Effect of the Pore Shape and Size of 3D-Printed Open-Porous ABS Materials on Sound Absorption Performance
Abstract
1. Introduction
2. Materials and Methods
2.1. Characteristics of ABS Samples and Their Production
2.2. Measurement Methodology
2.2.1. Sound Absorption Coefficient
2.2.2. Noise Reduction Coefficient
2.2.3. Sound Absorption Performance
3. Results
3.1. Frequency Dependencies of the Sound Absorption Coefficient
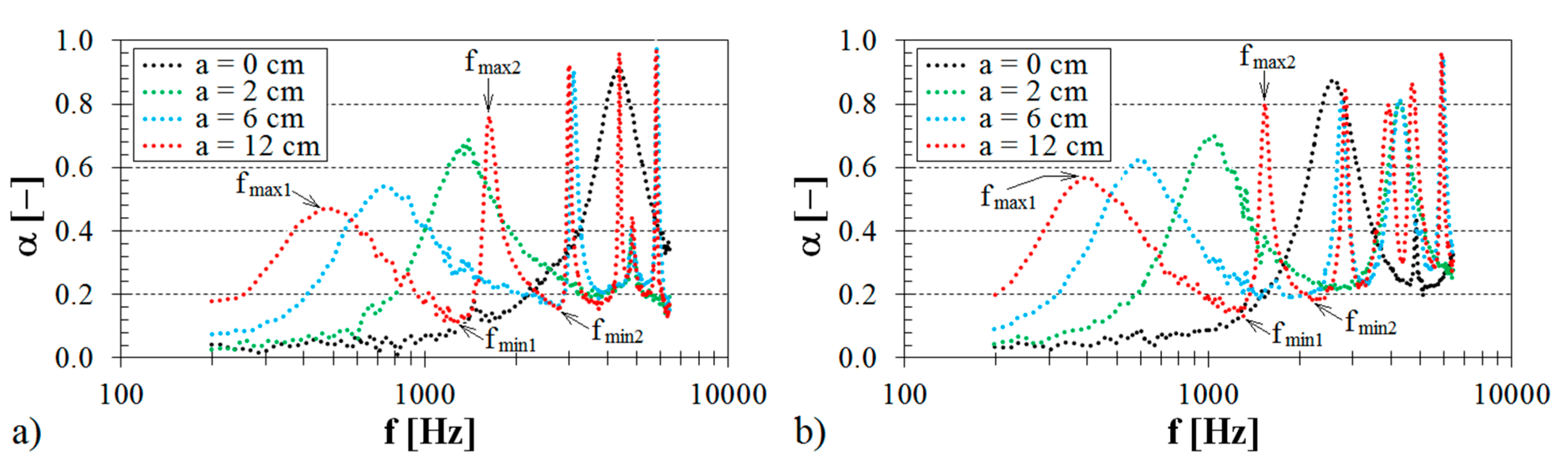
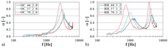
3.1.1. Influence of Pore Shape
3.1.2. Influence of Volume Ratio
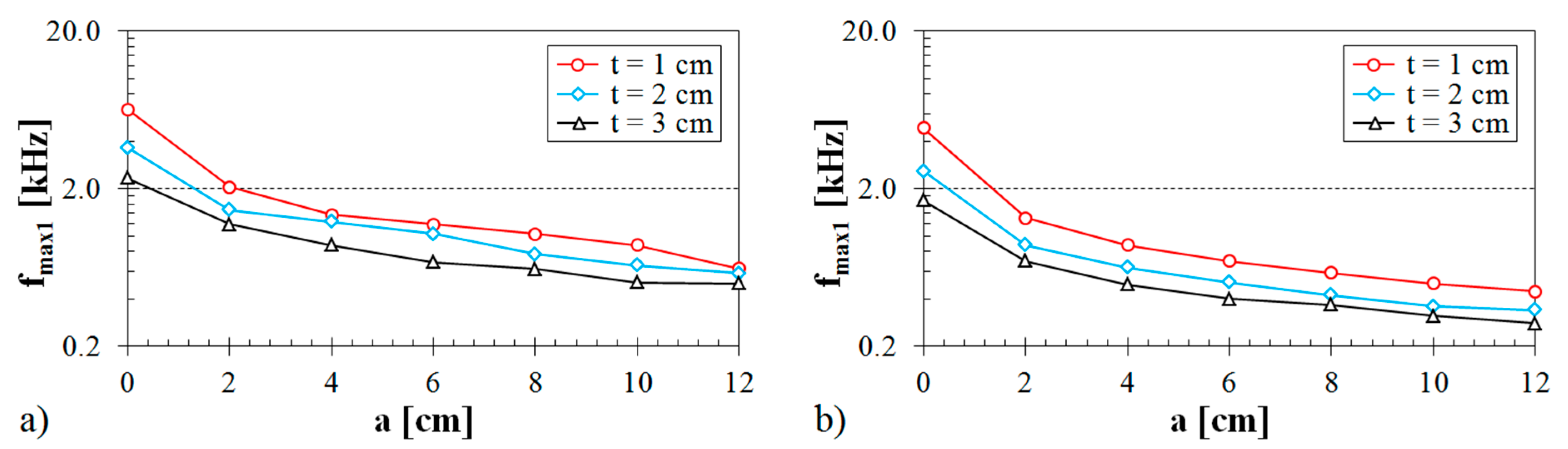
3.1.3. Influence of Material Thickness
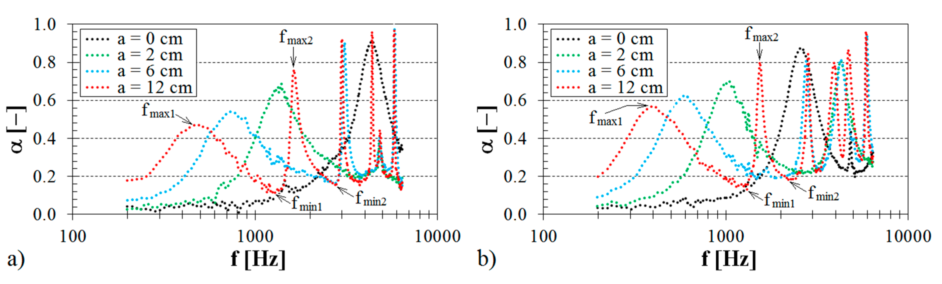
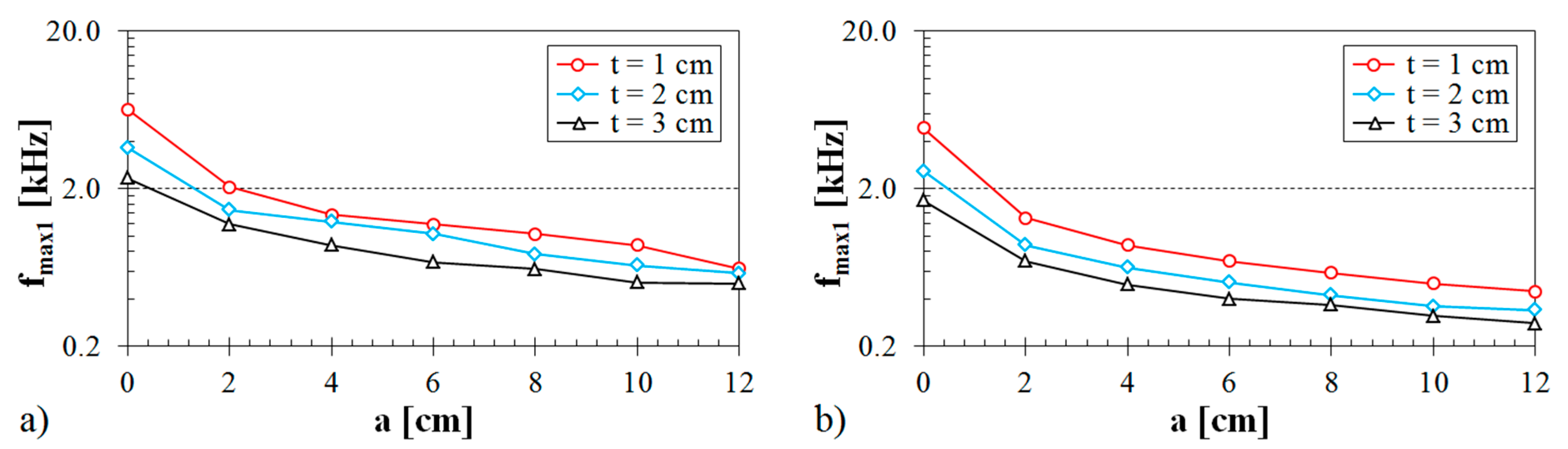
3.1.4. Influence of Air Space Size
3.1.5. Influence of Excitation Frequency
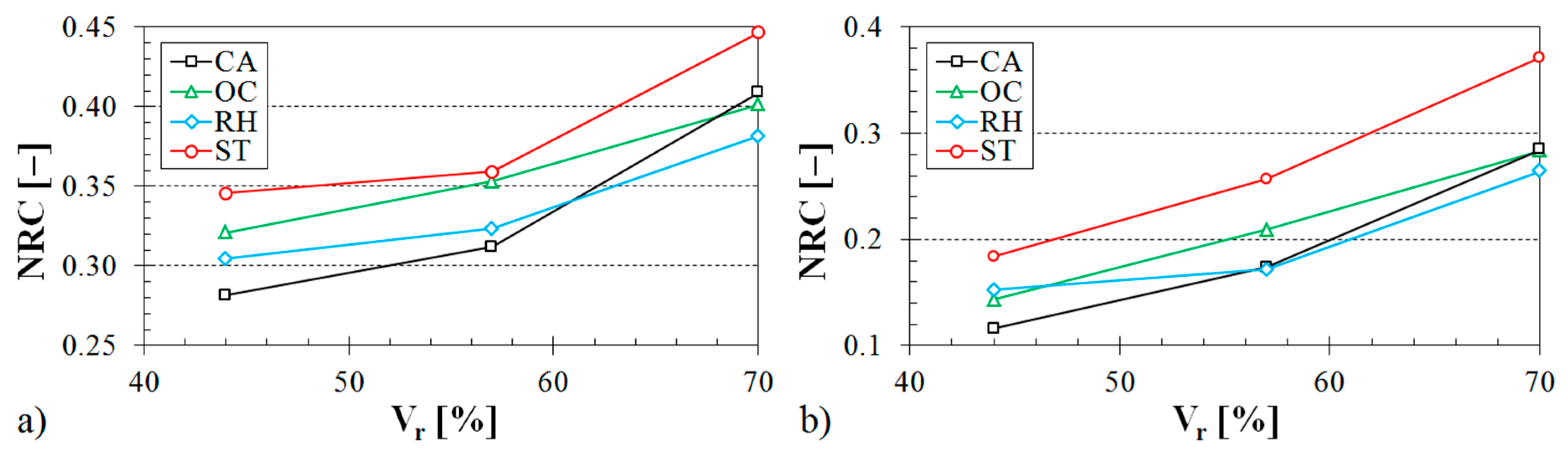
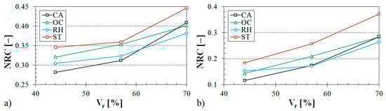
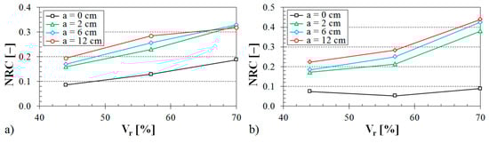
3.2. Noise Reduction Coefficient
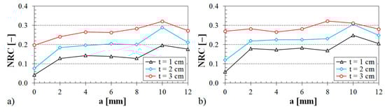
3.2.1. Influence of Air Space Size
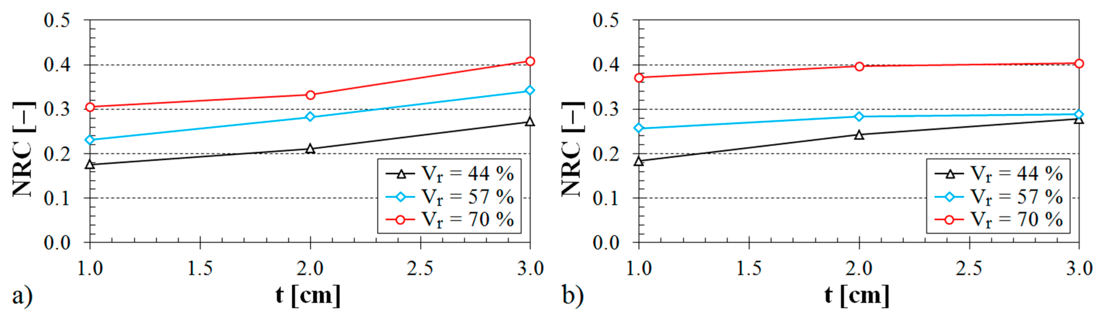
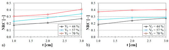
3.2.2. Influence of Material Thickness
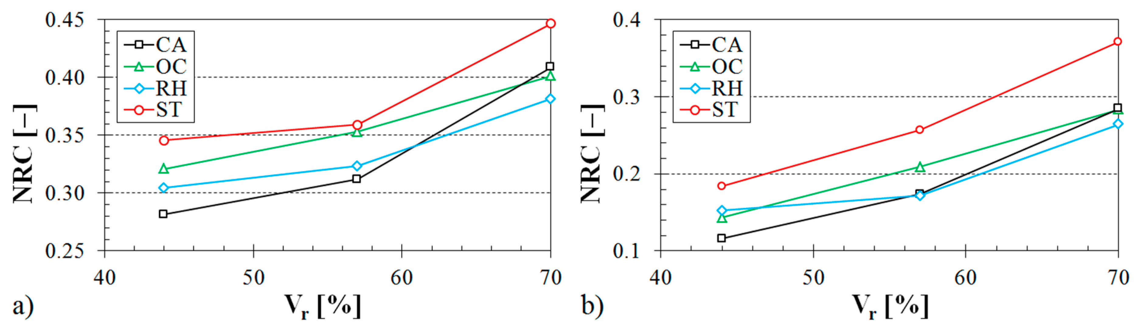
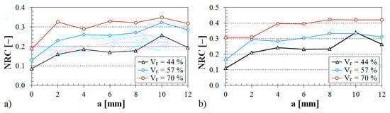
3.2.3. Influence of Volume Ratio
4. Conclusions
Author Contributions
Funding
Acknowledgments
Conflicts of Interest
References
- Amares, S.; Sujatmika, E.; Hong, T.W.; Durairaj, R.; Hamid, H.S.H.B. A Review: Characteristics of Noise Absorption Material. J. Phys. Conf. Ser. 2017, 908, 012005. [Google Scholar] [CrossRef]
- Lee, B.H.; Cha, S.W.; Kang, Y.J. Study of Sound Absorption and Transmission Characteristics for MCPs Foaming Rate by Batch Process. Proc. KSPE 2004, 338–342. [Google Scholar]
- Lee, W.K.; Park, B.H.; Yoon, H.J.; Kim, J.S.; Maeng, J.Y. The Optimization of Interior Acoustic Package of Vehicle Using the Sound Absorbing Materials. Korean Soc. Automot. Eng. 2004, 2, 1212–1217. [Google Scholar]
- Tang, S.K. Improving Traffic Noise Transmission Loss of Plenum Windows by Using Sound Scatterer Arrays. J. Acoust. Soc. Am. 2018, 143, 1715. [Google Scholar] [CrossRef]
- Yang, M.; Chen, S.; Fu, C.; Sheng, P. Optimal Sound-Absorbing Structures. Mater. Horiz. 2017, 4, 673. [Google Scholar] [CrossRef]
