Sign in to use this feature.

Years

Between: -

Subjects

remove_circle_outline
remove_circle_outline
remove_circle_outline
remove_circle_outline
remove_circle_outline
remove_circle_outline
remove_circle_outline
remove_circle_outline
remove_circle_outline

Journals

remove_circle_outline
remove_circle_outline
remove_circle_outline
remove_circle_outline
remove_circle_outline
remove_circle_outline
remove_circle_outline
remove_circle_outline
remove_circle_outline
remove_circle_outline
remove_circle_outline
remove_circle_outline
remove_circle_outline
remove_circle_outline
remove_circle_outline
remove_circle_outline
remove_circle_outline
remove_circle_outline
remove_circle_outline
remove_circle_outline
remove_circle_outline
remove_circle_outline
remove_circle_outline
remove_circle_outline
remove_circle_outline
remove_circle_outline

Article Types

Countries / Regions

remove_circle_outline
remove_circle_outline
remove_circle_outline
remove_circle_outline
remove_circle_outline
remove_circle_outline
remove_circle_outline
remove_circle_outline

Search Results (4,363)

Search Parameters:
Keywords = EDX

Order results
Result details
Results per page
Select all
Export citation of selected articles as:
22 pages, 13581 KB  
Article
Hot-Dip PVC-Based Polymeric Composite Coating for Advanced Electrical Insulation of Electric Vehicle Battery Systems
by Ekrem Altuncu, Arzu Parten Altuncu, Nilay Tüccar Kılıç, Zeynep Uçanok and Handan Yilmaz
J. Compos. Sci. 2025, 9(11), 629; https://doi.org/10.3390/jcs9110629 (registering DOI) - 12 Nov 2025
Abstract
Polyvinyl chloride (PVC) is a widely used polymer in composite systems due to its versatility and processability, with growing use in advanced engineering applications. This study presents the formulation, processing optimisation, and detailed characterisation of a hot-dip PVC-based plastisol composite coating developed for [...] Read more.
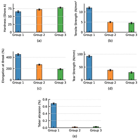
Polyvinyl chloride (PVC) is a widely used polymer in composite systems due to its versatility and processability, with growing use in advanced engineering applications. This study presents the formulation, processing optimisation, and detailed characterisation of a hot-dip PVC-based plastisol composite coating developed for electrical insulation in electric vehicle (EV) battery systems. A series of plastisol formulations with varying filler contents were prepared and applied via dip-coating at withdrawal speeds of 5, 10, and 15 mm s−1. The 5 mm s−1 withdrawal speed resulted in the most uniform coatings with thicknesses of 890–2100 µm. Mechanical testing showed that lower filler content significantly improved performance: Group 1 (lowest filler) exhibited the highest tensile strength (11.9 N mm−2), elongation at break (465%), tear strength (92 N mm−1), and abrasion resistance. SEM and EDX analyses confirmed more homogeneous filler dispersion in Group 1, while FTIR spectra indicated stronger polymer–plasticiser interactions. Contact-angle measurements showed an increase of 38 in low-filler samples, indicating enhanced surface hydrophobicity. Furthermore, Group 1 coatings demonstrated superior dielectric strength (22.1 kV mm−1) and excellent corrosion resistance, maintaining integrity for over 2000 h in salt-spray testing. These findings highlight the importance of filler optimisation in balancing mechanical, electrical, and environmental performance. The proposed PVC-based composite coating offers a durable, cost-effective solution for next-generation EV battery insulation systems and has potential applicability in other high-performance engineering applications. Full article
(This article belongs to the Section Polymer Composites)
Show Figures

