Geometric Non-Linear Analysis of Auxetic Hybrid Laminated Beams Containing CNT Reinforced Composite Materials
Abstract
1. Introduction
2. Design of Hybrid Laminate with NPR
3. Theoretical Modeling of Hybrid Beams
4. Free Vibration Analysis
5. Forced-Vibration Analysis
6. Non-Linear Bending Analysis
7. Conclusions
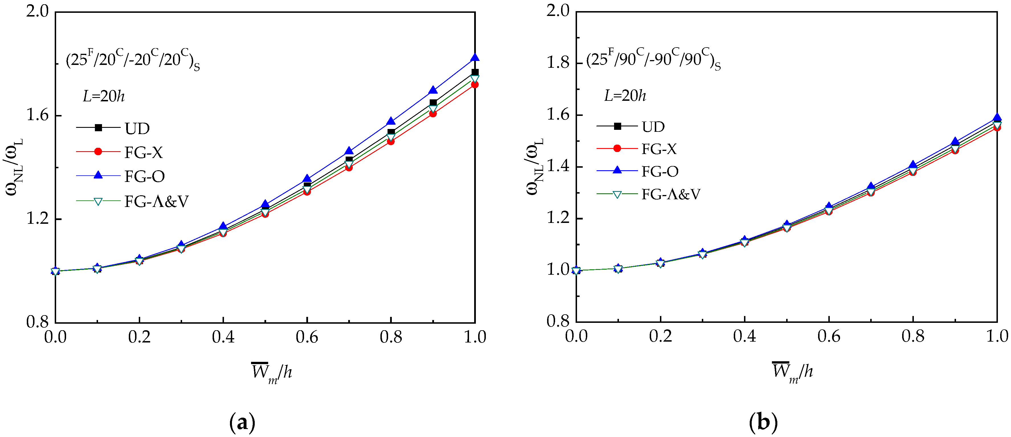
- The distribution type of CNTs show considerable effect on the static and dynamic behavior of FRC/CNTRC plate with NPR or PPR. It is concluded that the FG-X beams have a lower frequency ratio. Moreover, for the non-linear bending and dynamic response, the FG-Λ beam showed better performance than that with UD under different external conditions.
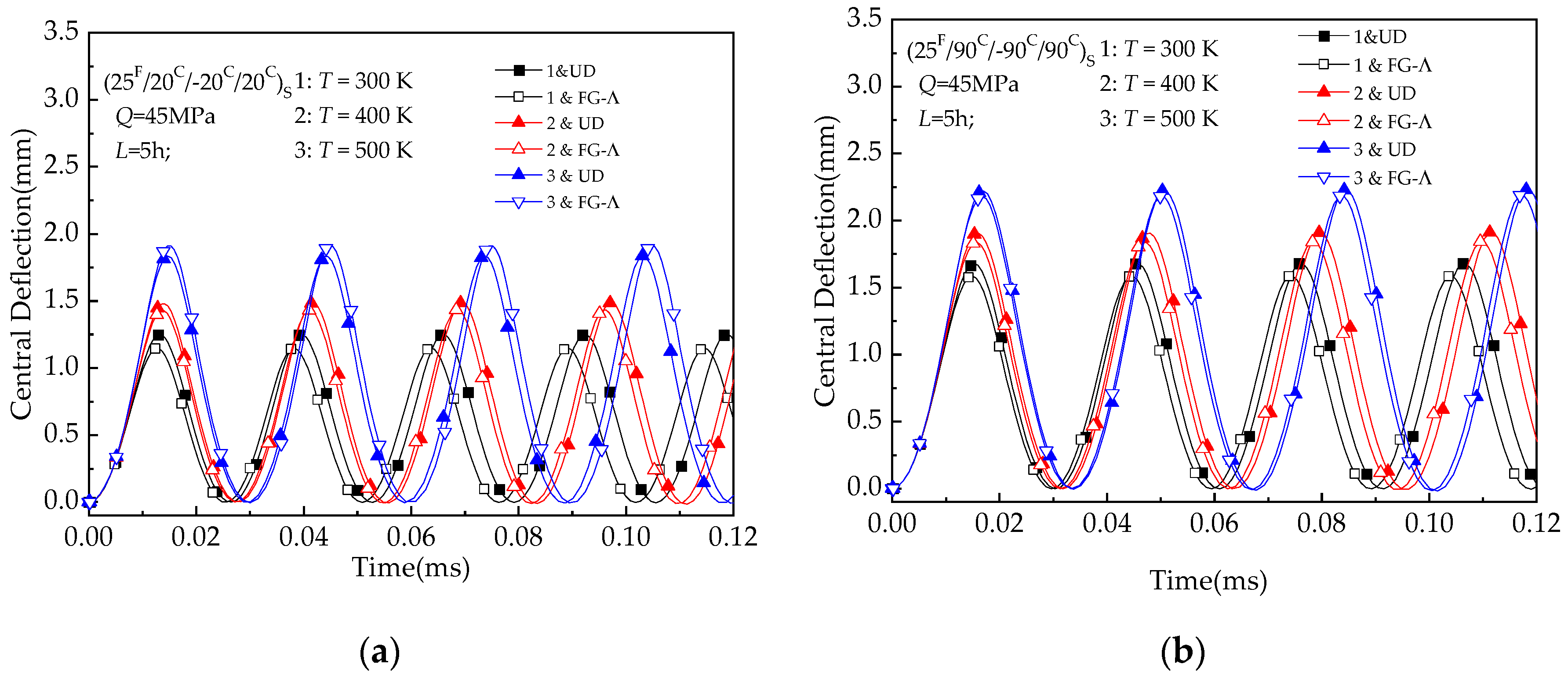
 - An increment in the temperature make the frequencies ratio and central defection considerably larger, whereas the increasing foundation stiffness will result in an opposite effect.
