Distributed Dispatch and Profit Allocation for Parks Using Co-Operative Game Theory and the Generalized Nash Bargaining Approach
Abstract
1. Introduction
- Development of models for ESSs, EVs, and ACSs within parks, followed by the creation of a distributed dispatch model grounded in cooperative game theory;
 - Introduction of a generalized Nash bargaining profit allocation model based on the contribution degree of parks, ensuring fair distribution for parks engaged in market transactions;
 - Application of the ADMM to solve the distributed dispatch and profit allocation model, promoting resource sharing and lowering park operating costs.
 
2. Distributed Dispatch Model for Park Markets Based on Cooperative Game
2.1. Park Equipment Modeling
2.1.1. Energy Storage Model
2.1.2. Air Conditioning System Model
2.1.3. Electric Vehicle Model
2.2. Transaction Model for Park Markets with Energy Sharing
3. Distributed Trading Model for Parks Based on Generalized Nash Bargaining
3.1. Park Profit Allocation Method Based on Generalized Nash Bargaining
3.1.1. Nash Bargaining Theory
- Individual rationality: This axiom guarantees that each player finds participation in the negotiation to be rational. Specifically, the advantages gained from engaging in the negotiation must outweigh the costs associated with direct market transactions. If not, players would lack motivation to take part in the negotiation process.
 - Pareto optimality: This principle ensures that the bargaining scheme attains a Pareto-optimal state, indicating that no participant can enhance their payoff without diminishing the payoff of others. Consequently, this guarantees that the final bargaining solution is both efficient and fair.
 - Independence: This axiom states that the bargaining solution retains its validity when applied to a subset of the original set, and it will also be applicable to any subset, thereby ensuring consistency across various feasible decision frameworks.
 - Independence of linear transformation: The bargaining solution remains unaffected by linear transformations of both benefits and costs. This characteristic indicates that the solution is resilient to linear adjustments in utility functions, allowing for adaptability in diverse real-world situations.
 - Feasibility: The negotiation outcome must ensure that no allocation is worse than the outcome of non-cooperation.
 - Symmetry: If the positions of the players are symmetric, the negotiation outcome must also be symmetric.
 
3.1.2. Generalized Nash Bargaining Profit Allocation Model Based on Park Contribution Degree
3.2. Distributed Transaction-Solving Method for Parks
3.2.1. Basic Principle of the Alternating Direction Method of Multipliers
3.2.2. Problem Transformation
3.2.3. Distributed Transaction Solving Process
4. Case Study
4.1. Test System Description
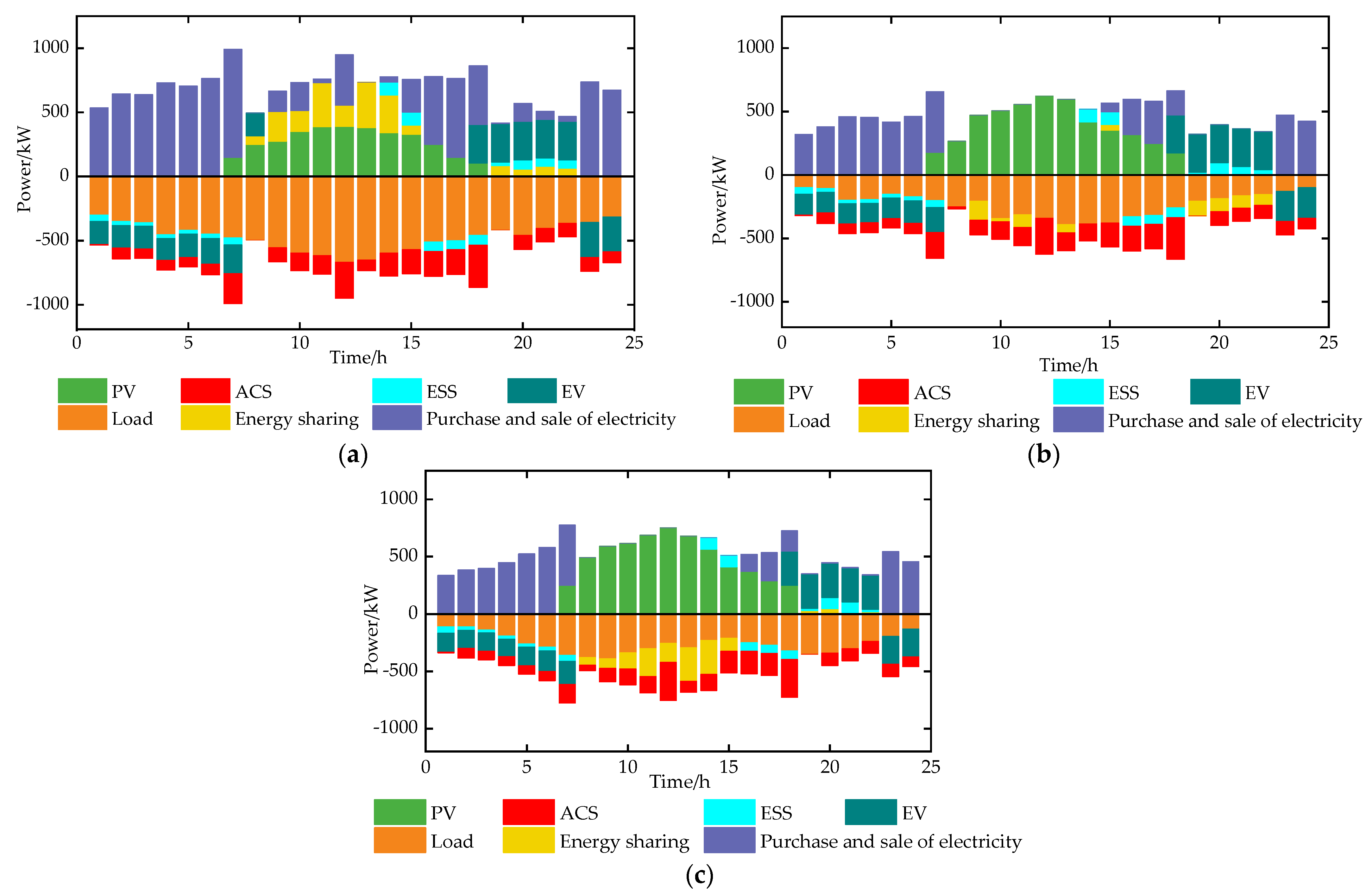
4.2. Energy Management and Market Trading Strategy Analysis for Parks
4.3. Validity Analysis of the Generalized Nash Bargaining Model
4.4. Convergence Analysis of the ADMM Algorithm
5. Conclusions
- The proposed method effectively identifies the optimal distributed dispatch strategy for parks, promoting localized distributed energy consumption while maximizing the advantages of resource sharing and mutual support.