- Allard, J.F.; Atalla, N. Propagation of Sound in Porous Media: Modeling Sound Absorbing Materials, 2nd ed.; John Wiley & Sons: Chichester, UK, 2009. [Google Scholar]
- Sun, X.; Jiang, F.; Wang, J. Acoustic Properties of 316L Stainless Steel Lattice Structures Fabricated via Selective Laser Melting. Metals 2020, 10, 111. [Google Scholar] [CrossRef]
- Yoon, W.U.; Park, J.H.; Lee, J.S.; Kim, Y.Y. Topology Optimization Design for Total Sound Absorption in Porous Media. Comput. Methods Appl. Mech. Eng. 2020, 360, 112723. [Google Scholar] [CrossRef]
- Liu, G.-S.; Zhou, Y.; Liu, M.-H.; Yuan, Y.; Zou, X.-Y.; Cheng, J.-C. Acoustic Waveguide with Virtual Soft Boundary Based on Metamaterials. Sci. Rep. 2020, 10, 981–987. [Google Scholar] [CrossRef]
- Assouar, M.B.; Senesi, M.; Oudich, M.; Ruzzene, M.; Hou, Z. Broadband Plate-Type Acoustic Metamaterial for Low-Frequency Sound Attenuation. Appl. Phys. Lett. 2012, 101, 173505. [Google Scholar] [CrossRef]
- Mei, J.; Ma, G.; Yang, M.; Yang, Z.Y.; Wen, W.; Sheng, P. Dark Acoustic Metamaterials as Super Absorbers for Low-Frequency Sound. Nat. Commun. 2012, 3, 756. [Google Scholar] [CrossRef]
- Xin, F.; Ma, X.; Liu, X.; Zhang, C. A Multiscale Theoretical Approach for the Sound Absorption of Slit-Perforated Double Porosity Materials. Compos. Struct. 2019, 223, 110919. [Google Scholar] [CrossRef]
- Siano, D.; Viscardi, M.; Panza, M.A. Automotive Materials: An Experimental Investigation of an Engine Bay Acoustic Performances. Energy Procedia 2016, 101, 598–605. [Google Scholar] [CrossRef]
- Vakhitova, S.M.; Shaehova, I.F.; Zharin, E.I. Study of Vibro-Acoustic Properties of Composite Materials Based on Polyurethane Injection. In IOP Conference Series: Materials Science and Engineering; IOP Publishing: Bristol, UK, 2016; p. 012030. [Google Scholar]
- Cai, X.; Yang, J.; Hu, G.; Lu, T. Sound Absorption by Acoustic Microlattice with Optimized Pore Configuration. J. Acoust. Soc. Am. 2018, 144, EL138–EL143. [Google Scholar] [CrossRef] [PubMed]
- Deshmukh, S.; Ronge, H.; Ramamoorthy, S. Design of Periodic Foam Structures for Acoustic Applications: Concept, Parametric Study and Experimental Validation. Mater. Des. 2019, 175, 107830. [Google Scholar] [CrossRef]
