Research on Power Transmission Capacity of Transmission Section for Grid-Forming Renewable Energy via AC/DC Parallel Transmission System Considering Synchronization and Frequency Stability Constraints
Abstract
1. Introduction
2. System Model
3. Investigation of Factors Affecting Power Transfer Capability in AC/DC Parallel Transmission Section
3.1. Static Power Transmission Limit of Transmission Section Subject to N-1 Static Security Constraints
- Under given corridor power flow constraints, all remaining lines remain within thermal limits after disconnecting any single line in the section during normal operation;
- The section power flow constraint represents the maximum allowable flow during normal operation.
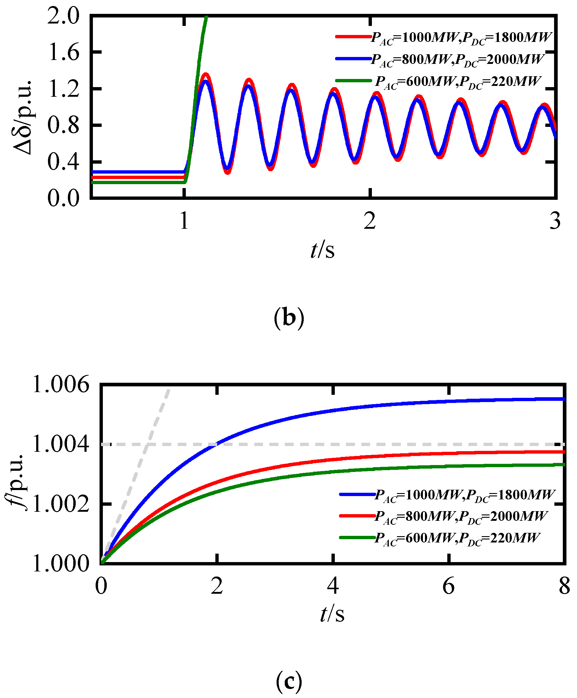
3.2. Impact of Synchronization Stability Constraints on Transmission Section Transfer Capability
3.3. Impact of Frequency Stability Constraints on the Transmission Capability of the Transmission Section
4. Optimal Configuration Scheme Maximizing the Transmission Capability of the AC/DC Transmission Section
5. Case Study
6. Conclusions
- Analytical conditions satisfying N-1 static security, synchronism stability, and frequency stability constraints for AC/DC transmission lines are derived, clarifying critical determinants of system transmission capability. Lower AC line reactance and higher sending-end damping/inertia enhance transmission capability.
- Integrating N-1 static security, synchronism stability, and frequency stability constraints yields the operational region for AC/DC transmission power. The optimal power allocation scheme maximizing transmission capability is subsequently obtained. This solution enhances transmission capacity while ensuring system security and stability, providing a theoretical basis for secure operation and grid planning of hybrid AC/DC transmission systems.
Author Contributions
Funding
Data Availability Statement
Acknowledgments
Conflicts of Interest
References
- Zhigang, Z.; Chongqing, K. Challenges and Prospects for Constructing the New-type Power System Towards a Carbon Neutrality Future. Proc. CSEE 2022, 42, 2806–2819. [Google Scholar] [CrossRef]
- Xiaoqing, H.; Tingjun, L.; Dongxia, Z.; Xin, Z. New Issues and Key Technologies of New Power System Planning Under Double Carbon Goals. High Volt. Eng. 2021, 47, 3036–3046. [Google Scholar] [CrossRef]
- Shaobo, Y.; Xuekai, H.; Zengze, T.; Rui, Y.; Yufei, Z.; Jiapeng, L.; Lei, W.; Liang, M. A Distributed Photovoltaic Aggregation Method Considering Photovoltaic Output Characteristics and Active Voltage Sensitivity. Electronics 2025, 14, 917. [Google Scholar]
- Yingying, W.; Yong, L.; Huixin, L.; Lei, C.; Yifei, L.; Hongkun, C. Snow ablation-based risk assessment method for cascading failures in an AC-DC hybrid power grid. Power Syst. Prot. Control 2025, 53, 37–47. [Google Scholar] [CrossRef]
- Jianbo, X.; Chengxiang, Y.; Zhan, S.; Bo, Z.; Wei, Y.; Yanhong, C.; Jinyu, W. Identification of critical lines in AC/DC hybrid large power grid based on steady-state security region. Power Syst. Prot. Control 2020, 48, 165–172. [Google Scholar] [CrossRef]
- Ting, L.; Weiting, X.; Xianglong, L.; Yue, X.; Junyong, L.; Mi, Z.; Xinting, Y.; Ao, L. Review on planning technology of AC/DC hybrid system with high proportion of renewable energy. Power Syst. Prot. Control 2019, 47, 177–187. [Google Scholar] [CrossRef]
