. Dent. Mater. 1987, 3, 46–48. [Google Scholar] [CrossRef]
- Bona, D.A.; Benetti, P.; Borba, M.; Cecchetti, D. Flexural and diametral tensile strength of composite resins. Restor. Dent. Braz. Oral Res. 2008, 22, 84–89. [Google Scholar] [CrossRef] [PubMed]
- Lin, C.T.; Lee, S.Y.; Keh, E.S.; Dong, D.R.; Huang, H.M.; Shih, Y.H. Influence of silanization and filler fraction on aged dental composites. J. Oral Rehabil. 2000, 27, 919–926. [Google Scholar] [CrossRef] [PubMed]
- Zidan, O.; Asmussen, E.; Jørgensen, K.D. Tensile strength of restorative resins. Eur. J. Oral Sci. 1980, 88, 285–290. [Google Scholar] [CrossRef]
- Barszczewska-Rybarek, I.; Chladek, G. Studies on the curing efficiency and mechanical properties of bis-GMA and TEGDMA nanocomposites containing silver nanoparticles. Int. J. Mol. Sci. 2018, 19, 3937. [Google Scholar] [CrossRef]
- Ferracane, J.L. Correlation between hardness and degree of conversion during the setting reaction of unfilled dental restorative resins. Dent. Mater. 1985, 1, 11–14. [Google Scholar] [CrossRef]
- Barszczewska-Rybarek, I.M. Characterization of urethane-dimethacrylate derivatives as alternative monomers for the restorative composite matrix. Dent. Mater. 2014, 30, 1336–1344. [Google Scholar] [CrossRef]
- Braden, M.; Causton, E.E.; Clarke, R.L. Diffusion of Water in Composite Filling Materials. J. Dent. Res. 1976, 55, 730–732. [Google Scholar] [CrossRef]
- Ferracane, J.L. Hygroscopic and hydrolytic effects in dental polymer networks. Dent. Mater. 2006, 22, 211–222. [Google Scholar] [CrossRef]
- Putzeys, E.; De Nys, S.; Cokic, S.M.; Duca, R.C.; Vanoirbeek, J.; Godderis, L.; Van Meerbeek, B.; Van Landuyt, K.L. Long-term elution of monomers from resin-based dental composites. Dent. Mater. 2019, 35, 477–485. [Google Scholar] [CrossRef]
- Kalachandra, S.; Kusy, R.P. Comparison of water sorption by methacrylate and dimethacrylate monomers and their corresponding polymers. Polymer 1991, 32, 2428–2434. [Google Scholar] [CrossRef]
- Kalachandra, S.; Turner, D.T. Water sorption of polymethacrylate networks: Bis-GMA/TEGDM copolymers. J. Biomed. Mater. Res. 1987, 21, 329–338. [Google Scholar] [CrossRef] [PubMed]
- Venz, S.; Dickens, B. NIR-spectroscopic investigation of water sorption characteristics of dental resins and composites. J. Biomed. Mater. Res. 1991, 25, 1231–1248. [Google Scholar] [CrossRef]
- Pfeifer, C.S.; Silva, L.R.; Kawano, Y.; Braga, R.R. Bis-GMA co-polymerizations: Influence on conversion, flexural properties, fracture toughness and susceptibility to ethanol degradation of experimental composites. Dent. Mater. 2009, 25, 1136–1141. [Google Scholar] [CrossRef] [PubMed]





| Monomer | Molecular Weight (g/mol) | Viscosity (Pa·s) | Flexural Strength (MPa) | Flexural Modulus (GPa) | Water Sorption (µg/mm3) | Solubility (µg/mm3) |
|---|---|---|---|---|---|---|
| Bis-GMA | 512 | 1200 a | 72.4 b | 1 b | 51.2 b | 9.5 b |
| TEGDMA | 286 | 0.01 a | 99.1 b | 1.7 b | 28.8 b | 27.5 b |
| UDMA | 470 | 23 a | 133.8 b | 1.8 b | 42.3 b | 20.4 b |
| Bis-EMA | 540 | 0.9 a | 87.3 b | 1.1 b | 21.3 b | 2.1 b |
