Research on Primary Frequency Regulation Control Strategy of the Joint Hydropower and Battery Energy Storage System Based on Refined Model
Abstract
1. Introduction
- (1)
- A refined simulation model for joint frequency regulation system of HPP-BESS has been established.
- (2)
- The IAVDC strategy has been proposed, which effectively enhances the frequency regulation capability.
- (3)
- The proposed strategy has been validated through simulation experiments.
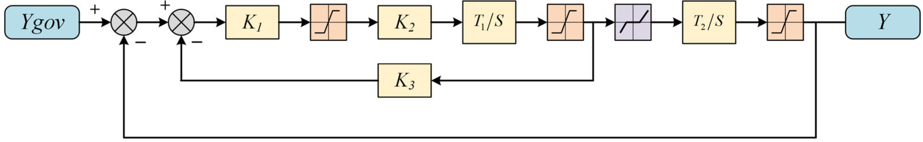
2. Refined Model of Hydropower Plant
2.1. Governor
2.2. Servo System
2.3. Waterway System
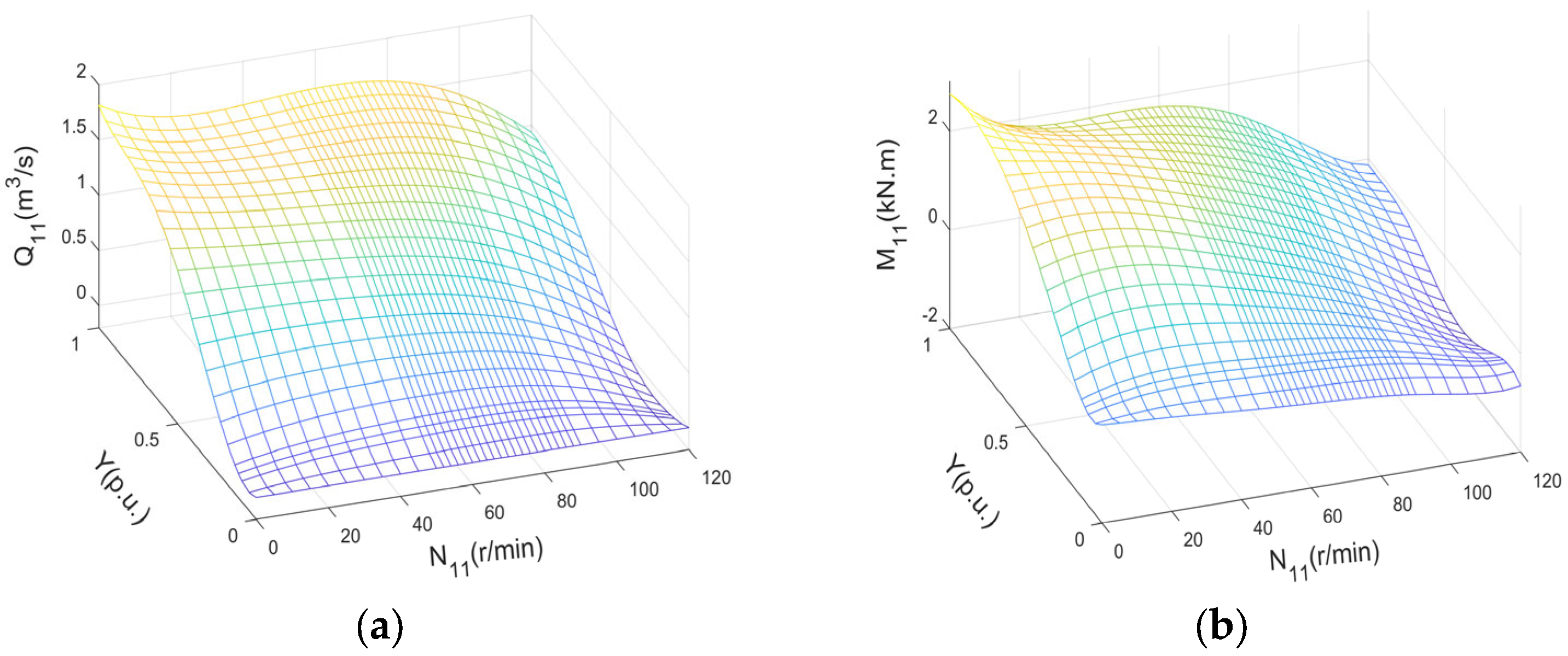
2.4. Turbine
2.5. Generator
3. Control Strategy
3.1. Model of the Battery Energy Storage System
- Power conversion model
- 2.
