Next Article in Journal
State-Aware Energy Management Strategy for Marine Multi-Stack Hybrid Energy Storage Systems Considering Fuel Cell Health
Next Article in Special Issue
LSTM-Based Prediction of Solar Irradiance and Wind Speed for Renewable Energy Systems
Previous Article in Journal
A Fault Detection Method for Multi-Sensor Data of Spring Circuit Breakers Based on the RF-Adaboost Algorithm
 
 
Font Type:
Arial Georgia Verdana
Font Size:
Aa Aa Aa
Line Spacing:
Column Width:
Background:
Article

Optimal Distribution Planning of Solar Plants and Storage in a Power Grid with High Penetration of Renewables

by
Pere Colet
1,*,
Benjamín A. Carreras
1,2,
José Miguel Reynolds-Barredo
2 and
Damià Gomila
1
1
Instituto de Física Interdisciplinar y Sistemas Complejos, IFISC (CSIC-UIB), Campus Universitat de les Illes Balears, E-07122 Palma de Mallorca, Spain
2
Departamento de Física, Universidad Carlos III de Madrid, E-28911 Leganés, Spain
*
Author to whom correspondence should be addressed.
Energies 2025, 18(15), 3891; https://doi.org/10.3390/en18153891
Submission received: 13 January 2025 / Revised: 25 June 2025 / Accepted: 16 July 2025 / Published: 22 July 2025

Abstract

Integrating variable renewable energy sources such as solar power into existing power grids presents major planning and reliability challenges. This study introduces an approach to optimize the placement of solar plants and allocation of storage in grids with high share of these variable energy sources by using a simulation framework that captures system-wide emergent behaviors. Unlike traditional engineering models focused on detailed component-level dynamics, a modified ORNL-PSERC-Alaska model based on self-organized criticality is used to reproduce the statistical features of blackouts, including cascading failures and long-range correlations. A distinctive feature of this approach is the explicit inclusion of key ingredients that shape these statistics, such as the transmission grid structure, generation and consumer buses, power flow balance, periodic dispatches, system failures, secular demand growth, demand fluctuations, and variability of renewable energy sources. When applied to the Balearic Islands grid, this method identifies generation and storage layouts that minimize storage requirements while maintaining reliability levels comparable to conventional power systems. The results offer a complementary systems-level perspective for planning resilient and efficient renewable energy integration.

1. Introduction

The implementation of variable renewable energy sources (VRES) requires careful planning regarding plant deployment, location, and storage capacity to ensure grid stability. Studies have shown that solar photovoltaic (PV) penetration above 50% can lead to significant curtailment and low energy prices, highlighting the need for market reforms to efficiently balance supply and demand [1]. Strategic overbuilding of PV capacity combined with proactive curtailment has been proposed as a cost-effective approach to deliver reliable and dispatchable renewable power, particularly when integrated with wind generation [2]. In addition to economic considerations, technical challenges such as voltage fluctuations, reactive power imbalances, and transformer overloading must be addressed. Solutions such as Static Synchronous Compensators (STATCOMs) and battery storage have proven effective in mitigating these issues, especially in small or isolated grids [3]. Advanced control strategies such as multilayer event-triggered management systems can further optimize microgrid operations by dynamically coordinating generation, storage, and load curtailment while minimizing operational costs [4]. These approaches are particularly critical for island grids, where isolation heightens reliability risks; in these scenarios, optimally configured renewable generation and storage systems can reduce curtailment and enhance grid stability [5].
However, the inherent variability of wind and solar generation can still threaten grid reliability in scenarios with large VRES penetration, increasing the risk of power failures. Research indicates that high renewable integration affects frequency stability and system resilience, requiring improved forecasting, flexible generation, and storage solutions to mitigate risks [6]. This challenge is especially pronounced in small or isolated grids such as island networks, where intermittent renewables introduce additional complexities. Case studies highlight that tailored solutions such as energy storage and microgrids are essential to maintaining stability while ensuring sustainable energy access in these constrained systems [7].
Recent studies have further refined these strategies by focusing on the optimal distribution of storage units to counteract renewable intermittency and enhance grid stability. For instance, Matthiss et al. [8] investigated storage placement in distribution grids with high PV penetration, demonstrating how strategically located storage can alleviate transmission stress and improve overall grid performance. Similarly, Zhu et al. [9] explored battery storage siting for transient voltage stability, showing that well-placed storage significantly reduces voltage fluctuations and bolsters system reliability. Advanced optimization techniques have also been applied to this challenge; Montoya et al. [10] proposed a metaheuristic optimizer to determine the ideal placement and sizing of PV sources in distribution grids, offering a robust method to harmonize generation and storage. Hoosh et al. [11] assessed the economic value of storage placement by integrating multiple grid applications, proving that distributed storage enhances both operational efficiency and cost-effectiveness. Additionally, Massucco et al. [12] presented a unified framework for optimizing storage siting and sizing across transmission and distribution systems, highlighting its dual role in reserve provision and grid support. Collectively, these studies underscore the critical importance of optimized storage deployment in building resilient power systems. The work presented here expands on these findings by introducing an alternative integrated approach that minimizes blackout risks while maintaining high efficiency in grids with substantial VRES penetration.
Previous publications have analyzed the blackout risk in scenarios with a large fraction of generation coming from wind [13] and solar [14] based on the ORNL-PSERC-Alaska (OPA) model for self-organized criticality in power grid blackouts [15,16]. Unlike traditional power system models commonly used in electrical engineering, which focus on detailed physical representations of the grid components such as wind turbines [17] or hydrogen energy storage systems [18], the OPA model adopts a self-organized criticality framework that reproduces the statistical characteristics of blackouts. Setting aside the specific dynamics of the components, it considers the key ingredients to reproduce these statistics, such as the transmission grid structure, generation and consumer buses, power flow balance, periodic dispatches, system failures, secular demand growth, and demand fluctuations along with VRES variability. This alternative approach has the advantage of capturing emergent system-wide behaviors such as cascading failures and long-range correlations that are often overlooked by more detailed deterministic models, offering a complementary perspective for optimizing the amount and location of storage.
In detail, the dynamics of the OPA model include a secular constant increase in demand which triggers blackouts due to lines being overloaded, generation being insufficient, or system failures taking place randomly. It also includes daily demand variability and random failures of non-overloaded lines. After a failure has taken place, affected lines are upgraded or generation capacity is increased. As a result, the dynamics bring the system to a critical state in which random failures may trigger cascading blackouts. The size and frequency of the obtained blackouts can then be used to estimate the overall blackout risk of the network. The OPA model has been validated with blackout data from the Western Interconnection in the USA [19].
In particular, ref. [14] analyzed grid resilience and stress in scenarios with an increasing penetration of solar generation in the Balearic Islands power grid and considered the fraction of daily demand covered by solar generation as an indicator of the VRES performance. For simplicity, it considered all solar plants as being equal and managed as follows: plants aim to provide constant generation over one-month periods; to cope with the intrinsic weather variability, they are assigned a given storage capacity. For simplicity, a model of the solar generation variability based on a Gaussian fit to the available data was used, and it was found that the storage required in each plant was equivalent to the generation over 3.4 days.
Because energy storage is very expensive, this work introduces a more flexible management procedure to reduce requirements. Specifically, solar plants are not committed to produce the same generation every day of a month, only the expected generation of that day. In addition, only a fraction of the solar plants have storage capability. To compensate for demand fluctuations and overall solar variability, plants with storage can offer their daily generation plus their stored energy. Moreover, because the Gaussian fit for the solar generation variability underestimates the number of days with large amounts of insolation, a more accurate fitting method is introduced. As a result, configurations are identified that feature an optimal distribution of solar plants and storage that is capable of meeting about 80 % of demand with solar generation while maintaining a low risk of blackouts. The rest of the demand should be covered by current conventional plants and a high-voltage direct current (HVDC) submarine cable to the mainland. Furthermore, a possible operation is discussed in which all conventional power plants in the Balearic Islands are shut down and generation relies only on solar plants and the HVDC cable connection to the mainland, which has a capacity of only 21 % of the currently installed total generation capacity.
The rest of this paper is structured as follows. Section 2 briefly summarizes the OPA model and the risk measures, then introduces a more accurate fitting method for the solar variability along with a more flexible procedure for power plant management. Section 3 analyzes different scenarios in which solar plants cover a large fraction of the demand while the rest is covered by the current conventional plants and HVDC cable to the mainland. The analysis focuses on the optimal cases in which solar generation covers approximately 80 % of the demand, the blackout risk is lower than in the current baseline scenario, and the required amounts of solar plants and storage are minimized. Section 3.2 examines a scenario in which generation relies solely on solar power and the HVDC cable connection to the mainland. Section 3.3 considers with the impact of the spatial distribution of solar variability. Section 4 contains an overall discussion of the results. Finally, some concluding remarks are provided in Section 5.

