Sign in to use this feature.

Years

Between: -

Subjects

remove_circle_outline
remove_circle_outline
remove_circle_outline
remove_circle_outline
remove_circle_outline
remove_circle_outline
remove_circle_outline
remove_circle_outline
remove_circle_outline

Journals

remove_circle_outline
remove_circle_outline
remove_circle_outline
remove_circle_outline
remove_circle_outline
remove_circle_outline
remove_circle_outline
remove_circle_outline
remove_circle_outline
remove_circle_outline
remove_circle_outline
remove_circle_outline
remove_circle_outline
remove_circle_outline

Article Types

Countries / Regions

remove_circle_outline
remove_circle_outline
remove_circle_outline
remove_circle_outline

Search Results (1,452)

Search Parameters:
Keywords = surface sulfurization

Order results
Result details
Results per page
Select all
Export citation of selected articles as:
20 pages, 1668 KB  
Article
Bacterial and Fungal Communities Associated with the Ectomycorrhizospheric Soil and Stem Endosphere of the Mycoheterotrophic Plant Monotropa uniflora
by Leandro Alberto Núñez-Muñoz, Brenda Yazmín Vargas-Hernández, Melissa Cheryn García-Sierra, Berenice Calderón-Pérez, Beatriz Xoconostle-Cázares and Roberto Ruiz-Medrano
Plants 2026, 15(8), 1145; https://doi.org/10.3390/plants15081145 - 8 Apr 2026
Abstract
The mycoheterotrophic plant Monotropa uniflora relies on fungal symbionts for carbon and nutrient acquisition. However, its interactions with other microbial groups, beyond ectomycorrhizal fungi, remain unexplored. Here, we characterized bacterial and fungal communities associated with M. uniflora across two compartments: ectomycorrhizospheric soil linked [...] Read more.
The mycoheterotrophic plant Monotropa uniflora relies on fungal symbionts for carbon and nutrient acquisition. However, its interactions with other microbial groups, beyond ectomycorrhizal fungi, remain unexplored. Here, we characterized bacterial and fungal communities associated with M. uniflora across two compartments: ectomycorrhizospheric soil linked to the mycorrhizal network and the surface-sterilized lower stem endosphere. Microbial community composition was assessed using high-throughput amplicon sequencing of the bacterial 16S rRNA gene and the fungal ITS region. Fungal richness was consistently higher in ectomycorrhizospheric soil than in the stem endosphere, whereas bacterial alpha diversity showed no consistent differences between compartments. Multivariate analyses suggested compartment-associated patterns in both bacterial and fungal community composition. Ectomycorrhizospheric soil was dominated by saprotrophic fungal taxa and bacterial groups with predicted metabolic potential, including taxa associated with iron, sulfur and nitrogen cycling. In contrast, the lower stem endosphere was enriched in bacterial taxa commonly associated with anaerobic and nitrogen-related metabolisms. Functional predictions further suggested an increase of carbon fixation-related pathways in rhizosphere-associated bacterial communities. Together, these results indicate that M. uniflora is associated with distinct and structured microbial assemblages across soil and internal plant compartments, highlighting the predicted functional potential of bacterial communities in nutrient- and carbon-related processes in mycoheterotrophic plant–soil systems alongside fungal partners. Full article
(This article belongs to the Section Plant Protection and Biotic Interactions)
21 pages, 7326 KB  
Article
Upcycling Coal Gangue and Phosphate Tailings into Layered Double Hydroxides for Simultaneous Remediation of Cr (VI), Cd (II) and Ni (II) in Contaminated Soils
by Qinhan Ye, Pei Zhao, Xuan Xia, Yang Xiao and Xinhong Qiu
Separations 2026, 13(4), 112; https://doi.org/10.3390/separations13040112 - 4 Apr 2026
Viewed by 142
Abstract
Two mineral-based solid residues, namely coal gangue (CG) and phosphorus tailings (PT), two of the largest solid waste streams in the mining industry, were used as the sole metal feedstocks to fabricate a novel MgCaFeAl layered double hydroxide (LDH-GT) via a 700 °C [...] Read more.
Two mineral-based solid residues, namely coal gangue (CG) and phosphorus tailings (PT), two of the largest solid waste streams in the mining industry, were used as the sole metal feedstocks to fabricate a novel MgCaFeAl layered double hydroxide (LDH-GT) via a 700 °C calcination, acid leaching and hydrothermal coprecipitation route, with simultaneous synthesis of white carbon black from the reaction byproducts. Under optimized conditions (total metal load is 150 mg kg−1, LDH-GT dose is 0.09 g, pH from 6 to 7), the synthesized material achieved concurrent immobilization efficiencies of 76.28%, 99.96%, and 99.95% for Cr (VI), Cd (II) and Ni (II), respectively, within a 24 h reaction period. TCLP leachability decreased by 82 to 91% relative to the untreated soil. After three wetting, drying and freeze–thaw cycles, the leached concentrations of all three metals remained below 0.3 mg L−1, confirming excellent long-term stability. Mechanistic analyses revealed that Cr (VI) was mainly sequestered through interlayer anion exchange and surface complexation, whereas Cd (II) and Ni (II) were immobilized via isomorphic substitution into the LDH lattice, precipitation as carbonates, and incorporation into Fe/Mn oxides. A 7-day mung bean bioassay showed that LDH-GT amendment increased seed germination from 50% to 73%, enhanced root and shoot biomass by 1.1- to 1.6-fold, and decreased plant Cr, Cd, and Ni contents by over 80%. The 16S rRNA sequencing further demonstrated that LDH-GT reversed the decline in microbial α diversity induced by heavy metal stress, restored aerobic chemoheterotrophic and sulfur cycling functional guilds, and reduced pathogenic signatures. This study provides the demonstration of a waste-to-resource LDH that achieves efficient, durable remediation of multi-metal-contaminated soils, offering a scalable route for coupling solid waste valorization with in situ site restoration. Full article
(This article belongs to the Special Issue Separation Technology for Metal Extraction and Removal)
Show Figures

