Next Article in Journal
Modelling of Insulation Thermal Ageing: Historical Evolution from Fundamental Chemistry Towards Becoming an Electrical Machine Design Tool
Previous Article in Journal
Carbon Dioxide Bio-Sequestration and Biomass Production for Energy Purposes During C. vulgaris Cultivation Powered by Real Exhaust Gases from a Municipal Thermal Power Plant
 
 
Font Type:
Arial Georgia Verdana
Font Size:
Aa Aa Aa
Line Spacing:
Column Width:
Background:
Review

Bandgap Engineering of CIGS: Active Control of Composition Gradient

1
School of Materials Science and Engineering, Tsinghua University, Beijing 100084, China
2
Key Laboratory for Advanced Materials Processing Technology of Ministry of Education, Beijing 100084, China
*
Authors to whom correspondence should be addressed.
Energies 2025, 18(23), 6089; https://doi.org/10.3390/en18236089
Submission received: 17 October 2025 / Revised: 16 November 2025 / Accepted: 19 November 2025 / Published: 21 November 2025
(This article belongs to the Section A2: Solar Energy and Photovoltaic Systems)

Abstract

The tunable bandgap of CIGSe has established bandgap engineering as a pivotal research direction for advancing the efficiency frontiers of solar cells. In particular, the proposal of the V-shaped bandgap gradient has motivated extensive efforts to achieve precise control over elemental composition and spatial distribution within the absorber layer. Against this backdrop, this review systematically classifies active control strategies—such as surface sulfurization, Ga grading, and Ag alloying—according to their doping mechanisms and the resulting bandgap profiles. It further evaluates emerging profiles, including the “hockey-stick” distribution, against the conventional V-shaped benchmark, and explores future pathways for bandgap engineering in next-generation, high-efficiency photovoltaic devices. Further improvements in photovoltaic efficiency can effectively boost power generation and lower solar power costs, providing a practical solution to future energy and environmental challenges.

1. Introduction

Against the backdrop of growing global energy demand, the energy supply chain faces increasing strain from resource depletion and environmental pollution caused by heavy reliance on fossil fuels [1]. As a viable alternative, photovoltaic power generation stands out among clean energy sources for its cost-effectiveness, ease of installation, and minimal environmental impact. Over the years, continuous breakthroughs have been achieved in the power conversion efficiency of various photovoltaic technologies, including crystalline silicon [2,3], copper indium gallium selenide (CIGSe) [4,5], and perovskite solar cells [6,7,8], etc. Among them, CIGSe—a p-type direct-bandgap semiconductor—has emerged as a highly promising absorber material, particularly for lightweight and flexible applications. Its advantages are manifold: (1) a high absorption coefficient that enables efficient light capture with only micrometer-thick layers; (2) a fully inorganic composition that ensures excellent long-term stability and device lifetime; and (3) a tunable bandgap that can be optimized via elemental ratio engineering to better match the solar spectrum [9,10,11].
The two most recent world-record efficiencies for CIGSe solar cells were achieved via entirely distinct fabrication routes: Solar Frontier employed a sequential sulfurization process after selenization of metallic precursors, whereas Uppsala University utilized a three-stage co-evaporation method with Ag alloying. These approaches also differ in material composition, resulting in distinct bandgap gradient profiles. A comparative analysis of these differences is crucial for identifying new pathways to higher efficiency. The key distinctions include: (1) Alkali treatment: RbF (Uppsala University) vs. Cs (Solar Frontier); (2) Ag content: AAC ~0.19 (Uppsala University) vs. <0.04 (Solar Frontier); and (3) Bandgap profile: a ‘hockey-stick’-like GGI (Uppsala University) vs. a V-shaped gradient (Solar Frontier). Remarkably, despite these profound differences, both devices achieved similarly high Voc and FF. This compelling parallel necessitates a re-examination of the impact of bandgap engineering on solar cell efficiency.
Bandgap engineering in CIGSe is broadly categorized into forward gradient, reverse gradient, and double gradient (V-shaped) bandgap [12,13,14]. Forward gradient bandgap typically refers to a bandgap configuration that increases linearly from the heterojunction to the Mo back contact, while reverse gradient bandgap is the opposite. Generally, due to Ga accumulation near the back contact in CIGSe, forward gradient bandgap readily forms and helps reduce reverse conduction of minority carrier, thereby suppressing carrier recombination in the quasi-neutral region. However, the surface exhibits a low bandgap due to its lower Ga content. Without introducing surface dopants such as S to enhance the bandgap, recombination intensifies within the space charge region (SCR). Consequently, the Voc of the corresponding device is generally low, comparable to CuInSe2 cells at around 0.4 V [15,16]. For a single reverse gradient bandgap, it can increase the quasi-Fermi level splitting at the heterojunction. but often results in an excessively high surface bandgap. This hinders carrier generation and transport at the heterojunction and severely degrades the Jsc of the devices. The double-gradient bandgap combines the advantages of both structures. It features a V-shaped structure with an increasing bandgap from the center toward both ends, referred to as the front-gradient and back-gradient, respectively. Therefore, it is widely employed to enhance photovoltaic efficiency. Two benefits have been demonstrated: (1) the wide bandgap near the two interfaces reduces carrier recombination and enhances the splitting of the quasi-Fermi level, thereby increasing Voc; (2) the narrow bandgap in the center does not affect the absorption of low-energy photons. Meanwhile, the gradually variation in bandgap distribution does not impair carrier collection, thereby favoring increases in Jsc and FF.
Theoretically, the upper limit of open-circuit voltage (Voc) increases with absorber bandgap due to enhanced quasi-Fermi level splitting [17,18]. However, in practice, this trend is sublinear due to non-radiative recombination at grain boundaries and trap states [19,20]. The Voc deficit (Voc,def) is defined as the difference between the theoretical maximum open-circuit voltage and the actual measured open-circuit voltage, expressed by the formula Eg/q − Voc. Voc,def typically reflects the consumption of photogenerated carriers due to non-radiative recombination processes within the device. And it typically worsens with a larger bandgap. This is especially true for wide-bandgap CIGSe, where Voc saturates or even declines. Thus, effective bandgap engineering for Voc enhancement must navigate the trade-off between a higher bandgap and the resultant recombination losses. Critically, while bandgap and recombination are not explicitly coupled, they are co-influenced by the same doping strategies.
As a I-III-VI semiconductor, the complex elemental composition of CIGSe facilitates diverse doping strategies. From the perspective of energy band structure, the valence band maximum (VBM) in CISe is primarily formed by the antibonding states of Cu 3d and Se 4p orbitals, while the conduction band minimum (CBM) consists of the antibonding states of In 5s and Se 4p orbitals [21,22]. This electronic structure dictates that substitutional doping at the Cu site predominantly affects the VBM, whereas doping at the In site modifies the CBM. Doping at the Se site, in contrast, can influence both band edges. These diverse doping mechanisms enable extensive tuning of the elemental distribution in CIGSe, thereby allowing for broad bandgap tailoring. However, this compositional complexity also introduces intricate elemental interactions during synthesis and promotes the formation of associated defects, which are major sources of non-radiative recombination. Therefore, a comprehensive analysis of how different dopants affect both the bandgap and carrier recombination is essential for identifying key technologies to further enhance the photovoltaic conversion efficiency of CIGSe devices.
This review systematically examines various elemental doping strategies for bandgap engineering in CIGSe solar cells, such as surface sulfurization, Ga gradient control, and Ag alloying. Particularly, we put a focus on their distinct impacts on Voc and non-radiative recombination pathways. Furthermore, we compare the influence of conventional V-shaped bandgap profiles with the emerging ‘hockey-stick’-like gradient. Building on this analysis, we conclude by proposing strategic directions for further performance enhancement in CIGSe photovoltaics.