2. Materials and Methods

2.1. The OPA Model

The OPA model describes the power flow dynamics in the transmission grid using a standard direct current (DC) approximation. It considers both fast and slow timescales. The fast timescale effectively describes line overloads and outages resulting from generation dispatch, which may trigger blackouts. The slow timescale describes the evolution over years, in which the demand in each grid node increases secularly ( 0.005 % daily growth, which corresponds to approximately 2 % annually), and also includes daily random variations.
The model assumes that overloaded lines can fail immediately with a probability p 1 . A line connecting nodes i and j is considered overloaded at time t if the dimensionless ratio M i j ( t ) of the power flow transmitted at that time to the flow limit reaches the value 0.9 . In addition, non-overloaded lines can also fail over time due to random events with a probability rate p 0 .
The dynamics are as follows: every day, power is dispatched to cover the demand, giving VRES generation preference over conventional plants; in the event of a line failure, power is repeatedly re-dispatched using the remaining available lines until no more line failures take place. The final dispatch may not be able to provide power to all grid nodes, that is, there may be a load shed L S . This event is considered a blackout if the dimensionless ratio of L S to the total power demand P D is larger than 10 3 . On the day after a blackout, overloaded and outaged lines are upgraded by increasing the flow maximum capacity by a factor μ > 1 .
To cope with the secular demand increase, generators are upgraded yearly by a fixed percentage ( 4 % ) if the generation capacity margin Δ P G ( P G P D ) / P D (where P G is the total generation capacity) averaged over a year decreases below a critical value Δ P G c = 0.4 .
All simulations in this study were performed using a custom implementation of the OPA model, developed entirely in C/C++ without reliance on commercial software. The fast-timescale blackout dynamics are modeled through an iterative process of cascading line failures and solved using a DC load flow approximation. Power dispatches at each iteration are computed by minimizing a cost function that includes generation costs and a high penalty for load shedding [15,16,20]. This optimization problem is solved using a simplex algorithm based on the open source C++ library CLP specifically adapted for the problem structure, including constraints on nodal power balance, generation limits, and transmission line capacities. The overall simulation framework includes routines for both the fast (cascading failures) and slow (network upgrade and demand growth) dynamics, allowing for long-term evolution studies. Simulations were executed on a high-performance computing cluster, with each run comprising tens of thousands of blackout cycles to ensure statistical robustness.

2.2. Stress and Risk Indicators

The overall stress and risk computed from numerical simulations over extended periods ( 100,000 days) are used as indicators of grid vulnerability. The overall stress is defined as
M = 1 N i , j M i j ( t ) ,
where N is the number of power lines and angle brackets and indicates averages over the time duration of a simulation. Because the line stress values M i j ( t ) are dimensionless and have a maximum value of 1 at any time, M is also dimensionless and cannot exceed 1.
The risk is an indicator of the economic cost caused by blackouts. For each blackout, the cost is taken as proportional to the lost energy, which can be computed as the load shedding L S times the duration of the blackout. The duration of a blackout is assumed to be proportional to its relative size S = L S / P D . Thus, the risk is evaluated as
Risk = A λ ( S ) S 2 P D 2 d S ,
where λ ( S ) is the probability density distribution of having a blackout of size S. In general, it is difficult to determine the value of the proportionality constant A. Normalizing the risk to the case without VRES yields a dimensionless quantity and avoids the evaluation of A. As discussed in [14], the risk has similar properties to the standard System Average Interruption Frequency Index (SAIFI), which measures the average number of interruptions that a customer experiences.