Figure 1

16 pages, 13658 KB  
Article
Adsorption Mechanism of Elemental Sulfur in High-Sulfur Gas Reservoirs Based on Molecular Simulation and Monte Carlo Methods
by Mingdi Zhang, Guangdong Zhang, Xuejing Weng and Qi Feng
Energies 2026, 19(7), 1756; https://doi.org/10.3390/en19071756 - 3 Apr 2026
Viewed by 200
Abstract
Elemental sulfur deposition in sulfur-bearing gas fields can disrupt gas well production and create safety risks, making it essential to understand its deposition mechanisms. While previous studies have examined sulfur adsorption on single minerals, the behavior in carbonate mixed minerals remains unclear. This [...] Read more.
Elemental sulfur deposition in sulfur-bearing gas fields can disrupt gas well production and create safety risks, making it essential to understand its deposition mechanisms. While previous studies have examined sulfur adsorption on single minerals, the behavior in carbonate mixed minerals remains unclear. This study uses molecular simulations to investigate elemental sulfur adsorption in calcite–dolomite mixed slit models. Results show that, at the same slit size, sulfur adsorption increases with pressure and temperature, with adsorption amounts ranging from 5.95 × 10−5 to 1.08 × 10−2 mg/m2. Pressure has little effect on adsorption heat, whereas higher temperatures reduce it. At equilibrium, sulfur molecules preferentially adsorb on calcite. Increasing pressure raises sulfur adsorption on calcite, while higher temperatures enhance adsorption on both mineral surfaces. Compared with single-mineral slits, competitive adsorption in mixed systems leads to a less uniform sulfur distribution on calcite. These findings provide theoretical insights into sulfur deposition mechanisms and prevention strategies for high-sulfur gas reservoirs. Full article
Show Figures

Figure 1

22 pages, 14184 KB  
Review
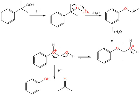
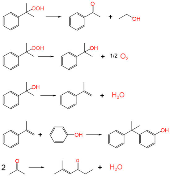
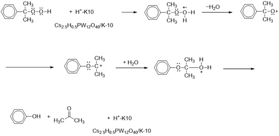
Heterogeneous Solid Acid Catalysts for the Hock Cleavage of Cumene Hydroperoxide: Mechanism, Catalyst Design, and Industrial Perspectives
by Kai Yang, Feng Shi and Guochao Yang
Catalysts 2026, 16(4), 329; https://doi.org/10.3390/catal16040329 - 2 Apr 2026
Viewed by 193
Abstract
The cleavage of cumene hydroperoxide (CHP) via the Hock rearrangement is a cornerstone process in the chemical industry, responsible for over 90% of global phenol and acetone production. Despite its industrial significance, the conventional use of homogeneous sulfuric acid catalysis presents critical drawbacks, [...] Read more.
The cleavage of cumene hydroperoxide (CHP) via the Hock rearrangement is a cornerstone process in the chemical industry, responsible for over 90% of global phenol and acetone production. Despite its industrial significance, the conventional use of homogeneous sulfuric acid catalysis presents critical drawbacks, including severe equipment corrosion, generation of hazardous waste, and the need for complex neutralization steps. This review explores the transition toward heterogeneous solid acid catalysts as a sustainable alternative, emphasizing the relationship between catalyst structure, surface acidity, and reaction performance. Key catalyst families—such as ion-exchange resins, zeolites, and heteropolyacids—are systematically evaluated, with a focus on how Brønsted acid site density and porous architecture influence catalytic activity and selectivity. Particular attention is given to deactivation mechanisms, including coking, leaching of active species, and poisoning by inorganic cations, alongside mitigation strategies enabled by rational catalyst design and regeneration protocols. Additionally, we highlight recent progress in reactor engineering, particularly the integration of solid acid catalysts in reactive distillation and microchannel configurations. These insights offer a strategic perspective for developing more efficient and environmentally benign industrial processes for the Hock cleavage of cumene hydroperoxide. Full article
(This article belongs to the Special Issue Feature Papers in "Industrial Catalysis" Section, 3rd Edition)
Show Figures