 - The dynamic responses considering viscosity of foundation show obvious differences from those obtained with Pasternak foundation.
 - The comparative studies reveal that the non-linear vibration of (25 F/20 C/−20 C/20 C) S laminated beams are more sensitive to the temperature field, whereas, the non-linear bending in the (25 F/20 C/−20 C/20 C) S laminated beams are less sensitive to the changes in temperature and foundation coefficient than those with (25 F/90 C/−90 C/90 C) S.
 
Author Contributions
Funding
Conflicts of Interest
Appendix A
Appendix B
References
- Evans, K.E.; Nkansah, M.A.; Hutchinson, I.J. Molecular Network Design. Nature 1991, 353, 124. [Google Scholar] [CrossRef]
 - Lakes, R. Foam Structures with a Negative Poisson’s Ratio. Science 1987, 235, 1038–1040. [Google Scholar] [CrossRef] [PubMed]
 - Wojciechowski, K.W. Constant Thermodynamic Tension Monte Carlo Studies of Elastic Properties of a Two-Dimensional System of Hard Cyclic Hexamers. Mol. Phys. 1987, 61, 1247–1258. [Google Scholar] [CrossRef]
 - Wojciechowski, K.W. Two-Dimensional Isotropic System with a Negative Poisson Ratio. Phys. Lett. A 1989, 137, 60–64. [Google Scholar] [CrossRef]
 - Grima, J.N.; Evans, K.E. Auxetic Behavior from Rotating Squares. J. Mater. Sci. Lett. 2000, 19, 1563–1565. [Google Scholar] [CrossRef]
 - Hoover, W.G.; Hoover, C.G. Searching for Auxetics with DYNA3D and ParaDyn. Phys. Status Solidi B 2005, 242, 585–594. [Google Scholar] [CrossRef]
 - Hiller, J.; Lipson, H. Tunable Digital Material Properties for 3D Voxel Printers. Rapid Prototyping J. 2010, 16, 241–247. [Google Scholar] [CrossRef]
 - Wang, K.; Chang, Y.; Chen, Y.; Zhang, C.; Wang, B. Designable Dual-Material Auxetic Metamaterials Using Three-Dimensional Printing. Mater. Des. 2015, 67, 159–164. [Google Scholar] [CrossRef]
 - Chen, Y.J.; Scarpa, F.; Farrow, I.R.; Liu, Y.J.; Leng, J.S. Composite Flexible Skin with Large Negative Poisson’s Ratio Range: Numerical and Experimental Analysis. Smart Mater. Struct. 2013, 22, 45005. [Google Scholar] [CrossRef]
 - Fan, Y.; Xiang, Y.; Shen, H.-S. Temperature-Dependent Mechanical Properties of Graphene/Cu Nanocomposites with In-Plane Negative Poisson’s Ratios. Research 2020, 2020, 5618021. [Google Scholar] [CrossRef]
 - Ren, X.; Das, R.; Tran, P.; Ngo, T.D.; Xie, Y.M. Auxetic Metamaterials and Structures: A Review. Smart Mater. Struct. 2018, 27, 023001. [Google Scholar] [CrossRef]
 - Lakes, R.S. Negative-Poisson’s-Ratio Materials: Auxetic Solids. Annu. Rev. Mater. Res. 2017, 47, 63–81. [Google Scholar] [CrossRef]
 - Siguier, J.; Mandeville, J. Test Procedures to Evaluate Spacecraft Materials Ejecta upon Hypervelocity Impact. Proc. Inst. Mech. Eng. Part. G-J. Aerosp. Eng. 2007, 221, 969–974. [Google Scholar] [CrossRef]
 - Yu, Y.; Shen, H.-S. A Comparison of Nonlinear Vibration and Bending of Hybrid CNTRC/metal Laminated Plates with Positive and Negative Poisson’s Ratios. Int. J. Mech. Sci. 2020, 183, 105790. [Google Scholar] [CrossRef]
 - Ju, J.; Kim, D.; Kim, K. Flexible Cellular Solid Spokes of a Non-Pneumatic Tire. Compos. Struct. 2012, 94, 2285–2295. [Google Scholar] [CrossRef]