Figure 1

24 pages, 4211 KB  
Article
Design of a Novel Polyvinyl Imidazole-Based Adsorbent for Efficient Textile Dye Removal
by Seyda Tugba Gunday, Arkan Almushikes, Fatmah Al Bibiy, Noor Alzayer, Lama Almedaires, Aljawharah Alagl, Ismail Anil and Omer Aga
Nanomaterials 2025, 15(22), 1708; https://doi.org/10.3390/nano15221708 - 12 Nov 2025
Abstract
Textile dye effluents containing toxic organic compounds pose serious environmental challenges. In this study, novel Poly(1-vinyl imidazole)-Bis[2-(methacryloyloxy)ethyl] phosphate (PVIB) polymers were synthesized with crosslinker molar fractions ranging from 5% to 80% and were subsequently investigated as advanced adsorbents for textile dye removal. Procion [...] Read more.
Textile dye effluents containing toxic organic compounds pose serious environmental challenges. In this study, novel Poly(1-vinyl imidazole)-Bis[2-(methacryloyloxy)ethyl] phosphate (PVIB) polymers were synthesized with crosslinker molar fractions ranging from 5% to 80% and were subsequently investigated as advanced adsorbents for textile dye removal. Procion Red (PR), a widely used reactive dye, was selected as the model pollutant. The materials were characterized using FTIR, TGA, DTG, SEM-EDX, WD-XRF, TEM, and BET analyses. Adsorption mechanisms were examined through kinetic, isotherm, and thermodynamic models. Among the synthesized formulations, PVIB20% achieved the best dye removal, reaching an experimental adsorption capacity of 330 mg g−1 within 60 min under acidic to neutral conditions. The kinetic modeling studies identified the pseudo-first-order model as the best fit, indicating a surface-controlled process involving both physical and chemical interactions. Isotherm studies showed that the Langmuir and Redlich–Peterson models provided the best fit, yielding a maximum monolayer adsorption capacity of 765 mg g−1. Thermodynamic analysis revealed that the adsorption was spontaneous, endothermic, and entropy-driven. Overall, PVIB20% demonstrated superior adsorption capacity, rapid kinetics, and strong dye–polymer interactions compared with many conventional and modified adsorbents, which highlights its potential as an efficient and durable material for anionic dye removal from wastewater. Full article
(This article belongs to the Section Environmental Nanoscience and Nanotechnology)
Show Figures

Figure 1

21 pages, 3921 KB  
Article
Symmetry-Based Evaluation of Tool Coating Effects on the Machining Behavior of Ti-6Al-4V Using Micro-EDM
by Shailesh Shirguppikar, Vaibhav Ganachari, Marko Vulović, Andreja Stefanović, Pankaj B. Gavali, Nguyen Huu-Phan and Aleksandar Ašonja
Symmetry 2025, 17(11), 1935; https://doi.org/10.3390/sym17111935 - 11 Nov 2025
Abstract
Titanium alloy Ti-6Al-4V possesses excellent mechanical and corrosion-resistant properties; therefore, it is widely employed in aerospace, automotive, and biomedical fields. However, its poor machinability restricts traditional processing methods. To overcome this limitation, the current work presents a symmetry analysis approach to evaluate the [...] Read more.
Titanium alloy Ti-6Al-4V possesses excellent mechanical and corrosion-resistant properties; therefore, it is widely employed in aerospace, automotive, and biomedical fields. However, its poor machinability restricts traditional processing methods. To overcome this limitation, the current work presents a symmetry analysis approach to evaluate the effects of tool coating on the micro-electric discharge machining (micro-EDM) characteristics of Ti-6Al-4V. Tungsten carbide (WC) microelectrodes were fabricated in three forms: uncoated, copper-coated, and carbon-coated. The chemical vapor deposition (CVD) method was used to coat the carbon layer, and the integrity of the coating was confirmed by Energy-Dispersive X-ray Spectroscopy/Analysis (EDS/EDX). The effect of input variables—namely, voltage, capacitance, and spindle rotational speed—on two responses was studied—the machining depth (Z-axis displacement) and tool wear rate (TWR)—using a Taguchi L9 orthogonal array. Analysis conducted using Minitab statistical software 17 revealed that both voltage and capacitance contributed to the response parameters as optimized variables. The comparative study showed that the copper- and carbon-coated WC microtool could obtain a better Z coordinate and lower tool wear ratio compared with those of the uncoated tool. The findings confirm that applying thin conductive coatings to WC tools can significantly improve the stability, precision, and overall symmetry of the micro-EDM process when machining difficult-to-cut titanium alloys. Full article
(This article belongs to the Special Issue Symmetry/Asymmetry in Smart Manufacturing)
Show Figures