Figure 1

12 pages, 3127 KB  
Article
Stabilizing the Sealing Performance of EPDM by the Incorporation of a ZIF-8 Network
by Jiahui Chen, Qian Peng, Huadong Liu, Xingtao Xiao, Xiaotao Fu, Hanlin Wen, Zhicheng Huang, Fangqiang Wang and Xiaoliang Zeng
Polymers 2026, 18(7), 874; https://doi.org/10.3390/polym18070874 - 2 Apr 2026
Viewed by 241
Abstract
Ethylene–propylene–diene monomer rubber (EPDM) is commonly used as a gas-tight sealing material in electrical equipment. Factors such as media exposure, thermal oxidative stress, and abrasion frequently cause deterioration of EPDM’s mechanical properties, significantly compromising the reliability of electrical equipment. Traditional activator ZnO provides [...] Read more.
Ethylene–propylene–diene monomer rubber (EPDM) is commonly used as a gas-tight sealing material in electrical equipment. Factors such as media exposure, thermal oxidative stress, and abrasion frequently cause deterioration of EPDM’s mechanical properties, significantly compromising the reliability of electrical equipment. Traditional activator ZnO provides limited enhancement to the properties of EPDM. The reaction between Zn2+ on the surface of zinc oxide interacts with the accelerator during curing of rubber, forming zinc chelates, which interact with sulfur to form zinc polysulfide complexes. But the release of zinc complexes has adverse effects on humans and ecosystems. To reduce ZnO usage and further improve the performance of EPDM in terms of mechanical properties and aging resistance, zeolitic imidazolate framework-8 (ZIF-8) is developed as a multifunctional additive in this work. Mechanical testing demonstrates that the incorporation of ZIF-8 enhances the mechanical performance and resistance to thermal oxidative aging of EPDM. Crosslink density testing, FTIR, and XPS show that ZIF-8 promotes the crosslinking reaction during rubber curing, resulting in improved mechanical performance for EPDM. Analysis of crosslinking density testing and SEM images shows that EPDM-ZIF-8 composite exhibits a slower increase in crosslinking density during thermal oxidative aging. TGA results indicate that ZIF-8 enhances the thermal stability of EPDM, which leads to improved aging resistance properties. This study provides new insights for the design and development of rubber composite materials, offering a reliable solution to the challenge of seal failure in electrical equipment. Full article
Show Figures

Figure 1

22 pages, 1614 KB  
Article
First Results on the Impact of Preharvest Application of Native Non-Saccharomyces Yeasts on Primitivo Wine Composition
by Teodora Basile, Giambattista Debiase, Francesco Mazzone, Giuseppe Dipierro, Margherita D’Amico, Flavia Angela Maria Maggiolini, Rocco Perniola, Lucia Rosaria Forleo, Carlo Bergamini, Maria Francesca Cardone and Antonio Domenico Marsico
Beverages 2026, 12(4), 42; https://doi.org/10.3390/beverages12040042 - 1 Apr 2026
Viewed by 273
Abstract
This work evaluates how the vineyard-level application of selected indigenous non-Saccharomyces yeasts influences the chemical and aromatic profile of Primitivo wines, focusing on fermentation-derived metabolites and phenolic composition. The traditional method for making red wine relies on the use of sulfur dioxide [...] Read more.
This work evaluates how the vineyard-level application of selected indigenous non-Saccharomyces yeasts influences the chemical and aromatic profile of Primitivo wines, focusing on fermentation-derived metabolites and phenolic composition. The traditional method for making red wine relies on the use of sulfur dioxide (SO2) to ensure wine preservation, prevent oxidation, and produce microbiologically stable products. Applying beneficial non-Saccharomyces yeasts to grape surfaces shortly before harvest is a novel winemaking biotechnology aimed at producing wines with reduced SO2 inputs. This approach can influence fermentation outcomes, modulate wine chemistry, and reinforce regional identity. The produced wines were analyzed for conventional oenological parameters, as well as for their phenolic and aromatic profiles. Results showed that field applications of our strains of L. thermotolerans and St. bacillaris positively modulate both the phenolic and aromatic profile of young Primitivo wine produced with reduced amounts of SO2. Full article
Show Figures