2. Surface Sulfurization

The intentional substitution of Se with S is an established strategy for increasing the surface bandgap of CIGSe absorbers. This alloying effect electronically manifests as a downshift of the VBM and an upshift of the CBM, resulting in a widened bandgap [23,24]. This modification creates a hole transport barrier at the buffer/absorber interface, which repels holes back into the absorber bulk and effectively suppresses interface recombination. Furthermore, sulfur’s propensity to diffuse rapidly along grain boundaries leads to its segregation at these sites and at defects. This creates a beneficial band bending at grain boundaries that suppresses majority carrier (hole) accumulation while enhancing minority carrier (electron) collection efficiency [25]. An additional benefit is the passivation of deep-level trap states by S, which further suppresses non-radiative recombination channels [26]. Nevertheless, the sulfurization process requires precise control. Inappropriate dosing can reduce the fill factor (FF), for instance, through the formation of an overly thick, pure sulfide surface phase. This detrimental phase can introduce an unfavorable spike-like conduction band alignment, acting as a barrier for photogenerated current collection [27]. Alternatively, S may etch away In, promoting the formation of a conductive Cu-(Se,S) ternary phase that creates shunting paths and diminishes the device’s parallel resistance.
The extent of S incorporation is conventionally represented by the ratio y = S/(S + Se). An empirical formula that describes the correlation between the chemical composition of the Cu(In1-xGax)(Se1-ySy) phase and its corresponding bandgap is given below [28]:
Eg = 1.00 + 0.13x2 + 0.08x2y + 0.13xy + 0.55x+ 0.54y
The bandgap profile across the absorber is governed by the depth-dependent distributions of the Ga/(In + Ga) ratio (x) and the S/(S + Se) ratio (y). Therefore, effective bandgap engineering necessitates precise control over these elemental gradients along the depth direction. Surface sulfurization, a technique more prevalent in sequential fabrication processes, is a key method for this purpose. Leading research institutions, including Solar Frontier, have extensively developed sulfurization techniques, successfully demonstrating them in high-efficiency solar cells. These sulfurization strategies can be categorized into two primary routes based on process timing: (1) post-sulfurization treatment [29,30,31], and (2) sulfurization after selenization (SAS) [32,33,34]. The choice of approach directly dictates the resulting S distribution, thereby enabling the formation of distinct bandgap profiles.
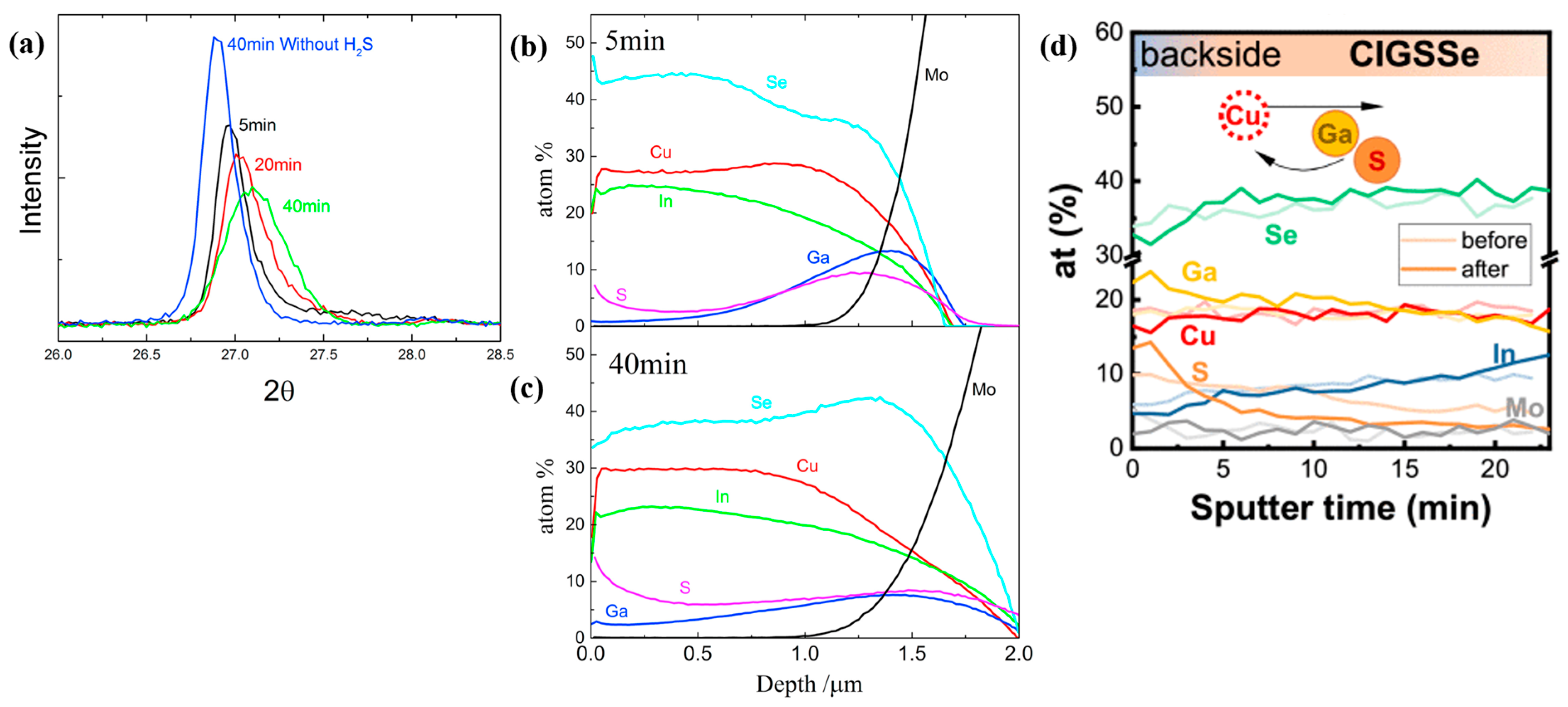
Post-sulfurization treatment involves exposing the fully selenized CIGSe absorber to a S-containing atmosphere. Once the absorber approaches stoichiometry after complete selenization, the diffusion rate of S is generally suppressed. Under fixed sulfurization conditions, the extent of S incorporation exhibits a clear dependence on the overall Cu/(Ga + In) (CGI) ratio, as illustrated in Figure 1a [29]. In Cu-poor absorbers, S diffusion is facilitated by a higher density of copper vacancies (VCu) and grain boundaries. A lower CGI ratio is often associated with inferior crystallinity, which manifests as a higher density of VCu and a greater abundance of grain boundaries. In turn, these microstructural features facilitate S diffusion, resulting in its deeper penetration and a higher overall S content within the absorber [35]. This phase acts as a sulfur reservoir, promoting subsequent S incorporation into the chalcopyrite lattice. However, analysis of Voc trends reveals that deeper sulfurization does not linearly translate into greater Voc gains, as shown in Figure 1b. When the surface S/(S + Se) ratio is comparable, a shallower sulfurization depth within the absorber is found to be more beneficial for achieving higher Voc. This indicates that confining sulfurization to a narrow region near the surface is a more effective strategy for Voc enhancement. The optimal bandgap grading (CGI = 0.94) markedly enhanced Voc from 0.42 V in the control group to 0.58 V, while the FF increased from 63% to 71%. Since this graded structure did not change the overall minimum bandgap of the absorber layer, Jsc remained relatively stable without significant decline. However, the elevated front-gradient bandgap increased the activation energy for carrier recombination, thereby diminishing non-radiative recombination losses. This resulted in a greater quasi-Fermi level splitting, which contributed to substantial improvements in both Voc and FF.
The predominant method for post-sulfurization treatment employs H2S and S vapor at a high temperature (>500 °C). Due to the elevated temperature and abundant sulfur source, S atoms exhibit high reactivity to substitute Se atoms on the surface of CIGSe. However, this high reactivity readily leads to excessive sulfurization. Consequently, researchers have investigated alternative approaches to surface sulfurization using S-based solutions at a lower temperature. One such method involves immersing CIGSSe films in a solution of Group III chlorides and thioacetamide (TA) at 80 °C. This forms a thin CuInS2 wide-bandgap layer on the surface, significantly enhancing device efficiency [36,37]. Another approach utilizes ammonium sulfide ((NH4)2S) vapor as the sulfur source, relying on the spontaneous decomposition of small amounts of H2S at room temperature for sulfurization [38,39]. These low-temperature sulfurization processes induce a reduction in VSe density, which is a deep-level trap defect on the surface. However, excessively low temperatures result in reduced sulfur activity, making it difficult to achieve sufficient sulfurization and limiting the passivation effect. Yuan et al. [25] developed a sulfurization process utilizing thioacetamide (TA) at 300 °C. At this temperature, TA undergoes thermal decomposition:
CH3CSNH2(s) → CH3CN(g) + H2S(g)
The released H2S exhibits higher reactivity at 300 °C, promoting the inward diffusion of S to passivate VSe defects. By optimizing the concentration of TA solution, the S/(S + Se) ratio on the CIGSSe surface increased from 3.9% to 9.4%, achieving locally optimal passivation. Regarding device performance, Voc increased from 0.60 V to 0.65 V, and FF improved from 65.9% to 72.2%. Jsc slightly decreased from 33.16 to 32.53 mA/cm2 due to the increased minimum bandgap. Notably, although the aforementioned methods employed different sulfur sources, they essentially relied on H2S decomposition to supply S atoms for surface sulfurization. The variation in sulfurization temperatures resulted in differences in the reactivity of S atoms.
In addition to tailoring the bandgap, sulfurization plays a crucial role in surface passivation. The passivation effects manifest in two aspects: (1) it passivates deep-level trap defects (VSe); (2) it modifies the electronic properties at grain boundaries. Multiple studies indicate that regardless of the sulfur source employed, this post-treatment allows S atoms to effectively occupy VSe. A significant reduction in the signal intensity of VSe defects was observed after sulfurization treatment in low-temperature PL emission spectra [40]. This directly indicates a decrease of VSe density on the surface. However, large grains had already grown sufficiently on the surface during the selenization stage, resulting in a reduction in grain boundaries density. The diffusion of S atoms is confined to the surface, limiting the occupation of VSe. Furthermore, studies indicate that sulfurization also modifies electronic properties at grain boundaries [25]. S atoms tend to aggregate at grain boundaries, thus the VBM bend downward relative to the grain interior. This downward band bending attracts electrons while repelling holes at grain boundaries, thereby enhancing carrier collection and suppressing hole–electron recombination.
Sulfurization after selenization (SAS) denotes a process where sulfurization is conducted immediately following the selenization step. This method, employed by Solar Frontier to achieve multiple world-record efficiencies, proceeds through reaction pathways established by time-freeze experiments [32] (see Figure 2a). A thin CuIn(S,Se)2 formed at the absorber surface is the key feature of this route. And the challenge is how to confine the sulfurization to a shallow surface region and create the intended double-gradient bandgap profile. Because sulfurization follows selenization without interruption, the surface remains highly reactive. This makes the fill factor (FF) particularly sensitive to the intensity of the surface reaction. Overly aggressive sulfurization can generate highly conductive secondary phases that severely degrade device performance. To improve control over the absorber formation, SF subsequently integrated a rapid thermal process (RTP) into the standard SAS recipe [33]. This modification significantly altered the crystal growth pathway and intermediate phases, resulting in a reduced Voc,def (Figure 2b). From a band structure perspective, the RTP-modified process flattens the overall bandgap gradient across the absorber. Specifically, the minimum bandgap (Eg) shifts closer to the heterojunction interface while the difference between the minimum Eg and the surface bandgap is narrowed [41] (Figure 2c), thereby further mitigating the performance losses associated with excessive sulfurization. The narrower surface bandgap gradient increased Voc from 0.72 to 0.75 V while simultaneously raising FF from 78.2% to 79.7%. This improvement stems from the enhanced suppression of non-radiative recombination due to the further increase in surface bandgap. However, the minimum bandgap expansion led to a reduction in Jsc from 39.4 to 38.5 mA/cm2.
For SAS processes, S diffusion is strongly influenced by the overall stoichiometry and Ga content of the absorber after selenization. The S diffusion coefficient in Cu-rich absorber is approximately two orders of magnitude lower than that in the Cu-poor absorber, indicating that Cu-poor films facilitate more extensive S diffusion. During sequential processing, Ga accumulation near the Mo back contact promotes the formation of fine-grained regions with low CGI, where S also tends to accumulate [42,43,44]. Huang et al. [45] investigated the elemental distributions of S and Ga under different sulfurization durations. They observed that the initially formed CIGSSe (CuIn1-xGaxSySe1-y) phase showed Ga- and S-depleted regions near the absorber surface. With prolonged high-temperature treatment, both Ga and S diffused toward the front surface, leading to a more uniform redistribution. The similar distribution profiles of Ga and S suggest the possible formation of a Ga–S binary compound in the back region, which may further promote co-diffusion driven by the S atmosphere at the surface (as shown in Figure 3b,c). In contrast, Başol et al. [35] argued that the co-accumulation of Ga and S in the back region may not originate from a preferential chemical reaction between them, since the S/Ga molar ratio is not constant. Instead, they proposed that Ga accumulation leads to a fine-grained, low-CGI layer, whose high grain boundary density favors S accumulation. The resulting high local S concentration can affect band alignment between the CIGSSe absorber and the Mo back contact: S doping lowers the VBM, creating a barrier that hinders hole transport. When carrier transport is blocked by this barrier, a characteristic inversion behavior appears in the J–V curve. Siew et al. [46] demonstrated that heat soaking treatment can modify the S distribution near the Mo interface, reducing the width of S accumulation and thus improving back-contact properties (as shown in Figure 3d). But the heat soaking treatment has a negligible effect on the doping concentration at the front interface of the absorber layer, thus exerting little influence on the device’s Voc and Jsc. However, the improvement of the bandgap gradient at the Mo back contact effectively enhances the FF of the cells from 61.2% to 65.9%, thereby significantly boosting the overall cell efficiency.
It can be seen that the front interface bandgap gradient significantly influences Voc and Jsc. Combined with the analysis of surface sulfurization treatment discussed earlier, this effect manifests in two aspects: (1) The increase in bandgap near the heterojunction interface effectively reduces non-radiative recombination in the SCR, thereby enhancing Voc performance. (2) The value and distribution width of the minimum bandgap within the bandgap gradient determine the overall spectral response range of the absorber layer, consequently affecting variations in Jsc. The FF is influenced by both the front and back bandgap gradients. For sulfurization treatment, the S substitution doping simultaneously shifts the CBM upshift and the VBM downshift, which will change the band alignment at the interfaces. Band alignment is typically evaluated by the VBO and CBO value of materials on both sides of the interface. The VBO is the difference in their VBM level (VBMabsorber − VBMbuffer) while CBO is the difference in their CBM level (CBMabsorber − CBMbuffer). The ideal CBO value should fall within the range of 0 to 0.4 eV while VBO need to be >0 [47]. For CBO < 0, carriers are more prone to non-radiative recombination. For CBO > 0.4 eV or VBO < 0, the collection of photogenerated carriers is hindered.
Therefore, the S/(S + Se) ratio at both ends should not be excessively high. If the ratio near the back contact is too high, the large valence band offset (VBO) between CIGSSe/Mo will significantly impair the collection efficiency of hole carriers at the Mo back contact. Conversely, excessive S concentration at the front interface may result in an excessive conduction band offset (CBO) between CIGSSe/CdS, which significantly hinders the mobility of photogenerated electron within the heterojunction region. Gi Soon Park et al. [48] obtained a S-rich surface in CIGSeS via H2S sulfurization, leading to a maximum S/(S + Se) ratio of 0.65 at the surface. However, this S-rich surface creates an unfavorable cliff-like band alignment in the conventional CdS/CIGSeS heterojunction structure. This phenomenon occurs due to the substantial upshift of the CBM at the absorber surface caused by high S doping, as shown in Figure 4a. The incorporation of a (Cd,Zn)S buffer layer with a higher CBM level reinstated a spike-like band alignment, thereby improving electron transport at the heterojunction. This improvement is reflected in the enhancement of signal intensity within the long-wavelength range of the EQE spectrum, as depicted in Figure 4c. Ultimately, the optimized band structure of the heterojunction increased the Voc from 0.55 V to 0.58 V, boosted the Jsc from 32.6 mA/cm2 to 34.7 mA/cm2, and elevated the FF from 70.9% to 71.0%.