- Holguin, J.P.; Celeita, D.; Ramos, G. Reverse Power Flow (RPF) Detection and Impact on Protection Coordination of Distribution Systems. In Proceedings of the 2019 IEEE Industry Applications Society Annual Meeting, Baltimore, MD, USA, 29 September–3 October 2019; pp. 1–6. [Google Scholar]
- Kenedy, M.; Naresh, R.; Chauhan, R. An efficient Repeated Power Flow approach to evaluate Available Transfer Capability considering power systems security. In Proceedings of the 2023 Second International Conference on Electrical, Electronics, Information and Communication Technologies, Tamil Nadu, India, (ICEEICT), 5–7 April 2023; pp. 1–5. [Google Scholar]
- Wang, T.; Wang, S.; Ma, S.; Guo, J.; Zhou, X. An Extended Continuation Power Flow Method for Static Voltage Stability Assessment of Renewable Power Generation-Penetrated Power Systems. IEEE Trans. Circuits Syst. II: Express Briefs 2024, 71, 892–896. [Google Scholar] [CrossRef]
- Dan, X.; Qiang, D.; Xingyu, L.; Yanting, L.; Junjie, T. Probabilistic optimal power flow calculation method based on a discrete Fourier transformation matrix. Power Syst. Prot. Control 2021, 49, 9–16. [Google Scholar] [CrossRef]
- Lin, Z.; Zhonghao, S.; Li, F.; Xuewei, S.; Lin, Z.; Chenggang, S.; Yong, Z. Study on causes of limited transmission capacity of Sichuan-Chongqing powergrid based on DC-sensitivity. Power Syst. Prot. Control 2015, 43, 67–73. [Google Scholar]
- Tang, L.; Sun, W. An Automated Transient Stability Constrained Optimal Power Flow Based on Trajectory Sensitivity Analysis. IEEE Trans. Power Syst. 2017, 32, 590–599. [Google Scholar] [CrossRef]
- Geng, G.; Jiang, Q.; Sun, Y. Parallel Transient Stability-Constrained Optimal Power Flow Using GPU as Coprocessor. IEEE Trans. Smart Grid 2017, 8, 1436–1445. [Google Scholar] [CrossRef]
- Dong, X.; Hao, X.; Chen, Q.; Wang, C.; Wang, M. A Distributed Power Transfer Limit Calculation Method for Multi-Area Interconnection Power Networks. IEEE Trans. Power Syst. 2021, 36, 4723–4732. [Google Scholar] [CrossRef]
- Zhengqing, X.; Yanwei, X.; Qunshan, L.; Shuqin, S.; Wenli, Y.; Chenyue, W. Comparative study based on sensitivity and particle swarm optimization algorithm for powerflow over-limit control method of transmission section. Power Syst. Prot. Control 2020, 48, 177–186. [Google Scholar] [CrossRef]
- Yan, J.; Ke, P.; Xueshen, Z.; Songhan, J. Transient Stability Analysis of AC/DC Distribution System Based on Nonlinear Decoupling Method. Autom. Electr. Power Syst. 2024, 48, 56–65. [Google Scholar]
- Haitao, Z.; Zihao, S.; Wei, W.; Jizhi, H.; Ruxi, Z.; Xiuli, W.; Xifan, W. Hybrid AC/DC Admittance Modeling of MMC and Stability Analysis of Grid-Tied System with Consideration of AC/DC Coupling. Power Syst. Syst. Technol. 2024, 12, 1–11. [Google Scholar] [CrossRef]
- Zhiyuan, T.; Xin, C.; Donghui, Z. Modeling and Stability Analysis of Unified Immittance Network for AC/DC Hybrid System. Trans. China Electro. Soc. 2025, 40, 2864–2879. [Google Scholar] [CrossRef]
- Xin, Z.; Yuanyuan, L.; Ping, J. A Planning Approach for AC/DC Hybrid Power Grid with High Proportion of Renewable Energy. J. Glob. Energy Interconnect. 2021, 4, 372–381. [Google Scholar] [CrossRef]
- Hanxiong, C.; Ting, L.; Ao, L. Study on AC/DC system coordinated control strategy for grid operation performance enhancement. Power Syst. Prot. Control 2021, 49, 123–134. [Google Scholar] [CrossRef]
- Lin, L.; Haofang, L.; Yiying, Z.; Xiao, L.; Xiaobei, F.; Xiaoli, Z.; Huan, M.; Cheng, W. Simulation Study on the Stable Operation Characteristics and Improvement Measures of the Power Grid with Large-scale Photovoltaic Power Stations and Energy Storage Stations. Power Syst. Syst. Technol. 2024, 2024, 1–10. [Google Scholar] [CrossRef]