 - Wu, T.; Li, M.; Zhu, X.; Lu, X. Research on Non-Pneumatic Tire with Gradient Anti-Tetrachiral Structures. Mech. Adv. Mater. Struc. 2020. [Google Scholar] [CrossRef]
 - Zahra, T.; Dhanasekar, M. Characterisation of Cementitious Polymer Mortar—Auxetic Foam Composites. Constr. Build. Mater. 2017, 147, 143–159. [Google Scholar] [CrossRef]
 - Asad, M.; Dhanasekar, M.; Zahra, T.; Thambiratnam, D. Characterisation of Polymer Cement Mortar Composites Containing Carbon Fibre Or Auxetic Fabric Overlays and Inserts Under Flexure. Constr. Build. Mater. 2019, 224, 863–879. [Google Scholar] [CrossRef]
 - Qiao, J.X.; Chen, C.Q. Impact Resistance of Uniform and Functionally Graded Auxetic Double Arrowhead Honeycombs. Int. J. Impact Eng. 2015, 83, 47–58. [Google Scholar] [CrossRef]
 - Jiang, L.; Hu, H. Low-Velocity Impact Response of Multilayer Orthogonal Structural Composite with Auxetic Effect. Compos. Struct. 2017, 169, 62–68. [Google Scholar] [CrossRef]
 - Chen, Z.; Wang, Z.; Zhou, S.; Shao, J.; Wu, X. Novel Negative Poisson’s Ratio Lattice Structures with Enhanced Stiffness and Energy Absorption Capacity. Materials 2018, 11, 1095. [Google Scholar] [CrossRef] [PubMed]
 - Jiang, L.; Hu, H. Finite Element Modeling of Multilayer Orthogonal Auxetic Composites under Low-Velocity Impact. Materials 2017, 10, 908. [Google Scholar] [CrossRef] [PubMed]
 - Chen, X.; Feng, Z. Dynamic Behaviour of a Thin Laminated Plate Embedded with Auxetic Layers Subject to In-Plane Excitation. Mech. Res. Commun. 2017, 85, 45–52. [Google Scholar] [CrossRef]
 - Mansouri, M.H.; Shariyat, M. Biaxial Thermo-Mechanical Buckling of Orthotropic Auxetic FGM Plates with Temperature and Moisture Dependent Material Properties on Elastic Foundations. Compos. Pt. B-Eng. 2015, 83, 88–104. [Google Scholar] [CrossRef]
 - Asemi, K.; Shariyat, M. Three-Dimensional Biaxial Post-Buckling Analysis of Heterogeneous Auxetic Rectangular Plates on Elastic Foundations by New Criteria. Comput. Method. Appl. M. 2016, 302, 1–26. [Google Scholar] [CrossRef]
 - Lim, T. Shear Deformation in Beams with Negative Poisson’s Ratio. Proc. Inst. Mech. Eng. Part L J. Mater. Des. Appl. 2014, 229, 447–454. [Google Scholar] [CrossRef]
 - Zhang, R.G.; Yeh, H.-L.; Yeh, H.-Y. A Preliminary Study of Negative Poisson’s Ratio of Laminated Fiber Reinforced Composites. J. Reinf. Plast. Comp. 1998, 17, 1651–1664. [Google Scholar] [CrossRef]
 - Evans, K.E.; Donoghue, J.P.; Alderson, K.L. The Design, Matching and Manufacture of Auxetic Carbon Fibre Laminates. J. Compos. Mater. 2004, 38, 95–106. [Google Scholar] [CrossRef]
 - Lempriere, M.B. Poisson’s Ratio in Orthotropic Materials. Aiaa J. 1968, 6, 2226–2227. [Google Scholar] [CrossRef]
 - Clarke, J.F.; Duckett, R.A.; Hine, P.J.; Hutchinson, I.J.; Ward, I.M. Negative Poisson’s Ratios in Angle-Ply Laminates: Theory and Experiment. Composites 1994, 25, 863–868. [Google Scholar] [CrossRef]
 - Herakovich, C.T. Composite Laminates with Negative Through-the-Thickness. J. Compos. Mater. 1984, 18, 447–455. [Google Scholar] [CrossRef]