- SOC computation model
3.2. Integrated Adaptive Virtual Droop Control Strategy
- 1.
- Virtual inertia control (VIC)
- 2.
- Adaptive virtual droop control
- Discharging condition
- Charging condition
3.3. Evaluating Indicator
- 1.
- Reverse regulation power Pre
- 2.
- Regulation time Ts
- 3.
- Integral quantity of electricity IQE
4. Results
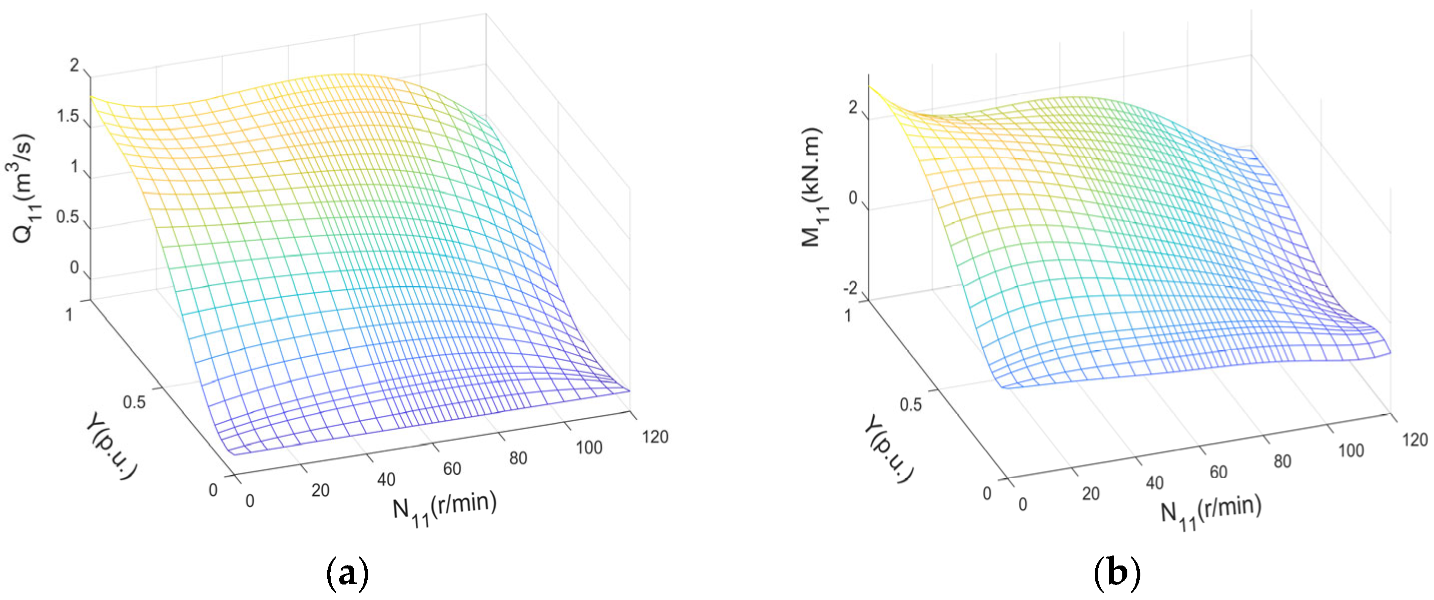
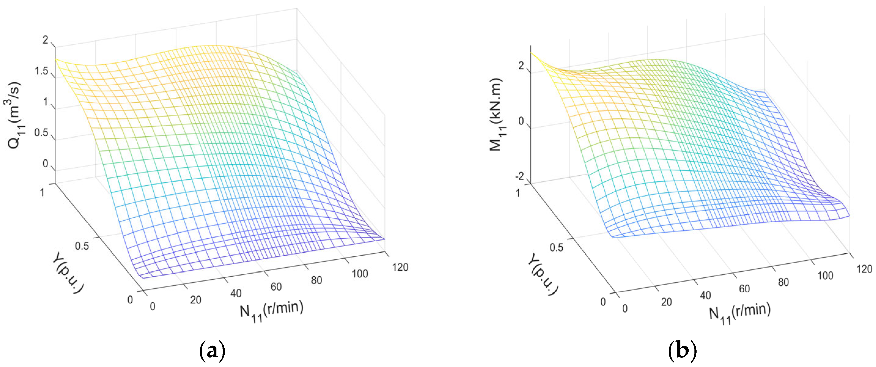
4.1. Analysis of HPP Model Accuracy
4.2. Analysis of System Response Under Load Increase
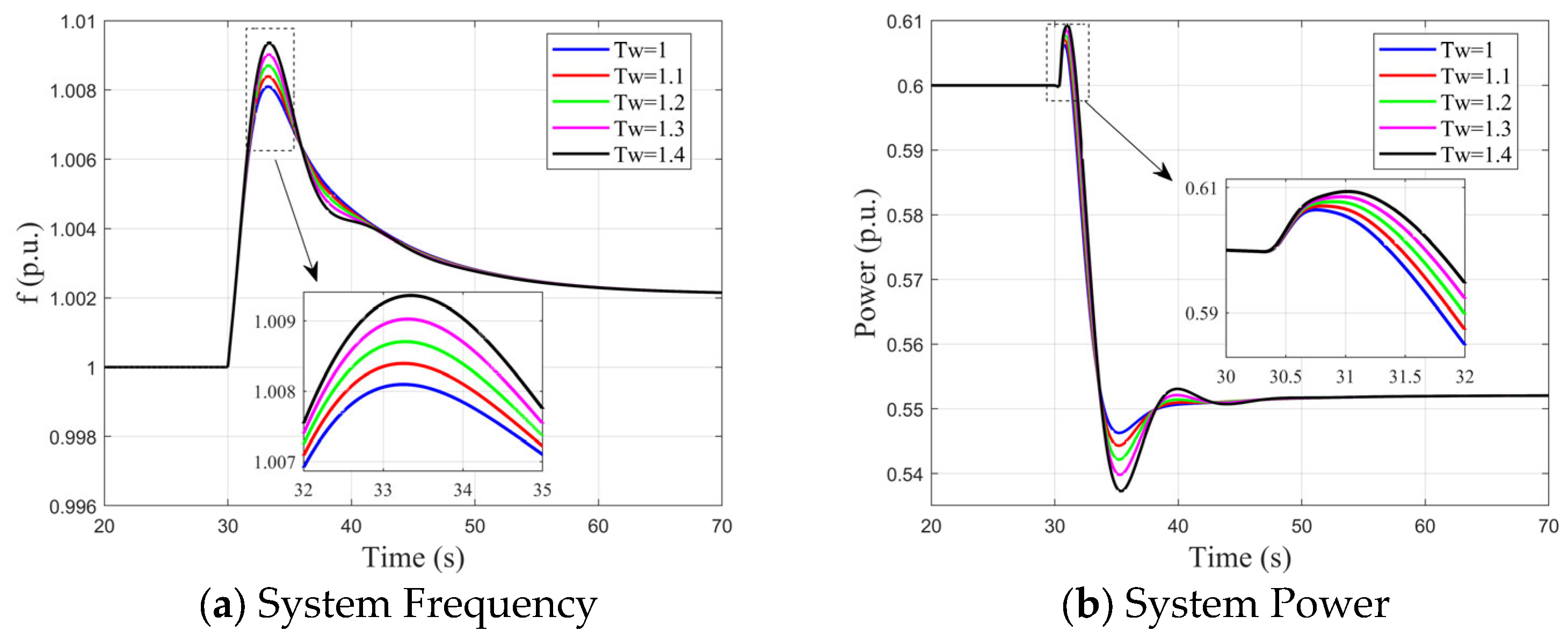
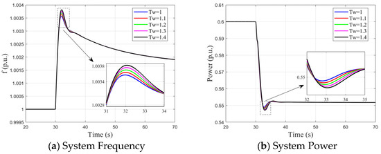