Figure 1

11 pages, 5414 KB  
Article
Characterization of Cobalt-Based Composite Multilayer Laser-Cladded Coatings
by Iasmina-Mădălina Anghel, Alexandru Pascu, Iosif Hulka, Dino Horst Woelk, Ion-Dragoș Uțu and Gabriela Mărginean
Crystals 2025, 15(11), 970; https://doi.org/10.3390/cryst15110970 - 11 Nov 2025
Abstract
Laser cladding is an essential method for strengthening and restoring component surfaces. To increase its efficacy and provide a reliable surface treatment technique, it is necessary to optimize process parameters, enhance material adhesion, and guarantee high-quality, reliable coatings. These measures help to extend [...] Read more.
Laser cladding is an essential method for strengthening and restoring component surfaces. To increase its efficacy and provide a reliable surface treatment technique, it is necessary to optimize process parameters, enhance material adhesion, and guarantee high-quality, reliable coatings. These measures help to extend the lifespan of components. In this study, the surfaces of AISI 904L stainless steel samples were cladded to prepare various Co-based composite coatings with single and multiple layers reinforced with WC–CoCr–Ni powder. The phases within the newly developed layers were investigated using X-ray Diffraction (XRD), while the microstructure was examined using Scanning Electron Microscopy (SEM) and Energy Dispersive X-ray Spectroscopy (EDX). Further tests were performed to assess the hardness, wear resistance and corrosion performance of the deposited coatings. Analyzing and comparing the coatings, it was observed that the coating performance increased with increasing thickness and generally due to a lower amount of Fe present within the microstructure. Full article
(This article belongs to the Special Issue Crystallization of High Performance Metallic Materials (2nd Edition))
Show Figures

Figure 1

22 pages, 5096 KB  
Article
Aged Biogenic Carbonates from Crustacean Waste: Structural and Functional Evaluation of Calibrated Fine Powders and Their Conversion into Phosphate Minerals
by Ilirjana Bajama, Karlo Maškarić, Geza Lazar, Tudor Tamaş, Codruţ Costinaş, Lucian Barbu-Tudoran and Simona Cîntă Pinzaru
Materials 2025, 18(22), 5119; https://doi.org/10.3390/ma18225119 - 11 Nov 2025
Abstract
Seafood-derived carbonate waste, primarily calcium carbonate (CaCO3), has attracted growing interest for sustainable reuse, yet the unique potential of aged biogenic sources remains underexplored. Blue crab (Callinectes sapidus) shells are particularly distinctive: they consist of Mg-calcite with an intrinsic [...] Read more.
Seafood-derived carbonate waste, primarily calcium carbonate (CaCO3), has attracted growing interest for sustainable reuse, yet the unique potential of aged biogenic sources remains underexplored. Blue crab (Callinectes sapidus) shells are particularly distinctive: they consist of Mg-calcite with an intrinsic 3D-porous structure and naturally embedded astaxanthin, a potent antioxidant not found in other calcite- or aragonite-based residues. While organic degradation over time is often assumed to compromise functionality, this study demonstrates that five-years-aged crustacean shell waste retains both its crystallinity and bioactive carotenoids after calibrated ball milling. Across four powder batches produced under distinct milling conditions by varying frequencies and durations, dynamic light scattering confirmed only subtle particle size variation, while Raman spectroscopy, XRD, FT-IR, and SEM-EDX confirmed structural and chemical integrity and highlighted the subtle amorphization induced by slightly different milling parameters, which, in turn, driven to slightly different conversion efficiency into phosphate mineral. Strikingly, all powders underwent rapid transformation into dicalcium phosphate dihydrate (brushite) enriched with carotenoids upon reaction with phosphoric acid. This work reveals, for the first time, that years-aged biogenic Mg-calcite waste not only preserves its naturally embedded carotenoids but also offers a direct route to functional phosphate composites, establishing its untapped value in environmental and biomedical applications. Full article
(This article belongs to the Special Issue Calcium Phosphate Biomaterials with Medical Applications)
Show Figures