| Monomer | Abbreviation | Manufacturer | Purity | Viscosity at 25 °C |
|---|---|---|---|---|
| Bis-GMA | G | Esstech, Inc., Essington, PA, USA | 97% | 718,641 cps |
| TEGDMA | T | 99.8% | --- | |
| UDMA | U | 98.4% | 9387 cps | |
| Bis-EMA | E | 98.9% | 911 cps |
| Matrix Signature | UDMA Content (wt.%) | TEGDMA Content (wt.%) | Bis-EMA Content (wt. %) | Bis-GMA Content (wt.%) |
|---|---|---|---|---|
| U/T 80/20 | 80 | 20 | --- | --- |
| U/T 70/30 | 70 | 30 | --- | --- |
| U/T 60/40 | 60 | 40 | --- | --- |
| U/T 50/50 | 50 | 50 | --- | --- |
| E/T 80/20 | --- | 20 | 80 | --- |
| U/E/T 70/10/20 | 70 | 20 | 10 | --- |
| U/E/T 60/20/20 | 60 | 20 | 20 | --- |
| U/E/T 50/30/20 | 50 | 20 | 30 | --- |
| U/E/T 40/40/20 | 40 | 20 | 40 | --- |
| G/T 80/20 | --- | 20 | --- | 80 |
| U/G/T 70/10/20 | 70 | 20 | --- | 10 |
| U/G/T 60/20/20 | 60 | 20 | --- | 20 |
| U/G/T 50/30/20 | 50 | 20 | --- | 30 |
| U/G/T 40/40/20 | 40 | 20 | --- | 40 |
| Sorption after 120 Days (wt.%) | SD | Dissolution (wt.%) | SD | |
|---|---|---|---|---|
| U/T 80/20 | 3.3092 | 0.1843 | 0.3465 | 0.1336 |
| U/T 70/30 | 3.7575 | 0.2674 | 0.4832 | 0.0759 |
| U/T 60/40 | 4.0989 | 0.1561 | 0.4488 | 0.0221 |
| U/T 50/50 | 4.0548 | 0.0803 | 0.3997 | 0.0580 |
| E/T 80/20 | 1.1094 | 0.0916 | 0.1646 | 0.0896 |
| U/E/T 70/10/20 | 2.7707 | 0.0089 | 0.5118 | 0.0775 |
| U/E/T 60/20/20 | 2.5219 | 0.0562 | 0.4014 | 0.0775 |
| U/E/T 50/30/20 | 2.3936 | 0.0703 | 0.3160 | 0.1450 |
| U/E/T 40/40/20 | 1.8683 | 0.0778 | 0.3243 | 0.0796 |
| G/T 80/20 | 2.9333 | 0.1986 | 0.5991 | 0.0759 |
| U/G/T 70/10/20 | 3.0348 | 0.1340 | 0.6208 | 0.1615 |
| U/G/T 60/20/20 | 2.8643 | 0.0728 | 0.5860 | 0.0851 |
| U/G/T 50/30/20 | 2.9782 | 0.2060 | 0.6064 | 0.1655 |
| U/G/T 40/40/20 | 2.8182 | 0.1324 | 0.6192 | 0.0604 |
Publisher’s Note: MDPI stays neutral with regard to jurisdictional claims in published maps and institutional affiliations. |
© 2021 by the authors. Licensee MDPI, Basel, Switzerland. This article is an open access article distributed under the terms and conditions of the Creative Commons Attribution (CC BY) license (https://creativecommons.org/licenses/by/4.0/).
Share and Cite
Szczesio-Wlodarczyk, A.; Domarecka, M.; Kopacz, K.; Sokolowski, J.; Bociong, K. An Evaluation of the Properties of Urethane Dimethacrylate-Based Dental Resins. Materials 2021, 14, 2727. https://doi.org/10.3390/ma14112727
Szczesio-Wlodarczyk A, Domarecka M, Kopacz K, Sokolowski J, Bociong K. An Evaluation of the Properties of Urethane Dimethacrylate-Based Dental Resins. Materials. 2021; 14(11):2727. https://doi.org/10.3390/ma14112727
Chicago/Turabian StyleSzczesio-Wlodarczyk, Agata, Monika Domarecka, Karolina Kopacz, Jerzy Sokolowski, and Kinga Bociong. 2021. "An Evaluation of the Properties of Urethane Dimethacrylate-Based Dental Resins" Materials 14, no. 11: 2727. https://doi.org/10.3390/ma14112727
APA StyleSzczesio-Wlodarczyk, A., Domarecka, M., Kopacz, K., Sokolowski, J., & Bociong, K. (2021). An Evaluation of the Properties of Urethane Dimethacrylate-Based Dental Resins. Materials, 14(11), 2727. https://doi.org/10.3390/ma14112727