3. Ga Gradient

The involvement of Ga marked a landmark advance in the development of CIGSe solar cells. By adjusting the In/Ga ratio, the bandgap profile of the absorber can be precisely tuned [49]. While a higher GGI ratio widens the bandgaps and thus promotes a higher Voc, the benefit is counteracted once GGI exceeds 0.4, as the increase in Voc,def outweighs the voltage gain from bandgap widening [50,51]. Research indicates that this trade-off arises from a severe reduction in minority carrier lifetime, which drops from approximately 400 ns at Eg = 1.13 eV to about 0.2 ns at Eg = 1.56 eV [52]. Consequently, optimizing the spatial distribution of Ga has emerged as a more effective strategy than simply raising the overall GGI ratio [53].
However, the resulting Ga distribution profile is highly dependent on the film deposition process, making precise control essential for achieving the designed bandgap structure. In sequential processes, the different activation energies of In-Se and Ga-Se reaction lead to preferential Ga accumulation near the back contact during selenization [54,55]. M. Marudachalam et al. [56] compared the selenization behaviors of CuGa and CuIn precursors. They revealed that complete selenization of CuGa requires a substrate temperature of at least 450 °C, whereas CuIn can be fully selenized at 400 °C with shorter processing times. This phenomenon highlights the thermodynamic disparity between the two reactions. Therefore, CuInSe2 grows faster on the surface and gradually penetrates inward as reaction time increases. During this process, most In diffuses into the near-surface region, naturally displacing Ga toward the Mo back contact. For a narrow-bandgap CIGSe (GGI ≈ 0.2) with a total thickness of approximately 2 μm, the CuGaSe2 layer measures about 0.4 μm. This implies Ga must diffuse 1.6 μm while In requires only 0.4 μm to achieve uniformity. According to Fick’s law (t ≈ L2/(4D)), even with identical diffusion coefficients for In and Ga, Ga requires a longer diffusion time to achieve homogenization. This determines a forward bandgap gradient, which refers to a gradually increasing GGI distribution toward the back contact.
However, research indicates that the diffusion coefficient of Ga is smaller than In, meaning that Ga homogenization requires a longer diffusion time. Witte et al. [57] further elucidated the kinetic aspect by calculating the VCu-mediated diffusion barriers, showing that the barrier for Ga diffusion in CuInSe2 (1.41 eV) is substantially higher than that for In diffusion in CuGaSe2 (0.87 eV). Therefore, according to the formula D~exp(-Ea/kT), the DGa in CuInSe2 is smaller than DIn. Experimental results by Schroeder et al. [58] corroborate this observation: at 1000 K, DGa is approximately 10−12 cm2/s for the Ga diffusivity into CuInSe2 single-crystal epitaxial layers approaching stoichiometry, which is about three orders of magnitude smaller than the In self-diffusion rate in CuInSe2 single crystals at the same temperature. Consequently, once ternary compounds form separately at high temperatures, In can diffuse readily into Ga-rich regions, whereas Ga diffusion into the In-rich front surface is strongly hindered. These thermodynamic and kinetic constraints make it particularly challenging to establish a Ga-front gradient in sequential processes.
The three-stage co-evaporation process offers active control over the evaporation timing and rates of individual elements, thereby modifying the CIGSe growth pathway and mitigating issues related to Ga accumulation. By dynamically adjusting the evaporation rates of Ga and In during different stages, the In/Ga ratio can be spatially tailored, enabling customization of the position and magnitude of the V-shaped bandgap gradient [59,60]. Xiao et al. [61] systematically optimized the V-shaped bandgap profile by precisely regulating the In and Ga evaporation rates in the first and third stages (Figure 5a). Through correlation with device performance, they identified key characteristics of the optimal bandgap structure (Figure 5b), which can be summarized as follows:
(1) A pronounced back gradient helps establish a stronger back-surface field, promoting the drift of photogenerated electrons from the quasi-neutral region into the space-charge region for efficient collection.
(2) A relatively wide notch width is beneficial, as it enhances the absorption of low-energy infrared photons—whose absorption coefficient is inherently low—by providing sufficient optical path length.
(3) A steep bandgap rise should be maintained near the heterojunction interface, where a narrow yet rapidly increasing bandgap helps improve Voc without excessively elevating the CBM, thus avoiding unfavorable band alignment with the buffer layer.
These design principles not only apply to Ga grading but also offer general guidance for bandgap engineering using other dopants.
Specifically, Xiao et al.’s adjustment to the GGI bandgap profile ultimately yielded two major beneficial effects on device performance. First, the gradual increase in the front bandgap gradient elevated Voc from 0.69 V to 0.73 V, achieved by suppressing non-radiative recombination losses and enhancing quasi-Fermi level splitting. Second, a significant reduction in the minimum bandgap broadened the spectral response range of the absorber layer, substantially increasing Jsc from 29.8 to 34.1 mA/cm2. Devices implementing the optimized profile achieved a maximum conversion efficiency of 20.3%. However, this adjustment also had a detrimental effect, causing FF to decrease from 76.5% to 74.7%. Although the paper does not provide a detailed analysis of this phenomenon, we speculate that excessive GGI on the surface may have negatively impacted the bandgap alignment of the heterojunction.
Although the sequential process inherently induces Ga accumulation near the Mo back contact, several strategies have been reported to enhance Ga diffusion toward the front side of the absorber. These include regulating alkali metal content [63,64], tuning selenization temperature [65,66], and engineering precursor structure [67]. Nevertheless, such approaches offer only limited modification of the Ga distribution profile.
Beyond these methods, optimizing the Se supply during selenization provides an effective route to tailor the Ga profile. For instance, Kim et al. demonstrated that both the three-step H2Se/Ar/H2S and H2Se/Ar/H2Se processes significantly improve Ga uniformity [62]. A key stage in these processes is the Ar annealing step, during which rapid grain growth occurs, and Ga undergoes substantial redistribution (Figure 5c). The homogenization of Ga can be attributed to two main factors. First, after the initial selenization, a considerable amount of Ga remains near the Mo back contact in the form of Cu9Ga4 intermetallic compounds, while the absorber maintains a fine-grained structure. This configuration preserves high interface and/or surface energy, facilitating grain boundary migration and Ga homogenization during Ar annealing. Second, in the Se-free atmosphere of this stage, residual Cu-Ga intermetallics react with pre-formed CIGSe at the back side of the absorber. The Cu9Ga4 phase is considered to provide a fast diffusion pathway for Ga ions, as it coexists in liquid and solid states above 485 °C [68,69]. Consistent with this, Schmidt et al. [70] also showed that reducing the Se supply during intermediate annealing accelerates In/Ga inter-diffusion, thereby alleviating pronounced Ga accumulation.
Facilitating Ga diffusion through the ordered vacancy compound (OVC) phase represents another approach to controlling Ga gradients [71,72]. The OVC phase often refers to the Cu(In,Ga)3Se5 phase. Different from the stoichiometric ratio of Cu(In,Ga)Se2, the OVC phase can provide a large amount of VCu to accelerate Ga diffusion. Tu et al. [73] demonstrated that under relatively low-CGI conditions, high Se vapor pressure promotes the formation of an OVC phase in the early stages of selenization. Although Ga diffusion in CIGSe is generally hindered by a high energy barrier, the abundance of VCu in the OVC structure significantly enhances Ga mobility toward the front region of the absorber. As illustrated in Figure 6a, this mechanism enables an optimized Ga distribution and improves overall cell efficiency. The results indicate that as the PSe increases, the GGI on the surface rises from 0 to 0.30, significantly expanding the surface bandgap. This change corresponds to an increase in Voc from 0.42 V to 0.59 V, and the FF increases from 38.4% to 72.0%. Jsc exhibits minimal fluctuation with changes in PSe, probably due to a balance between the effects of bandgap widening and grain size enlargement.
The formation of the OVC phase is strongly influenced by both CGI and Se vapor pressure. At high CGI (=0.92), OVC formation is suppressed, preserving a steep Ga gradient. In contrast, under low CGI (=0.77) combined with high Se vapor pressure, Ga accumulation is substantially reduced, leading to a more uniform Ga distribution, as shown in Figure 6b. It should be noted, however, that high Se vapor pressure often promotes the excessive growth of a MoSe2 layer, which may necessitate the use of a diffusion barrier to optimize back-contact properties.
The use of single-quaternary CIGSe ceramic targets in sputtering yields a uniform in-depth element distribution, as In and Ga are pre-alloyed with Se, thus requiring external layers to introduce bandgap grading. While a Ga-front gradient has not yet been realized via this route, a few studies have aimed at establishing a Ga-back gradient near the Mo interface. Employing Ga2Se3 as a back-side Ga source is challenged by its thermodynamic instability: under high-power sputtering, it reacts with residual oxygen to form Ga2O3 phase. This detrimental phase is an n-type wide-gap phase that impairs device performance if incorporated at the back contact. The use of CuGaSe2 (CGSe) layers presents another option [74]. Since Ga loss during deposition induces Cu-rich secondary phases like Cu2-xSe, precise Cu composition control is essential. Co-sputtering CIGSe and CGSe targets allows flexible design of Ga gradients and has been associated with improved efficiency, as depicted in Figure 6c,d. Wang et al. [74] increased GGI near the back contact from 0.26 to 0.53 through this approach. This modification redirected minority carriers away from recombination in the back region, thereby prolonging carrier lifetime. For corresponding device performance, Voc significantly increased from 0.54 V to 0.61 V, and FF rose from 71.8% to 75.2%. Though the minimum bandgap remained unchanged, the back bandgap gradient enhanced carrier collection efficiency in the long-wavelength spectrum, boosting Jsc from 30.5 to 33.1 mA/cm2.