 - Hine, P.J.; Duckett, R.A.; Ward, I.M. Negative Poisson’s Ratios in Angle-Ply Laminates. J. Mater. Sci. Lett. 1997, 16, 541–544. [Google Scholar] [CrossRef]
 - Matsuda, T.; Goto, K.; Kubota, N.; Ohno, N. Negative Through-The-Thickness Poisson’s Ratio of Elastic–Viscoplastic Angle-Ply Carbon Fiber-Reinforced Plastic Laminates: Homogenization Analysis. Int. J. Plast. 2014, 63, 152–169. [Google Scholar] [CrossRef]
 - Hadi Harkati, E.; Bezazi, A.; Scarpa, F.; Alderson, K.; Alderson, A. Modelling the Influence of the Orientation and Fibre Reinforcement on the Negative Poisson’s Ratio in Composite Laminates. Phys. Status Solidi B 2007, 244, 883–892. [Google Scholar] [CrossRef]
 - Hadi Harkati, E.; Bezazi, A.; Boukharouba, W.; Scarpa, F. Influence of Carbon Fibre on the Through-The-Thickness NPR Behaviour of Composite Laminates. Phys. Status Solidi B 2009, 246, 2111–2117. [Google Scholar] [CrossRef]
 - Sun, C.T.; Li, S.J. Three-Dimensional Effective Elastic Constants for Thick Laminates. J. Compos. Mater. 1988, 22, 629–639. [Google Scholar] [CrossRef]
 - Yeh, H.-L.; Yeh, H.-Y. Dilatation and Through-the-Thickness Poisson’s Ratio of Composite Laminates. J. Reinf. Plast. Comp. 2000, 19, 966–991. [Google Scholar] [CrossRef]
 - Peel, L.D. Exploration of High and Negative Poisson’s Ratio Elastomer-Matrix Laminates. Phys. Status Solidi B 2007, 244, 988–1003. [Google Scholar] [CrossRef]
 - Alderson, K.L.; Coenen, V.L. The Low Velocity Impact Response of Auxetic Carbon Fibre Laminates. Phys. Status Solidi B 2008, 245, 489–496. [Google Scholar] [CrossRef]
 - Zhou, L.; Zeng, J.; Jiang, L.; Hu, H. Low-Velocity Impact Properties of 3D Auxetic Textile Composite. J. Mater. Sci. 2018, 53, 3899–3914. [Google Scholar] [CrossRef]
 - Coenen, V.L.; Alderson, K.L. Mechanisms of Failure in the Static Indentation Resistance of Auxetic Carbon Fibre Laminates. Phys. Status Solidi B 2011, 248, 66–72. [Google Scholar] [CrossRef]
 - Wang, R.; Xie, L.; Hameed, S.; Wang, C.; Ying, Y. Mechanisms and Applications of Carbon Nanotubes in Terahertz Devices: A Review. Carbon 2018, 132, 42–58. [Google Scholar] [CrossRef]
 - Beitollahi, H.; Movahedifar, F.; Tajik, S.; Jahani, S. A Review on the Effects of Introducing CNTs in the Modification Process of Electrochemical Sensors. Electroanalysis 2018, 31, 1195–1203. [Google Scholar] [CrossRef]
 - De Menezes, B.R.C.; Rodrigues, K.F.; da Silva Fonseca, B.C.; Ribas, R.G.; do Amaral Montanheiro, T.L.; Thim, G.P. Recent Advances in the Use of Carbon Nanotubes as Smart Biomaterials. J. Mater. Chen. B 2019, 7, 1343–1360. [Google Scholar] [CrossRef]
 - Shen, H.-S. Nonlinear Bending of Functionally Graded Carbon Nanotube-Reinforced Composite Plates in Thermal Environments. Compos. Struct. 2009, 91, 9–19. [Google Scholar] [CrossRef]
 - Asadi, H.; Beheshti, A.R. On the Nonlinear Dynamic Responses of FG-CNTRC Beams Exposed to Aerothermal Loads Using Third-Order Piston Theory. Acta Mech. 2018, 229, 2413–2430. [Google Scholar] [CrossRef]
 - Mohammadimehr, M.; Monajemi, A.A.; Afshari, H. Free and Forced Vibration Analysis of Viscoelastic Damped FG-CNT Reinforced Micro Composite Beams. Microsyst. Technol. 2017. [Google Scholar] [CrossRef]