Figure 1

37 pages, 2913 KB  
Review
Non-Precious Electrocatalysts for Alkaline Oxygen Evolution: Transition Metal Compounds, Carbon Supports, and Metal-Free Systems
by Kristina Radinović, Aleksandar Mijajlović, Dušan Mladenović, David Tomić, Ana Nastasić, Dalibor Stanković and Jadranka Milikić
Processes 2026, 14(7), 1085; https://doi.org/10.3390/pr14071085 - 27 Mar 2026
Viewed by 478
Abstract
The oxygen evolution reaction (OER), a key half-reaction in electrochemical water splitting, is limited by sluggish multi-electron transfer kinetics, starting extensive research into efficient, low-cost nanoscale electrocatalysts, particularly those based on nickel, cobalt, and iron, as well as mixed-metal, hybrid, and heteroatom-doped carbon-based [...] Read more.
The oxygen evolution reaction (OER), a key half-reaction in electrochemical water splitting, is limited by sluggish multi-electron transfer kinetics, starting extensive research into efficient, low-cost nanoscale electrocatalysts, particularly those based on nickel, cobalt, and iron, as well as mixed-metal, hybrid, and heteroatom-doped carbon-based metal-free systems, as presented here. Ni- and Co-based electrocatalysts show high efficiency for alkaline OER due to optimized nanostructures, surface modifications, heterostructure design, and multi-metal doping, which enhance activity, stability, and electronic properties. Their performance relies on precise atomic-level control of structure and synergistic interactions, enabling them to approach or rival noble-metal catalysts. Iron-based electrocatalysts are also promising due to their abundance, low cost, and flexible redox chemistry, forming active iron oxyhydroxide species during operation; however, their low conductivity requires structural and electronic optimization. Beyond Fe, Ni, and Co, copper-based compounds, zeolitic imidazolate framework-derived structures, and manganese phosphide–cerium oxide composites offer enhanced oxygen vacancies, tunable structures, and strong interfacial synergy. Furthermore, heteroatom-doped carbon materials incorporating nitrogen, phosphorus, or sulfur improve catalytic activity by modifying electronic structure, creating active sites, and enhancing charge transfer. Overall, careful control of composition, structure, and electronic properties enables the development of efficient, durable, and scalable noble-metal-free catalysts for OER. Full article
(This article belongs to the Special Issue Feature Review Papers in Section "Chemical Processes and Systems")
Show Figures

Figure 1

25 pages, 8352 KB  
Article
Efficient Leaching and Kinetic Analysis of Rare Earth Elements from Rare-Earth-Enriched Residues of Associated Rare Earth Phosphate Ores
by Jiawei Lin, Jue Kou, Chunbao Sun, Hongda Xu and Xiaojin Wen
Minerals 2026, 16(4), 351; https://doi.org/10.3390/min16040351 - 26 Mar 2026
Viewed by 249
Abstract
The efficient recovery of rare earth elements from associated rare-earth-bearing phosphate ores is of paramount importance for expanding the supply of rare earth resources. In contrast to conventional studies that focus on extracting rare earths either from phosphate concentrates or from phosphogypsum generated [...] Read more.
The efficient recovery of rare earth elements from associated rare-earth-bearing phosphate ores is of paramount importance for expanding the supply of rare earth resources. In contrast to conventional studies that focus on extracting rare earths either from phosphate concentrates or from phosphogypsum generated during the sulfuric acid wet-process, this study takes as its subject the rare-earth-enriched residue—an intermediate product obtained after the selective leaching of phosphorus via the hydrochloric acid route—from a rare-earth-bearing phosphate ore in Zhijin, Guizhou Province. The occurrence states, leaching behavior, and kinetic mechanisms of rare earth elements within this residue were systematically elucidated. Analyses using scanning electron microscopy coupled with energy-dispersive spectroscopy (SEM–EDS) and aberration-corrected scanning transmission electron microscopy (STEM) reveal that rare earth elements are hosted in residual fluorapatite and newly formed CaF2 through isomorphic substitution. The substitution of REE3+ for Ca2+ induces lattice contraction in CaF2, with the interplanar spacing decreasing from 0.27 nm to 0.26 nm. Through single-factor experiments and response surface methodology (RSM) optimization, the optimal leaching conditions were determined to be a temperature of 80 °C, a leaching time of 120 min, a hydrochloric acid dosage of 160% of the theoretical requirement, a solid–liquid ratio of 1:6, and a agitation speed of 500 r·min−1. Under these conditions, the leaching efficiency of rare earth elements reached as high as 92.69%. Kinetic analysis indicates that the leaching process follows the shrinking-core model, with the rate controlled by diffusion through the solid product layer. The apparent activation energy was calculated to be 37.2 kJ·mol−1, characteristic of a diffusion-controlled process. Furthermore, response surface analysis of variance confirms that leaching temperature and time are the most significant factors influencing rare earth leaching. This study elucidates, from multiple perspectives, the leaching mechanism of rare earth elements from enriched residues within a hydrochloric acid system, thereby providing important theoretical support for the efficient recovery and process optimization of rare earth resources from associated phosphate ores. Full article
Show Figures