4. Ag Alloying

Ag alloying has been demonstrated to offer several advantages in CIGSe solar cells, including: (1) suppression of lattice disorder induced by Ga incorporation [75,76], (2) formation of a low-melting-point liquid phase that enhances crystallization [77,78], and (3) bandgap tuning through substitution for Cu in the lattice [79,80].
Theoretically, since the VBM in CISe is primarily derived from Cu 3d antibonding orbitals, Ag substitution was expected to mainly influence the VBM. However, detailed studies reveal that Ag doping affects both the Cu 4s and 3d orbitals, thereby modifying both the CBM and VBM. As shown in Figure 7a [81], under a fixed GGI ratio, increasing the Ag/(Ag + Cu) (AAC) content simultaneously lowers both CBM and VBM energy levels, with a more pronounced shift in the VBM due to its strong Cu 3d character. Consequently, Ag alloying effectively increases the optical bandgap.
Expressing AAC as w, the bandgap Eg can be empirical described by the following relation [82]:
Eg = 0.24w2 + 0.03w + 0.08x2 + 0.61x − 0.11xw + 1.01
This demonstrates that tailoring the spatial distribution of Ag can similarly be used to establish a gradient bandgap within the absorber layer. Nevertheless, research on utilizing Ag to construct specific bandgap profiles remains limited, which may be attributed to the relatively low AAC doping levels (typically between 0.01 and 0.2) commonly employed in high-efficiency ACIGSe (AgwCu1-wIn1-xGaxSe2) solar cells. As illustrated in Figure 7a, within this low doping range, Ag has a negligible influence on the absorber bandgap. A significant increase in bandgap is only observed when AAC exceeds 0.5.
As mentioned above, S and Ga doping both raise the CBM to widen the bandgap but risk forming a cliff-like band alignment at the buffer/absorber interface under excessive doping. However, Ag doping reduces the CBM, avoiding this band mismatch risk. As shown in Figure 7b, this CBM downshift facilitates a favorable spike-like band alignment between ACIGSe and the conventional CdS buffer layer. Such an interface helps mitigate unfavorable carrier transport in high-GGI solar cells caused by an excessive conduction band offset (CBO < 0). However, excessively high Ag doping concentrations can also cause an excessive downshift in CBM. In turn, this leads to an inverse excess CBO (CBO > 0.4 eV), forming a barrier that hinders the transport of photogenerated electrons.
In addition, high concentrations of Ag doping also introduce several other challenges. For one thing, similar to the formation of Cu2-xSe secondary phases in Cu-rich absorbers, Ag-rich ACIGSe layers are prone to form highly conductive Ag2-xSe secondary phases. These can create shunt paths that severely degrade solar cell performance. For another thing, the introduction of large amounts of Ag significantly occupies VCu, leading to a decrease in VCu density within the absorber layer. However, as shallow-level defects in CIGSe, VCu provides free carriers and serves as the source of the p-type characteristics in CIGSe semiconductors. Therefore, a substantial reduction in VCu would negatively affect the carrier density in the absorber layer, which is highly detrimental to device performance.
Tu et al. [80] achieved a notable cell efficiency of 19.7% by employing a CuGa/In/AgGa triple-layer precursor structure as shown in Figure 7c. This design resulted in a front-gradient Ag distribution with a high concentration of Ag doping (AAC = 0.5). To compensate for the carrier density reduction induced by heavy Ag doping, K doping was intentionally incorporated [83]. Moreover, despite a high [I]/[III] ratio of 0.94, a benign OVC phase formed on the surface instead of the detrimental Ag2-xSe phase. Previous studies suggest that Ag2-xSe typically forms during the second stage of co-evaporation, as (In,Ga)2Se3 reacts more readily with Cu than with Ag. In contrast, the AgGa/AgIn alloy can effectively prevent Ag from directly reacting with Se. As a result, regardless of whether the Ag-containing layer is placed above or below the precursors, no Ag2-xSe is detected in the film.
The observed Ag front-gradient appears to be closely related to the stacked precursor architecture. Although Ag generally exhibits a high diffusion rate and tends to distribute uniformly, placing the Ag-containing layer on top of the precursors (T-ACIGSe) helps maintain relatively high Ag content near the front surface after selenization. This phenomenon can be attributed to distinct phase formation pathways during film growth (as illustrated in Figure 7c), ultimately leading to a slight Ag enrichment at the front. Furthermore, the introduction of high Ag concentrations promotes the formation of OVC phases at the surface. First-principles calculations reveal that OVC phases possess lower surface energy than ACIGSe phases, making it thermodynamically favorable for the ACIGSe surface to decompose into OVC phases as a passivation mechanism—a finding consistent with experimental observations. These surface OVC phases increase the valence band offset (VBO), thereby effectively suppressing interfacial recombination. The reduction in non-radiative recombination losses enhances the splitting of the quasi-Fermi level within the space charge region, causing a significant rise in Voc from 0.47 V to 0.70 V. Meanwhile, the FF also significantly increases from 63.1% to 72.6%. Although the distribution of the minimum bandgap remains unaffected, Jsc slightly increases from 32.1 to 32.3 mA/cm2, probably due to the enhanced crystallinity introduced by Ag.
Another approach for bandgap tailoring via Ag doping involves the Ga distribution profile by promoting atomic diffusion. Kim et al. [84] investigated the effect of Ag precursor thicknesses at 450 °C on the V-shaped Ga gradient formed by a three-stages co-evaporation method. They observed that as the Ag doping content increases, the steep V-shaped bandgap notch becomes progressively flatter (Figure 8g). It has been demonstrated that an excessively deep bandgap gradient can create an electron collection barrier and impede electron transport. The flattening of the bandgap notch facilitates more efficient transport of photogenerated electrons and reduces electron–hole recombination, thereby enhancing photoelectron collection and consequently improving the Voc and FF of the solar cells. As the Ag content increases, both the front and back bandgap gradients become smoother, thereby enhancing carrier collection efficiency. Consequently, the Voc increases from 0.63 V to 0.68 V, and the FF significantly rises from 44.3% to 70.6%. Although the minimum bandgap notably increases compared to the control group, the enhanced collection of photogenerated carriers counteracts the effects of bandgap changes, resulting in negligible variation in Jsc.
The mechanism by which Ag doping flattens the bandgap notch can be attributed to two primary factors. First, the Ag-Se system forms a pure liquid phase at a significantly lower temperature (221 °C) compared to the Cu-Se system, which begins to form a liquid phase only above the eutectic temperature of 523 °C. This substantial difference in melting behavior enables Ag to promote the formation of the ACIGSe phases at lower temperature and enhance grain growth, as shown in Figure 8a–f. Second, the dissociation energy of the Ag-Se bond (201 kJ/mol) is lower than that of the Cu-Se bond (255 kJ/mol). This facilitates the segregation of Ag to grain boundary and the formation of a Ag-Se liquid phase under high Se flux. However, this property also favors the preferential reaction of Cu with (In,Ga)2Se3, resulting in the formation of the Ag2-xSe secondary phases at a high Ag doping concentration.
Prathapani et al. [85] systematically compared the effects of different AAC levels on the distribution of Ag and Ga in absorbers with different CIG ratios and temperatures. When the total [I]/[III] ratio is between 0.99~1.03, Ag consistently segregates to the surface and becomes depleted in the bulk. In absorbers with CGI = 0.86, low AAC levels lead to a relatively uniform Ag distribution, whereas higher doping (AAC = 0.06) still results in Ag accumulation at the surface. Further reducing the CGI ratio can alleviate this surface accumulation (Figure 8h–m). It should be noted that Ag accumulation on the surface does not constitute the ideal front-gradient profile [86]. Instead, it predominantly leads to the formation of Ag2-xSe secondary phase, which creates shunt paths and degrades device performance. Therefore, an appropriate Ag doping range combined with a low CGI is essential to achieve an optimal Ag gradient and enhance solar cell efficiency.
Furthermore, although a lower CGI promotes more Ag incorporation into the absorbers, studies indicate that as Ag doping increases, excessive Cu-poor ACIGSe (CGI < 0.84) results in a higher Voc,def, which limits further efficiency improvement.

5. Analysis of V-Shaped vs. ‘Hockey Stick’-like Bandgap Distributions

The V-shaped bandgap gradient strategy has been extensively studied and validated through both theoretical simulations and experiments, with its efficacy in enhancing solar cell efficiency well-documented [87,88,89]. For instance, the 22.6% world-record efficiency by ZSW in 2016 utilized a three-stage co-evaporation method to construct a V-shaped GGI profile, which effectively suppressed bulk recombination and improved carrier collection [90]. Similarly, the 23.35% champion device from Solar Frontier in 2019 employed a sequential process that leveraged a natural back gradient from Ga accumulation and a front gradient from sulfurization to form the V-shaped bandgap. In contrast, the latest state-of-the-art device (23.64%, Uppsala University, 2023) deviates from this established approach. It utilizes a ‘hockey-stick’-like GGI profile, yet achieves comparably high Voc and FF, as shown in Table 1. This departure from the conventional V-shaped design compels a re-examination of the characteristics of both gradient architectures to identify the key factors limiting further efficiency breakthroughs in CIGSe devices.
The ‘hockey-stick’-like bandgap reported by Uppsala University is characterized by a compositionally uniform front surface and a Ga-gradient distributed back surface, as illustrated in Figure 9a. This design, combined with a relatively high Ag doping concentration (AAC = 0.19) and a standard RbF post-deposition treatment, effectively suppresses lateral and in-depth bandgap fluctuations within the absorber. The resulting champion device achieved an ideality factor of n = 1.30, which is significantly lower than that of previously reported high-efficiency cells. This lower value indicates a substantial reduction in the overall recombination rate within the space-charge region (SCR), an effect likely attributable to the synergistic roll of Rb and Ag. Notably, despite the high Ag content (AAC ~0.19), the overall [I]/[III] ratio in the absorber remains low (0.83~0.84). This specific composition prevents Ag surface accumulation while promoting a uniform distribution of other elements near the front surface. Although the elemental distribution is relatively uniform in the bulk of the front absorber, the grain boundary exhibits a distinct chemical character. As shown in Figure 9d–j, grain boundary is depleted in Cu but enriched in Ag and Rb. It has been reported that such Cu depletion and Rb segregation at grain boundary can induce a beneficial upward band bending, which helps to suppress carrier recombination [91,92,93].
In summary, suppressing non-radiative recombination in the space-charge region presents a key advantage of the ‘hockey-stick’-like bandgap profile. This design enables high Voc and FF even in the absence of a conventional front bandgap gradient—an outcome that can be rationalized theoretically. It is well-explained that a front-gradient bandgap serves two primary roles: first, it enhances the built-in electric field near the surface without sacrificing photon absorption, thanks to the lower bandgap in the bulk; second, it increases the activation energy for carrier recombination in the space-charge region, thereby reducing the non-radiative recombination. In the record Uppsala University cell, the incorporation of Rb and Ag appears to mimic the second function, effectively lowering the overall recombination. While the first function—strengthening the built-in electric field—may remain irreplaceable under certain conditions, the comparable FF and Voc achieved without it indicate that the built-in electric field is not the primary factor limiting further efficiency improvement in high-performance devices. Consequently, future research efforts are likely to focus increasingly on understanding and mitigating non-radiative recombination within the absorber.
Homogeneous surfaces generally exhibit fewer strain-related defects and reduced bandgap fluctuations, which in turn suppress non-radiative recombination, increase Voc and lower Voc,def [94]. Furthermore, expanding the thickness of the region with a small and constant minimum Eg enhances the absorption of low-energy photons, thereby improving Jsc. Indeed, the V-shaped bandgap gradient strategy also allows for thickening the Eg,min region—that is, flattening the V-shaped notch. In practice, the three-stage co-evaporation method achieves this by carefully regulating the evaporation rates of In and Ga to position the notch closer to the surface. Solar Frontier’s sequential process employs RTP to optimize the GGI profile for a flatter bandgap gradient. Both approaches confirm that broadening the notch area contributes to higher solar cells efficiency.
In fact, a wider notch area within the space-charge region functionally resembles a homogeneous surface. Therefore, the two bandgap gradient strategies are not fundamentally conflicting. The conventional V-shaped profile can be optimized by increasing the notch thickness and shifting it closer to the heterojunction surface. However, achieving precise control over the notch profile during actual fabrication remains a significant challenge.

6. Conclusions and Perspectives

In summary, this review has analyzed substitutional doping approaches in CIGSe semiconductors, linking different fabrication methods to their resulting bandgap profiles. Controlling the bandgap distribution has been identified as a central theme. A key insight is that while sophisticated bandgap engineering can improve all photovoltaic parameters, it introduces a critical challenge: the pursuit of optimal electronic properties necessitates unprecedented precision in controlling elemental distribution throughout the manufacturing process.
In sequential fabrication processes, surface sulfurization is commonly employed to establish a V-shaped bandgap gradient, leveraging the inherent back-gradient accumulation of Ga. However, this approach demands precise control over both the degree of surface sulfurization and the resulting diffusion depth. Among various doping strategies, Ga doping continues to be the central focus and a key challenge in tailoring the bandgap distribution of CIGSe absorbers. For instance, Solar Frontier further improved device efficiency by optimizing the GGI profile via RTP, underscoring the critical role of Ga-mediated bandgap engineering. Although several methods have been proposed to regulate Ga diffusion in sequential processes, this area still requires deeper investigation. In contrast, reports on constructing Ag alloying gradients remain relatively scarce. While early studies mainly utilized low Ag doping concentrations, recent years have seen a growing number of reports demonstrating high-efficiency devices achieved with high-concentration Ag alloying [95,96,97]. Notably, the latest state-of-the-art solar cell employed a relatively high Ag concentration (AAC ≈ 0.19). The homogeneous surface composition and unique bandgap profile reported by Uppsala University invite a renewed evaluation of current bandgap engineering paradigms. Additionally, alkali metal post-deposition treatment (PDT) is often combined with Ag alloying to achieve superior electronic properties in the absorber layer [86,98,99].
This review further posits that a uniform front bandgap combined with Ag/Rb doping represents a refinement, not a rejection, of the V-shaped bandgap concept, emphasizing the critical role of non-radiative recombination suppression. From this perspective, the integration of the two bandgap engineering approaches may yield unexpected synergistic effects. (1) We can first employ high-concentration Ag alloying to achieve compositional homogenization, thereby reducing non-radiative recombination loss caused by compositional and bandgap fluctuations. (2) Heavy alkali metal PDT can compensate for the decrease in carrier concentration induced by Ag alloying while further passivating grain boundaries. (3) Employing an appropriate post-sulfurization process can enhance the surface bandgap and establishes a rational, narrow front-gradient bandgap. This can further strengthen the splitting of the quasi-Fermi level at the heterojunction. Each of these measures has been, respectively, validated to suppress non-radiative recombination losses in CIGSe, and they do not present any insurmountable technical conflicts or difficulties in process integration. However, whether all elements can indeed distribute themselves rationally as anticipated and fulfill their respective roles requires further experimental verification.