Figure 1

24 pages, 25909 KB  
Article
Utilization of Brick Powder in Blended Cement Compositions: Rheological, Mechanical, and Microstructural Properties
by Vitalii Kryzhanovskyi, Jeanette Orlowsky, Jan Skocek and Marina Macias Barrientos
Materials 2025, 18(22), 5120; https://doi.org/10.3390/ma18225120 - 11 Nov 2025
Abstract
The growing demand for eco-efficient construction materials has driven the development of low-clinker cement systems incorporating recycled mineral additives. Finely ground brick powder represents one of such materials with high pozzolanic potential. This article presents an experimental study on the effect of partially [...] Read more.
The growing demand for eco-efficient construction materials has driven the development of low-clinker cement systems incorporating recycled mineral additives. Finely ground brick powder represents one of such materials with high pozzolanic potential. This article presents an experimental study on the effect of partially replacing slag cement CEM III and ordinary rapid-hardening cement CEM I with brick powder waste of different chemical compositions and fineness levels (63, 32, and 15 µm) on the physical and mechanical properties of blended cement mortars. Compressive and flexural strengths were determined at 2, 7, and 28 days, along with the strength activity index (SAI). Additionally, the setting times and standard consistency were investigated, with the latter showing a correlation with the workability of fresh mortars. Comprehensive microstructural analysis (TGA, SEM, EDX) confirmed the pozzolanic activity of the brick powder, which was manifested by the formation of C-S-H and C-A-S-H phases. The highest strength characteristics were achieved with a 15% replacement of cement by brick powder with a fineness of 32 μm and an increased SiO2 content (63.06%). Comparative analysis with fly ash- and silica fume-modified mortars revealed that brick powder exhibits comparable performance, confirming its suitability as an active mineral additive. Full article
Show Figures

Figure 1

11 pages, 1577 KB  
Article
Ce3+/Ce4+-Modified TiO2 Nanoflowers: Boosting Solar Photocatalytic Efficiency
by Beatrice Polido, Letizia Liccardo, Benedetta Cattaneo, Enrique Rodríguez-Castellón, Alberto Vomiero and Elisa Moretti
Catalysts 2025, 15(11), 1069; https://doi.org/10.3390/catal15111069 - 11 Nov 2025
Abstract
Cerium-doped titania nanoflowers are obtained by hydrothermal synthesis, with different amounts of cerium (0.3, 0.5, and 1.0 at%). Both undoped nanoflowers (TNF) and Ce-doped TNF (Cex) are tested as photocatalysts in the degradation of the target pollutant (metronidazole) under simulated solar [...] Read more.
Cerium-doped titania nanoflowers are obtained by hydrothermal synthesis, with different amounts of cerium (0.3, 0.5, and 1.0 at%). Both undoped nanoflowers (TNF) and Ce-doped TNF (Cex) are tested as photocatalysts in the degradation of the target pollutant (metronidazole) under simulated solar light. The samples are rutile polymorphs with high crystallinity and present a nanoflower-like morphology of about 1 µm in diameter and are made up of nanoscale petals (in the range of 100–300 nm). EDX spectroscopy was coupled with SEM and performed on the Ce-doped samples to determine the elemental composition of the catalysts and the Ce distribution in each sample. Optical and electronic spectroscopies reveal that Ce loading narrows the band gap from 3.0 to 2.8 eV, extending light absorption into the visible range of the spectrum and thus enhancing the photocatalytic activity. The best sample, Ce1, achieved 67% degradation of metronidazole after 360 min under solar irradiation at pH 4, compared to bare TNF, which reached 35%. Reusability tests confirm the chemical stability and photocatalytic efficiency of Ce1 over three cycles, and free-radical trapping experiments confirmed ·O2 and ·OH as major active species in metronidazole degradation. This study highlights the synergistic impact of morphology and doping on solar-driven organic pollutant degradation. Full article
(This article belongs to the Section Catalytic Materials)
Show Figures