Figure 1

18 pages, 2185 KB  
Article
Boosting NH3-Selective Catalytic Reduction of NOx by Cooperation of Nb and Boron Nitride to V-Based Catalyst over a Wide Temperature Window
by Bora Jeong, Myeung-Jin Lee, Ho Sung Jang, Sunmi Shin, Tae-hyung Kim, Heesoo Lee and Hong-Dae Kim
Appl. Nano 2026, 7(1), 9; https://doi.org/10.3390/applnano7010009 - 19 Mar 2026
Viewed by 278
Abstract
The commercialization of V-based catalysts for the selective catalytic reduction of NOx by NH3 (NH3-SCR) is hindered by their narrow operating temperature window, insufficient low-temperature (LT) activity, and severe SO2-to-SO3 oxidation. To bridge this gap, we herein [...] Read more.
The commercialization of V-based catalysts for the selective catalytic reduction of NOx by NH3 (NH3-SCR) is hindered by their narrow operating temperature window, insufficient low-temperature (LT) activity, and severe SO2-to-SO3 oxidation. To bridge this gap, we herein introduced Nb and hexagonal BN into a VW/TiO2 system to simultaneously enhance its LT SCR activity, suppress undesired side reactions, and improve durability. Nb incorporation promoted V5+/V4+ redox cycling and enhanced lattice oxygen mobility, thus reducing the apparent activation energy and suppressing SO2 oxidation at elevated temperatures. However, excessive Nb loading induced NH3 oxidation and N2O formation. This drawback was mitigated by introducing BN as a dispersion promoter, which helped secure high catalytic performance at a reduced Nb content. The VWNb/Ti-BN catalyst achieved superior NOx conversion and N2 selectivity over a wide temperature range and benefited from notably suppressed NH3 oxidation and SO2-to-SO3 oxidation. Kinetic analysis revealed that Nb primarily lowered the reaction energy barrier via redox property enhancement, whereas BN accelerated surface reaction turnover by stabilizing and dispersing active acidic sites, markedly increasing the turnover frequency without reducing the activation energy. In situ spectroscopic analysis confirmed the accelerated consumption of adsorbed NH3 species and enhanced formation of reactive NOx intermediates, indicating SCR pathway enhancement. After aging in the presence of SO2 and H2O, the best-performing honeycomb-type monolithic catalyst retained and NOx conversion of >80%, demonstrating excellent long-term durability under practical conditions. A composition-aware machine learning model based on log-ratio-transformed variables quantitatively identified the synergistic balance among V, Nb, W, BN, and TiO2 as the dominant factor governing LT SCR performance. Thus, this work provides valuable mechanistic insights and a strategy for designing wide-temperature-window SCR catalysts with improved activity, selectivity, and resistance to sulfur poisoning. Full article
Show Figures