- Wang, D.-W.; Wen, Z.-H.; Glorieux, C.; Ma, L. Sound Absorption of Face-Centered Cubic Sandwich Structure With Micro-Perforations. Mater. Des. 2020, 186, 108344. [Google Scholar] [CrossRef]
- Jiménez, N.; Romero-García, V.; Groby, J.-P. Perfect Absorption of Sound by Rigidly-Backed Hight-Porous Materials. Acta Acust. Acust. 2018, 104, 396–409. [Google Scholar]
- Liu, J.; Chen, T.; Zhang, Y.; Wen, G.; Qing, Q.; Wang, H.; Sedaghati, R.; Xie, Y.M. On Sound Insulation of Pyramidal Lattice Sandwich Structure. Compos. Struct. 2019, 208, 385–394. [Google Scholar] [CrossRef]
- Pantazopoulos, G. A Short Review on Fracture Mechanisms of Mechanical Components Operated under Industrial Process Conditions: Fractographic Analysis and Selected Prevention Strategies. Metals 2019, 9, 148. [Google Scholar] [CrossRef]
- Olny, X.; Boutin, C. Acoustic Wave Propagation in Double Porosity Media. J. Acoust. Soc. Am. 2003, 114, 73–89. [Google Scholar] [CrossRef]
- Roh, H.-S.; Yoon, S.W. Acoustic Diagnosis for Porous Medium With Circular Cylindrical Pores. J. Acoust. Soc. Am. 2004, 115, 1114–1124. [Google Scholar] [CrossRef]
- Lagarrigue, C.; Groby, J.P.; Tournat, V.; Dazel, O.; Umnova, O.V. Absorption of Sound by Porous Layers with Embedded Periodic Arrays of Resonant Inclusions. J. Acoust. Soc. Am. 2013, 134, 4670–4680. [Google Scholar] [CrossRef]
- Groby, J.-P.; Lagarrigue, C.; Brouard, B.; Dazel, O.; Tournat, V.; Nennig, B. Using Simple Shape Three-Dimensional Rigid Inclusions to Enhance Porous Layer Absorption. J. Acoust. Soc. Am. 2014, 136, 1139–1148. [Google Scholar] [CrossRef]
- Xu, Y.; Zhao, W.; Chen, L.; Chen, H. Distribution Optimization for Acoustic Design of Porous Layer by the Boundary Element Method. Acoust. Aust. 2020, 48, 1–13. [Google Scholar] [CrossRef]
- Boulvert, J.; Cavalieri, T.; Costa-Baptista, J.; Schwan, L.; Romero-García, V.; Gabard, G.; Fotsing, E.; Ross, A.; Mardjono, J.; Groby, J.-P. Optimally Graded Porous Material for Broadband Perfect Absorption of Sound. J. Appl. Phys. 2019, 126, 175101. [Google Scholar] [CrossRef]
- Krödel, S.; Palermo, A.; Daraio, C. Acoustic Properties of Porous Microlattices From Effective Medium to Scattering Dominated Regimes. J. Acoust. Soc. Am. 2018, 144, 319–329. [Google Scholar] [CrossRef]