2.3. The Balearic Islands Transmission Network

Figure 1 shows the schematic representation of Balearic Islands transmission grid considered here based on information on the location of power plants and substations provided through the website of the Spanish Transmission System Operator, Red Eléctrica de España [21]. The grid covers the four main islands of Minorca, Mallorca, Ibiza, and Formentera, interconnected by alternate current (AC) submarine cables, which for the purpose of the model are considered as regular overhead AC lines. The grid has a total of 62 nodes interconnected by 89 transmission lines. In addition, there is a connection to the mainland grid through an HVDC submarine cable. For simplicity, this cable is represented by an equivalent conventional plant located at the node where the cable is connected (the gray circle in Figure 1).

2.4. Solar Plant Generation Variability

A synthetic solar generation model based on [14] is used here, consisting of a monthly base value to capture seasonal variability combined with a stochastic term representing daily variability.
As discussed in [14], installed solar capacity that is sized to match the annual average proves insufficient during the winter months. To address this, source redundancy is introduced by duplicating the monthly base generation from November to February. For simplicity, the additional installed capacity is assumed to remain unused during the rest of the year, although excess generation could potentially be exported through the HVDC cable or stored using long-term storage technologies such as hydrogen, as noted in [14].
Shifting the focus to daily variability, the analysis uses empirical power generation data measured at a rooftop solar plant owned by the Consell Insular de Menorca (CIME). Measurements were taken every 15 min for a time span close to 3 years. Figure 2 shows the distribution of the solar daily generation with respect to the averaged annual generation (red symbols). For simplicity, in [14] this distribution was fitted using a Gaussian fit (black line). Gaussian fitting works well for negative fluctuations, but underestimates positive fluctuations, as shown by the right tail in the figure; as a consequence, when performing simulations with the fitted Gaussian distribution for the daily fluctuations, the amount of days with large generation falls short. To address this issue, a new model for the daily fluctuations is considered here based on the combination of two Gaussian distributions. A distribution generated with this new model is plotted with blue symbols in the figure. The new model fits both the left and right tails of the distribution quite nicely.
For simplicity, the solar plants are assumed to be randomly distributed across the nodes of the transmission grid, as illustrated in Figure 1 for one specific case. An important question when dealing with distributed solar generation is the spatial correlation length of solar variability. Because the territory covered by the Balearic Islands is relatively small, strong correlation can occur across many locations. This is taken into account by grouping the solar plants into two sets (shown in green and red), with plants within each set experiencing identical solar variability. The solar variability between the two sets is uncorrelated.

2.5. Solar Power Plant Storage and Management

To smooth the solar generation variability discussed in the previous subsection, a certain amount of storage capacity is assumed to be available. In [14], an analysis was conducted on a scenario where all solar plants aim to provide the monthly base generation every day. This scenario requires a minimum storage capacity equivalent to 3.4 times the nominal daily capacity in order to compensate for the variability of generation. On days when actual generation is lower, solar plants draw from storage if available. On days when actual generation exceeds demand, the surplus is either stored or curtailed if storage is full.
Because storage is expensive, a more flexible scheme is considered here in which only a fraction of the solar plants have storage capacity. The optimal distribution of plants with storage is analyzed. Solar plants without storage provide daily generation capacity equivalent to the solar output on that day, while solar plants with storage provide daily capacity equal to the solar generation plus the energy stored in the battery. Dispatch allocates generation between conventional and solar plants, ensuring that total generation matches total demand and does not exceed the maximum capacity of any plant or line. Due to their lower generation cost, solar plants are prioritized in dispatch over conventional plants.

2.6. Peak Demand and Blackout Data

A daily synthetic peak demand for the OPA model is constructed as follows: first, actual power demand data for the Balearic Islands, which is publicly available from the Red Eléctrica de España website [22], is used. Specifically, the daily peak data are employed to fit a sixth-order polynomial using least squares fitting [14], resulting in a smooth annual profile that captures seasonal variations. Second, the smooth profile is adjusted to include secular demand growth (a 0.005 % daily increase) and random demand fluctuations drawn from a Gaussian distribution with zero mean and variance matching that of the deviations between actual daily peak demand and the smooth annual profile. Third, the daily aggregated peak demand is distributed among the different buses according to the relative weight reported in [23].
There is very limited public information on blackouts involving the Balearic Islands. No official sources providing detailed blackout data or cascade propagation have been found. For the OPA model, the parameter p 0 = 0.0001 days−1 is adopted from [14], where it was determined by fitting the probability of large blackouts (exceeding 10 % of total demand) to press reports. Additionally, parameters p 1 = 0.05 and μ = 1.04 are taken from [19], which analyzed blackout cascades in the US power grid.