Author Contributions

Conceptualization, Z.W.; methodology, Z.W., S.T., J.Z. and Q.G.; software, S.T., M.J. and M.B.; validation, D.Z., M.Z., S.T., M.J. and Q.G.; formal analysis, Z.W., M.Z., S.T., J.H. and Q.G.; investigation, Z.W., M.J., J.H. and J.Z.; resources, D.Z. and M.Z.; data curation, Z.W. and M.B.; writing—original draft preparation, Z.W.; writing—review and editing, D.Z. and M.Z.; visualization, Z.W., M.J. and J.H.; supervision, D.Z. and M.Z.; project administration, D.Z.; funding acquisition, D.Z. and M.Z. All authors have read and agreed to the published version of the manuscript.

Funding

This research was funded by National Key Research and Development Program of China (2024YFB4205300).

Data Availability Statement

The data presented in this study are available in [web of science] at [https://webofscience.clarivate.cn/wos/alldb/basic-search] (accessed on 17 October 2025), reference number [99].

Acknowledgments

The authors are grateful for the analysis support of Key Laboratory for Advanced Materials Processing Technology of Ministry of Education and State Key Laboratory of New Ceramics and Fine Processing.

Conflicts of Interest

The authors declare that they have no known competing financial interests or personal relationships that could have appeared to influence the work reported in this paper.