 - In contrast to the standard Nash bargaining method, the generalized Nash bargaining approach offers a more equitable profit allocation, rewarding parks with greater contributions and fostering increased cooperation among them.
 - The ADMM algorithm guarantees rapid convergence of the model to the optimal solution, fulfilling the scheduling and transaction requirements of the parks while ensuring the accuracy of the results.
 
Author Contributions
Funding
Data Availability Statement
Conflicts of Interest
Nomenclature
| Abbreviations | |
| EMS | Energy management system | 
| PV | Photovoltaic | 
| ESS | Energy storage system | 
| EV | Electric vehicle | 
| ACS | Air conditioning system | 
| ADMM | Alternating direction method of multipliers | 
| SOC | State of charge | 
| Indices | |
| i/j | Indices of parks | 
| t | Index of time period | 
| v | Index of the EV | 
| Parameters | |
| Operating cost of the ES | |
| Charge and discharge loss cost of the EV | |
| Battery purchase cost of the EV | |
| / | Transaction cost/network fee of electricity purchase and sale between the park and the market operator | 
| Payment cost of the park in the distributed transaction | |
| Charge and discharge loss cost per unit of the ESS | |
| / | Maximum charge and discharge power of the ESS | 
| / | Charge and discharge efficiency of the ESS | 
| / | Minimum and maximum storage level of the ESS | 
| C/R | Equivalent heat capacity/ thermal resistance of the park | 
| / | Upper and lower limits of allowable indoor temperature | 
| Cooling efficiency of the ACS | |
| Number of battery charge and discharge cycles of the EV | |
| Battery discharge depth of the EV | |
| Battery capacity of the EV | |
| / | Charge and discharge efficiency of the EV | 
| / | Maximum charge and discharge power of the EV | 
| / | Start/end time of EV access | 
| / | Upper and lower limits of the SOC of the EV | 
| N | Number of parks in the alliance | 
| / | Electricity purchase/sell price | 
| Unit electricity transmission cost between parks | |
| Basic load of the park | |
| Variables | |
| / | Charging and discharging power of the ESS | 
| Storage level of the ESS | |
| / | Outdoor and indoor temperatures | 
| Cooling capacity of the ACS | |
| Cooling power of the ACS | |
| / | Charge and discharge power of the EV | 
| SOC of the EV | |
| / | Purchase/sale of electricity | 
| Electric power traded between parks | |
| PV output in the park | |
Appendix A


References
- Tan, C.; Geng, S.; Tan, Z.; Wang, G.; Pu, L.; Guo, X. Integrated Energy System–Hydrogen Natural Gas Hybrid Energy Storage System Optimization Model Based on Cooperative Game Under Carbon Neutrality. J. Energy Storage 2021, 38, 102539. [Google Scholar] [CrossRef]
 - Wang, Y.; Jin, Z.; Liang, J.; Li, Z.; Dinavahi, V.; Liang, J. Low-Carbon Optimal Scheduling of Park-Integrated Energy System Based on Bidirectional Stackelberg-Nash Game Theory. Energy 2024, 305, 132342. [Google Scholar] [CrossRef]
 - Ding, Y.; Xu, Q.; Hao, L.; Xia, Y. A Stackelberg Game-Based Robust Optimization For User-Side Energy Storage Configuration and Power Pricing. Energy 2023, 283, 128429. [Google Scholar] [CrossRef]