Figure 1

16 pages, 4432 KB  
Article
Enhancing Biofilm Performance and Ammonia Removal in MBBR Systems Using Nanobubble Aeration: A Pilot-Scale Experimental Study
by Putu Ayustin Suriasni, Ferry Faizal, Camellia Panatarani, Wawan Hermawan, Ujang Subhan, Fitrilawati Fitrilawati and I Made Joni
Water 2025, 17(22), 3215; https://doi.org/10.3390/w17223215 - 11 Nov 2025
Abstract
The recirculating aquaculture system (RAS) provides a sustainable approach to sustaining aquaculture output while reducing environmental pollution and excessive water consumption. Nonetheless, high concentrations of Total Ammonia Nitrogen (TAN) continue to be a significant obstacle in RAS operations. To address this issue, the [...] Read more.
The recirculating aquaculture system (RAS) provides a sustainable approach to sustaining aquaculture output while reducing environmental pollution and excessive water consumption. Nonetheless, high concentrations of Total Ammonia Nitrogen (TAN) continue to be a significant obstacle in RAS operations. To address this issue, the Moving Bed Biofilm Reactor (MBBR), with bubble aeration, is important for promoting ammonia degradation. Bubble size impacts the effectiveness of bubble aeration, influencing both oxygen transfer and microbial activity. This research involved a 35-day experiment to evaluate the effects of bubble size, produced by nanobubble and coarse bubble aerators, on biofilm development and TAN decrease. The maximum biofilm thickness of 172.88 µm was recorded during nanobubble aeration, which also produced a higher quantity of microbial colonies (293 × 107 CFU) in comparison to coarse bubble aeration (89 × 107 CFU), as validated by Total Plate Count analysis. SEM–EDX imaging additionally demonstrated a more compact and consistent biofilm structure in the presence of nanobubbles. These results align with an increased TAN degradation efficiency, achieving 83.33% with nanobubble aeration, while coarse bubble aeration reached only 50%. The findings indicate that nanobubble aeration enhances biofilm functionality by improving bacterial dispersion and oxygen availability within the biofilm matrix, thereby promoting a more uniform distribution of microorganisms and nutrients. This mechanism represents a promising approach for improving water quality and overall treatment efficiency in recirculating aquaculture systems (RAS). Full article
(This article belongs to the Section Wastewater Treatment and Reuse)
Show Figures

Figure 1

18 pages, 6518 KB  
Article
Influence of Zeolite-A Doping and Solvent Mixing Ratio for Electrospun PVDF-Based Membranes
by Ionut Procop, Viorica Mușat, Elena Maria Anghel, Nicolae Țigău, Felicia Stan, Irina Atkinson, Daniela Cristina Culiță, Alina Cantaragiu Ceoromila, Emanuela Elena Herbei, Radu-Robert Piticescu, Gabriela Ioniță and Alexandru Petrică
Molecules 2025, 30(22), 4353; https://doi.org/10.3390/molecules30224353 - 10 Nov 2025
Abstract
The current study evaluates the characteristics of electrospun PVDF-based membranes doped with zeolite-A in terms of their structural, morphological, thermal, mechanical, hydrophobic, optoelectrical, and adsorption properties. The effects of the DMF–acetone ratio on solvent and zeolite-doping concentration have been evaluated using SEM-EDX, BET, [...] Read more.
The current study evaluates the characteristics of electrospun PVDF-based membranes doped with zeolite-A in terms of their structural, morphological, thermal, mechanical, hydrophobic, optoelectrical, and adsorption properties. The effects of the DMF–acetone ratio on solvent and zeolite-doping concentration have been evaluated using SEM-EDX, BET, Raman, XRD, DSC-TGA, UV-VIS spectroscopy, contact angle measurements, and mechanical testing. The membranes prepared with solvents low in acetone and increased zeolite content exhibited a higher crystallinity degree exceeding 50%. Zeolite-enriched membranes have a slightly higher content in the α crystalline phase of PVDF when compared to zeolite-free membranes. Electrospinning processing decreased the sample’s subcooling, improving its thermal stability. Zeolite-doping reduced the band gap energy to 1.3 eV from a maximum of 2.7 eV in PVDF membranes. Membranes doped with 3 or 4 wt.% zeolite exhibit improved load-elongation values at break, reaching up to 4.2 N and 47 mm, respectively, and increased flexibility due to their porous structures and the ratio of crystalline to amorphous phases. The membranes adsorbed an MB equilibrium quantity up to 18.5 mg/g and obeyed the pseudo-second-order (PSO) kinetic model within the first 24 h. Thus, the synergistic effect of zeolite content and solvent ratio can effectively adjust the sample’s structure, texture, and properties. Full article
Show Figures