References

  1. Gu, Y.; Zhou, C.; Chen, W.; Zhang, Y.; Yao, Y.; Zhou, Z.; Sun, Y.; Liu, W. Silver (Ag) Substitution in Cu(In,Ga)Se2 Solar Cell: Insights into Current Challenges and Future Prospects. Appl. Phys. A 2024, 130, 636. [Google Scholar] [CrossRef]
  2. Seok, M.-G.; Kim, Y.; Kim, S.M. Reaction Kinetics Analysis of Treatment Process on Light-Induced Degradation for p-Type Passivated Emitter and Rear Contact Solar Cell Module with Gallium Cz-Si Wafer. Energies 2022, 15, 3563. [Google Scholar] [CrossRef]
  3. Lee, C.; Hyun, J.; Nam, J.; Jeong, S.-H.; Song, H.; Bae, S.; Lee, H.; Seol, J.; Kim, D.; Kang, Y.; et al. Amorphous Silicon Thin Film Deposition for Poly-Si/SiO2 Contact Cells to Minimize Parasitic Absorption in the Near-Infrared Region. Energies 2021, 14, 8199. [Google Scholar] [CrossRef]
  4. Keller, J.; Kiselman, K.; Donzel-Gargand, O.; Martin, N.M.; Babucci, M.; Lundberg, O.; Wallin, E.; Stolt, L.; Edoff, M. High-Concentration Silver Alloying and Steep Back-Contact Gallium Grading Enabling Copper Indium Gallium Selenide Solar Cell with 23.6% Efficiency. Nat. Energy 2024, 9, 467–478. [Google Scholar] [CrossRef]
  5. Nakamura, M.; Yamaguchi, K.; Kimoto, Y.; Yasaki, Y.; Kato, T.; Sugimoto, H. Cd-Free Cu(In,Ga)(Se,S)2 Thin-Film Solar Cell With Record Efficiency of 23.35%. IEEE J. Photovolt. 2019, 9, 1863–1867. [Google Scholar] [CrossRef]
  6. Saeed, A.; Salah, M.M.; Zekry, A.; Mousa, M.; Shaker, A.; Abouelatta, M.; Amer, F.Z.; Mubarak, R.I.; Louis, D.S. Investigation of High-Efficiency and Stable Carbon-Perovskite/Silicon and Carbon-Perovskite/CIGS-GeTe Tandem Solar Cells. Energies 2023, 16, 1676. [Google Scholar] [CrossRef]
  7. Boukortt, N.E.I.; Triolo, C.; Santangelo, S.; Patanè, S. All-Perovskite Tandem Solar Cells: From Certified 25% and Beyond. Energies 2023, 16, 3519. [Google Scholar] [CrossRef]
  8. Hasnain, S.M. Examining the Advances, Obstacles, and Achievements of Tin-Based Perovskite Solar Cells: A Review. Solar Energy 2023, 262, 111825. [Google Scholar] [CrossRef]
  9. Wang, H.; Zhuang, D.; Zhao, M.; Jia, M.; Wu, Z.; Han, J.; Gong, Q.; Wei, J. Recombination and Performance Analysis of Wide Bandgap CIGSe Devices for Efficiency Solar Cell. Chem. Eng. J. 2025, 507, 160435. [Google Scholar] [CrossRef]
  10. Han, J.; Zhuang, D.; Zhao, M.; Tao, S.; Wang, H.; Jia, M.; Wu, Z.; Zhou, J.; Baranova, M.; Gong, Q. Trade-Offs in Morphology and Electrical Performance of Selenium-Deficient Cu(In,Ga)Se2 Precursors: Systematic Analysis of In2Se Volatilization. Sol. Energy Mater. Sol. Cells 2026, 294, 113876. [Google Scholar] [CrossRef]
  11. Tong, H.; Kou, Z.; Zhao, M.; Zhuang, D.; Wang, C.; Li, Y. Effects of Annealing Temperature and Atmosphere on Performances of Zn0.9Mg0.1O Buffer Layers for CIGS Solar Cell. Ceram. Int. 2022, 48, 24523–24530. [Google Scholar] [CrossRef]
  12. Wang, X.; Gao, W.; Zhang, N.; Zuo, K.; Wu, L.; Li, M. The Study on Photoelectric Response Properties of CIGS Film With V-Shaped Bandgap Regulated by Adjustment of Cu and Se Concentrations. IEEE Sens. J. 2024, 24, 38935–38944. [Google Scholar] [CrossRef]
  13. Xin, W.; Yuan, M.; Zeng, C.; Lin, R.; Li, D.; Hong, R. Investigation on the Diffusion Mechanism of Ga Element and Regulation of the V-Shaped Bandgap in CIGS Thin Films Based on Magnetron Sputtering with a Quaternary Target. Sol. Energy 2024, 273, 112510. [Google Scholar] [CrossRef]
  14. Lontchi, J.; Dufoulon, V.; Crossay, A.; Gamet, D.; Tom, T.; Rebai, A.; Posada, J.; Donsanti, F.; Lincot, D.; Guillemoles, J.-F.; et al. Achieving High-Performance in Flexible CIGS Solar Cells Through Advanced Deposition Optimization. In Proceedings of the 2025 IEEE 53rd Photovoltaic Specialists Conference (PVSC), Montreal, QC, Canada, 8–13 June 2025; pp. 0438–0440. [Google Scholar]
  15. Jeon, D.-H.; Park, S.-N.; Lee, J.-B.; Kim, Y.-I.; Yang, K.-J.; Kang, J.-K.; Kim, D.-H.; Sung, S.-J.; Hwang, D.-K. Enhancing the Open-Circuit Voltage in Narrow-Bandgap CuInSe2 Solar Cells via Local Contact Passivation with Al2O3. J. Sci. Adv. Mater. Devices 2024, 9, 100648. [Google Scholar] [CrossRef]
  16. Knecht, R.; Hammer, M.S.; Parisi, J.; Riedel, I. Impact of Varied Sulfur Incorporation on the Device Performance of Sequentially Processed Cu(In,Ga)(Se,S)2 Thin Film Solar Cells. Phys. Status Solidi (A) 2013, 210, 1392–1399. [Google Scholar] [CrossRef]
  17. Bauer, G.H.; Brüggemann, R.; Tardon, S.; Vignoli, S.; Kniese, R. Quasi-Fermi Level Splitting and Identification of Recombination Losses from Room Temperature Luminescence in Cu(In1-xGax)Se2 Thin Films versus Optical Band Gap. Thin Solid Film. 2005, 480–481, 410–414. [Google Scholar] [CrossRef]
  18. Gütay, L.; Bauer, G.H. Non-Uniformities of Opto-Electronic Properties in Cu(In,Ga)Se2 Thin Films and Their Influence on Cell Performance Studied with Confocal Photoluminescence. In Proceedings of the 2009 34th IEEE Photovoltaic Specialists Conference (PVSC), Philadelphia, PA, USA, 7–12 June 2009; pp. 000874–000877. [Google Scholar]
  19. Contreras, M.A.; Mansfield, L.M.; Egaas, B.; Li, J.; Romero, M.; Noufi, R.; Rudiger-Voigt, E.; Mannstadt, W. Wide Bandgap Cu(In,Ga)Se2 Solar Cells with Improved Energy Conversion Efficiency. Prog. Photovolt. Res. Appl. 2012, 20, 843–850. [Google Scholar] [CrossRef]
  20. Kwok, C.K.G.; Tangara, H.; Masuko, N.; Scheer, R.; Ishizuka, S.; Monirul Islam, M.; Sakurai, T. Effects of Quasi-Fermi Level Splitting and Band Tail States on Open Circuit Voltage towards High-Efficiency Cu(In,Ga)Se2 Solar Cells. Sol. Energy Mater. Sol. Cells 2024, 269, 112767. [Google Scholar] [CrossRef]
  21. Maeda, T.; Nakanishi, R.; Yanagita, M.; Wada, T. Control of Electronic Structure in Cu(In, Ga)(S, Se)2 for High-Efficiency Solar Cells. Jpn. J. Appl. Phys. 2020, 59, SGGF12. [Google Scholar] [CrossRef]
  22. Wada, T.; Nakamura, S.; Maeda, T. Ternary and Multinary Cu-Chalcogenide Photovoltaic Materials from CuInSe2 to Cu2ZnSnS4 and Other Compounds. Prog. Photovolt. Res. Appl. 2012, 20, 520–525. [Google Scholar] [CrossRef]
  23. Singh, U.P.; Shafarman, W.N.; Birkmire, R.W. Surface Sulfurization Studies of Cu(InGa)Se2 Thin Film. Sol. Energy Mater. Sol. Cells 2006, 90, 623–630. [Google Scholar] [CrossRef]
  24. Turcu, M.; Kötschau, I.M.; Rau, U. Composition Dependence of Defect Energies and Band Alignments in the Cu(In1-xGax)(Se1-ySy)2 Alloy System. J. Appl. Phys. 2002, 91, 1391–1399. [Google Scholar] [CrossRef]
  25. Yuan, S.; Wang, X.; Zhao, Y.; Chang, Q.; Xu, Z.; Kong, J.; Wu, S. Solution Processed Cu(In,Ga)(S,Se)2 Solar Cells with 15.25% Efficiency by Surface Sulfurization. ACS Appl. Energy Mater. 2020, 3, 6785–6792. [Google Scholar] [CrossRef]
  26. Rau, U.; Schmitt, M.; Engelhardt, F.; Seifert, O.; Parisi, J.; Riedl, W.; Rimmasch, J.; Karg, F. Impact of Na and S Incorporation on the Electronic Transport Mechanisms of Cu(In, Ga)Se2 Solar Cells. Solid. State Commun. 1998, 107, 59–63. [Google Scholar] [CrossRef]
  27. Ohashi, D.; Nakada, T.; Kunioka, A. Improved CIGS Thin-Film Solar Cells by Surface Sulfurization Using In2S3 and Sulfur Vapor. Sol. Energy Mater. Sol. Cells 2001, 67, 261–265. [Google Scholar] [CrossRef]
  28. Tai, K.F.; Kamada, R.; Yagioka, T.; Kato, T.; Sugimoto, H. From 20.9 to 22.3% Cu(In,Ga)(S,Se)2 Solar Cell: Reduced Recombination Rate at the Heterojunction and the Depletion Region Due to K-Treatment. Jpn. J. Appl. Phys. 2017, 56, 08MC03. [Google Scholar] [CrossRef]
  29. Keller, J.; Bilousov, O.V.; Wallin, E.; Lundberg, O.; Neerken, J.; Heise, S.; Riekehr, L.; Edoff, M.; Platzer-Björkman, C. Effect of Cu Content on Post-Sulfurization of Cu(In,Ga)Se2 Films and Corresponding Solar Cell Performance. Phys. Status Solidi (A) 2019, 216, 1900472. [Google Scholar] [CrossRef]
  30. Kobayashi, T.; Yamaguchi, H.; Jehl Li Kao, Z.; Sugimoto, H.; Kato, T.; Hakuma, H.; Nakada, T. Impacts of Surface Sulfurization on Cu(In1-x,Gax)Se2 Thin-Film Solar Cells. Prog. Photovolt. Res. Appl. 2015, 23, 1367–1374. [Google Scholar] [CrossRef]
  31. Mueller, B.J.; Mock, M.; Haug, V.; Hergert, F.; Koehler, T.; Zweigart, S.; Herr, U. Ex- and in-Situ Investigations of Sulfur Diffusion into Cu(In,Ga)Se2 Thin Films. Thin Solid Film. 2015, 582, 284–289. [Google Scholar] [CrossRef]
  32. Niki, S.; Contreras, M.; Repins, I.; Powalla, M.; Kushiya, K.; Ishizuka, S.; Matsubara, K. CIGS Absorbers and Processes. Prog. Photovolt. Res. Appl. 2010, 18, 453–466. [Google Scholar] [CrossRef]
  33. Kato, T. Cu(In,Ga)(Se,S)2 Solar Cell Research in Solar Frontier: Progress and Current Status. Jpn. J. Appl. Phys. 2017, 56, 04CA02. [Google Scholar] [CrossRef]
  34. Yang, J.; Nam, J.; Kim, D.; Kim, G.; Jo, W.; Kang, Y.; Lee, D. Enhancement of the Photo Conversion Efficiencies in Cu(In,Ga)(Se,S)2 Solar Cells Fabricated by Two-Step Sulfurization Process. Appl. Phys. Lett. 2015, 107, 193901. [Google Scholar] [CrossRef]
  35. Başol, B.M.; Halani, A.; Leidholm, C.; Norsworthy, G.; Kapur, V.K.; Swartzlander, A.; Matson, R. Studies on Sulfur Diffusion into Cu(In,Ga)Se2 Thin Films. Prog. Photovolt. Res. Appl. 2000, 8, 227–235. [Google Scholar] [CrossRef]
  36. Chen, C.-W.; Tsai, H.-W.; Wu, T.-T.; Yen, Y.-T.; Wang, Y.-C.; Hsu, C.-H.; Tsai, W.-C.; Tsai, H.-S.; Shen, C.-H.; Shieh, J.-M.; et al. Enhanced Solar Performance of Chemical Bath Deposited-Zn(O,S)/Cu(In,Ga)Se2 Solar Cells via Interface Engineering by a Wet Soaking Process. J. Mater. Chem. A 2015, 3, 14985–14990. [Google Scholar] [CrossRef]
  37. Nakada, T.; Matsumoto, K.; Okumura, M. Improved Efficiency of Cu(In,Ga)Se2 Thin Film Solar Cells by Surface Sulfurization Using Wet Process. In Proceedings of the Conference Record of the Twenty-Ninth IEEE Photovoltaic Specialists Conference, New Orleans, LA, USA, 19–24 May 2002; pp. 527–530. [Google Scholar]
  38. Buffière, M.; Mel, A.-A.E.; Lenaers, N.; Brammertz, G.; Zaghi, A.E.; Meuris, M.; Poortmans, J. Surface Cleaning and Passivation Using (NH4)2S Treatment for Cu(In,Ga)Se2 Solar Cells: A Safe Alternative to KCN. Adv. Energy Mater. 2015, 5, 1401689. [Google Scholar] [CrossRef]
  39. Zhang, Y.; Gao, Q.; Ao, J.; Zhang, Y.; Bi, J.; Guo, J.; Han, Y.; Sun, G.; Zhang, Y.; Liu, W.; et al. Enhancing Surface Properties for Electrodeposited Cu(In,Ga)Se2 Films by (NH4)2S Solution at Room Temperature. ACS Appl. Energy Mater. 2021, 4, 3822–3831. [Google Scholar] [CrossRef]
  40. Lin, S.-H.; Sung, J.-C.; Lu, C.-H. Effects of the Surface Sulfurization Reactions on the Structural and Photovoltaic Properties of Cu(In,Ga)(Se,S)2 Solar Cells. Thin Solid Film. 2016, 616, 746–753. [Google Scholar] [CrossRef]
  41. Kato, T.; Wu, J.-L.; Hirai, Y.; Sugimoto, H.; Bermudez, V. Record Efficiency for Thin-Film Polycrystalline Solar Cells Up to 22.9% Achieved by Cs-Treated Cu(In,Ga)(Se,S)2. IEEE J. Photovolt. 2019, 9, 325–330. [Google Scholar] [CrossRef]
  42. Kim, G.Y.; Yang, J.; Nguyen, T.T.T.; Yoon, S.; Nam, J.; Lee, D.; Kim, D.; Kwon, M.; Jeon, C.-W.; Kim, Y.-K.; et al. High Photo-Conversion Efficiency in Double-Graded Cu(In,Ga)(S,Se)2 Thin Film Solar Cells with Two-Step Sulfurization Post-Treatment. Prog. Photovolt. Res. Appl. 2017, 25, 139–148. [Google Scholar] [CrossRef]
  43. Li, W.; Song, Q.; Zhao, C.; Qi, T.; Zhang, C.; Wang, W.; Gao, C.; Zheng, X.; Ning, D.; Ma, M.; et al. Toward High-Efficiency Cu(In,Ga)(S,Se)2 Solar Cells by a Simultaneous Selenization and Sulfurization Rapid Thermal Process. ACS Appl. Energy Mater. 2021, 4, 14546–14553. [Google Scholar] [CrossRef]
  44. Kodalle, T.; Schmidt, S.S.; Wolf, C.; Greiner, D.; Bloeck, U.; Schubert-Bischoff, P.; Kaufmann, C.A.; Schlatmann, R. Investigating Sulfur Distribution and Corresponding Bandgap Grading in Cu(In,Ga)(S,Se)2 Absorber Layers Processed by Fast Atmospheric Chalcogenization of Metal Precursors. J. Alloys Compd. 2017, 703, 600–604. [Google Scholar] [CrossRef]
  45. Huang, Y.; Han, A.; Wang, X.; Liu, X.; Liu, Z.; Meng, F. Tuning the Band Gap of Cu(In,Ga)Se2 Thin Films by Simultaneous Selenization/Sulfurization. Mater. Lett. 2016, 182, 114–117. [Google Scholar] [CrossRef]
  46. Siew, J.H.; Chen, Y.-H.; Chang, Y.-L.; Lai, C.-H.; Lin, T.-Y. Heat Soaking for Improving Rollover from S at the Back of CIGSSe Solar Cells. IEEE J. Photovolt. 2023, 13, 503–509. [Google Scholar] [CrossRef]
  47. Sozzi, G.; Troni, F.; Menozzi, R. On the Combined Effects of Window/Buffer and Buffer/Absorber Conduction-Band Offsets, Buffer Thickness and Doping on Thin-Film Solar Cell Performance. Sol. Energy Mater. Sol. Cells 2014, 121, 126–136. [Google Scholar] [CrossRef]
  48. Park, G.S.; Chu, V.B.; Kim, B.W.; Kim, D.-W.; Oh, H.-S.; Hwang, Y.J.; Min, B.K. Achieving 14.4% Alcohol-Based Solution-Processed Cu(In,Ga)(S,Se)2 Thin Film Solar Cell through Interface Engineering. ACS Appl. Mater. Interfaces 2018, 10, 9894–9899. [Google Scholar] [CrossRef] [PubMed]
  49. Contreras, M.; Tuttle, J.; Du, D.; Qi, Y.; Swartzlander, A.; Tennant, A.; Noufi, R. Graded Band-gap Cu(In,Ga)Se2 Thin-film Solar Cell Absorber with Enhanced Open-circuit Voltage. Appl. Phys. Lett. 1993, 63, 1824–1826. [Google Scholar] [CrossRef]
  50. Keller, J.; Aboulfadl, H.; Stolt, L.; Donzel-Gargand, O.; Edoff, M. Rubidium Fluoride Absorber Treatment for Wide-Gap (Ag,Cu)(In,Ga)Se2 Solar Cells. Sol. RRL 2022, 6, 2200044. [Google Scholar] [CrossRef]
  51. Yao, Y.; Ma, J.; Liu, Y.; Yang, X.; Meng, H.; Liu, F.; Zhang, Y.; Liu, W. Achieving over 860 mV Open-Circuit Voltage in Low-Ag Wide-Bandgap Cu(In,Ga)Se2 Solar Cells Through Ion Diffusion and Band Structure Optimization. Adv. Funct. Mater. 2025, 35, 2423228. [Google Scholar] [CrossRef]
  52. Li, J.V.; Grover, S.; Contreras, M.A.; Ramanathan, K.; Kuciauskas, D.; Noufi, R. A Recombination Analysis of Cu(In,Ga)Se2 Solar Cells with Low and High Ga Compositions. Sol. Energy Mater. Sol. Cells 2014, 124, 143–149. [Google Scholar] [CrossRef]
  53. Jung, S.; Ahn, S.; Yun, J.H.; Gwak, J.; Kim, D.; Yoon, K. Effects of Ga Contents on Properties of CIGS Thin Films and Solar Cells Fabricated by Co-Evaporation Technique. Curr. Appl. Phys. 2010, 10, 990–996. [Google Scholar] [CrossRef]
  54. Hanket, G.M.; Shafarman, W.N.; McCandless, B.E.; Birkmire, R.W. Incongruent Reaction of Cu–(InGa) Intermetallic Precursors in H2Se and H2S. J. Appl. Phys. 2007, 102, 074922. [Google Scholar] [CrossRef]
  55. Caballero, R.; Guillén, C.; Gutiérrez, M.T.; Kaufmann, C.A. CuIn1-xGaxSe2-Based Thin-Film Solar Cells by the Selenization of Sequentially Evaporated Metallic Layers. Prog. Photovolt. Res. Appl. 2006, 14, 145–153. [Google Scholar] [CrossRef]
  56. Marudachalam, M.; Birkmire, R.W.; Hichri, H.; Schultz, J.M.; Swartzlander, A.; Al-Jassim, M.M. Phases, Morphology, and Diffusion in CuInxGa1-xSe2 Thin Films. J. Appl. Phys. 1997, 82, 2896–2905. [Google Scholar] [CrossRef]
  57. Witte, W.; Abou-Ras, D.; Albe, K.; Bauer, G.H.; Bertram, F.; Boit, C.; Brüggemann, R.; Christen, J.; Dietrich, J.; Eicke, A.; et al. Gallium Gradients in Cu(In,Ga)Se2 Thin-Film Solar Cells. Prog. Photovolt. Res. Appl. 2015, 23, 717–733. [Google Scholar] [CrossRef]
  58. Schroeder, D.J.; Berry, G.D.; Rockett, A.A. Gallium Diffusion and Diffusivity in CuInSe2 Epitaxial Layers. Appl. Phys. Lett. 1996, 69, 4068–4070. [Google Scholar] [CrossRef]
  59. Gabor, A.M.; Tuttle, J.R.; Albin, D.S.; Contreras, M.A.; Noufi, R.; Hermann, A.M. High-Efficiency CuInxGa1-xSe2 Solar Cells Made from (Inx,Ga1-x)2Se3 Precursor Films. Appl. Phys. Lett. 1994, 65, 198–200. [Google Scholar] [CrossRef]
  60. Yang, S.; Zhu, J.; Zhang, X.; Ma, X.; Luo, H.; Yin, L.; Xiao, X. Bandgap Optimization of Submicron-Thick Cu(In,Ga)Se2 Solar Cells. Prog. Photovolt. Res. Appl. 2015, 23, 1157–1163. [Google Scholar] [CrossRef]
  61. Gong, J.; Kong, Y.; Li, J.; Wang, K.; Wang, X.; Zhang, Z.; Ding, Z.; Xiao, X. Enhancing Photocurrent of Cu(In,Ga)Se2 Solar Cells with Actively Controlled Ga Grading in the Absorber Layer. Nano Energy 2019, 62, 205–211. [Google Scholar] [CrossRef]
  62. Kim, K.; Park, H.; Hanket, G.M.; Kim, W.K.; Shafarman, W.N. Composition and Bandgap Control in Cu(In,Ga)Se2-Based Absorbers Formed by Reaction of Metal Precursors. Prog. Photovolt. Res. Appl. 2015, 23, 765–772. [Google Scholar] [CrossRef]
  63. Colombara, D.; Conley, K.; Malitckaya, M.; Komsa, H.-P.; Puska, M.J. The Fox and the Hound: In-Depth and in-Grain Na Doping and Ga Grading in Cu(In,Ga)Se2 Solar Cells. J. Mater. Chem. A 2020, 8, 6471–6479. [Google Scholar] [CrossRef]
  64. Cai, C.-H.; Chen, R.-Z.; Chan, T.-S.; Lu, Y.-R.; Huang, W.-C.; Yen, C.-C.; Zhao, K.; Lo, Y.-C.; Lai, C.-H. Interplay between Potassium Doping and Bandgap Profiling in Selenized Cu(In,Ga)Se2 Solar Cells: A Functional CuGa:KF Surface Precursor Layer. Nano Energy 2018, 47, 393–400. [Google Scholar] [CrossRef]
  65. Nishiwaki, S.; Satoh, T.; Hashimoto, Y.; Negami, T.; Wada, T. Preparation of Cu(In,Ga)Se2 Thin Films at Low Substrate Temperatures. J. Mater. Res. 2001, 16, 394–399. [Google Scholar] [CrossRef]
  66. Wang, Y.-C.; Shieh, H.-P.D. Improvement of Bandgap Homogeneity in Cu(In,Ga)Se2 Thin Films Using a Modified Two-Step Selenization Process. Appl. Phys. Lett. 2013, 103, 153502. [Google Scholar] [CrossRef]