2.7. Workflow for Implementing the Methodology

This subsection outlines the sequence of steps required to determine the optimal number and placement of solar plants along with the corresponding storage capacity for a given transmission power grid using the proposed simulation-based methodology.
  • Grid Setup and Parameter Initialization: Begin by constructing a digital representation of the transmission network, specifying the topology (nodes and transmission lines), generation capacities, and load distributions, as was done for the Balearic transmission grid in Section 2.3. Define the OPA model parameters for the line failure probabilities ( p 0 , p 1 ), upgrade factor ( μ ), demand growth rate, and solar generation characteristics based on available data. For example, see [14] for the case of the Balearic transmission network.
  • Demand and Solar Variability Modeling: Generate synthetic daily demand profiles incorporating secular growth and stochastic fluctuations based on empirical data. Construct synthetic solar generation profiles by combining seasonal variation with daily stochastic fluctuations modeled using a mixture of Gaussian distributions, as discussed in Section 2.4.
  • Solar Plant and Storage Allocation: Define candidate configurations with different numbers and locations of solar plants in a Monte Carlo fashion, with a subset of them including storage. Assign the spatial correlation structure of solar variability across zones as explained in Section 2.4.
  • Simulation of Grid Dynamics: For each candidate configuration, simulate the long-term evolution of the power system using the OPA model, as described in Section 2.1. The model operates over fast and slow timescales to capture cascading failures, re-dispatch, upgrades, and demand growth. Power dispatches are computed using a simplex algorithm adapted to minimize generation cost and load shedding under DC load flow constraints.
  • Evaluation of Stress and Risk: Compute the overall stress M and blackout-induced risk based on the size and frequency of cascading failures, as described in Section 2.2. Use these metrics to quantify system performance and vulnerability.
  • Optimization Loop: Explore the space of possible configurations by varying the number and placement of solar plants and storage. Identify the configuration(s) that minimize the total amount of required storage while keeping the blackout risk below a defined threshold (e.g., the baseline risk without VRES).
This workflow provides a comprehensive, data-informed, and computationally robust method to guide the integration of solar power and storage into existing grids. It leverages the statistical power of the OPA model to evaluate systemic responses that are often missed by deterministic models, offering a powerful tool for planning resilient energy systems in the context of high renewable penetration.

3. Results

This section presents the results for scenarios in which the amount of solar power plants is increased while all current conventional plants and the HVDC connection to mainland remain in operation. Thus, the fraction of the total installed capacity provided by solar plants is progressively increased, while the fraction provided by conventional plants and the HVDC cable is reduced, as shown in Figure 3. For each scenario, the installed solar capacity is evenly distributed among the plants, meaning that all solar plants have the same nominal capacity for a given scenario. Solar plants are placed randomly at the 62 nodes of the Balearic grid, subject to the restriction that each node can accommodate at most one solar plant. Furthermore, some solar plants are randomly selected to have storage capability equivalent to 3.4 times their nominal daily generation capacity.

3.1. Optimizing the Number and Location of Solar Plants and Storage

A total of 1600 cases were sampled, each with varying numbers of solar plants and solar plants with storage. For each case, the blackout risk normalized to that of the baseline case without solar plants is evaluated as described in Section 2.2. Figure 4a presents the results for the normalized risk in each case. The x-axis represents the fraction of nodes with a solar plant, while the y-axis shows the fraction of nodes hosting a solar plant with storage.
The addition of a few solar plants, even without storage, reduces the risk with respect to the reference case due to the fact that generation is distributed among more nodes. However, the risk increases as more solar plants are added, and in scenarios with a large number of solar plants with little storage (top right part of the figure) the risk can be much larger than the reference case. This is due to the fact that the reduced conventional generation is insufficient to cope with the fluctuations in solar variability and demand. Storage is clearly helpful in this respect; overall, the risk typically decreases as the amount of plants with storage increases.
The analysis focuses on scenarios with a high penetration of solar generation. A dimensionless indicator of performance is the time average of the fraction of the demand P D ( t ) covered by solar generation P S ( t ) :
P fract = P S ( t ) / P D ( t ) .
Figure 4b displays the normalized risk for the cases in which P fract exceeds 79 % . Most of these cases are located on the far right of the figure, corresponding to configurations with solar plants installed at more than 70 % of the nodes. The ten cases marked with gray-filled circles are particularly noteworthy, as they combine relatively low risk with a comparatively small number of solar plants and reduced storage. For these reasons, we consider them to be optimal configurations. These optimal solutions feature varied distributions of solar plants and storage. For instance, the symbols in Figure 1 illustrate the distribution of solar plants with storage (stars) and without (squares) in the optimal case 8. The number of solar plants and storage requirements for all optimal cases are presented in Figure 5a. The corresponding values of P fract , which remain around 80 % , are shown in Figure 5b.
To clarify the specific requirements of these optimal configurations, we note that the total number of solar plants ranges between 34 and 40 across the ten optimal cases, while only a subset of plants (between 8 and 26) requires storage. The storage capacity is sized at approximately 3.4 times the nominal daily generation of each equipped plant. As a concrete example, case 8 (shown in Figure 1 and Figure 5) comprises 36 solar plants, of which 25 are equipped with storage. These results highlight that strategic storage placement can significantly reduce overall storage needs while maintaining low blackout risk.
Figure 6 shows the blackout risk normalized to that of the reference case without solar plants. For all cases, the blackout risk is smaller that that of the reference case. As usually observed for the OPA model, risk reduction comes at the price of slightly increasing the frequency of blackouts [24]. Particularly remarkable are cases 5 and 8, for which the risk is reduced to about half that of the reference case. Case 3 is also quite interesting, since despite having a relatively small amount of storage (only 8 plants with storage, far less than the 21 of case 5 or the 25 of case 8), the risk is still below that of the reference case. The spatial configuration of cases 3 and 5 is shown in Figure 7, while that for case 8 is shown Figure 1.
Utilization of the solar plants is now discussed. In fact, despite all solar plants having the same nominal capacity, in the long run not all of them will have the same degree of utilization. Figure 8 shows the average used generation of each solar plant normalized to the total solar generation. The solar plants with storage provide about 50 % more energy than those without. This is a consequence of the fact that power plants with storage offer daily capacity equivalent to their solar generation plus the energy stored in the battery.
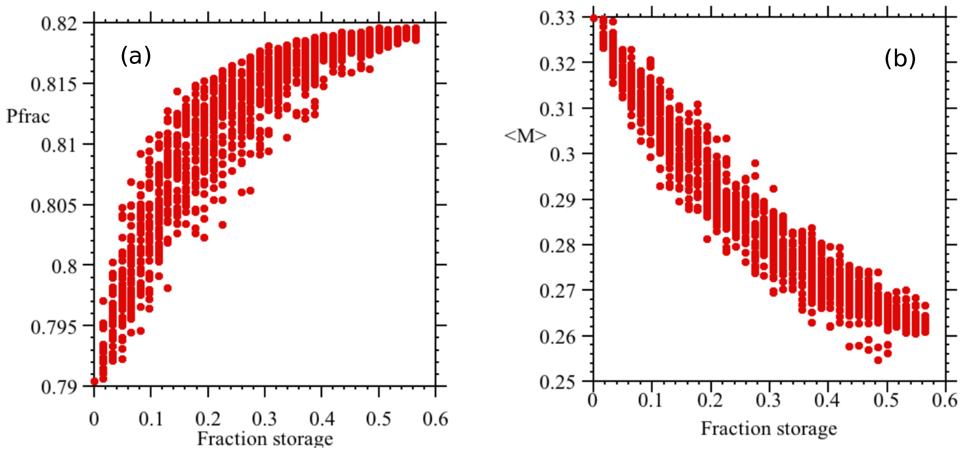
The optimization of storage is further analyzed by considering the distribution of solar plants for the best cases, 5 and 8, and performing Monte Carlo simulations with the same solar plants but varying the amount of storage and reshuffling its location. Figure 9 shows the results for the risk. The blue point corresponds to the original distribution of storage for cases 5 and 8. In general, decreasing the amount of storage increases the risk, as expected; nevertheless, it is clear from the figure that even for the fraction of storage reduced to only 13% of the nodes, there are configurations for which the risk is below 1, that is, below the reference case without solar generation. This is in agreement with the results for case 3, where the risk is below the reference case despite having only eight nodes with storage. Figure 10 shows the results for P fract and for the average line stress M when changing the storage amount and reshuffling for case 8. The variations here are not as dramatic as for the risk, with P fract remaining around 0.8 , although the trend becomes smaller as the amount of storage is reduced and its variability increases. The variation of M is more significant, increasing as the amount of storage is reduced. This can be understood by considering that solar plants with storage have larger utilization, as discussed above. Thus, fewer solar plants with storage effectively implies that despite the solar plants themselves being the same, the solar generation is concentrated at fewer points; typically, when generation is concentrated at fewer points, the average stress increases.

