A Comparison of the Compositional, Microstructural, and Mechanical Characteristics of Ni-Free and Conventional Stainless Steel Orthodontic Wires
Abstract
1. Introduction
2. Materials and Methods
2.1. Materials Tested
2.2. SEM/EDX Analysis
2.3. XRD Analysis
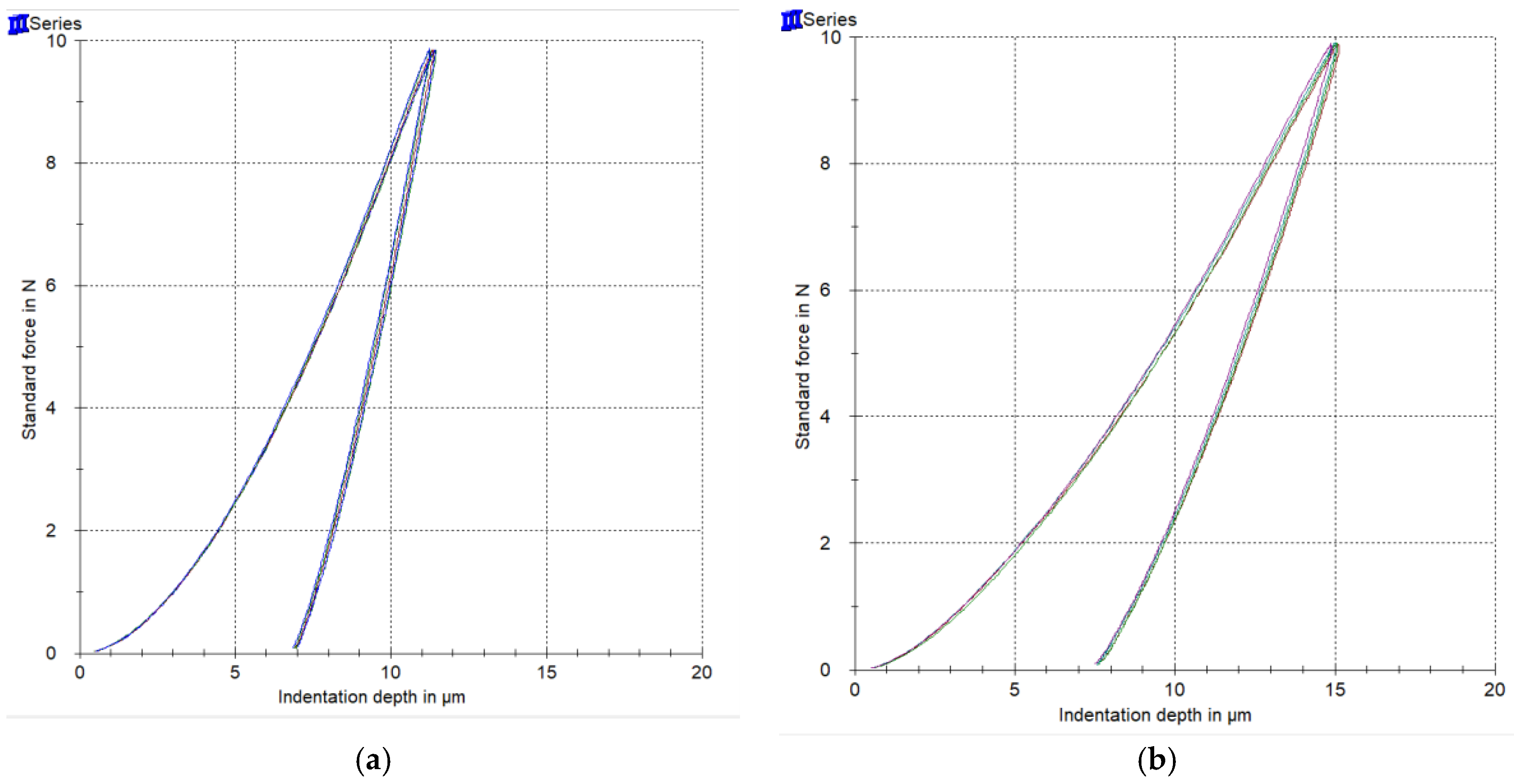
2.4. Instrumented Indentation Testing (IIT)
2.5. Statistical Analysis
3. Results
3.1. SEM/EDX Results
3.2. XRD Results
3.3. IIT Results
4. Discussion
5. Conclusions
Author Contributions
Funding
Acknowledgments
Conflicts of Interest
References
- Mikulewicz, M.; Chojnacka, K.; Zielinska, A.; Michalak, I. Exposure to metals from orthodontic appliances by hair mineral analysis. Environ. Toxicol. Pharmacol. 2011, 32, 10–16. [Google Scholar] [CrossRef] [PubMed]
- Mikulewicz, M.; Chojnacka, K. Release of metal ions from orthodontic appliances by in vitro studies: A systematic literature review. Biol. Trace Elem. Res. 2011, 139, 241–256. [Google Scholar] [CrossRef] [PubMed]
- Eliades, T.; Athanasiou, A.E. In vivo aging of orthodontic alloys: Implications for corrosion potential, nickel release, and biocompatibility. Angle Orthod. 2002, 72, 222–237. [Google Scholar] [CrossRef] [PubMed]
- Eliades, T.; Eliades, G.; Brantley, W. Orthodontic Brackets. In Orthodontic Materials; Brantley, W.E.T., Ed.; Thieme: Stuttgard, Germany, 2001; pp. 146–169. [Google Scholar]
- Barrett, R.D.; Bishara, S.E.; Quinn, J.K. Biodegradation of orthodontic appliances. Part, I. Biodegradation of Nickel and Chromium in vitro. Am.J. Orthod. Dentofac. Orthop. 1993, 103, 8–14. [Google Scholar] [CrossRef]
- Rahilly, G.; Price, N. Nickel allergy and orthodontics. J. Orthod. 2003, 30, 171–174. [Google Scholar] [CrossRef]
- Zinelis, S.; Al Jabbari, Y.S.; Gaintantzopoulou, M.; Eliades, G.; Eliades, T. Mechanical properties of orthodontic wires derived by instrumented indentation testing (IIT) according to ISO 14577. Prog. Orthod. 2015, 16, 19. [Google Scholar] [CrossRef]
- Rose, E.C.; Jonas, I.E.; Kappert, H.F. In vitro investigation into the biological assessment of orthodontic wires. J. Orofac. Orthop. Fortschr. Kieferorthopadie Organ/Off. J. Dtsch. Ges. Kieferorthopadie 1998, 59, 253–264. [Google Scholar] [CrossRef]
- Eliades, T.; Zinelis, S.; Bourauel, C.; Eliades, G. Manufacturing of orthodontic brackets: A review of metallurgical perspectives and applications. Rec. Pat. Mater. Sci. 2008, 1, 135–139. [Google Scholar] [CrossRef]
- Ortiz, A.J.; Fernandez, E.; Vicente, A.; Calvo, J.L.; Ortiz, C. Metallic ions released from stainless steel, nickel-free, and titanium orthodontic alloys: Toxicity and DNA damage. Am. J. Orthod. Dentofac. Orthop. 2011, 140, e115–e122. [Google Scholar] [CrossRef]