 - Fu, T.; Chen, Z.; Yu, H.; Wang, Z.; Liu, X. Mechanical Behavior of Laminated Functionally Graded Carbon Nanotube Reinforced Composite Plates Resting on Elastic Foundations in Thermal Environments. J. Compos. Mater. 2018, 53, 1159–1179. [Google Scholar] [CrossRef]
 - Huu Quoc, T.; Minh Tu, T.; Van Tham, V. Free Vibration Analysis of Smart Laminated Functionally Graded CNT Reinforced Composite Plates via New Four-Variable Refined Plate Theory. Materials 2019, 12, 3675. [Google Scholar] [CrossRef]
 - Mohammadimehr, M.; Shahedi, S.; Rousta Navi, B. Nonlinear Vibration Analysis of FG-CNTRC Sandwich Timoshenko Beam Based on Modified Couple Stress Theory Subjected to Longitudinal Magnetic Field Using Generalized Differential Quadrature Method. Proc. Inst. Mech. Eng. Part. C J. Eng. Mech. Eng. Sci. 2016, 231, 3866–3885. [Google Scholar] [CrossRef]
 - Ansari, R.; Faghih Shojaei, M.; Mohammadi, V.; Gholami, R.; Sadeghi, F. Nonlinear Forced Vibration Analysis of Functionally Graded Carbon Nanotube-Reinforced Composite Timoshenko Beams. Compos. Struct. 2014, 113, 316–327. [Google Scholar] [CrossRef]
 - Fan, Y.; Wang, H. Nonlinear Vibration of Matrix Cracked Laminated Beams Containing Carbon Nanotube Reinforced Composite Layers in Thermal Environments. Compos. Struct. 2015, 124, 35–43. [Google Scholar] [CrossRef]
 - Fan, Y.; Wang, H. Nonlinear Low-Velocity Impact on Damped and Matrix-Cracked Hybrid Laminated Beams Containing Carbon Nanotube Reinforced Composite Layers. Nonlinear Dynam. 2017, 89, 1863–1876. [Google Scholar] [CrossRef]
 - Lei, Z.X.; Yin, B.B.; Liew, K.M. Bending and Vibration Behaviors of Matrix Cracked Hybrid Laminated Plates Containing CNTR-FG Layers and FRC Layers. Compos. Struct. 2018, 184, 314–326. [Google Scholar] [CrossRef]
 - Lei, Z.X.; Zhang, L.W.; Liew, K.M. Modeling Large Amplitude Vibration of Matrix Cracked Hybrid Laminated Plates Containing CNTR-FG Layers. Appl. Math. Model. 2018, 55, 33–48. [Google Scholar] [CrossRef]
 - Pan, Z.Z.; Chen, X.H.; Zhang, L.W. Modeling Large Amplitude Vibration of Pretwisted Hybrid Composite Blades Containing CNTRC Layers and Matrix Cracked FRC Layers. Appl. Math. Model. 2020, 83, 640–659. [Google Scholar] [CrossRef]
 - Zhang, L.W.; Pan, Z.Z.; Chen, X.H. Vibration Characteristics of Matrix Cracked Pretwisted Hybrid Composite Blades Containing CNTRC Layers. J. Sound Vib. 2020, 473, 115–135. [Google Scholar] [CrossRef]
 - Kuo, S. Vibration of Thermally Post-Buckled Hybrid Laminates with Two Non-Uniformly Distributed Fibers. Thin Wall. Struct. 2017, 114, 70–79. [Google Scholar] [CrossRef]
 - Papa, I.; Boccarusso, L.; Langella, A.; Lopresto, V. Carbon/Glass Hybrid Composite Laminates in Vinylester Resin: Bending and Low Velocity Impact Tests. Compos. Struct. 2020, 232, 111571. [Google Scholar] [CrossRef]
 - Asadi, H.; Bodaghi, M.; Shakeri, M.; Aghdam, M.M. An Analytical Approach for Nonlinear Vibration and Thermal Stability of Shape Memory Alloy Hybrid Laminated Composite Beams. Eur. J. Mech. A-Solids 2013, 42, 454–468. [Google Scholar] [CrossRef]