3.2. VRES and HVDC Cable

This section explores the feasibility of operating the Balearic Islands power grid with VRES, relying solely on the HVDC cable to the mainland for support and shutting down all conventional power plants on the islands. Assuming that the power supplied via the cable originates from carbon-free generation sources elsewhere, this scenario represents a fully decarbonized electricity system.
For the optimal cases considered before, which had between 34 and 40 solar plants, conventional generation can be reduced to about 20 % of the total generation, as shown in Figure 3. For instance, the total conventional generation in case 8 was reduced to 20.2 % of the total generation, that is, 384 MW. The current HVDC cable to the mainland has a capacity of 400 MW, which is 21 % of the installed capacity on the islands; therefore, in principle it is feasible to cover the whole demand with VRES and cable.
Figure 11 shows the results for the blackout risk and frequency normalized to the reference case for the optimal cases discussed before when operated only with the solar plants and the cable. For each case, the risk is larger than when considering several conventional power plants due to the fact that all conventional generation is now concentrated in the single node where the cable arrives. As before, case 8 has the smallest risk, followed by case 1. Nevertheless, except for cases 3 and 4, the risk is below that of the reference case without solar generation. The frequency of blackouts remains essentially the same or slightly elevated than for the scenario with several conventional power plants. These results indicate that basing electricity generation solely on solar plants and the HVDC cable would be feasible under the scenarios considered here, although maintaining some conventional plants would result in lower risk.

3.3. Spatial Distribution of Solar Variability

The above results assume that solar variability is distributed across two sets, as described in Section 2.4. The following analysis examines the impact of a scenario with more distributed variability by considering four sets. In particular, the red set is split into a set including nodes 0 to 5, which are located in Minorca, and another set with the rest of the nodes located in Mallorca. Similarly, the green set is split into a set with nodes 46 and 48–53, located in Ibiza and Formentera, and another set with the rest of nodes, located in Mallorca.
Simulations for the optimal cases considered previously shows that the average fraction of demand covered by the solar generation remains practically the same as for the two-set configuration. However, a strong reduction of the risk by about a factor 2 is observed, as can be seen by comparing Figure 12 with Figure 6. The frequency of the blackouts is also reduced, albeit to a smaller degree. To further illustrate this, Figure 13 shows the rank distribution of the blackout sizes for the optimal case 8 when considering two (blue symbols) and four (red symbols) sets for the solar variability. The main change in the risk comes from a significant reduction in intermediate-size blackouts. Because the number of small blackouts, which are the most frequent, remains practically the same, the reduced risk is much more substantial than the reduction in the frequency of blackouts.

4. Discussion

Optimization of the distribution of solar plants and storage in power grids has been explored using the Balearic Islands transmission grid as a case study, with the goal of achieving high penetration of VRES. By applying the OPA model, optimal configurations can be identified that minimize blackout risk while enhancing efficiency and reliability. These configurations require only a small fraction of the storage originally assumed in [14].
The findings from this study indicate that with an optimal distribution of solar plants and a strategic placement of storage, it is feasible to achieve a scenario where solar generation meets approximately 80 % of the total electricity demand. Notably, cases such as the one identified as case 8 demonstrate a significant reduction in blackout risk to approximately half that of the reference case without solar plants while maintaining a manageable frequency of blackouts. The addition of storage at solar plants notably enhances their generation capacity, highlighting the importance of strategic storage integration.
It is important to emphasize that the OPA model is not designed to reproduce specific power systems in detail but rather to capture the statistical characteristics of blackouts and the emergent behavior of complex grids; as such, the solutions proposed here should be interpreted as high-level planning guidelines. The strength of the OPA framework lies in its ability to simulate systemic phenomena such as cascading failures and long-range correlations, which are often overlooked in traditional deterministic analyses. Nevertheless, any proposed configuration based on this methodology should be further tested with more detailed grid models and subjected to technical and economic feasibility assessments prior to implementation.
In addition to the specific case of the Balearic Islands, this approach allows for the extraction of general recommendations that may guide similar planning efforts in other locations. While additional storage generally helps to improve system reliability, it is also costly. The results of this study show that carefully optimized configurations can substantially reduce the number of solar plants that require storage while keeping blackout risk low. Importantly, identifying such configurations is not straightforward and requires extensive statistical analysis. A key insight is that spatial correlations in solar generation must be taken into account, as distributing storage capacity across zones with the least correlated solar fluctuations can significantly improve resilience and reduce the need for redundant infrastructure.
To perform a full optimization that includes economic and societal factors, additional information such as the infrastructure conditions at each node, physical and administrative feasibility of installing a solar plant, and current costs of equipment and installation would be needed. However, the results presented here reveal a broad set of diverse and viable configurations, suggesting that at least one of these requirements could be tailored to match real-world constraints.
Furthermore, a fully decarbonized scenario has been analyzed in which the Balearic Islands grid operates solely with solar plants and the HVDC cable connection to the mainland, eliminating conventional power plants; although this scenario increases the risk due to the concentration of generation at the HVDC connection point, it remains feasible, highlighting the potential for a significant shift toward renewable energy reliance.