- Yan, Z.; Xu, Z.; Jingyi, Z.; Pan, G.; Chunming, L.; Shanhe, L. Evaluation of Total Transmission Capacity of AC–DC Hybrid Delivery System in Desert New Energy Base Considering the Uncertainty of Wind Power. Electr. Power Constr. 2024, 45, 174–186. [Google Scholar]
- Xiang, L.; Zhizhong, G. Analysis of Network Transmission Capability Based on N-1 Principle. Autom. Electr. Power Syst. 2004, 28, 28–30. [Google Scholar]
- Yan, X.; Jing, Z.; Xianghui, W. Evaluation on Thermal Stability Power Limit of Transmission Section Based on N-1 Principle. Proc. CSU-EPSA 2017, 29, 13–17. [Google Scholar]











| Parameter | Value (Per Unit) |
|---|---|
| of line between PCC and sending-end converter station | 0.03 |
| of AC transmission line between sending-end and receiving-end systems | 0.03 |
| of sending-end transformer | 0.11 |
| of receiving-end transformer | 0.07 |
| of renewable energy plant and sending-end converter station | 350 |
| of renewable energy plant and sending-end converter station | 225 |
| (p.u.) | (p.u.) | (p.u.) | (MW) | (MW) | (MW) |
|---|---|---|---|---|---|
| 0.3 | 350 | 200 | 800 | 1467 | 2267 |
| 0.27 | 350 | 200 | 800 | 1694 | 2494 |
| 0.24 | 350 | 200 | 800 | 1976 | 2776 |
| 0.24 | 350 | 225 | 900 | 1900 | 2800 |
| 0.24 | 350 | 250 | 1000 | 1840 | 2840 |
| 0.24 | 325 | 250 | 1000 | 1840 | 2840 |
| 0.24 | 300 | 250 | 1000 | 1840 | 2840 |
Disclaimer/Publisher’s Note: The statements, opinions and data contained in all publications are solely those of the individual author(s) and contributor(s) and not of MDPI and/or the editor(s). MDPI and/or the editor(s) disclaim responsibility for any injury to people or property resulting from any ideas, methods, instructions or products referred to in the content. |
© 2025 by the authors. Licensee MDPI, Basel, Switzerland. This article is an open access article distributed under the terms and conditions of the Creative Commons Attribution (CC BY) license (https://creativecommons.org/licenses/by/4.0/).
Share and Cite
Gao, Z.; Tu, Z.; Ding, S.; Wang, L.; Wu, H.; Wei, X.; Li, J.; Li, Y. Research on Power Transmission Capacity of Transmission Section for Grid-Forming Renewable Energy via AC/DC Parallel Transmission System Considering Synchronization and Frequency Stability Constraints. Energies 2025, 18, 4202. https://doi.org/10.3390/en18154202
Gao Z, Tu Z, Ding S, Wang L, Wu H, Wei X, Li J, Li Y. Research on Power Transmission Capacity of Transmission Section for Grid-Forming Renewable Energy via AC/DC Parallel Transmission System Considering Synchronization and Frequency Stability Constraints. Energies. 2025; 18(15):4202. https://doi.org/10.3390/en18154202
Chicago/Turabian StyleGao, Zhengnan, Zengze Tu, Shaoyun Ding, Liqiang Wang, Haiyan Wu, Xiaoxiang Wei, Jiapeng Li, and Yujun Li. 2025. "Research on Power Transmission Capacity of Transmission Section for Grid-Forming Renewable Energy via AC/DC Parallel Transmission System Considering Synchronization and Frequency Stability Constraints" Energies 18, no. 15: 4202. https://doi.org/10.3390/en18154202
APA StyleGao, Z., Tu, Z., Ding, S., Wang, L., Wu, H., Wei, X., Li, J., & Li, Y. (2025). Research on Power Transmission Capacity of Transmission Section for Grid-Forming Renewable Energy via AC/DC Parallel Transmission System Considering Synchronization and Frequency Stability Constraints. Energies, 18(15), 4202. https://doi.org/10.3390/en18154202