 - Zhou, Y.; Li, X.; Han, H.; Wei, Z.; Zang, H.; Sun, G.; Chen, S. Resilience-Oriented Planning of Integrated Electricity and Heat Systems: A Stochastic Distributionally Robust Optimization Approach. Appl. Energy 2024, 353, 122053. [Google Scholar] [CrossRef]
 - Zhong, W.; Xie, S.; Xie, K.; Yang, Q.; Xie, L. Cooperative P2P Energy Trading in Active Distribution Networks: A MILP-Based Nash Bargaining Solution. IEEE Trans. Smart Grid 2021, 12, 1264–1276. [Google Scholar] [CrossRef]
 - Chen, C.; Wu, X.; Li, Y.; Zhu, X.; Li, Z.; Ma, J.; Qiu, W.; Liu, C.; Lin, Z.; Yang, L.; et al. Distributionally Robust Day-Ahead Scheduling of Park-Level Integrated Energy System Considering Generalized Energy Storages. Appl. Energy 2021, 302, 117493. [Google Scholar] [CrossRef]
 - Yang, S.; Tan, Z.; Zhou, J.; Xue, F.; Gao, H.; Lin, H.; Zhou, F. A Two-Level Game Optimal Dispatching Model for the Park Integrated Energy System Considering Stackelberg and Cooperative Games. Int. J. Electr. Power Energy Syst. 2021, 130, 106959. [Google Scholar] [CrossRef]
 - Wu, C.; Hong, H.; Tseng, C.; Wen, F.; Wu, Q.; Shahnia, F. Economic Dispatch of CAES In An Integrated Energy System with Cooling, Heating, and Electricity Supplies. Energy Convers. Econ. 2023, 4, 61–72. [Google Scholar] [CrossRef]
 - Wang, L.; Lin, J.; Dong, H.; Wang, Y.; Zeng, M. Demand Response Comprehensive Incentive Mechanism-Based Multi-Time Scale Optimization Scheduling for Park Integrated Energy System. Energy 2023, 270, 126893. [Google Scholar] [CrossRef]
 - Hui, H.; Bao, M.; Ding, Y.; Yan, J.; Song, Y. Probabilistic Integrated Flexible Regions of Multi-Energy Industrial Parks: Conceptualization and Characterization. Appl. Energy 2023, 349, 121521. [Google Scholar] [CrossRef]
 - Wu, S.; Wang, Q.; Chen, Q.; Yu, C.; Tang, Y. Cyber-Physical Integrated Planning of Distribution Networks Considering Spatial-Temporal Flexible Resources. Prot. Control Mod. Power Syst. 2024, 9, 142–156. [Google Scholar] [CrossRef]
 - Ma, Y.; Zhang, T.; Deng, L.; Song, Z.; Li, T. Research on Investment Selection of Park-Level Integrated Energy System Considering Electricity-Heat-Cooling-Storage Based on Matter Element Extension. Energy 2024, 304, 132054. [Google Scholar] [CrossRef]
 - Tushar, W.; Saha, T.; Yuen, C.; Smith, D.; Poor, H. Peer-to-Peer Trading in Electricity Networks: An Overview. IEEE Trans. Smart Grid 2020, 11, 3185–3200. [Google Scholar] [CrossRef]
 - Yao, Y.; Gao, C.; Li, S.; Zhou, Y.; Wang, D.; Song, M. Comparative Study on Distributed Generation Trading Mechanisms in the UK and China. Energy Convers. Econ. 2022, 3, 122–141. [Google Scholar] [CrossRef]
 - Cui, S.; Wang, Y.; Shi, Y.; Xiao, J. A New and Fair Peer-to-Peer Energy Sharing Framework for Energy Buildings. IEEE Trans. Smart Grid 2020, 11, 3817–3826. [Google Scholar] [CrossRef]
 - Yan, B.; Jiang, Z.; Yao, P.; Yang, Q.; Li, W.; Zomaya, A. Game Theory Based Optimal Defensive Resources Allocation with Incomplete Information in Cyber-Physical Power Systems Against False Data Injection Attacks. Prot. Control Mod. Power Syst. 2024, 9, 115–127. [Google Scholar] [CrossRef]