- Gohari, H.D.; Zarastvand, M.; Talebitooti, R. Acoustic Performance Prediction of a Multilayered Finite Cylinder Equipped with Porous Foam Media. J. Vib. Control 2020, 26, 899–912. [Google Scholar] [CrossRef]
- Jena, D.P.; Qiu, X. Sound Transmission Loss of Porous Materials in Ducts With Embedded Periodic Scatterers. J. Acoust. Soc. Am. 2020, 147, 978–983. [Google Scholar] [CrossRef]
- Song, B.H.; Bolton, J.S. A Transfer-Matrix Approach for Estimating the Characteristic Impedance and Wave Numbers of Limp and Rigid Porous Materials. J. Acoust. Soc. Am. 2000, 107, 1131–1152. [Google Scholar] [CrossRef]
- Munjal, M.L. Acoustics of Ducts and Mufflers, 2nd ed.; John Wiley & Sons: New York, NY, USA, 2014. [Google Scholar]
- Kang, Y.J.; Bolton, J.S. A Finite Element Model for Sound Transmission Through Foam-Lined Double-Panel Structures. J. Acoust. Soc. Am. 1996, 99, 2755. [Google Scholar] [CrossRef]
- Panneton, R. Numerical Prediction of Sound Transmission Through Finite Multilayer Systems with Poroelastic Materials. J. Acoust. Soc. Am. 1996, 100, 346. [Google Scholar] [CrossRef]
- Xie, S.; Yang, S.; Yang, C.; Wang, D. Sound Absorption Performance of a Filled Honeycomb Composite Structure. Appl. Acoust. 2020, 162, 107202. [Google Scholar] [CrossRef]
- Christensen, J.; Romero-García, V.; Pico, R.; Cebrecos, A.; De Abajo, F.J.G.; Mortensen, N.A.; Willatzen, M.; Sánchez-Morcillo, V.J. Extraordinary Absorption of Sound in Porous Lamella-Crystals. Sci. Rep. 2014, 4, 1–5. [Google Scholar] [CrossRef]
- Liu, Z.; Zhan, J.; Fard, M.; Liu, Z. Acoustic Properties of Multilayer Sound Absorbers With a 3d Printed Micro-Perforated Panel. Appl. Acoust. 2017, 121, 25–32. [Google Scholar] [CrossRef]
- Lee, J.-C.; Hong, Y.-S.; Nan, R.-G.; Jang, M.-K.; Lee, C.S.; Ahn, S.-H.; Kang, Y.-J. Soundproofing Effect of Nano Particle Reinforced Polymer Composites. J. Mech. Sci. Technol. 2008, 22, 1468–1474. [Google Scholar] [CrossRef]
- MacGillivray, I. Acoustic Performance of Periodic Composite Materials. In Proceedings of the Australian Acoustical Society, Acoustics, Hunter Valley, Australia, 15–18 November 2015. [Google Scholar]
- Stanciu, M.D.; Curtu, I.; Lica, D. Evaluating the Efficiency of Recycling Composite Panels Made from ABS to Reduce the Traffic Noise. In Proceedings of the 5th International Conference “Computational Mechanics and Virtual Engineering—COMEC”, University of Brasov, Brasov, Romania, 24–25 October 2013; pp. 489–492. [Google Scholar]