  67. Sim, J.-K.; Ashok, K.; Lee, C.-R. Formation of CIGS Thin Absorption Layer by Sequential Sputtering of CuGa/In/CuGa Precursor on Mo/SLG with Post Selenization. Met. Mater. Int. 2013, 19, 303–308. [Google Scholar] [CrossRef]
  68. Kim, K.; Hanket, G.M.; Huynh, T.; Shafarman, W.N. Three-Step H2Se/Ar/H2S Reaction of Cu-In-Ga Precursors for Controlled Composition and Adhesion of Cu(In,Ga)(Se,S)2 Thin Films. J. Appl. Phys. 2012, 111, 083710. [Google Scholar] [CrossRef]
  69. Hanket, G.M.; Kamada, R.; Kim, W.K.; Shafarman, W.N. Effect of Reaction Temperature on Cu(InGa)(SeS)2 Formation by a Sequential H2Se/H2S Precursor Reaction Process. In Proceedings of the 2008 33rd IEEE Photovoltaic Specialists Conference, San Diego, CA, USA, 11–16 May 2008; pp. 1–5. [Google Scholar]
  70. Schmidt, S.S.; Wolf, C.; Rodriguez-Alvarez, H.; Bäcker, J.-P.; Kaufmann, C.A.; Merdes, S.; Ziem, F.; Hartig, M.; Cinque, S.; Dorbandt, I.; et al. Adjusting the Ga Grading during Fast Atmospheric Processing of Cu(In,Ga)Se2 Solar Cell Absorber Layers Using Elemental Selenium Vapor. Prog. Photovolt. Res. Appl. 2017, 25, 341–357. [Google Scholar] [CrossRef]
  71. Rodriguez-Alvarez, H.; Weber, A.; Lauche, J.; Kaufmann, C.A.; Rissom, T.; Greiner, D.; Klaus, M.; Unold, T.; Genzel, C.; Schock, H.-W.; et al. Formation of CuInSe2 and CuGaSe2 Thin-Films Deposited by Three-Stage Thermal Co-Evaporation: A Real-Time X-Ray Diffraction and Fluorescence Study. Adv. Energy Mater. 2013, 3, 1381–1387. [Google Scholar] [CrossRef]
  72. Caballero, R.; Kaufmann, C.A.; Efimova, V.; Rissom, T.; Hoffmann, V.; Schock, H.W. Investigation of Cu(In,Ga)Se2 Thin-Film Formation during the Multi-Stage Co-Evaporation Process. Prog. Photovolt. Res. Appl. 2013, 21, 30–46. [Google Scholar] [CrossRef]
  73. Tu, L.-H.; Cai, C.-H.; Lai, C.-H. Tuning Ga Grading in Selenized Cu(In,Ga)Se2 Solar Cells by Formation of Ordered Vacancy Compound. Sol. RRL 2021, 5, 2000626. [Google Scholar] [CrossRef]
  74. Wang, Y.-H.; Ho, P.-H.; Huang, W.-C.; Tu, L.-H.; Chang, H.-F.; Cai, C.-H.; Lai, C.-H. Engineering a Ga-Gradient by One-Step Sputtering to Achieve Over 15% Efficiency of Cu(In,Ga)Se2 Flexible Solar Cells without Post-Selenization. ACS Appl. Mater. Interfaces 2020, 12, 28320–28328. [Google Scholar] [CrossRef]
  75. Boyle, J.H.; McCandless, B.E.; Shafarman, W.N.; Birkmire, R.W. Structural and Optical Properties of (Ag,Cu)(In,Ga)Se2 Polycrystalline Thin Film Alloys. J. Appl. Phys. 2014, 115, 223504. [Google Scholar] [CrossRef]
  76. Erslev, P.T.; Lee, J.; Hanket, G.M.; Shafarman, W.N.; Cohen, J.D. The Electronic Structure of Cu(In1-xGax)Se2 Alloyed with Silver. Thin Solid Film. 2011, 519, 7296–7299. [Google Scholar] [CrossRef]
  77. Hanket, G.M.; Boyle, J.H.; Shafarman, W.N. Characterization and Device Performance of (AgCu)(InGa)Se2 Absorber Layers. In Proceedings of the 2009 34th IEEE Photovoltaic Specialists Conference (PVSC), Philadelphia, PA, USA, 7–12 June 2009; pp. 001240–001245. [Google Scholar]
  78. Kim, K.; Park, J.W.; Yoo, J.S.; Cho, J.; Lee, H.-D.; Yun, J.H. Ag Incorporation in Low-Temperature Grown Cu(In,Ga)Se2 Solar Cells Using Ag Precursor Layers. Sol. Energy Mater. Sol. Cells 2016, 146, 114–120. [Google Scholar] [CrossRef]
  79. Cheng, K.; Shen, X.; Liu, J.; Liu, X.; Du, Z. Sputtered Ag-Alloyed Cu(In, Ga)(Se, S)2 Solar Cells by Sequential Process. Sol. Energy 2021, 217, 70–77. [Google Scholar] [CrossRef]
  80. Tu, L.-H.; Tran, N.T.T.; Lin, S.-K.; Lai, C.-H. Efficiency Boost of (Ag0.5,Cu0.5)(In1-x,Gax)Se2 Thin Film Solar Cells by Using a Sequential Process: Effects of Ag-Front Grading and Surface Phase Engineering. Adv. Energy Mater. 2023, 13, 2301227. [Google Scholar] [CrossRef]
  81. Keller, J.; Sopiha, K.V.; Stolt, O.; Stolt, L.; Persson, C.; Scragg, J.J.S.; Törndahl, T.; Edoff, M. Wide-Gap (Ag,Cu)(In,Ga)Se2 Solar Cells with Different Buffer Materials—A Path to a Better Heterojunction. Prog. Photovolt. Res. Appl. 2020, 28, 237–250. [Google Scholar] [CrossRef]
  82. Hanket, G.M.; Thompson, C.P.; Larsen, J.K.; Eser, E.; Shafarman, W.N. Control of Ga Profiles in (AgCu)(InGa)Se2 Absorber Layers Deposited on Polyimide Substrates. In Proceedings of the 2012 38th IEEE Photovoltaic Specialists Conference, Austin, TX, USA, 3–8 June 2012; pp. 000662–000667. [Google Scholar]
  83. Valdes, N.H.; Lee, J.; Shafarman, W.N. Ag Alloying and KF Treatment Effects on Low Bandgap CuInSe2 Solar Cells. IEEE J. Photovolt. 2019, 9, 906–911. [Google Scholar] [CrossRef]
  84. Kim, G.; Kim, W.M.; Park, J.-K.; Kim, D.; Yu, H.; Jeong, J. Thin Ag Precursor Layer-Assisted Co-Evaporation Process for Low-Temperature Growth of Cu(In,Ga)Se2 Thin Film. ACS Appl. Mater. Interfaces 2019, 11, 31923–31933. [Google Scholar] [CrossRef]
  85. Prathapani, S.; Gharabeiki, S.; Lauche, J.; Schwiddessen, R.; Reyes-Figueroa, P.; Weinberger, N.; Melchiorre, M.; Schlatmann, R.; Lauermann, I.; Kaufmann, C.A. Impact of Minimal Silver Incorporation on Chalcopyrite Absorbers—Origins for Improved Open-Circuit Voltages in (Ag,Cu)(In,Ga)Se2 Solar Cells. Sol. RRL 2025, 9, 2400863. [Google Scholar] [CrossRef]
  86. Tom, T.; Lontchi, J.; Rebai, A.; Dufoulon, V.; Guillemoles, J.-F.; Naghavi, N. Ag-Alloying of CIGS Absorber Layers: Impact of the Composition, Rubidium Fluoride Post-Treatment and Bandgap Variations. J. Phys. Energy 2025, 7, 045005. [Google Scholar] [CrossRef]
  87. Kuo, S.-Y.; Hsieh, M.-Y.; Hsieh, D.-H.; Kuo, H.-C.; Chen, C.-H.; Lai, F.-I. Device Modeling of the Performance of Cu(In,Ga)Se2 Solar Cells with V-Shaped Bandgap Profiles. Int. J. Photoenergy 2014, 2014, 186579. [Google Scholar] [CrossRef]
  88. Saadat, M.; Moradi, M.; Zahedifar, M. CIGS Absorber Layer with Double Grading Ga Profile for Highly Efficient Solar Cells. Superlattices Microstruct. 2016, 92, 303–307. [Google Scholar] [CrossRef]
  89. Avancini, E.; Carron, R.; Bissig, B.; Reinhard, P.; Menozzi, R.; Sozzi, G.; Di Napoli, S.; Feurer, T.; Nishiwaki, S.; Buecheler, S.; et al. Impact of Compositional Grading and Overall Cu Deficiency on the Near-Infrared Response in Cu(In, Ga)Se2 Solar Cells. Prog. Photovolt. Res. Appl. 2017, 25, 233–241. [Google Scholar] [CrossRef]
  90. Jackson, P.; Wuerz, R.; Hariskos, D.; Lotter, E.; Witte, W.; Powalla, M. Effects of Heavy Alkali Elements in Cu(In,Ga)Se2 Solar Cells with Efficiencies up to 22.6%. Phys. Rapid Res. Lett. 2016, 10, 583–586. [Google Scholar] [CrossRef]
  91. Keller, D.; Buecheler, S.; Reinhard, P.; Pianezzi, F.; Bissig, B.; Carron, R.; Hage, F.; Ramasse, Q.; Erni, R.; Tiwari, A.N. Band Gap Widening at Random CIGS Grain Boundary Detected by Valence Electron Energy Loss Spectroscopy. Appl. Phys. Lett. 2016, 109, 153103. [Google Scholar] [CrossRef]
  92. Nicoara, N.; Manaligod, R.; Jackson, P.; Hariskos, D.; Witte, W.; Sozzi, G.; Menozzi, R.; Sadewasser, S. Direct Evidence for Grain Boundary Passivation in Cu(In,Ga)Se2 Solar Cells through Alkali-Fluoride Post-Deposition Treatments. Nat. Commun. 2019, 10, 3980. [Google Scholar] [CrossRef]
  93. Raghuwanshi, M.; Wuerz, R.; Cojocaru-Mirédin, O. Interconnection between Trait, Structure, and Composition of Grain Boundaries in Cu(In,Ga)Se2 Thin-Film Solar Cells. Adv. Funct. Mater. 2020, 30, 2001046. [Google Scholar] [CrossRef]
  94. Ochoa, M.; Buecheler, S.; Tiwari, A.N.; Carron, R. Challenges and Opportunities for an Efficiency Boost of next Generation Cu(In,Ga)Se2 Solar Cells: Prospects for a Paradigm Shift. Energy Environ. Sci. 2020, 13, 2047–2055. [Google Scholar] [CrossRef]
  95. Ma, C.; Ding, C.; Guo, H.; Liu, Y.; Chen, N.; Li, Y.; Xiang, C.; Wang, S.; Yan, W.; Xiao, K.; et al. Ag-Alloying Enables Wide-Bandgap (1.69 eV) Chalcopyrite Solar Cell with 11.5% Efficiency and over 900 mV Open Circuit Voltage from Molecular Solution. Nano Res. 2025, 18, 94907972. [Google Scholar] [CrossRef]
  96. Tom, T.; Lontchi, J.; Rebai, A.; Dufoulon, V.; Cacovich, S.; Raimondi, T.; Guillemoles, J.-F.; Naghavi, N. Unlocking High Efficiency in (Ag,Cu)(In,Ga)Se2 Solar Cells: A Parametric Study on Silver Alloying. In Proceedings of the 2025 IEEE 53rd Photovoltaic Specialists Conference (PVSC), Montreal, QC, Canada, 8–13 June 2025; pp. 0661–0663. [Google Scholar]
  97. Huang, Z. Silver-Alloyed CIGS Thin-Film Solar Cells on Flexible Stainless-Steel Substrate. Ph.D. Thesis, The City University of New York, New York, NY, USA, 2025. [Google Scholar]
  98. Li, W.; Chen, L.; Wang, D.; Liang, B.; Shao, X.; Sun, Y.; Yang, C. Defect Engineering via Ag and Na Co-Doping in Wide-Bandgap CIGS: From Interfacial Suppression to Bulk Enhancement. Mater. Futures 2025, 4, 045105. [Google Scholar] [CrossRef]
  99. Kamikawa, Y.; Nishinaga, J.; Nishida, T.; Ishizuka, S. Highly Efficient Lightweight Flexible Cu(In,Ga)Se2 Solar Cells with a Narrow Bandgap Fabricated on Polyimide Substrates: Impact of Ag Alloying, Cs and Na Doping, and Front Shallow Ga Grading on Cell Performance. Small Sci. 2025, 5, 2400404. [Google Scholar] [CrossRef] [PubMed]
Figure 1. The effect of sulfurization on elemental profile and device performance. (a) Glow discharge optical emission spectroscopy (GDOES) depth profiles of the relative S/(S + Se) intensity for absorbers with a wide range of CGI ratios after sulfurization at 530 °C for 10 min. (b) Photovoltaic parameters (champion cell and average ± standard deviation) of solar cells with different CGI ratios, comparing devices with (20 min) and without a post-sulfurization step at 530 °C [29].
Figure 1. The effect of sulfurization on elemental profile and device performance. (a) Glow discharge optical emission spectroscopy (GDOES) depth profiles of the relative S/(S + Se) intensity for absorbers with a wide range of CGI ratios after sulfurization at 530 °C for 10 min. (b) Photovoltaic parameters (champion cell and average ± standard deviation) of solar cells with different CGI ratios, comparing devices with (20 min) and without a post-sulfurization step at 530 °C [29].
Energies 18 06089 g001
Figure 2. The sulfurization process flow and its impact on bandgap profile. (a) Proposed reaction pathways during absorber formation via the SAS method [32]. (b) Voc deficit versus Eg for CIGSe solar cells fabricated by the conventional and optimized SAS recipes [33]. (c) Comparison of typical Eg profile between conventional and modified absorber, calculated from GD-OES compositional depth profiles [41].
Figure 2. The sulfurization process flow and its impact on bandgap profile. (a) Proposed reaction pathways during absorber formation via the SAS method [32]. (b) Voc deficit versus Eg for CIGSe solar cells fabricated by the conventional and optimized SAS recipes [33]. (c) Comparison of typical Eg profile between conventional and modified absorber, calculated from GD-OES compositional depth profiles [41].
Energies 18 06089 g002
Figure 3. The evolution of CIGSeS thin film with respect to the sulfurization time. (a) 112 peaks of the CIGSeS films. SIMS element depth profile of CIGSSe thin films with (b) 5 min, and (c) 40 min reaction [45]. (d) Auger depth profile for an exfoliated CIGSSe films before and after hear soaking [46].
Figure 3. The evolution of CIGSeS thin film with respect to the sulfurization time. (a) 112 peaks of the CIGSeS films. SIMS element depth profile of CIGSSe thin films with (b) 5 min, and (c) 40 min reaction [45]. (d) Auger depth profile for an exfoliated CIGSSe films before and after hear soaking [46].
Energies 18 06089 g003
Figure 4. The influence of different buffer layer on S-rich CIGSeS devices. (a) Schematic band diagrams for CdS/CIGSeS and (Cd,Zn)S/CIGSeS p–n junction structures. (b) Light J–V and (c) EQE curves of the CIGSeS thin film solar cells with each buffer layer [48].
Figure 4. The influence of different buffer layer on S-rich CIGSeS devices. (a) Schematic band diagrams for CdS/CIGSeS and (Cd,Zn)S/CIGSeS p–n junction structures. (b) Light J–V and (c) EQE curves of the CIGSeS thin film solar cells with each buffer layer [48].
Energies 18 06089 g004
Figure 5. Influence of GGI on the photoelectric response of CIGS Devices. (a) GGI distribution and (b) corresponding external quantum efficiency (EQE) spectra for samples R2, P1–P5 [61]; (ce) Compositional depth profiles of CIGSe (or CIGSSe) films after (c) 1st step, (d) 2nd step, and (e) 3rd step [62].
Figure 5. Influence of GGI on the photoelectric response of CIGS Devices. (a) GGI distribution and (b) corresponding external quantum efficiency (EQE) spectra for samples R2, P1–P5 [61]; (ce) Compositional depth profiles of CIGSe (or CIGSSe) films after (c) 1st step, (d) 2nd step, and (e) 3rd step [62].
Energies 18 06089 g005
Figure 6. The influence of selenium vapor pressure (PSe) on elemental profiles and device performance. (a) Schematic diagram of the role of high and low PSe in Ga diffusion. (b) Compositional profile of CIGS thin films selenized at different PSe respectively after process S and process F (“S”and “F” represent starting point and finishing point of selenization) [73]. (c) GGI profiles in CIGS thin films fabricated by co-sputtering CIGSe and CGSe targets, and (d) the J–V curves of their corresponding devices [74].
Figure 6. The influence of selenium vapor pressure (PSe) on elemental profiles and device performance. (a) Schematic diagram of the role of high and low PSe in Ga diffusion. (b) Compositional profile of CIGS thin films selenized at different PSe respectively after process S and process F (“S”and “F” represent starting point and finishing point of selenization) [73]. (c) GGI profiles in CIGS thin films fabricated by co-sputtering CIGSe and CGSe targets, and (d) the J–V curves of their corresponding devices [74].
Energies 18 06089 g006
Figure 7. Mechanism of Ag doping on bandgap of CIGSe. Electronic properties of ACIGS from first-principles calculations: (a) bandgap versus the composition and (b) corresponding CBM and VBM [81]; (c) various phase formations during selenization for T-ACIGSe and B-ACIGSe; (d) depth profiles of AAC and GGI for T-ACIGSe and B-ACIGSe [80].
Figure 7. Mechanism of Ag doping on bandgap of CIGSe. Electronic properties of ACIGS from first-principles calculations: (a) bandgap versus the composition and (b) corresponding CBM and VBM [81]; (c) various phase formations during selenization for T-ACIGSe and B-ACIGSe; (d) depth profiles of AAC and GGI for T-ACIGSe and B-ACIGSe [80].
Energies 18 06089 g007
Figure 8. The influence of Ag doping on the microscopic morphology and the elemental profiles. (af) SEM images of CIGSe solar cells fabricated at 450 °C with Ag precursor layer thickness: (a) 0 nm, (b) 1 nm, (c) 5 nm, (d) 10 nm, (e) 15 nm, (f) 20 nm [84]. (g) The Ga gradient profiles in the resultant ACIGS films, corresponding to the Ag precursor film thickness from 0 to 20 nm [84]. (hm) GDOES depth profiles on ACIGSe absorbers, (h) at the end of stage-2 (530 °C, ACGI  =  0.99–1.03), (ij) at the end of stage-3 (530 °C) with CGI ratios of (i) 0.86 and (j) 0.81, respectively; (km) influence of Ag on Ga distribution at the end of stage-3 for absorbers processed at (k) 530, (l) 450, and (m) 370 °C. Adapted from [85].
Figure 8. The influence of Ag doping on the microscopic morphology and the elemental profiles. (af) SEM images of CIGSe solar cells fabricated at 450 °C with Ag precursor layer thickness: (a) 0 nm, (b) 1 nm, (c) 5 nm, (d) 10 nm, (e) 15 nm, (f) 20 nm [84]. (g) The Ga gradient profiles in the resultant ACIGS films, corresponding to the Ag precursor film thickness from 0 to 20 nm [84]. (hm) GDOES depth profiles on ACIGSe absorbers, (h) at the end of stage-2 (530 °C, ACGI  =  0.99–1.03), (ij) at the end of stage-3 (530 °C) with CGI ratios of (i) 0.86 and (j) 0.81, respectively; (km) influence of Ag on Ga distribution at the end of stage-3 for absorbers processed at (k) 530, (l) 450, and (m) 370 °C. Adapted from [85].
Energies 18 06089 g008
Figure 9. The influence of Ag doping on the bandgap profile. (a) Depth profiles of GGI, AAC and normalized Cd, Mo and Rb signal. (b) DF-STEM image of the back-contact region, overlaid with (c) a semi-transparent Rb concentration map. (dj) corresponding elemental distribution maps near the Mo back contact. Adapted from [4].
Figure 9. The influence of Ag doping on the bandgap profile. (a) Depth profiles of GGI, AAC and normalized Cd, Mo and Rb signal. (b) DF-STEM image of the back-contact region, overlaid with (c) a semi-transparent Rb concentration map. (dj) corresponding elemental distribution maps near the Mo back contact. Adapted from [4].
Energies 18 06089 g009
Table 1. PV parameters of state-of-the-art (A)CIGS solar cells from the literature [4].
Table 1. PV parameters of state-of-the-art (A)CIGS solar cells from the literature [4].
Voc (mV)Jsc (mA/cm2)FF (%)η (%)
ZSW 201674137.880.622.6
SF 201973439.680.423.35
UU 202376738.380.523.64
Disclaimer/Publisher’s Note: The statements, opinions and data contained in all publications are solely those of the individual author(s) and contributor(s) and not of MDPI and/or the editor(s). MDPI and/or the editor(s) disclaim responsibility for any injury to people or property resulting from any ideas, methods, instructions or products referred to in the content.