Figure 1

24 pages, 6038 KB  
Article
Novel Alginate-Based Physical Hydrogels: Promising Cleaning Tools for Sensitive Artifacts
by Matteo Ferretti, Maduka L. Weththimuni, Donatella Sacchi, Chiara Milanese, Alessandro Girella, Barbara Vigani, Gaia Zucca, Alice Pedalà, Nicola Razza and Maurizio Licchelli
Polymers 2025, 17(22), 2976; https://doi.org/10.3390/polym17222976 - 8 Nov 2025
Viewed by 268
Abstract
Natural polysaccharides are used for very different applications and are particularly exploited for preparing hydrogel materials. For instance, gels based on different carbohydrate polymers have been applied to remove unwanted materials from the surface of cultural heritages items. This study was focused on [...] Read more.
Natural polysaccharides are used for very different applications and are particularly exploited for preparing hydrogel materials. For instance, gels based on different carbohydrate polymers have been applied to remove unwanted materials from the surface of cultural heritages items. This study was focused on the preparation of novel physical hydrogels suitable for the cleaning of sensitive materials like wood and paper, i.e., to remove the soil from their surface. For this purpose, alginate biopolymer was used and ionically crosslinked with six different amines, in the presence of N-hydroxysuccinimide as a co-gelling agent. All the synthetized gel materials were characterized by a multianalytical approach, using different techniques such as FT-IR, thermal analysis, SEM-EDS, mechanical tests, and evaluation of moisture properties. All the results showed that the introduction of the investigated amines improved the original properties of alginate and provided good cleaning properties when applied to sensitive surfaces. Full article
(This article belongs to the Special Issue Biobased and Biodegradable Polymer Blends and Composites II)
Show Figures

Figure 1

26 pages, 8226 KB  
Article
Performance Evaluation of Fiber-Reinforced Rubberized Paving-Blocks Containing Ceramic and Glass Wastes
by Ibrahim Tajuldeen, Ahmed M. Tahwia and Osama Youssf
Infrastructures 2025, 10(11), 298; https://doi.org/10.3390/infrastructures10110298 - 7 Nov 2025
Viewed by 132
Abstract
The increasing demand for sustainable construction materials has underscored the limitations of conventional interlocking paving blocks (IPBs), particularly regarding durability, mechanical performance, and environmental impact. To overcome these shortcomings, this study proposes an integrated strategy of incorporating various waste materials in the production [...] Read more.
The increasing demand for sustainable construction materials has underscored the limitations of conventional interlocking paving blocks (IPBs), particularly regarding durability, mechanical performance, and environmental impact. To overcome these shortcomings, this study proposes an integrated strategy of incorporating various waste materials in the production of IPBs namely: Untreated and surface-treated crumb rubber (CR) as a partial sand replacement at levels of 10%, and 20%; ceramic powder (CP) and glass powder (GP) as cement partial replacement at levels of 10%, 20%, and 30%, recycled ceramic as a full replacement of dolomite; and discrete fibers (basalt, polypropylene, and glass). A series of experimental tests was conducted to assess the slump, compressive and flexural strengths, water absorption, abrasion resistance, and microstructure of the proposed IPBs. The results of this study revealed that while untreated CR reduced workability and strength, it enhanced flexural resistance. Surface treatments of CR using CP and GP improved bonding and reduced porosity, with 20% CP yielding the best performances of 17.3% and 20% increases in compressive and flexural strength, respectively. Among fibers, 0.6% basalt fiber offered optimal strength and abrasion resistance (0.20 mm), while 0.6% polypropylene fiber achieved the lowest water absorption (3.70%) and a minimum abrasion depth of 0.28 mm at TR20CP mix. Microstructure analyses confirmed denser microstructure and stronger interfacial bonding in treated and fiber-reinforced mixes. This work offers a scalable, waste-based enhancement strategy for producing more durable and sustainable production of IPBs. Full article
Show Figures