- Khier, S.E.; Brantley, W.A.; Fournelle, R.A. Structure and mechanical properties of as-received and heat-treated stainless steel orthodontic wires. Am. J. Orthod. Dentofac. Orthop. 1988, 93, 206–212. [Google Scholar] [CrossRef]
- Kusy, R.P. A review of contemporary archwires: Their properties and characteristics. Angle Orthod. 1997, 67, 197–207. [Google Scholar] [CrossRef] [PubMed]
- Boyer, H.E.; Gall, T.L. Metals Handbook Desk Edition, 2nd ed.; Davis, J.R., Ed.; ASM International: Novelty, OH, USA, 2001. [Google Scholar]
- ISO14577-1. Metallic Materials—Instrumented Indentation Test for Hardness and Materials Parameters; International Organization for Standardization: Geneva, Switzerland, 2002. [Google Scholar]
- Zinelis, S.; Sifakakis, I.; Katsaros, C.; Eliades, T. Microstructural and mechanical characterization of contemporary lingual orthodontic brackets. Eur. J. Orthod. 2014, 36, 389–393. [Google Scholar] [CrossRef] [PubMed]
- Amini, F.; Rakhshan, V.; Pousti, M.; Rahimi, H.; Shariati, M.; Aghamohamadi, B. Variations in surface roughness of seven orthodontic archwires: An SEM-profilometry study. Korean J. Orthod. 2012, 42, 129–137. [Google Scholar] [CrossRef] [PubMed]
- Usui, T.; Iwata, T.; Miyake, S.; Otsuka, T.; Koizumi, S.; Shirakawa, N.; Kawata, T. Mechanical and frictional properties of aesthetic orthodontic wires obtained by hard chrome carbide plating. J. Dent. Sci. 2018, 13, 151–159. [Google Scholar] [CrossRef]
- Pelsue, B.M.; Zinelis, S.; Bradley, T.G.; Berzins, D.W.; Eliades, T.; Eliades, G. Structure, composition, and mechanical properties of Australian orthodontic wires. Angle Orthod. 2009, 79, 97–101. [Google Scholar] [CrossRef]
- Brantley, W. Orthodontic Wires. In Orthodontic Materials; Brantley, W., Eliades, T., Eds.; Thieme: Stugard, Germany; New York, NY, USA, 2001; pp. 78–100. [Google Scholar]
- Cheary, R.W.; Ma-Sorrell, Y. Quantitative phase analysis by X-ray diffraction of martensite and austenite in strongly oriented orthodontic stainless steel wires. J. Mat. Sci. 2000, 35, 1105–1113. [Google Scholar] [CrossRef]
- Izquierdo, P.P.; De Biasi, R.S.; Elias, C.N.; Nojima, L.I. Martensitic transformation of austenitic stainless steel orthodontic wires during intraoral exposure. Am. J. Orthod. Dentofac. Orthop. 2010, 138, 714. [Google Scholar] [CrossRef]
- Kapila, S.; Sachdeva, R. Mechanical properties and clinical applications of orthodontic wires. Am. J. Orthod. Dentofac. Orthop. 1989, 96, 100–109. [Google Scholar] [CrossRef]