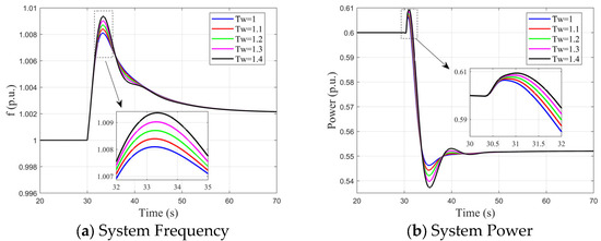
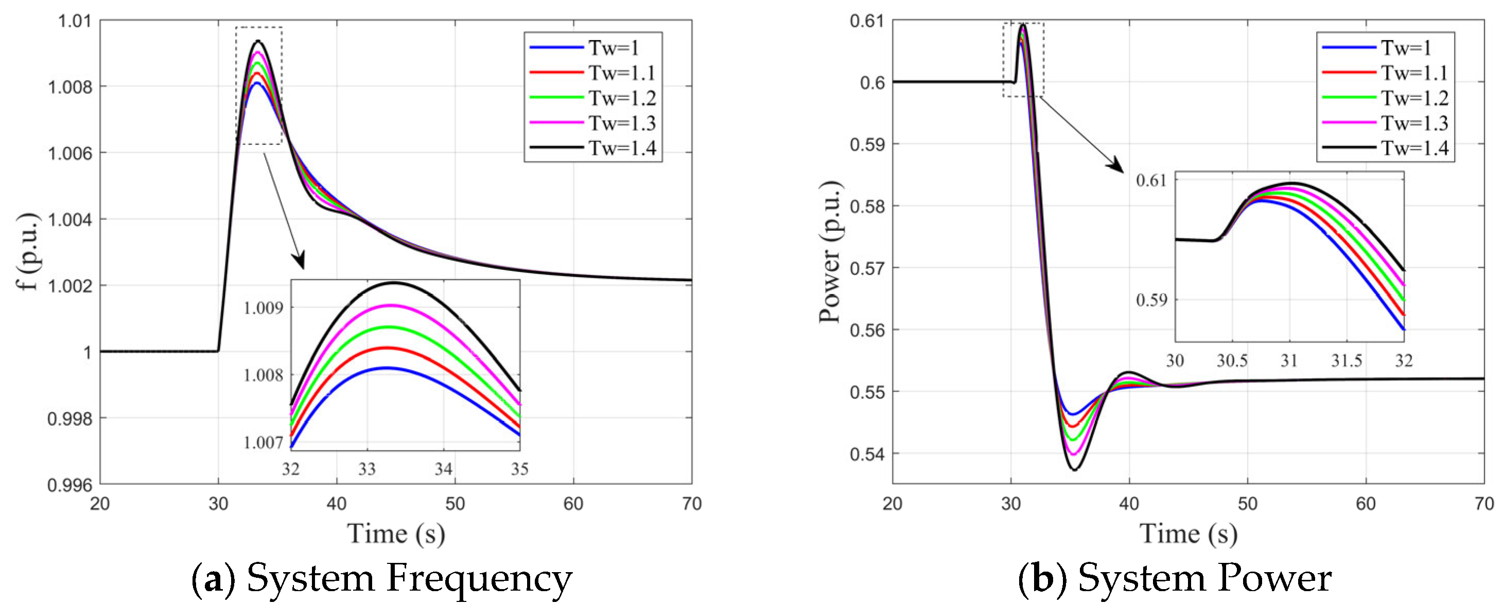
4.3. System Response to Sudden Load Decrease Under Different Parameters
4.4. Analysis of System Response Under Continuous Load Variation
5. Discussion
- (1)
- Mitigation of power reversal: The integration of the BESS effectively suppresses the reverse power induced by the water hammer effect of the HPP, thereby reducing the risk of frequency violations.
- (2)
- Enhanced frequency regulation performance: Under abrupt load variations, the IAVDC strategy enables faster regulation response and achieves a higher cumulative energy contribution.
- (1)
- Flexible coordination and system stability: In the present study, the HPP and BESS operate simultaneously during primary frequency regulation. Future work could develop a more adaptive coordination mechanism, allowing the BESS to operate independently under minor frequency deviations while triggering joint operation only under significant deviations [23]. This would minimize HPP regulation losses, improve response speed, and further investigate long-term dynamic stability and damping characteristics, including low-frequency oscillation behavior [24,25].