Figure 1

26 pages, 8133 KB  
Article
In Vivo Degradation Behaviour and Osteoregenerative Capacity of 3D-Printed Magnesium Phosphate and Calcium Magnesium Phosphate Cement Scaffolds
by Sophia Hiepe, Elke Vorndran, Franziska Feichtner, Anja-Christina Waselau and Andrea Meyer-Lindenberg
Materials 2025, 18(22), 5067; https://doi.org/10.3390/ma18225067 - 7 Nov 2025
Viewed by 233
Abstract
Developing bone substitutes that are mechanically strong, highly biocompatible and capable of controlled degradation is crucial for successful bone regeneration. Magnesium phosphate cements (MPCs) and calcium magnesium phosphate cements (CMPCs) offer higher strength and solubility than established calcium phosphate cements (CPCs). This study [...] Read more.
Developing bone substitutes that are mechanically strong, highly biocompatible and capable of controlled degradation is crucial for successful bone regeneration. Magnesium phosphate cements (MPCs) and calcium magnesium phosphate cements (CMPCs) offer higher strength and solubility than established calcium phosphate cements (CPCs). This study aimed to evaluate the in vivo degradation, osteoregeneration and biocompatibility of 3D powder-printed Mg3d (Mg3(PO4)2) and Mg275d (Ca0.25Mg2.75(PO4)2) scaffolds with alkaline post-treatment, using structurally identical TCP (Ca3(PO4)2) scaffolds as the control. The scaffolds were implanted into the lateral femoral condyle of adult female Zika rabbits and analysed up to 6, 12 and 24 weeks using radiography, microCT, histology, EDX and SEM. All materials demonstrated good biocompatibility. Mg3d and Mg275d scaffolds degraded significantly faster than the TCP scaffolds, with nearly complete degradation after 12 weeks. A cell-rich reconstruction zone formed during degradation, which was subsequently replaced by new bone. The degradation rate of the scaffolds corresponded closely to bone regeneration. Notably, the Mg3d and Mg275d scaffolds supported the faster formation of mature lamellar bone compared to the TCP scaffolds. These results indicate that magnesium phosphate (MgP)-based scaffolds represent a promising alternative to conventional calcium phosphate (CP)-based bone substitutes, given their rapid and almost complete degradation and their effective support of bone regeneration. Full article
(This article belongs to the Section Biomaterials)
Show Figures

Graphical abstract

17 pages, 3578 KB  
Article
Citrus-Derived Carbon Quantum Dots: Synthesis, Characterization, and Safety Evaluation in Zebrafish (Danio rerio) for Potential Biomedical and Nutritional Applications
by Vijayan Malavika, Muthuswami Ruby Rajan, Raman Krishnamoorthi, Kozhikamabath Chandrasekharan Adithya and Kwang-sun Kim
Micro 2025, 5(4), 50; https://doi.org/10.3390/micro5040050 - 7 Nov 2025
Viewed by 143
Abstract
Carbon quantum dots (CQDs) are photoluminescent nanomaterials (<10 nm) with excellent hydrophilicity, biocompatibility, and low cytotoxicity, making them attractive for biological applications. However, their use in aquaculture nutrition has remained largely unexplored. This study investigated the effects of dietary CQDs on zebrafish ( [...] Read more.
Carbon quantum dots (CQDs) are photoluminescent nanomaterials (<10 nm) with excellent hydrophilicity, biocompatibility, and low cytotoxicity, making them attractive for biological applications. However, their use in aquaculture nutrition has remained largely unexplored. This study investigated the effects of dietary CQDs on zebrafish (Danio rerio), a model organism with approximately 70% genetic homology with humans. CQDs were synthesized hydrothermally from unripe Citrus limon and characterized by UV–visible (UV-Vis) spectroscopy, UV–vis transillumination, scanning electron microscopy (SEM), transmission electron microscopy (TEM), energy-dispersive X-ray analysis (EDX), Fourier-transform infrared spectroscopy (FT-IR), and photoluminescence (PL) spectroscopy. Zebrafish were fed diets containing varying CQD concentrations, and growth performance, condition factor (K), hematological parameters, enzymatic activity, and tissue morphology were assessed. Feeds supplemented with 2 mL CQDs produced significant improvements in growth and biochemical indicators without adverse effects. Hematological and enzymatic profiles remained within normal ranges, and histological examination revealed no morphological abnormalities, indicating the absence of toxicity. These findings suggest that citrus-derived CQDs can enhance zebrafish growth and maintain physiological health, thereby supporting their potential as safe functional feed additives in aquaculture. This approach may open new opportunities for the application of CQDs in sustainable fish farming and the broader food industry. Full article
Show Figures