Graphical abstract

13 pages, 1867 KB  
Article
Screening and Culture Condition Optimization of a Catalpol-Producing Brevundimonas olei
by Jianmin Liu, Mingliang Geng, Yi Chen and Zhenhui Wang
Microbiol. Res. 2026, 17(3), 60; https://doi.org/10.3390/microbiolres17030060 - 19 Mar 2026
Viewed by 221
Abstract
Catalpol, one of the primary bioactive components in Rehmannia glutinosa, is an iridoid glycoside with significant pharmacological activities. To expand the microbial sources of catalpol, endophytic bacteria were isolated from R. glutinosa (cultivated in Jiaozuo, China) using the dilution plating method combined [...] Read more.
Catalpol, one of the primary bioactive components in Rehmannia glutinosa, is an iridoid glycoside with significant pharmacological activities. To expand the microbial sources of catalpol, endophytic bacteria were isolated from R. glutinosa (cultivated in Jiaozuo, China) using the dilution plating method combined with vanillin–sulfuric acid colorimetric assay. High-performance liquid chromatography (HPLC) and liquid chromatography–mass spectrometry (LC-MS) were employed for screening and identification. The isolated strain was identified through morphological characterization and 16S rDNA gene sequence analysis, while single-factor experiments coupled with response surface methodology were utilized to optimize its fermentation conditions. Results indicated that the strain DH14 formed circular, cream-white, opaque colonies and was Gram-negative. It was identified as Brevundimonas olei. The optimal fermentation conditions were determined to be 190 rpm, pH 7.6, 31 °C, and 0% NaCl. Meanwhile, the results revealed a positive correlation between the pH of the fermentation broth and catalpol production. Under the optimized conditions, the maximum catalpol yield reached 0.142 mg/mL after 3 days of cultivation. This study provides a promising microbial resource and optimized fermentation parameters for the microbial production of catalpol. Full article
Show Figures

Figure 1

18 pages, 1406 KB  
Article
Iron Pools, Microbial Communities, and Greenhouse Gas Production in Subaqueous Ecosystems: Implications for Biogeochemical Cycling
by Roberta Pastorelli, Alessandra Lagomarsino, Chiara Ferronato, Arturo Fabiani, Sara Del Duca, Stefano Mocali, Livia Vittori Antisari and Gilmo Vianello
Soil Syst. 2026, 10(3), 43; https://doi.org/10.3390/soilsystems10030043 - 17 Mar 2026
Viewed by 395
Abstract
In permanently submerged coastal wetlands, interactions between biogeochemical processes and microbial communities strongly influence greenhouse gas (GHG) fluxes. To improve our understanding of how redox-driven processes shape GHG dynamics in these ecosystems, we investigated the relationships among iron (Fe) pools, microbial dynamics, and [...] Read more.
In permanently submerged coastal wetlands, interactions between biogeochemical processes and microbial communities strongly influence greenhouse gas (GHG) fluxes. To improve our understanding of how redox-driven processes shape GHG dynamics in these ecosystems, we investigated the relationships among iron (Fe) pools, microbial dynamics, and the potential GHG production in subaqueous soils from an interdunal wetland in San Vitale Park (Italy), permanently submerged and affected by seasonal oscillations of the saline water table. Two subaqueous soil columns (WAS-2 and WAS-4), collected from similar settings, were analyzed. Surface layers of WAS-4 showed higher salinity and carbonate content, whereas WAS-2 was characterized by overall higher Fe concentrations. Distinct vertical distributions of organic matter and sulfur (S) were shown along depth. Laboratory incubations revealed that nitrous oxide (N2O) production was up to ten times higher in WAS-2 than in WAS-4, with peaks in the top 13–14 cm, consistent with more active nitrification-denitrification in surface layers. Methane (CH4) and carbon dioxide (CO2) fluxes decreased with depth, reflecting reduced availability of labile carbon. Methanomicrobiales dominated CH4-producing layers, indicating hydrogenotrophic methanogenesis, while amoA-carrying Nitrosomonadales and Thaumarchaeota, occurred in shallow, organic-rich layers where ammonia supported nitrification and denitrification. Denitrifiers mainly belonged to α- and β-Proteobacteria, consistent with their direct contribution to N2O peaks. Spearman’s correlations showed N2O positively correlated to sulfur and labile carbon (C), supporting denitrification under moderately reducing conditions. CH4 and CO2 positively correlated with organic C (Corg), total nitrogen (TN), and reactive Fe forms, reflecting redox-mediated microbial respiration and methanogenesis. Trace elements (B, Cr, Cu, Ni) acted as micronutrients or inhibitors depending on concentration. Canonical correspondence analysis indicated depth-structured links among gas fluxes, soil chemistry (Corg, TN, S/C, CaCO3, P), and microbial distributions: surface layers, rich in labile C and nutrients, supported active bacteria and archaea involved in decomposition, nitrification, and denitrification, whereas deeper layers hosted oligotrophic archaea adapted to inorganic substrates. Overall, Fe pools appeared to be associated with soil processes relevant to GHG dynamics, although the extent of their regulatory role remains uncertain due to potential alterations of redox-sensitive Fe fractions during sample handling. These results contribute to broader efforts to predict GHG emissions in submerged wetland soils by linking redox stratification, inorganic chemistry, and microbial functional groups. Full article
(This article belongs to the Special Issue Microbial Community Structure and Function in Soils)
Show Figures