- Stanciu, M.D.; Curtu, I.; Cosereanu, C.; Lica, D. Soundproofing Performance Evaluation of Panels Made of Fibers of Acrylonitrile Butadiene Styrene Copolymer (ABS). Procedia Technol. 2015, 19, 260–267. [Google Scholar] [CrossRef][Green Version]
- Lee, J.-W.; Lee, J.-C.; Pandey, J.; Ahn, S.-H.; Kang, Y.J. Mechanical Properties and Sound Insulation Effect of ABS/Carbon-black Composites. J. Compos. Mater. 2010, 44, 1701–1716. [Google Scholar] [CrossRef]
- Adair, L.C.; Cook, R.L. Acoustic Properties of Rho-C Rubber and ABS in the Frequency Range 100-kHz-2 MHz. J. Acoust. Soc. Am. 1973, 54, 1763–1765. [Google Scholar] [CrossRef]
- Mamalis, A.G.; Manolakos, D.E.; Szalay, A.; Pantazopoulos, G. Impact Loading of Solid/Porous Media. In Processing of High-Temperature Superconductors at High Strain Rates; Informa UK Limited: Colechester, UK, 2019; p. 94. [Google Scholar]
- Stansbury, J.W.; Idacavage, M.J. 3D Printing With Polymers: Challenges Among Expanding Options and Opportunities. Dent. Mater. 2016, 32, 54–64. [Google Scholar] [CrossRef]
- Bourell, D.; Pierre, J.; Leu, M.; Levy, G.; Rosen, D.; Beese, A.M.; Clare, A. Materials for Additive Manufacturing. CIRP Ann. Manuf. Technol. 2017, 66, 659–681. [Google Scholar] [CrossRef]
- Challis, V.; Xu, X.; Zhang, L.; Roberts, A.P.; Grotowski, J.F.; Sercombe, T.B. High Specific Strength and Stiffness Structures Produced Using Selective Laser Melting. Mater. Des. 2014, 63, 783–788. [Google Scholar] [CrossRef]
- Hanzl, P.; Zetková, I.; Kučerová, L. Structural Changes and Microstructure of Maraging Steel Lattice Structures using Additive Manufacturing. Manuf. Technol. 2019, 19, 37–41. [Google Scholar] [CrossRef]
- Vašina, M.; Monkova, K.; Monka, P.P.; Kozak, D.; Tkac, J. Study of the Sound Absorption Properties of 3D-Printed Open-Porous ABS Material Structures. Polymers 2020, 12, 1062. [Google Scholar] [CrossRef]
- Monkova, K.; Monka, P.; Tkac, J.; Torok, J.; Suba, O.; Zaludek, M. Research of Young’s Modulus of the Simple Lattice Structures Made from Plastics. In Proceedings of the 2019 IEEE 10th International Conference on Mechanical and Aerospace Engineering (ICMAE), Institute of Electrical and Electronics Engineers (IEEE), Brussels, Belgium, 22–25 July 2019; pp. 555–558. [Google Scholar]