- (2)
- Validation against advanced control methods and converter strategies: Although the current study relies on simulations, future research could compare the proposed IAVDC strategy with other advanced control methods (e.g., model predictive control, fuzzy-based strategies) and consider advanced BESS interfacing approaches, such as overmodulation for converters, to enhance robustness and practical applicability [26].
- (3)
- BESS degradation, economic feasibility, and capacity optimization: This study focuses on technical feasibility. Future work should assess the impact of BESS degradation, including cycle life and efficiency loss, on long-term frequency regulation. In addition, the economic feasibility of integrating BESS with HPPs and the influence on HPP regulation losses should be evaluated, along with optimal capacity allocation strategies for a comprehensive assessment of system performance [27].
6. Conclusions
Author Contributions
Funding
Data Availability Statement
Conflicts of Interest
References
- Alturki, Y.A.; Alhussainy, A.A.; Alghamdi, S.M.; Rawa, M. A Novel Point of Common Coupling Direct Power Control Method for Grid Integration of Renewable Energy Sources: Performance Evaluation among Power Quality Phenomena. Energies 2024, 17, 5111. [Google Scholar] [CrossRef]
- Maitanova, N.; Schlüters, S.; Hanke, B.; von Maydell, K.; Agert, C. Quantifying Power and Energy Fluctuations of Photovoltaic Systems. Energy Sci. Eng. 2022, 10, 4496–4511. [Google Scholar] [CrossRef]
- Shi, Y.; Li, C.; Wang, H.; Wang, X.; Negnevitsky, M. A Novel Scheduling Strategy of a Hybrid Wind-Solar-Hydro System for Smoothing Energy and Power Fluctuations. Energy 2025, 320, 135268. [Google Scholar] [CrossRef]
- Meng, Y.; Li, X.; Liu, X.; Cui, X.; Xu, P.; Li, S. A Control Strategy for Battery Energy Storage Systems Participating in Primary Frequency Control Considering the Disturbance Type. IEEE Access 2021, 9, 102004–102018. [Google Scholar] [CrossRef]
- Zorchenko, N.V.; Chaplin, A.G.; Rad’kova, O.V.; Tyupina, T.G. Development Trends in Primary Frequency Control and Frequency Control Market. Power Technol. Eng. 2020, 54, 566–569. [Google Scholar] [CrossRef]
- Li, J.; Ma, Y.; Mu, G.; Feng, X.; Yan, G.; Guo, G.; Zhang, T. Optimal Configuration of Energy Storage System Coordinating Wind Turbine to Participate Power System Primary Frequency Regulation. Energies 2018, 11, 1396. [Google Scholar] [CrossRef]
- Nasirpour, N.; Madani, S.M.; Niroomand, M.; Muljadi, E. Closed-Loop Fast Primary Frequency-Response of Type-3 Wind Power Plants in Low Inertia Grids. IET Renew. Power Gener. 2021, 15, 2931–2943. [Google Scholar] [CrossRef]
- Michaud, F.; Robert, G. Dynamic Capability of Hydro Power Plants for Primary Load-Frequency Control. IFAC Proc. Vol. 2012, 45, 290–294. [Google Scholar] [CrossRef]
- Dash, R.; Reddy, K.J.; Mohapatra, B.; Bajaj, M.; Zaitsev, I. An Approach for Load Frequency Control Enhancement in Two-Area Hydro-Wind Power Systems Using LSTM + GA-PID Controller with Augmented Lagrangian Methods. Sci. Rep. 2025, 15, 1307. [Google Scholar] [CrossRef]
- Tuan, D.H.; Nguyen Ngoc Thanh, V.; Nguyen Chi, D.; Pham, V.H. Improving Frequency Control of Multi-Area Interconnected Hydro-Thermal Power System Using PSO Algorithm. Appl. Sci. 2025, 15, 2898. [Google Scholar] [CrossRef]