5. Conclusions

This study demonstrates the feasibility of achieving high penetration of variable renewable energy sources in island power systems through optimized placement of solar generation and storage. Using the OPA model, configurations have been identified that minimize blackout risk and reduce the need for extensive storage infrastructure.
The results show that combining a well-designed distribution of solar plants with targeted storage deployment can ensure grid resilience even under high solar penetration. The proposed approach captures emergent behaviors such as cascading failures and offers system-level planning insights that complement traditional deterministic methods.
While findings are grounded in the case study of the Balearic Islands power grid, the methodology and key principles—such as exploiting spatial variability in solar resources and minimizing correlated risk through strategic storage allocation—are broadly applicable. These insights can guide energy transition strategies in other regions, particularly in scenarios where cost, resilience, and environmental sustainability must be balanced.
Future work should incorporate more detailed economic assessments, infrastructure constraints, and local policy frameworks in order to refine these results and support real-world implementations.

Author Contributions

Conceptualization, methodology, and investigation, all authors; formal analysis, P.C., B.A.C. and D.G.; software, B.A.C. and J.M.R.-B.; visualization, B.A.C. and P.C.; writing—original draft preparation, P.C.; writing—review and editing, all authors. All authors have read and agreed to the published version of the manuscript.

Funding

This research was funded by MICIU/AEI/10.13039/501100011033 and FEDER, EU grant number PID2021-122256NB-C22 (APASOS), and by MICIU/AEI/10.13039/501100011033 grant number CEX2021-001164-M under the Maria de Maeztu Program for units of Excellence in R&D. In addition, B.A.C. and J.M.R.-B. acknowledge access to Uranus, a supercomputer cluster located at Universidad Carlos III de Madrid (Spain) funded jointly by EU FEDER funds and by the Spanish Government via the National Research Project Nos. UNC313-4E-2361, ENE2009-12213-C03-03, ENE2012-33219, and ENE2012-31753.

Data Availability Statement

The original contributions presented in the study are included in the article, further inquiries can be directed to the corresponding author.

Conflicts of Interest

The authors declare no conflicts of interest.

Abbreviations

The following abbreviations are used in this manuscript:
VRESVariable Renewable Energy Sources
ORNLOak Ridge National Laboratory
PSERCPower Systems Engineering Research Center
OPAORNL-PSERC-Alaska
HVDCHigh-Voltage Direct Current
DCDirect Current
ACAlternate Current
CIMEConsell Insular de Menorca