- Pantazopoulos, G. Basic Principles: Some Fundamental Concepts. J. Fail. Anal. Prev. 2015, 15, 335–336. [Google Scholar] [CrossRef][Green Version]
- Sgard, F.; Castel, F.; Atalla, N. Use of a Hybrid Adaptive Finite Element/Modal Approach to Assess the Sound Absorption of Porous Materials With Meso-Heterogeneities. Appl. Acoust. 2011, 72, 157–168. [Google Scholar] [CrossRef]
- Doutres, O.; Atalla, N.; Dong, K. Effect of the Microstructure Closed Pore Content on the Acoustic Behavior of Polyurethane Foams. J. Appl. Phys. 2011, 110, 064901. [Google Scholar] [CrossRef]
- Chen, S.; Jiang, Y.; Chen, J.; Wang, D. The Effects of Various Additive Components on the Sound Absorption Performances of Polyurethane Foams. Adv. Mater. Sci. Eng. 2015, 2015, 1–9. [Google Scholar] [CrossRef]
- Buratti, C. Indoor Noise Reduction Index with an Open Window (Part II). Appl. Acoust. 2006, 67, 383–401. [Google Scholar] [CrossRef]
- Okudaira, Y.; Kurihara, Y.; Ando, H.; Satoh, M.; Miyanami, K. Sound Absorption Measurements for Evaluating Dynamic Physical Properties of a Powder Bed. Powder Technol. 1993, 77, 39–48. [Google Scholar] [CrossRef]
- International Organization for Standardization. ISO 10534-2, Acoustics-Determination of Sound Absorption Coefficient and Impedance in Impedance Tubes-Part 2: Transfer-Function Method; ISO/TC 43/SC2 Building Acoustics; CEN, European Committee for Standardization: Brussels, Belgium, 1998; pp. 10534–10542. [Google Scholar]
- Han, F.S.; Seiffert, G.; Zhao, Y.Y.; Gibbs, B. Acoustic Absorption Behaviour of an Open-Celled Alluminium Foam. J. Phys. D. Appl. Phys. 2003, 36, 294–302. [Google Scholar] [CrossRef]
- Yilmaz, N.D.; Powell, N.B.; Banks-Lee, P.; Michielsen, S.; Yilmaz, N.D. Hemp-Fiber Based Nonwoven Composites: Effects of Alkalization on Sound Absorption Performance. Fibers Polym. 2012, 13, 915–922. [Google Scholar] [CrossRef]
- Schiavi, A.; Guglielmone, C.; Miglietta, P. Effect and Importance of Static-Load on Airflow Resistivity Determination and Its Consequences on Dynamic Stiffness. Appl. Acoust. 2011, 72, 705–710. [Google Scholar] [CrossRef]
- Tarnow, V. Measured Anisotropic Air Flow Resistivity and Sound Attenuation of Glass Wool. J. Acoust. Soc. Am. 2002, 111, 2735–2739. [Google Scholar] [CrossRef] [PubMed]