- Suresh, S.; Giannakopoulos, E. A new method for estimating residual stresses by instrumented sharp indentation. Acta Metall. 1998, 46, 5575–5767. [Google Scholar] [CrossRef]
- Hynowska, A.; Pellicer, E.; Fornell, J.; Gonzalez, S.; Van Steenberge, N.; Surinach, S.; Gebert, A.; Calin, M.; Eckert, J.; Baro, M.D.; et al. Nanostructured β-phase Ti-31.0 Fe-9.0 Sn and sub-micron structured Ti-39.3 Nb-13.3 Zr-10.7 Ta alloys for biomedical applications: Microstructure benefits on the mechanical and corrosion performances. Mater. Sci. Eng. C 2012, 32, 2418–2425. [Google Scholar] [CrossRef]
- Verstrynge, A.; Van Humbeeck, J.; Willems, G. In-vitro evaluation of the material characteristics of stainless steel and beta-titanium orthodontic wires. Am. J. Orthod. Dentofac. Orthop. 2006, 130, 460–470. [Google Scholar] [CrossRef] [PubMed]
- Iijima, M.; Muguruma, T.; Brantley, W.A.; Mizoguchi, I. Comparisons of nanoindentation, 3-point bending, and tension tests for orthodontic wires. Am. J. Orthod. Dentofac. Orthop. 2011, 140, 65–71. [Google Scholar] [CrossRef] [PubMed]
- Hunt, N.P.; Cunningham, S.J.; Golden, C.G.; Sheriff, M. An investigation into the effects of polishing on surface hardness and corrosion of orthodontic archwires. Angle Orthod. 1999, 69, 433–440. [Google Scholar] [PubMed]
- Alfonso, M.V.; Espinar, E.; Llamas, J.M.; Ruperez, E.; Manero, J.M.; Barrera, J.M.; Solano, E.; Gil, F.J. Friction coefficients and wear rates of different orthodontic archwires in artificial saliva. J. Mater. Sci. Mater. Med. 2013, 24, 1327–1332. [Google Scholar] [CrossRef] [PubMed]
- Shahdad, S.A.; McCabe, J.F.; Bull, S.; Rusby, S.; Wassell, R.W. Hardness measured with traditional Vickers and Martens hardness methods. Dent. Mater. 2007, 23, 1079–1085. [Google Scholar] [CrossRef] [PubMed]





| Material/Code | Fe | Cr | Ni | Mo | Mn | Si | P | S | Other |
|---|---|---|---|---|---|---|---|---|---|
| Acme SS 1/ACSS | Bal | 18.0–20.0 | 8.0–10.5 | 2.0 | 1.0 | 0.045 | 0.03 | C ≤ 0.08 | |
| Acme Ni-Free 1/ACNF | Bal | 21.0 | ≤0.1 | 0.7 | 23.0 | ≤0.75 | ≤0.03 | ≤0.01 | Cu ≤ 0.25 N: 0.97 C ≤ 0.08 |
| Remanium 2/RESS | Bal | 18.0–20.0 | 8.0–10.5 | ≤2.0 | ≤1.0 | ≤0.045 | ≤0.03 | C ≤ 0.08 | |
| Nominium 2/NONF | Bal | 16.0–20.0 | ≤0.2 | 1.8–2.5 | 16.0–20.0 | ≤1.0 | ≤0.05 | ≤0.05 | V ≤ 0.2 N: 0.7–1.0 C ≤ 0.1 |
| Chromium 4/CRSS | Bal | 18.0–20.0 | 6.0–9.0 | ≤0.8 | ≤2.0 | ≤1.5 | ≤0.045 | ≤0.03 | C ≤ 0.12 |
| Menzanium 4/MENF | Bal | 16.0–20.0 | ≤0.2 | 1.8–2.5 | 16.0–20.0 | ≤1.0 | ≤0.005 | ≤0.05 | V ≤ 0.2 N: 0.7–1.0 C ≤ 0.1 |
| LeoWire 3/LENF | Not available | ||||||||