References

  1. Cebulla, F.; Naegler, T.; Pohl, M. Electrical energy storage in highly renewable European energy systems: Capacity requirements, spatial distribution, and storage dispatch. J. Energy Storage 2017, 14, 211–223. [Google Scholar] [CrossRef]
  2. Zerrahn, A.; Schill, W.P. Long-run storage requirements for high shares of renewables: Review and a new model. Renew. Sustain. Energy Rev. 2017, 79, 1518–1534. [Google Scholar] [CrossRef]
  3. Denholm, P.; Mai, T. Timescales of energy storage needed for reducing renewable energy curtailment. Renew. Energy 2019, 130, 388–399. [Google Scholar] [CrossRef]
  4. Frew, B.; Cole, W.; Denholm, P.; Frazier, A.; Vincent, N.; Margolis, R. Sunny with a chance of curtailment: Operating the US grid with very high levels of solar photovoltaics. iScience 2019, 21, 436–447. [Google Scholar] [CrossRef] [PubMed]
  5. Perez, M.; Perez, R.; Rábago, K.; Putnam, M. Overbuilding & curtailment: The cost-effective enablers of firm PV generation. Sol. Energy 2019, 180, 412–422. [Google Scholar] [CrossRef]
  6. Shafiullah, G.; Arif, M.T.; Oo, A.M. Mitigation strategies to minimize potential technical challenges of renewable energy integration. Sustain. Energy Technol. Assess. 2018, 25, 24–42. [Google Scholar] [CrossRef]
  7. Shoeb, M.A.; Shahnia, F.; Shafiullah, G.M. A Multilayer and Event-Triggered Voltage and Frequency Management Technique for Microgrid’s Central Controller Considering Operational and Sustainability Aspects. IEEE Trans. Smart Grid 2019, 10, 5136–5151. [Google Scholar] [CrossRef]
  8. Matthiss, B.; Momenifarahani, A.; Binder, J. Storage Placement and Sizing in a Distribution Grid with High PV Generation. Energies 2021, 14, 303. [Google Scholar] [CrossRef]
  9. Zhu, Y.; Liu, C.; Dai, R.; Liu, G.; Xu, Y. Optimal Battery Energy Storage Placement for Transient Voltage Stability Enhancement. In Proceedings of the 2019 IEEE Power & Energy Society General Meeting (PESGM), Atlanta, GA, USA, 4–8 August 2019; pp. 1–5. [Google Scholar] [CrossRef]
  10. Montoya, O.D.; Grisales-Noreña, L.F.; Giral-Ramírez, D.A. Optimal Placement and Sizing of PV Sources in Distribution Grids Using a Modified Gradient-Based Metaheuristic Optimizer. Sustainability 2022, 14, 3318. [Google Scholar] [CrossRef]
  11. Hoosh, S.M.; Ouerdane, H.; Terzija, V.; Pozo, D. Assessing the Value of Energy Storage Systems for Distribution Grid Applications. In Proceedings of the 2023 IEEE 7th Conference on Energy Internet and Energy System Integration (EI2), Hangzhou, China, 15–18 December 2023; pp. 813–818. [Google Scholar] [CrossRef]
  12. Massucco, S.; Pongiglione, P.; Silvestro, F.; Paolone, M.; Sossan, F. Siting and Sizing of Energy Storage Systems: Towards a Unified Approach for Transmission and Distribution System Operators for Reserve Provision and Grid Support. Electr. Power Syst. Res. 2021, 190, 106660. [Google Scholar] [CrossRef]
  13. Carreras, B.; Reynolds-Barredo, J.; Newman, D. Optimizing the impact of incorporating wind energy in the electric grid. J. Strateg. Innov. Sustain. 2020, 15, 27. [Google Scholar]
  14. Carreras, B.A.; Colet, P.; Reynolds-Barredo, J.M.; Gomila, D. Assessing blackout risk with high penetration of variable renewable energies. IEEE Access 2021, 9, 132663–132674. [Google Scholar] [CrossRef]
  15. Carreras, B.; Lynch, V.; Newman, D. Model for self-organization in electric power system blackouts. In Proceedings of the Hawaii International Conference on System Science, Maui, HI, USA, 3–6 January 2001. [Google Scholar]
  16. Mei, S.; Zhang, X.; Cao, M. Power Grid Complexity; Springer: Berlin/Heidelberg, Germany, 2011. [Google Scholar]
  17. Bay, Y.D.; Suvorov, A.A.; Gusev, A.S.; Razzhivin, I.A.; Askarov, A.B. Stochastic Modeling of a DFIG Wind Turbine in Matpower. IEEE Access 2021, 9, 76005–76014. [Google Scholar] [CrossRef]
  18. Ufa, R.; Malkova, Y.; Gusev, A.; Ruban, N.; Vasilev, A. Algorithm for optimal pairing of res and hydrogen energy storage systems. Int. J. Hydrogen Energy 2021, 46, 33659–33669. [Google Scholar] [CrossRef]
  19. Carreras, B.; Newman, D.; Dobson, I.; Degala, N.S. Validating OPA with WECC data. In Proceedings of the 46th Hawaii International Conference on System Science, Wailea, HI, USA, 7–10 January 2013. [Google Scholar]
  20. Gomila, D.; Carreras, B.A.; Reynolds-Barredo, J.M.; Martínez-Barbeito, M.; Colet, P.; Gomis-Bellmunt, O. Reducing Blackout Risk by Segmenting European Power Grid with HVDC Lines. J. Mod. Power Syst. Clean Energy, 2025, in press. [CrossRef]
  21. Available online: https://www.ree.es/sites/default/files/downloadable/sistema_electrico_balear_2015_es.pdf (accessed on 1 October 2024).
  22. Available online: https://www.ree.es/es/datos/demanda (accessed on 1 October 2024).
  23. Rojo, R. Capacidad de Evacuación y Suministro Nodal en un Sistema Eléctrico. Master’s Thesis, Universidad Carlos III de Madrid, Madrid, Spain, 2009. Available online: https://hdl.handle.net/10016/8199 (accessed on 1 October 2024).
  24. Newman, D.E.; Carreras, B.A.; Lynch, V.E.; Dobson, I. Exploring complex systems aspects of blackout risk and mitigation. IEEE Trans. Reliab. 2011, 60, 134. [Google Scholar] [CrossRef]
Figure 1. Schematic representation of the Balearic Islands transmission grid considered here as a case study. The grid consists of 62 nodes connected by 89 lines, including AC submarine cables between Mallorca and Minorca, Mallorca and Ibiza, and Ibiza and Formentera. As discussed in the text, solar generation variability is assumed to be distributed across two zones, indicated by red and green colors. Stars correspond to nodes with solar plants and storage, squares to solar plants without storage, and circles to nodes without solar plants. The grey circle indicates the node connected to mainland via HVDC cable. The distribution shown here is that of the optimal case 8 discussed in Section 3.1.
Figure 1. Schematic representation of the Balearic Islands transmission grid considered here as a case study. The grid consists of 62 nodes connected by 89 lines, including AC submarine cables between Mallorca and Minorca, Mallorca and Ibiza, and Ibiza and Formentera. As discussed in the text, solar generation variability is assumed to be distributed across two zones, indicated by red and green colors. Stars correspond to nodes with solar plants and storage, squares to solar plants without storage, and circles to nodes without solar plants. The grey circle indicates the node connected to mainland via HVDC cable. The distribution shown here is that of the optimal case 8 discussed in Section 3.1.
Energies 18 03891 g001
Figure 2. Distribution of the solar daily generation with respect to the annual average as obtained from the CIME solar plant (red symbols). The X-axis shows fluctuations normalized to the annual average generation, resulting in a dimensionless quantity with a minimum possible value of 1 , which corresponds to a day with no solar generation at all. The black solid line shows the Gaussian fit used in [14], while the blue symbols show the distribution obtained by combining two Gaussian distributions, as discussed in the text.
Figure 2. Distribution of the solar daily generation with respect to the annual average as obtained from the CIME solar plant (red symbols). The X-axis shows fluctuations normalized to the annual average generation, resulting in a dimensionless quantity with a minimum possible value of 1 , which corresponds to a day with no solar generation at all. The black solid line shows the Gaussian fit used in [14], while the blue symbols show the distribution obtained by combining two Gaussian distributions, as discussed in the text.
Energies 18 03891 g002
Figure 3. Fraction of the total installed capacity provided by solar plants in scenarios involving an increasing number of solar plants. The plotted quantities are dimensionless.
Figure 3. Fraction of the total installed capacity provided by solar plants in scenarios involving an increasing number of solar plants. The plotted quantities are dimensionless.
Energies 18 03891 g003
Figure 4. (a) Risk obtained by sampling different cases depending on the fraction of nodes with a solar plant and the fraction of nodes with a solar plant and storage. The risk is normalized to the case without solar plants, resulting in a dimensionless quantity. (b) Cases with solar generation covering over 79 % of the total demand.
Figure 4. (a) Risk obtained by sampling different cases depending on the fraction of nodes with a solar plant and the fraction of nodes with a solar plant and storage. The risk is normalized to the case without solar plants, resulting in a dimensionless quantity. (b) Cases with solar generation covering over 79 % of the total demand.
Energies 18 03891 g004
Figure 5. (a) Number of solar plants with storage (blue) and without (orange) and (b) values of P fract for the ten optimal cases discussed in the text.
Figure 5. (a) Number of solar plants with storage (blue) and without (orange) and (b) values of P fract for the ten optimal cases discussed in the text.
Energies 18 03891 g005
Figure 6. Blackout risk and frequency normalized to the reference case without solar plants for the optimal cases. The plotted quantities are dimensionless.
Figure 6. Blackout risk and frequency normalized to the reference case without solar plants for the optimal cases. The plotted quantities are dimensionless.
Energies 18 03891 g006
Figure 7. Distribution of solar plants with storage (stars) and without (squares) for cases 3 (a) and 5 (b). Node colors as in Figure 1.
Figure 7. Distribution of solar plants with storage (stars) and without (squares) for cases 3 (a) and 5 (b). Node colors as in Figure 1.
Energies 18 03891 g007
Figure 8. Average generation of each solar plant normalized to the total solar plant capacity for case 8. The plotted quantities are dimensionless.
Figure 8. Average generation of each solar plant normalized to the total solar plant capacity for case 8. The plotted quantities are dimensionless.
Energies 18 03891 g008
Figure 9. Normalized risk for the optimal cases 5 (a) and 8 (b) when keeping the same solar plants but varying the amount of storage and reshuffling storage locations, as discussed in the text. The blue point corresponds to the original distribution of storage for cases 5 and 8. The plotted quantities are dimensionless.
Figure 9. Normalized risk for the optimal cases 5 (a) and 8 (b) when keeping the same solar plants but varying the amount of storage and reshuffling storage locations, as discussed in the text. The blue point corresponds to the original distribution of storage for cases 5 and 8. The plotted quantities are dimensionless.
Energies 18 03891 g009
Figure 10. Average fraction of the demand covered by solar generation (a) and average line stress (b) for Monte Carlo simulations of the optimal case 8 when keeping the same solar plants but varying the amount of storage and reshuffling storage locations. The plotted quantities are dimensionless.
Figure 10. Average fraction of the demand covered by solar generation (a) and average line stress (b) for Monte Carlo simulations of the optimal case 8 when keeping the same solar plants but varying the amount of storage and reshuffling storage locations. The plotted quantities are dimensionless.
Energies 18 03891 g010
Figure 11. Normalized blackout risk and frequency for the optimal cases considering a grid composed of only solar plants and the HVDC cable, without any conventional power plants. The plotted quantities are dimensionless.
Figure 11. Normalized blackout risk and frequency for the optimal cases considering a grid composed of only solar plants and the HVDC cable, without any conventional power plants. The plotted quantities are dimensionless.
Energies 18 03891 g011
Figure 12. Normalized risk and frequency of blackouts for the optimal cases considering solar variability distributed among four sets of plants. The plotted quantities are dimensionless.
Figure 12. Normalized risk and frequency of blackouts for the optimal cases considering solar variability distributed among four sets of plants. The plotted quantities are dimensionless.
Energies 18 03891 g012
Figure 13. Rank distribution of blackout sizes for the optimal case 8 when considering two (blue symbols) and four (red symbols) sets of plants for the solar variability. Blackout sizes are normalized to demand, yielding a dimensionless quantity L S / P D .
Figure 13. Rank distribution of blackout sizes for the optimal case 8 when considering two (blue symbols) and four (red symbols) sets of plants for the solar variability. Blackout sizes are normalized to demand, yielding a dimensionless quantity L S / P D .
Energies 18 03891 g013
Disclaimer/Publisher’s Note: The statements, opinions and data contained in all publications are solely those of the individual author(s) and contributor(s) and not of MDPI and/or the editor(s). MDPI and/or the editor(s) disclaim responsibility for any injury to people or property resulting from any ideas, methods, instructions or products referred to in the content.