- McRae, J.D.; Naguib, H.E.; Atalla, N. Mechanical and Acoustic Performance of Compression-Molded Open-Cell Polypropylene Foams. J. Appl. Polym. Sci. 2009, 116, 1106–1115. [Google Scholar] [CrossRef]
- Tiuc, A.E.; Vasile, O.; Usca, A.D.; Gabor, T.; Vermesan, H. The Analysis of Factors That Influence the Sound Absorption Coefficient of Porous Materials. Rom. J. Acoust. Vib. 2014, 11, 105–108. [Google Scholar]
- Zhu, W.B.; Chen, S.M.; Wang, Y.B.; Zhu, T.T.; Jiang, Y. Sound Absorption Behavior of Polyurethane Foam Composites with Different Ethylene Propylene Diene Monomer Particles. Arch. Acoust. 2018, 43, 403–411. [Google Scholar]
- Ayrilmis, N.; Kariz, M.; Kwon, J.H.; Manja, K. Effect of Printing Layer Thickness on Water Absorption and Mechanical Properties of 3d-Printed Wood/PLA Composite Materials. Int. J. Adv. Manuf. Technol. 2019, 102, 2195–2200. [Google Scholar] [CrossRef]
- Domínguez-Rodríguez, G.; Ku-Herrera, J.J.; Hernández-Pérez, A. An Assessment of the Effect of Printing Orientation, Density, and Filler Pattern on the Compressive Performance of 3d Printed ABS Structures by Fuse Deposition. Int. J. Adv. Manuf. Technol. 2017, 95, 1685–1695. [Google Scholar] [CrossRef]
- Baich, L.; Manogharan, G.; Marie, H. Study of Infill Print Design on Production Cost-Time of 3d Printed ABS Parts. Int. J. Rapid Manuf. 2015, 5, 308. [Google Scholar] [CrossRef]
- Everest, F.A. Absorption of Sound. In Master Handbook of Acoustics, 4th ed.; McGraw-Hill: New York, NY, USA, 2001; pp. 179–233. [Google Scholar]
- Nor, M.J.M.; Jamaludin, N.; Tamiri, F.M. A Preliminary Study of Sound Absorption Using Multi-Layer Coconut Coir Fibers. Electron. J. Tech. Acoust. 2004, 3, 1–8. [Google Scholar]
- Hua, Q.; Yang, E.H. Effect of Thickness, Density and Cavity Depth on the Sound Absorption Properties of Wool Boards. Autex Res. J. 2018, 18, 203–208. [Google Scholar]
- Lim, Z.; Putra, A.; Nor, M.; Yaakob, M. Sound Absorption Performance of Natural Kenaf Fibres. Appl. Acoust. 2018, 130, 107–114. [Google Scholar] [CrossRef]
- Ismail, L.; Ghazali, M.I.; Mahzan, S.; Zaidi, A.M.A. Sound Absorption of Arenga Pinnata Natural Fiber. World Acad. Sci. Eng. Technol. 2010, 43, 804–806. [Google Scholar]