Figure 1

25 pages, 9933 KB  
Article
Effect of Double Substitutional Doping (2C → 2N/2S) in Graphene on the Interfacial Adhesion of CMC and LCmA: A DFT Study Aimed at Sustainable Lithium-Ion Battery Electrodes
by Joaquín Hernández-Fernández, Rafael González-Cuello and Rodrigo Ortega-Toro
J. Compos. Sci. 2026, 10(3), 163; https://doi.org/10.3390/jcs10030163 - 17 Mar 2026
Viewed by 366
Abstract
Density functional theory (DFT) was used to investigate how bisubstitution doping in graphene alters its electronic structure and interfacial stability with two model lignocellulosic binders, carboxymethylcellulose (CMC), and a representative aromatic fragment (LCmA). The properties were evaluated at the ωB97X-D/LANL2DZ level for pristine [...] Read more.
Density functional theory (DFT) was used to investigate how bisubstitution doping in graphene alters its electronic structure and interfacial stability with two model lignocellulosic binders, carboxymethylcellulose (CMC), and a representative aromatic fragment (LCmA). The properties were evaluated at the ωB97X-D/LANL2DZ level for pristine graphene and its bisubstitution-doped variants with nitrogen (graphene-2N) and sulfur (graphene-2S), integrating frontier orbitals, electrostatic potential (ESP) maps, electronic localization functions (ELF/LOL), and QTAIM topology. Doping with 2N markedly reduces the HOMO–LUMO gap from 0.16052 eV (graphene) to 0.10560 eV (−34.2%), while 2S reduces it to 0.14222 eV (−11.4%), evidencing different electronic activation mechanisms. The interaction energies show doping-controlled selectivity: In pristine graphene, adsorption strongly favors LCmA (ΔEint = −99.3 kcal·mol−1) over CMC (−23.7 kcal·mol−1); in graphene-2N, CMC coupling intensifies (−93.7 kcal·mol−1) while maintaining a high interaction with LCmA (−74.3 kcal·mol−1); and in graphene-2S, CMC remains favorable (−71.9 kcal·mol−1) while LCmA falls to a practically marginal regime (−4.1 kcal·mol−1). QTAIM the presence of confirms closed-layer interactions in all complexes (∇2Pc > 0, H > 0, |V|/G < 1), with |V|/G close to unity for graphene–LCmA (0.994) and less compaction when doped with 2N (0.760 for 2N–LCmA). The bisubstitution modulates the electronic heterogeneity of the basal plane and redefines the binder–surface compatibility, favoring the multipoint anchoring of polar ligands in 2N and penalizing efficient aromatic stacking in 2S. Full article
(This article belongs to the Special Issue Sustainable Biocomposites, 3rd Edition)
Show Figures

Figure 1

14 pages, 3606 KB  
Article
A Novel Dopamine Electrochemical Sensor Based on Pt/CNTs-N-S/Electrode
by Pingping Yang, Zhaopu Li, Jinpu Xie, Yukun Tang, Yinchen Liu, Lingxin Zhou, Tengfei Duan, Zhonghui Deng, Siwen Du, Qifei Zhang, Yabing Lu, Jingjing Du and Lijian Xu
Sensors 2026, 26(6), 1879; https://doi.org/10.3390/s26061879 - 17 Mar 2026
Viewed by 263
Abstract
Dopamine (DA) plays an extremely crucial role in the metabolic processes of the human body. Accurate detection of DA is of great significance for many major diseases. This study reports an innovative synthesis method for composite material in which sulfur (S) and nitrogen [...] Read more.
Dopamine (DA) plays an extremely crucial role in the metabolic processes of the human body. Accurate detection of DA is of great significance for many major diseases. This study reports an innovative synthesis method for composite material in which sulfur (S) and nitrogen (N) are incorporated into multi-walled carbon nanotubes (MWCNTs), and platinum (Pt) nanoparticle sensors (Pt/CNTs-N-S) are loaded for the highly sensitive and selective electrochemical detection of DA. The linear range of this sensor is from 0.0078 to 2 mM, and the limit of detection (LOD) is 0.73 μM (S/N = 3) for DA detection. The outstanding detection performance exhibited by Pt/CNTs-N-S is mainly attributed to the co-doping of N and S, which improves the surface properties of MWCNTs, and the dispersion of Pt nanoparticles (5.22 nm), which significantly increases the electrochemically active surface area (ESCA). In addition, the Pt/CNTs-N-S sensor also exhibits excellent stability and anti-interference performance. Overall, this study provides a simple and practical strategy for the potential application of Pt-based sensors in the detection of DA. Full article
(This article belongs to the Section Chemical Sensors)
Show Figures