Share and Cite

MDPI and ACS Style

Colet, P.; Carreras, B.A.; Reynolds-Barredo, J.M.; Gomila, D. Optimal Distribution Planning of Solar Plants and Storage in a Power Grid with High Penetration of Renewables. Energies 2025, 18, 3891. https://doi.org/10.3390/en18153891

AMA Style

Colet P, Carreras BA, Reynolds-Barredo JM, Gomila D. Optimal Distribution Planning of Solar Plants and Storage in a Power Grid with High Penetration of Renewables. Energies. 2025; 18(15):3891. https://doi.org/10.3390/en18153891

Chicago/Turabian Style

Colet, Pere, Benjamín A. Carreras, José Miguel Reynolds-Barredo, and Damià Gomila. 2025. "Optimal Distribution Planning of Solar Plants and Storage in a Power Grid with High Penetration of Renewables" Energies 18, no. 15: 3891. https://doi.org/10.3390/en18153891

APA Style

Colet, P., Carreras, B. A., Reynolds-Barredo, J. M., & Gomila, D. (2025). Optimal Distribution Planning of Solar Plants and Storage in a Power Grid with High Penetration of Renewables. Energies, 18(15), 3891. https://doi.org/10.3390/en18153891

Note that from the first issue of 2016, this journal uses article numbers instead of page numbers. See further details here.

Article Metrics

Back to TopTop