- Gliscinska, E.; Michalak, M.; Krucinska, I. Sound Absorption Property of Nonwowen Based Composites. Autex Res. J. 2013, 13, 150–155. [Google Scholar] [CrossRef][Green Version]
















| Structure Type | Volume Ratio (%) | Label | Front View | Strut Diameter (mm) | Basic Cell Sizes x/y/z (mm) |
|---|---|---|---|---|---|
| Starlit | 44 | ST_44 | ![]() | 1 | 9/9/8 |
| 57 | ST_57 | 1.4 | 9/9/7.5 | ||
| 70 | ST_70 | 1.8 | 9/9/8 | ||
| Rhomboid | 44 | RH_44 | ![]() | 1 | 7/7/5.5 |
| 57 | RH_57 | 1.35 | 7/7/5 | ||
| 70 | RH_70 | 1.7 | 7/7/5 | ||
| Cartesian | 44 | CA_44 | ![]() | 1 | 5/5/5 |
| 57 | CA_57 | 1.4 | 5/5/5 | ||
| 70 | CA_70 | 1.8 | 5/5/5 | ||
| Octagonal | 44 | OC_44 | ![]() | 1 | 7/7/6 |
| 57 | OC_57 | 1.4 | 7/7/6 | ||
| 70 | OC_70 | 1.7 | 7/7/5.5 |
| Structure Type | αmax (−) | fmax (Hz) | Vr (%) | t (cm) | a (cm) |
|---|---|---|---|---|---|
| Cartesian | 0.999959 | 3736 | 70 | 3 | 6 |
| Octagonal | 0.999995 | 3488 | 70 | 3 | 8 |
| Rhomboid | 0.999763 | 1728 | 70 | 3 | 10 |
| Starlit | 0.999937 | 3920 | 70 | 2 | 10 |
© 2020 by the authors. Licensee MDPI, Basel, Switzerland. This article is an open access article distributed under the terms and conditions of the Creative Commons Attribution (CC BY) license (http://creativecommons.org/licenses/by/4.0/).
Share and Cite
Monkova, K.; Vasina, M.; Monka, P.P.; Kozak, D.; Vanca, J. Effect of the Pore Shape and Size of 3D-Printed Open-Porous ABS Materials on Sound Absorption Performance. Materials 2020, 13, 4474. https://doi.org/10.3390/ma13204474
Monkova K, Vasina M, Monka PP, Kozak D, Vanca J. Effect of the Pore Shape and Size of 3D-Printed Open-Porous ABS Materials on Sound Absorption Performance. Materials. 2020; 13(20):4474. https://doi.org/10.3390/ma13204474
Chicago/Turabian StyleMonkova, Katarina, Martin Vasina, Peter Pavol Monka, Drazan Kozak, and Jan Vanca. 2020. "Effect of the Pore Shape and Size of 3D-Printed Open-Porous ABS Materials on Sound Absorption Performance" Materials 13, no. 20: 4474. https://doi.org/10.3390/ma13204474
APA StyleMonkova, K., Vasina, M., Monka, P. P., Kozak, D., & Vanca, J. (2020). Effect of the Pore Shape and Size of 3D-Printed Open-Porous ABS Materials on Sound Absorption Performance. Materials, 13(20), 4474. https://doi.org/10.3390/ma13204474