 - Zhang, J.; Chaisombat, K.; He, S.; Wang, C.H. Hybrid Composite Laminates Reinforced with Glass/Carbon Woven Fabrics for Lightweight Load Bearing Structures. Mater. Des. 2012, 36, 75–80. [Google Scholar] [CrossRef]
 - Chen, J.H.; Tsai, S.W. Three-Dimensional Effective Moduli of Symmetric Laminates. J. Compos. Mater. 1996, 30, 906–907. [Google Scholar] [CrossRef]
 - Yang, J.; Huang, X.-H.; Shen, H.-S. Nonlinear Flexural Behavior of Temperature-Dependent FG-CNTRC Laminated Beams with Negative Poisson’s Ratio Resting on the Pasternak Foundation. Eng. Struct. 2020, 207, 110250. [Google Scholar] [CrossRef]
 - Yang, J.; Huang, X.-H.; Shen, H.-S. Nonlinear Vibration of Temperature-Dependent FG-CNTRC Laminated Plates with Negative Poisson’s Ratio. Thin Wall. Struct. 2020, 148, 106514. [Google Scholar] [CrossRef]
 - Huang, X.-H.; Yang, J.; Wang, X.-E.; Azim, I. Combined Analytical and Numerical Approach for Auxetic FG-CNTRC Plate Subjected to a Sudden Load. Eng. Comput. 2020. [Google Scholar] [CrossRef]
 - Schapery, R.A. Thermal Expansion Coefficients of Composite Materials Based on Energy Principles. J. Compos. Mater. 1968, 2, 380–404. [Google Scholar] [CrossRef]
 - Reddy, J.N. A Simple Higher-Order Theory for Laminated Composite Plates. J. Appl. Mech. 1984, 51, 745–752. [Google Scholar] [CrossRef]
 - Shen, H.-S. A Two-Step Perturbation Method in Nonlinear Analysis of Beams, Plates and Shells; John Wiley & Sons Inc.: Singapore, 2013. [Google Scholar]
 - Yang, J.; Huang, X.-H.; Shen, H.-S. Nonlinear Vibration of Temperature-Dependent FG-CNTRC Laminated Beams with Negative Poisson’s Ratio. Int. J. Struct. Stab. Dy. 2020, 20, 2050043. [Google Scholar] [CrossRef]
 - Fan, Y.; Wang, H. The Effects of Matrix Cracks on the Nonlinear Vibration Characteristics of Shear Deformable Laminated Beams Containing Carbon Nanotube Reinforced Composite Layers. Int. J. Mech. Sci. 2017, 124–125, 216–228. [Google Scholar] [CrossRef]
 - Fan, Y.; Xiang, Y.; Shen, H.-S. Nonlinear Dynamics of Temperature-Dependent FG-GRC Laminated Beams Resting on Visco-Pasternak Foundations. Int. J. Struct. Stab. Dyn. 2020, 20, 2050012. [Google Scholar] [CrossRef]
 - Fan, Y.; Wang, H. The Effects of Matrix Cracks on the Nonlinear Bending and Thermal Postbuckling of Shear Deformable Laminated Beams Containing Carbon Nanotube Reinforced Composite Layers and Piezoelectric Fiber Reinforced Composite Layers. Compos. Pt. B Eng. 2016, 106, 28–41. [Google Scholar] [CrossRef]
 - Li, J.; Wu, Z.; Kong, X.; Li, X.; Wu, W. Comparison of Various Shear Deformation Theories for Free Vibration of Laminated Composite Beams with General Lay-Ups. Compos. Struct. 2014, 108, 767–778. [Google Scholar] [CrossRef]
 














| Volume Fraction | T | E11 | E22 | G12 | v12 | α11 | α22 | 
|---|---|---|---|---|---|---|---|
| (K) | (MPa) | (MPa) | (MPa) | (×10−6/K) | (×10−5/K) | ||
| VCN = 0.11 | 300 K | 94,416.77 | 2203.74 | 822.28 | 0.3219 | 3.5830 | 5.3182 | 
| 400 K | 92,708.58 | 1710.53 | 638.253 | 0.3219 | 4.2514 | 5.5640 | |
| 500 K | 91,682.21 | 1217.32 | 454.222 | 0.3219 | 4.6123 | 5.8198 | |