Share and Cite

MDPI and ACS Style

Wu, Z.; Tao, S.; Jia, M.; Han, J.; Zhou, J.; Baranova, M.; Gong, Q.; Zhuang, D.; Zhao, M. Bandgap Engineering of CIGS: Active Control of Composition Gradient. Energies 2025, 18, 6089. https://doi.org/10.3390/en18236089

AMA Style

Wu Z, Tao S, Jia M, Han J, Zhou J, Baranova M, Gong Q, Zhuang D, Zhao M. Bandgap Engineering of CIGS: Active Control of Composition Gradient. Energies. 2025; 18(23):6089. https://doi.org/10.3390/en18236089

Chicago/Turabian Style

Wu, Zhihao, Shengye Tao, Mengyao Jia, Junsu Han, Jihui Zhou, Maria Baranova, Qianming Gong, Daming Zhuang, and Ming Zhao. 2025. "Bandgap Engineering of CIGS: Active Control of Composition Gradient" Energies 18, no. 23: 6089. https://doi.org/10.3390/en18236089

APA Style

Wu, Z., Tao, S., Jia, M., Han, J., Zhou, J., Baranova, M., Gong, Q., Zhuang, D., & Zhao, M. (2025). Bandgap Engineering of CIGS: Active Control of Composition Gradient. Energies, 18(23), 6089. https://doi.org/10.3390/en18236089

Note that from the first issue of 2016, this journal uses article numbers instead of page numbers. See further details here.

Article Metrics

Article metric data becomes available approximately 24 hours after publication online.
Back to TopTop