Figure 1

33 pages, 9908 KB  
Article
Integrated Performance and Capability Analysis of Anticorrosive Cathodic Electrodeposition Coatings: Effect of Polymerization Variables
by Damián Peti, Gabriel Stolárik, Radoslav Vandžura, Miroslav Gombár and Michal Hatala
Materials 2025, 18(21), 5051; https://doi.org/10.3390/ma18215051 - 6 Nov 2025
Viewed by 247
Abstract
The presented research delivers a comprehensive evaluation of anticorrosive cathodic electrodeposition (CED) coatings through an integrated performance and process capability analysis—an approach that remains extremely limited in the literature, particularly in the context of statistically designed experiments (DoEs) applied to CED systems. This [...] Read more.
The presented research delivers a comprehensive evaluation of anticorrosive cathodic electrodeposition (CED) coatings through an integrated performance and process capability analysis—an approach that remains extremely limited in the literature, particularly in the context of statistically designed experiments (DoEs) applied to CED systems. This study therefore addresses a notable gap by focusing on the role of polymerization variables in determining coating quality through DoE to quantify the influence on coating thickness uniformity, adhesion integrity and impact resistance, while all other deposition parameters were rigorously controlled. Prior to coating application, all specimens were prepared and conditioned in accordance with ISO 1513:2010. Coating thickness was determined in compliance with ISO 2808:2019, adhesion was characterized by cross-cut methodology according to ISO 2409:2020 and dynamic mechanical resistance was evaluated using a falling-weight apparatus in accordance with ISO 6272-1:2011. The obtained datasets were subjected to statistical capability analysis within the PalstatCAQ environment, providing Cp, Cpk, Pp and Ppk indices in line with ISO 22514-7:2021 and IATF 16949:2016 requirements. Results evidenced non-linear dependencies of thickness formation on curing parameters, with potential capability indices (Cp > 1.8; Pp ≈ 1.4) indicating favorable process dispersion, while performance indices (Cpk < 0.5; Ppk < 0.4) revealed systematic mean shifts and deviations from normality confirmed by Shapiro–Wilk and Anderson–Darling tests. Adhesion testing demonstrated a direct correlation between curing conditions and interfacial bonding, reaching ISO Grade 0 classification. Complementary impact resistance assessments corroborated these findings, showing that insufficient curing induced extensive cracking and delamination. Furthermore, SEM–EDX analysis performed on Sample n.3 of X2 variable confirmed the chemical integrity and multilayered structure of the CED coating. Full article
Show Figures

Graphical abstract

23 pages, 6717 KB  
Article
Crystalline Nanoparticles and Their Impact on Electromagnetic Radiation Absorption in Advanced Clay Building Materials
by Jelena Brdarić Kosanović, Berislav Marković, Ivana Miličević, Anamarija Stanković and Dalibor Tatar
Crystals 2025, 15(11), 959; https://doi.org/10.3390/cryst15110959 - 6 Nov 2025
Viewed by 230
Abstract
Given the increasing human exposure to electromagnetic radiation of various frequen-cies, mostly in the microwave range, awareness of potential health problems caused by this radiation has begun to grow. New building materials are being developed and tested to prevent or limit the penetration [...] Read more.
Given the increasing human exposure to electromagnetic radiation of various frequen-cies, mostly in the microwave range, awareness of potential health problems caused by this radiation has begun to grow. New building materials are being developed and tested to prevent or limit the penetration of microwave radiation, especially those frequencies that are used in mobile telephony. In contrast with the majority of the available literature on the investigation of concrete (cement) materials, in this paper, clay composite materials with the addition of nanoparticles of antimony(III)–tin(IV) oxide, zinc ferrite, iron(III) oxide, and two crystal modifications of titanium dioxide (rutile and anatase) were prepared in order to examine their effect on the absorption of electro-magnetic radiation. Nanomaterials are characterized by different physical and chemical methods. Specific surface area (B.E.T.), thermal properties (TGA/DSC), phase composition (PXRD), morphology (SEM), and chemical and mineralogical composition (EDX, and ED–XRF,) were determined. Thermal conductivity of clay composites was tested, and these materials showed a positive effect on the thermal conductivity (λ) of the composite: a reduction of 10–33%. The reflection and transmission coefficients of microwave radiation in the frequency range used in mobile telephony (1.5–4.0 GHz) were determined. From these data, the absolute value of radiation absorption in the materials was calculated. The results showed that the addition of the tested nanomaterials in a mass fraction of 3 to 5 wt.% significantly increases the absorption (reduces the penetration) of microwave radiation. Two nanomaterials, Sb2O3·SnO2 and TiO2 (rutile), have proven to be particularly effective: the reduction in transmission is 30–50%. The results of the test were correlated with the crystal structures of the examined nanomaterials. The inclusion of titanium dioxide and antimony-doped tin oxide into the clay led to a significant enhancement in microwave electromagnetic radiation absorption, which can be attributed to their interaction with the dielectric and conductive phases present in clay-based building materials. Full article
(This article belongs to the Section Inorganic Crystalline Materials)
Show Figures

Figure 1

Back to TopTop