| VCN = 0.14 | 300 K | 120,384.60 | 2297.68 | 857.33 | 0.3169 | 3.5531 | 5.1582 | 
| 400 K | 118,327.7 | 1783.46 | 665.46 | 0.3169 | 4.2269 | 5.3949 | |
| 500 K | 117,144.40 | 1269.22 | 473.586 | 0.3169 | 4.5940 | 5.6414 | |
| VCN = 0.17 | 300 K | 144,771.38 | 3493.88 | 1303.66 | 0.3120 | 3.5337 | 4.9979 | 
| 400 K | 142,387.80 | 2711.95 | 1011.91 | 0.3120 | 4.2111 | 5.2255 | |
| 500 K | 141,057.96 | 1930.01 | 720.144 | 0.3120 | 4.5821 | 5.4627 | |
| 300 K | 140,670.00 | 5279.79 | 1731.78 | 0.2560 | −0.2681 | 3.1446 | |
| Vf = 0.6 | 400 K | 140,482.00 | 4242.64 | 1380.01 | 0.2560 | −0.3182 | 3.2665 | 
| 500 K | 140,294.00 | 3130.95 | 1008.98 | 0.256 | −0.3745 | 3.3885 | 
| Types | UD | FG-X | FG-O | FG-Λ | FG-V | Symmetric Laminates in the Case Study | |
|---|---|---|---|---|---|---|---|
| Each Ply | |||||||
| Ply1 | 0.6 | 0.6 | 0.6 | 0.6 | 0.6 | ![]()  | |
| Ply2 | 0.14 | 0.17 | 0.11 | 0.11 | 0.17 | ||
| Ply3 | 0.14 | 0.14 | 0.14 | 0.11 | 0.17 | ||
| Ply4 | 0.14 | 0.11 | 0.17 | 0.14 | 0.14 | ||
| Ply5 | 0.14 | 0.11 | 0.17 | 0.14 | 0.14 | ||
| Ply6 | 0.14 | 0.14 | 0.14 | 0.17 | 0.11 | ||
| Ply7 | 0.14 | 0.17 | 0.11 | 0.17 | 0.11 | ||
| Ply8 | 0.6 | 0.6 | 0.6 | 0.6 | 0.6 | ||
| FG- | UD | FG-V | FG-Λ | FG-X | FG-O | 
|---|---|---|---|---|---|
| (25F/20C/−20C/20C)S | |||||
| 300K | −0.4566 | −0.3972 | −0.3972 | −0.4213 | −0.4213 | 
| 400K | −0.5318 | −0.5021 | −0.5021 | −0.5167 | −0.5167 | 
| 500K | −0.7263 | −0.6583 | −0.6583 | −0.6743 | −0.6743 | 
| (25F/90C/−90C/90C)S | |||||
| 300K | 0.3010 | 0.3016 | 0.3016 | 0.3017 | 0.3017 | 
| 400K | 0.3006 | 0.3012 | 0.3012 | 0.3013 | 0.3013 | 
| 500K | 0.3005 | 0.3009 | 0.3009 | 0.3010 | 0.3010 | 
| VCN | θC | |||
|---|---|---|---|---|
| 15 | 30 | 45 | ||
| 0.12 | Fan & Wang [70] | 5.27645 | 3.29216 | 2.79561 | 
| Proposed method | 5.28465 | 3.30550 | 2.81136 | |
| 0.17 | Fan & Wang [70] | 6.66920 | 4.09226 | 3.42397 | 
| Proposed method | 6.67556 | 4.10290 | 3.43674 | |
| 0.28 | Fan & Wang [70] | 7.12107 | 4.29687 | 3.57689 | 
| Proposed method | 7.12693 | 4.30689 | 3.58898 | |
| T (K) | Lay-up | |||||
|---|---|---|---|---|---|---|
| 300 | (25 F/20 C/-20 C/20 C) S | UD | 4.6911 | 13.6948 | 23.2622 | 32.9778 | 
| FG-V& | 4.9235 | 14.3683 | 24.3888 | 34.5382 | ||
| FG-X | 5.0219 | 14.3477 | 24.1203 | 34.0164 | ||
| FG-O | 4.8071 | 14.5108 | 25.0357 | 35.7004 | ||
| (25 F/90 C/-90 C/90 C) S | UD | 3.9290 | 12.4320 | 22.0451 | 31.9209 | |
| FG-V& | 4.0516 | 12.8855 | 22.9136 | 33.2090 | ||
| FG-X | 4.0952 | 12.8501 | 22.6652 | 32.7112 | ||
| FG-O | 3.9949 | 12.9939 | 23.4395 | 34.2276 | ||
| 400 | (25 F/20 C/-20 C/20 C) S | UD | 3.5961 | 11.4037 | 19.6450 | 28.0129 | 
| FG-V& | 3.9020 | 12.0972 | 20.7582 | 29.5337 | ||
| FG-X | 3.9247 | 12.0007 | 20.4151 | 28.9379 | ||
| FG-O | 3.7144 | 12.1788 | 21.3000 | 30.5349 | ||
| (25 F/90 C/-90 C/90 C) S | UD | 3.3652 | 10.8818 | 19.3508 | 28.0456 | |
| FG-V& | 3.4669 | 11.2728 | 20.1071 | 29.1715 | ||
| FG-X | 3.4951 | 11.2254 | 19.8643 | 28.7019 | ||
| FG-O | 3.4074 | 11.3733 | 20.5873 | 30.0945 | ||
| 500 | (25 F/20 C/-20 C/20 C) S | UD | 1.8258 | 8.3787 | 15.0130 | 21.7286 | 