 - Tushar, M.; Zeineddine, A.; Assi, C. Demand-Side Management by Regulating Charging and Discharging of the EV, ESS, and Utilizing Renewable Energy. IEEE Trans. Ind. Inform. 2018, 14, 117–126. [Google Scholar] [CrossRef]
 - Gumpu, S.; Sahoo, N.; Pamulaparthy, B. An Optimal Transport Theory Based Approach for Efficient Dispatch of Transactions in Energy Markets. Energy Convers. Econ. 2023, 4, 213–231. [Google Scholar] [CrossRef]
 - Paudel, A.; Chaudhari, K.; Long, C.; Gooi, H. Peer-to-Peer Energy Trading in a Prosumer-Based Community Microgrid: A Game-Theoretic Model. IEEE Trans. Ind. Electron. 2019, 66, 6087–6097. [Google Scholar] [CrossRef]
 - Jing, R.; Xie, M.; Wang, F.; Chen, L. Fair P2P Energy Trading Between Residential and Commercial Multi-Energy Systems Enabling Integrated Demand-Side Management. Appl. Energy 2020, 262, 114551. [Google Scholar] [CrossRef]
 - Ren, H.; Wu, Q.; Li, Q.; Yang, Y. Optimal Design and Management of Distributed Energy Network Considering Both Efficiency and Fairness. Energy 2020, 213, 118813. [Google Scholar] [CrossRef]
 - Yao, W.; Wang, C.; Yang, M.; Wang, K.; Dong, X.; Zhang, Z. A Tri-Layer Decision-Making Framework for IES Considering the Interaction of Integrated Demand Response and Multi-Energy Market Clearing. Appl. Energy 2023, 342, 121196. [Google Scholar] [CrossRef]
 - Ji, Z.; Liu, X.; Tang, D. Game-Theoretic Applications for Decision-Making Behavior on the Energy Demand Side: A Systematic Review. Prot. Control Mod. Power Syst. 2024, 9, 1–20. [Google Scholar] [CrossRef]
 - Wang, Z.; Chen, L.; Li, X.; Mei, S. A Nash Bargaining Model for Energy Sharing Between Micro-Energy Grids and Energy Storage. Energy 2023, 283, 129065. [Google Scholar] [CrossRef]
 - Zhong, X.; Zhong, W.; Liu, Y.; Yang, C.; Xie, S. Cooperative Operation of Battery Swapping Stations and Charging Stations with Electricity and Carbon Trading. Energy 2022, 254, 124208. [Google Scholar] [CrossRef]
 - Zhang, T.; Chen, C.; Ma, L.; Chen, T.; Wei, Y.; Lin, Z.; Srinivasan, D. Multi-Step Clustering and Generalized Nash Bargaining-Based Planning Strategy of Community-Shared Energy Storage for Large-Scale Prosumers. IEEE Trans. Sustain. Energy 2024, 15, 1013–1027. [Google Scholar] [CrossRef]
 - Meng, Y.; Ma, G.; Ye, Y.; Yao, Y.; Li, W.; Li, T. Design of P2P Trading Mechanism for Multi-Energy Prosumers Based on Generalized Nash Bargaining in GCT-CET Market. Appl. Energy 2024, 371, 123640. [Google Scholar] [CrossRef]
 - Li, Q.; Gao, W.; Zhang, H.; Wu, Z.; Wang, F. Consensus-Based Distributed Economic Dispatch Control Method in Power Systems. IEEE Trans. Smart Grid 2019, 10, 941–954. [Google Scholar] [CrossRef]
 - Suresh, V.; Janik, P.; Jasinski, M.; Guerrero, J.; Leonowicz, Z. Microgrid Energy Management Using Metaheuristic Optimization Algorithms. Appl. Soft Comput. 2023, 134, 109981. [Google Scholar] [CrossRef]
 - Sun, G.; Chen, X.; Zhou, Y.; Chen, S.; Wei, Z. Decentralized Distributionally Robust Energy and Reserve Co-Optimization of Smart Building Clusters with Virtual Energy Storage Capability. Energy Build. 2024, 309, 114040. [Google Scholar] [CrossRef]
 - Nizami, M.; Hossain, M.; Fernandez, E. Multiagent-Based Transactive Energy Management Systems for Residential Buildings with Distributed Energy Resources. IEEE Trans. Ind. Inform. 2019, 16, 1836–1847. [Google Scholar] [CrossRef]