Figure 1

13 pages, 1381 KB  
Proceeding Paper
Comparative Analysis of Drying Techniques on Mineral Retention and Quality of Apricots (Prunus armeniaca L.)
by Sarvar Rejabov, Botir Usmonov, Komil Usmanov, Jaloliddin Eshbobaev, Bekzod Madaminov, Abbos Elmanov and Zafar Turakulov
Eng. Proc. 2026, 124(1), 76; https://doi.org/10.3390/engproc2026124076 - 12 Mar 2026
Viewed by 311
Abstract
This study evaluates the impact of four drying methods—open sun drying, solar drying, infrared drying, and microwave drying—on the quality attributes and elemental retention of apricots (Prunus armeniaca L.). Experimental trials were conducted in June 2024 at the Tashkent Institute of Chemical-Technology [...] Read more.
This study evaluates the impact of four drying methods—open sun drying, solar drying, infrared drying, and microwave drying—on the quality attributes and elemental retention of apricots (Prunus armeniaca L.). Experimental trials were conducted in June 2024 at the Tashkent Institute of Chemical-Technology using equal quantities of fresh apricots. Drying was continued until the moisture content, measured gravimetrically, dropped below 20% (wet basis), followed by spectroscopic analysis to determine macro- and microelement concentrations. Solar-dried apricots showed higher retention of essential nutrients in this experimental trial: potassium (2.37%), silicon (0.538%), magnesium (0.145%), calcium (0.176%), and sulfur (0.152%). In contrast, open sun drying led to significant nutrient degradation and poor visual quality. Microwave drying preserved some micronutrients but resulted in surface scorching due to uneven heating. Infrared drying yielded acceptable results but required substantial energy input. Among all methods, solar drying provided the optimal balance of high product quality and energy efficiency. The drying process required negligible electrical energy owing to exclusive reliance on solar radiation. This method supports sustainable food processing by reducing energy demand and greenhouse gas emissions while preserving nutritional quality. The results highlight solar drying as a promising, eco-friendly technique for preserving the nutritional integrity of agricultural products. These findings offer valuable scientific guidance for selecting appropriate drying technologies in the food processing industry, especially in regions with high solar potential. However, the study is limited to a single fruit variety and seasonal conditions. Full article
(This article belongs to the Proceedings of The 6th International Electronic Conference on Applied Sciences)
Show Figures

Figure 1

14 pages, 887 KB  
Article
Evaluation of Waste-Plastic Pyrolysis Oil as a Potential Feedstock for Lubricant Base Oil Production via Hydroprocessing
by Jung Hee Jang, Hyun Ji Kim, Jin Ho Kim, Ji Eun Lee, Hyun Sung Jang and Suk Hwan Kang
Sustainability 2026, 18(5), 2655; https://doi.org/10.3390/su18052655 - 9 Mar 2026
Viewed by 372
Abstract
The environmental concerns associated with the excessive use and improper disposal of plastic waste have led to increased interest in chemical recycling methods such as pyrolysis. In this study, waste plastic pyrolysis oil (WPPO) was evaluated as a potential feedstock to produce high-quality [...] Read more.
The environmental concerns associated with the excessive use and improper disposal of plastic waste have led to increased interest in chemical recycling methods such as pyrolysis. In this study, waste plastic pyrolysis oil (WPPO) was evaluated as a potential feedstock to produce high-quality feedstock for lubricant base oils through hydroprocessing. WPPO was obtained via the thermal degradation of waste plastic at 400 °C under a nitrogen atmosphere using a 2 t/day pyrolysis reactor. The physicochemical properties of WPPO were analyzed, including the sulfur, chlorine, and metal contents. A series of Pt-supported catalysts based on different acidic supports (SAPO-11, SAPO-34, and Zeolite Y100) was prepared using an incipient wetness impregnation method and characterized by BET, XRD, and TPD techniques. The hydroprocessing reactions were conducted under varying temperature and pressure conditions to evaluate conversion and optimize product selectivity. The catalysts exhibited different surface areas, pore structures, and acidity profiles, which directly impacted their hydroprocessing performance. The results demonstrate that Pt/Y-100 exhibited the best upgrading performance among the tested catalysts, achieving an olefin-to-paraffin conversion of over 88.65% with a dominant paraffinic hydrocarbon distribution in the C15–C25 range under optimal conditions (300 °C and 40 bar). The results demonstrate that the conversion of olefins to paraffins in WPPO can be effectively controlled by tuning the reaction conditions and catalyst. Full article
Show Figures

Figure 1

Back to TopTop