| FG-V& | 2.4974 | 9.2762 | 16.3236 | 23.4585 | ||
| FG-X | 2.2548 | 8.9424 | 15.7088 | 22.5508 | ||
| FG-O | 1.9929 | 9.1458 | 16.5824 | 24.0827 | ||
| (25 F/90 C/-90 C/90 C) S | UD | 2.7546 | 9.1202 | 16.2644 | 23.5940 | |
| FG-V& | 2.8368 | 9.4451 | 16.8979 | 24.5401 | ||
| FG-X | 2.8478 | 9.3870 | 16.6674 | 24.1110 | ||
| FG-O | 2.7746 | 9.5311 | 17.3136 | 25.3358 | 
| (k1, k2) | Lay-Up | |||||
|---|---|---|---|---|---|---|
| (0, 0) | (25 F/20 C/-20 C/20 C) S | UD | 5.5174 | 21.2692 | 45.2455 | 75.0582 | 
| FG-V& | 5.7912 | 22.3244 | 47.4888 | 78.7764 | ||
| FG-X | 6.0167 | 23.0823 | 48.7798 | 80.3508 | ||
| FG-O | 5.5054 | 21.3661 | 45.8826 | 76.9132 | ||
| (25 F/90 C/-90 C/90 C) S | UD | 4.5382 | 17.0453 | 37.0174 | 62.8646 | |
| FG-V& | 4.4797 | 17.5337 | 38.1210 | 64.8256 | ||
| FG-X | 4.5665 | 17.8376 | 38.6771 | 65.5239 | ||
| FG-O | 4.3585 | 17.1122 | 37.3777 | 63.9190 | ||
| (103, 0) | (25 F/20 C/-20 C/20 C) S | UD | 10.3970 | 23.0126 | 46.0837 | 75.5615 | 
| FG-V& | 10.5449 | 23.9911 | 48.2880 | 79.2561 | ||
| FG-X | 10.6704 | 24.6981 | 49.5584 | 80.8215 | ||
| FG-O | 10.3907 | 23.1020 | 46.7089 | 77.4038 | ||
| (25 F/90 C/-90 C/90 C) S | UD | 9.8311 | 19.1760 | 38.0361 | 63.4629 | |
| FG-V& | 9.8855 | 19.6114 | 39.1109 | 65.4059 | ||
| FG-X | 9.9251 | 19.8836 | 39.6435 | 66.0983 | ||
| FG-O | 9.8312 | 19.2354 | 38.3866 | 64.5070 | ||
| (103, 102) | (25 F/20 C/-20 C/20 C) S | UD | 13.5920 | 28.8850 | 52.9492 | 81.062 | 
| FG-V& | 13.7054 | 29.6705 | 54.8785 | 86.4789 | ||
| FG-X | 13.8022 | 30.2454 | 56.0016 | 87.9216 | ||
| FG-O | 13.5871 | 28.9558 | 53.4912 | 84.7756 | ||
| (25 F/90 C/-90 C/90 C) S | UD | 13.1641 | 25.9308 | 46.1073 | 72.2569 | |
| FG-V& | 13.2048 | 26.2543 | 46.9974 | 73.9677 | ||
| FG-X | 13.2344 | 26.4583 | 47.4424 | 74.5835 | ||
| FG-O | 13.1642 | 25.9744 | 46.3947 | 73.1687 | 
© 2020 by the authors. Licensee MDPI, Basel, Switzerland. This article is an open access article distributed under the terms and conditions of the Creative Commons Attribution (CC BY) license (http://creativecommons.org/licenses/by/4.0/).
Share and Cite
Huang, X.-h.; Yang, J.; Azim, I.; Wang, X.-e.; Ren, X. Geometric Non-Linear Analysis of Auxetic Hybrid Laminated Beams Containing CNT Reinforced Composite Materials. Materials 2020, 13, 3718. https://doi.org/10.3390/ma13173718
Huang X-h, Yang J, Azim I, Wang X-e, Ren X. Geometric Non-Linear Analysis of Auxetic Hybrid Laminated Beams Containing CNT Reinforced Composite Materials. Materials. 2020; 13(17):3718. https://doi.org/10.3390/ma13173718
Chicago/Turabian StyleHuang, Xu-hao, Jian Yang, Iftikhar Azim, Xing-er Wang, and Xin Ren. 2020. "Geometric Non-Linear Analysis of Auxetic Hybrid Laminated Beams Containing CNT Reinforced Composite Materials" Materials 13, no. 17: 3718. https://doi.org/10.3390/ma13173718
APA StyleHuang, X.-h., Yang, J., Azim, I., Wang, X.-e., & Ren, X. (2020). Geometric Non-Linear Analysis of Auxetic Hybrid Laminated Beams Containing CNT Reinforced Composite Materials. Materials, 13(17), 3718. https://doi.org/10.3390/ma13173718
        
       