| BioSteel 3/BINF | Bal | 18.0 | 0.2 | 2.0 | 18.0 | N: 1.0 | |||
| Radiation | CuKa |
|---|---|
| Voltage | 40 V |
| Current | 30 mA |
| Scan range (2θ angle) | 35°–100° |
| Scan speed | 0.02°/s |
| Scan step | 0.02° |
| Preset time | 1 s |
| Duration per run | 72 min |
| Material | Fe | Cr | Ni | Mo | Mn | Si | Al | Cu |
|---|---|---|---|---|---|---|---|---|
| ACSS | 70.8 ± 0.2 | 18.9 ± 0.1 | 7.9 ± 0.1 | 0.4 ± 0.1 | 1.3 | 0.3 | 0.3 | 0.3 |
| ACNF | 53.0 ± 0.4 | 22.2 ± 0.3 | BDL | 0.9 ± 0.1 | 23.4 | 0.2 | 0.2 ± 0.1 | BDL |
| RESS | 70.8 ± 0.2 | 18.4 ± 0.8 | 8.1 ± 0.1 | 0.4 ± 0.1 | 1.2 ± 0.1 | 0.6 ± 0.5 | 0.3 | 0.3 ± 0.1 |
| NONF | 53.3 ± 0.2 | 22.0 | BDL | 0.8 | 23.3 ± 0.2 | 0.3 | 0.3 | BDL |
| CRSS | 70.3 ± 0.1 | 18.0 ± 0.1 | 8.0 | 0.5 ± 0.1 | 1.5 ± 0.1 | 1.0 ± 0.1 | 0.3 | 0.4 |
| MENF | 63.1 ± 0.3 | 19.4 ± 0.1 | 0.1 | 2.4 ± 0.1 | 13.6 ± 0.1 | 0.7 | 0.3 | BDL |
| LESS | 71.4 ± 0.3 | 17.5 | 8.4 | 0.7 ± 0.2 | 1.3 | 0.4 | 0.3 | 0.2 |
| BINF | 62.4 ± 0.4 | 20.2 ± 0.3 | 0.2 | 2.8 | 13.2 ± 0.9 | 1.1 ± 0.2 | 0.3 | BDL |
© 2019 by the authors. Licensee MDPI, Basel, Switzerland. This article is an open access article distributed under the terms and conditions of the Creative Commons Attribution (CC BY) license (http://creativecommons.org/licenses/by/4.0/).
Share and Cite
Brüngger, D.; Koutsoukis, T.; S. Al Jabbari, Y.; Hersberger-Zurfluh, M.; Zinelis, S.; Eliades, T. A Comparison of the Compositional, Microstructural, and Mechanical Characteristics of Ni-Free and Conventional Stainless Steel Orthodontic Wires. Materials 2019, 12, 3424. https://doi.org/10.3390/ma12203424
Brüngger D, Koutsoukis T, S. Al Jabbari Y, Hersberger-Zurfluh M, Zinelis S, Eliades T. A Comparison of the Compositional, Microstructural, and Mechanical Characteristics of Ni-Free and Conventional Stainless Steel Orthodontic Wires. Materials. 2019; 12(20):3424. https://doi.org/10.3390/ma12203424
Chicago/Turabian StyleBrüngger, Daniela, Theodoros Koutsoukis, Youssef S. Al Jabbari, Monika Hersberger-Zurfluh, Spiros Zinelis, and Theodore Eliades. 2019. "A Comparison of the Compositional, Microstructural, and Mechanical Characteristics of Ni-Free and Conventional Stainless Steel Orthodontic Wires" Materials 12, no. 20: 3424. https://doi.org/10.3390/ma12203424
APA StyleBrüngger, D., Koutsoukis, T., S. Al Jabbari, Y., Hersberger-Zurfluh, M., Zinelis, S., & Eliades, T. (2019). A Comparison of the Compositional, Microstructural, and Mechanical Characteristics of Ni-Free and Conventional Stainless Steel Orthodontic Wires. Materials, 12(20), 3424. https://doi.org/10.3390/ma12203424