- Audomsi, S.; Wattana, S.; Uthathip, N.; Sa-Ngiamvibool, W. Development and Design of an Optimal Fuzzy Logic Two Degrees of Freedom-Proportional Integral Derivative Controller for a Two-Area Power System Using the Bee Algorithm. Energies 2025, 18, 915. [Google Scholar] [CrossRef]
- Daraz, A.; Malik, S.A.; Waseem, A.; Azar, A.T.; Haq, I.U.; Ullah, Z.; Aslam, S. Automatic Generation Control of Multi-Source Interconnected Power System Using FOI-TD Controller. Energies 2021, 14, 5867. [Google Scholar] [CrossRef]
- Xu, B.; Zhang, J.; Egusquiza, M.; Chen, D.; Li, F.; Behrens, P.; Egusquiza, E. A Review of Dynamic Models and Stability Analysis for a Hydro-Turbine Governing System. Renew. Sustain. Energy Rev. 2021, 144, 110880. [Google Scholar] [CrossRef]
- Zhang, H.; Liao, K.; Yang, J.; Zheng, S.; He, Z. Frequency-Constrained Expansion Planning for Wind and Photovoltaic Power in Wind-Photovoltaic-Hydro-Thermal Multi-Power System. Appl. Energy 2024, 356, 122401. [Google Scholar] [CrossRef]
- Zhang, M.; Xie, T.; Zhang, C.; Chen, D.; Mao, C.; Shen, C. Dynamic Model and Impact on Power Quality of Large Hydro-Photovoltaic Power Complementary Plant. Int. J. Energy Res. 2019, 43, 4436–4448. [Google Scholar] [CrossRef]
- Han, X.; Jiang, Q.; Liu, T.; Li, B.; Ding, L.; Chen, G. Research on Ultra-Low Frequency Oscillation Caused by Hydro Power in Hydro-Dominant Power System. In Proceedings of the 2018 International Conference on Power System Technology (POWERCON), Guangzhou, China, 6–9 November 2018; IEEE: Piscataway, NJ, USA, 2018; pp. 1909–1914. [Google Scholar]
- Shu, H.; He, Y.; Wang, G.; Zhang, H.; Shi, B.; Luo, S. Research on Water Hammer Effect and Cooperative Frequency Regulation Technology of PV-HBESS Compensated Hydroturbine. IEEE Trans. Sustain. Energy 2024, 16, 919–932. [Google Scholar] [CrossRef]
- Zhang, Y.J.A.; Zhao, C.; Tang, W.; Low, S.H. Profit-Maximizing Planning and Control of Battery Energy Storage Systems for Primary Frequency Control. IEEE Trans. Smart Grid 2016, 9, 712–723. [Google Scholar] [CrossRef]
- Arrigo, F.; Bompard, E.; Merlo, M.; Milano, F. Assessment of Primary Frequency Control through Battery Energy Storage Systems. Int. J. Electr. Power Energy Syst. 2020, 115, 105428. [Google Scholar] [CrossRef]
- Yan, L.; Shui, T.; Xue, T.; Wang, M.; Ma, N.; Li, K. Comprehensive Control Strategy Considering Hybrid Energy Storage for Primary Frequency Modulation. Energies 2022, 15, 4079. [Google Scholar] [CrossRef]
- Datta, U.; Kalam, A.; Shi, J. The Relevance of Large-Scale Battery Energy Storage (BES) Application in Providing Primary Frequency Control with Increased Wind Energy Penetration. J. Energy Storage 2019, 23, 9–18. [Google Scholar] [CrossRef]
- An, H.; Yang, J.; Yang, W.; Cheng, Y.; Peng, Y. An Improved Frequency Dead Zone with Feed-Forward Control for Hydropower Units: Performance Evaluation of Primary Frequency Control. Energies 2019, 12, 1497. [Google Scholar] [CrossRef]
- Yang, W.; Norrlund, P.; Saarinen, L.; Yang, J.; Guo, W.; Zeng, W. Wear and Tear on Hydro Power Turbines—Influence from Primary Frequency Control. Renew. Energy 2016, 87, 88–95. [Google Scholar] [CrossRef]