 - Ke, S.; Chen, L.; Yang, J.; Li, G.; Wu, F.; Ye, L.; Wei, W.; Wang, Y. Vehicle to Everything in the Power Grid (V2eG): A Review on the Participation of Electric Vehicles in Power Grid Economic Dispatch. Energy Convers. Econ. 2022, 3, 259–286. [Google Scholar] [CrossRef]
 - Compte, O.; Jehiel, P. The Coalitional Nash Bargaining Solution. Econometrica 2010, 78, 1593–1623. [Google Scholar]
 - Lu, Z.; Bai, L.; Wang, J.; Wei, J.; Xiao, Y.; Chen, Y. Peer-to-Peer Joint Electricity and Carbon Trading Based on Carbon-Aware Distribution Locational Marginal Pricing. IEEE Trans. Power Syst. 2023, 38, 835–852. [Google Scholar] [CrossRef]
 










| Mode of Transaction | Trading Hours | Price (Yuan/kWh) | 
|---|---|---|
| Electricity purchase price | 00:00–08:00 23:00–24:00 | 0.488 | 
| 08:00–12:00 15:00–19:00 | 0.779 | |
| 12:00–15:00 19:00–23:00 | 1.241 | |
| Electricity selling price | 00:00–24:00 | 0.357 | 
| Methods | Parameters | Allocation Result | ||
|---|---|---|---|---|
| Park 1 | Park 2 | Park 3 | ||
| Nash bargaining | Cost before allocation (yuan) | 6916.2 | 3533.2 | 4049.4 | 
| Cost after allocation (yuan) | 7788.9 | 2256.5 | 2084.3 | |
| Cost reduction (yuan) | 223.0 | 223.0 | 223.0 | |
| Generalized Nash bargaining | Degree of contribution | 0.442 | 0.141 | 0.417 | 
| Cost before allocation (yuan) | 6916.2 | 3533.2 | 4049.4 | |
| Cost after allocation (yuan) | 7716.1 | 2385.3 | 2028.3 | |
| Cost reduction (yuan) | 295.8 | 94.2 | 279 | |
| Initial negotiation value | 8011.9 | 2479.5 | 2307.3 | |
Disclaimer/Publisher’s Note: The statements, opinions and data contained in all publications are solely those of the individual author(s) and contributor(s) and not of MDPI and/or the editor(s). MDPI and/or the editor(s) disclaim responsibility for any injury to people or property resulting from any ideas, methods, instructions or products referred to in the content.  | 
© 2024 by the authors. Licensee MDPI, Basel, Switzerland. This article is an open access article distributed under the terms and conditions of the Creative Commons Attribution (CC BY) license (https://creativecommons.org/licenses/by/4.0/).
Share and Cite
Wang, H.; Li, X.; Hu, H.; Zhou, Y. Distributed Dispatch and Profit Allocation for Parks Using Co-Operative Game Theory and the Generalized Nash Bargaining Approach. Energies 2024, 17, 6143. https://doi.org/10.3390/en17236143
Wang H, Li X, Hu H, Zhou Y. Distributed Dispatch and Profit Allocation for Parks Using Co-Operative Game Theory and the Generalized Nash Bargaining Approach. Energies. 2024; 17(23):6143. https://doi.org/10.3390/en17236143
Chicago/Turabian StyleWang, Hanwen, Xiang Li, Haojun Hu, and Yizhou Zhou. 2024. "Distributed Dispatch and Profit Allocation for Parks Using Co-Operative Game Theory and the Generalized Nash Bargaining Approach" Energies 17, no. 23: 6143. https://doi.org/10.3390/en17236143
APA StyleWang, H., Li, X., Hu, H., & Zhou, Y. (2024). Distributed Dispatch and Profit Allocation for Parks Using Co-Operative Game Theory and the Generalized Nash Bargaining Approach. Energies, 17(23), 6143. https://doi.org/10.3390/en17236143
        
                                                