- Alanazi, M.; Salem, M.; Sabzalian, M.H.; Prabaharan, N.; Ueda, S.; Senjyu, T. Designing a New Controller in the Operation of the Hybrid PV-BESS System to Improve the Transient Stability. IEEE Access 2023, 11, 97625–97640. [Google Scholar] [CrossRef]
- Wang, Y.; Chen, S.; Yang, M.; Liao, P.; Xiao, X.; Xie, X.; Li, Y. Low-frequency oscillation in power grids with virtual synchronous generators: A comprehensive review. Renew. Sustain. Energy Rev. 2025, 207, 114921. [Google Scholar] [CrossRef]
- Li, S.; Zhou, J.; Zhou, F.; Niu, F.; Deng, W. A reduced current ripple overmodulation strategy for indirect matrix converter. IEEE Trans. Ind. Electron. 2024, 72, 3768–3777. [Google Scholar] [CrossRef]
- Li, X.; Song, J.; Ma, Y.; Zhu, Z.; Liu, H.; Wei, C. Capacity Planning for Hydro-Wind-Photovoltaic-Storage Systems Considering High-Dimensional Uncertainties. Energy Inform. 2025, 8, 3. [Google Scholar] [CrossRef]













| Parameter | Value | Parameter | Value |
|---|---|---|---|
| Kp | 4 | Ki | 0.5 |
| Kd | 0.12 | Tw | 1.2 |
| Tr | 0.32 | H | 137 |
| Q | 91.02 | Ta | 13 |
| en | 1.05 | Ph | 800 |
| Parameter | Value | Parameter | Value |
|---|---|---|---|
| Kb,max | 50 | Ka | 30 |
| Ib | 15 | Tb | 0.1 |
| Soc,ref | 0.5 | Pb | 80 |
| Control Strategy | Evaluating Indicator | ||
|---|---|---|---|
| Pre (MW) | Ts (s) | IQE (kW·h) | |
| Without BESS | 14.884 | 23.385 | 658.620 |
| VDC | 0 | 2.477 | 786.244 |
| IAVDC | 0 | 1.846 | 792.036 |
| Control Strategy | Evaluating Indicator | ||
|---|---|---|---|
| Pre (MW) | Ts (s) | IQE (kW·h) | |
| Without BESS | 7.238 | 22.147 | 633.452 |
| VDC | 0 | 4.768 | 722.688 |
| IAVDC | 0 | 3.214 | 780.335 |
Disclaimer/Publisher’s Note: The statements, opinions and data contained in all publications are solely those of the individual author(s) and contributor(s) and not of MDPI and/or the editor(s). MDPI and/or the editor(s) disclaim responsibility for any injury to people or property resulting from any ideas, methods, instructions or products referred to in the content. |
© 2025 by the authors. Licensee MDPI, Basel, Switzerland. This article is an open access article distributed under the terms and conditions of the Creative Commons Attribution (CC BY) license (https://creativecommons.org/licenses/by/4.0/).
Share and Cite
Gu, Y.; Zhang, F.; Li, Y.; Deng, Y.; Hua, X.; Guo, J.; Yang, T. Research on Primary Frequency Regulation Control Strategy of the Joint Hydropower and Battery Energy Storage System Based on Refined Model. Energies 2025, 18, 5249. https://doi.org/10.3390/en18195249
Gu Y, Zhang F, Li Y, Deng Y, Hua X, Guo J, Yang T. Research on Primary Frequency Regulation Control Strategy of the Joint Hydropower and Battery Energy Storage System Based on Refined Model. Energies. 2025; 18(19):5249. https://doi.org/10.3390/en18195249
Chicago/Turabian StyleGu, Yifeng, Fangqing Zhang, Youping Li, Youhan Deng, Xiaojun Hua, Jiang Guo, and Tingji Yang. 2025. "Research on Primary Frequency Regulation Control Strategy of the Joint Hydropower and Battery Energy Storage System Based on Refined Model" Energies 18, no. 19: 5249. https://doi.org/10.3390/en18195249
APA StyleGu, Y., Zhang, F., Li, Y., Deng, Y., Hua, X., Guo, J., & Yang, T. (2025). Research on Primary Frequency Regulation Control Strategy of the Joint Hydropower and Battery Energy Storage System Based on Refined Model. Energies, 18(19), 5249. https://doi.org/10.3390/en18195249

