Abstract
Ancillary frequency controllers such as droop controllers are beneficial for frequency regulation of a microgrid with high penetration of wind generators. However, the use of such ancillary frequency controllers may cause torsional oscillation in the doubly fed induction generator (DFIG). In this paper, a supplementary torsional damper in a battery energy storage system (BESS) is designed to improve the damping ratio for the DFIG torsional mode. Since the optimal damper gain depends on system variables such as the number of diesel generators, the number of wind generators, and BESS droop gain, an artificial neural network (ANN) is trained using these system variables as inputs and the desired BESS damper gain as the output. After the ANN has been trained with the training patterns, it can provide the desired BESS damper gain in an accurate and efficient manner. The effectiveness of the proposed ANN approach for BESS damper design is demonstrated by MATLAB/SIMULINK R2022b simulations.
1. Introduction
1.1. Background and Literature Review
The International Energy Agency (IEA) updated its roadmap in 2023 to achieve net-zero emissions by 2050 [1]. To achieve this goal, according to the roadmap, solar photovoltaics will be the largest electricity generation resource, accounting for 51% of the total generation capacity, followed by wind power at 21%. This highlights the critical role of wind power in realizing net-zero emissions. As the penetration of renewable energy in the power system rises, the system’s inertia decreases, which reduces the stability of the system’s frequency. This means that wind turbines must install ancillary frequency controllers to help regulate the system’s frequency. Two common methods for ancillary frequency control are inertial and droop control [2]. Inertial control can be used to release some of the kinetic energy stored in the rotor of DFIG to provide rapid and temporary active power support, which aims to reduce the rate of change of frequency (RoCoF). On the other hand, droop control enables a further drop in rotor speed based on inertia control to provide enough reserve capacity for more significant frequency deviation. In [2,3,4,5,6,7], several frequency control schemes incorporating inertia control and droop control are proposed to maximize improvement in system frequency response. Since it is mentioned in [8] that the optimal inertia gain approaches zero, corresponding to the lowest frequency nadir, only droop control is considered in this paper. The adaptive dynamic droop controllers were developed in [9,10,11,12,13] to ensure system stability in different conditions.
While ancillary frequency controllers can effectively reduce frequency fluctuations, they can also cause torsional vibrations in the wind turbine drivetrain gearbox, which may lead to fatigue damage [14]. This is because the frequency oscillation signal triggered by load disturbance passes through the ancillary frequency controller, and the corresponding electromagnetic torque compensation signal is generated. The compensation signal delivered through the drivetrain dynamics causes generator and turbine rotational speeds to oscillate, triggering torsional vibration. Zhang et al. [15] explore the influence of inertia control on torsional vibrations in DFIG-based wind turbine drivetrains by using a simplified small-signal model to analyze interaction paths and the impact rules of different parameters on torsional vibration damping. In order to mitigate torsional vibration, some approaches have been proposed. In [14], an approach based on Bode plots was proposed to design the parameters for the torsional vibration damper, and a two-mass drivetrain model was implemented in the study. Licari et al. [16] developed a model-based torsional damper that utilizes a Kalman filter, which performs well under model uncertainty. Fateh et al. [17] developed a sliding mode controller to mitigate torsional vibration. Mandic et al. [18] created three bandpass filters for three specific torsional modes to minimize torsional vibration based on the DFIG five-mass drivetrain model. However, their study did not consider the impact of droop control on torsional vibration. Zhang et al. [19] explored the simultaneous combined use of torsional oscillation damping (TOD) and power oscillation damping (POD) controllers in PMSG-based wind energy systems to improve stability and dynamics, providing insights for future industrial applications. Sun et al. [20] used the conventional torque analysis method to analyze electromechanical oscillations (EOs) of DFIG wind turbines, like drivetrain torsional oscillations (TOs) and electrical system low-frequency oscillations (LFOs), and develop a set of suggestions for the design of TO and LFO dampers. Liu et al. [21] created a nonlinear virtual inertia controller that used objective holographic feedback theory and the definition of a completely controllable system of Brunovsky type, aiming to improve the frequency nadir and suppress the corresponding drivetrain torsional oscillation of WTG at the same time. In [22], a novel nonlinear controller was proposed, integrating differential geometry theory with an extended state observer to mitigate wind turbine generators’ drivetrain torsional oscillations. In [23], researchers proposed a two-channel active damping control method to mitigate torsional vibration. One channel comprised a PID damping term, while the other consisted of a damping term formed by combining a bandpass filter (BPF) and a trap filter (BRF).
The roadmap by IEA [1] also indicates that the installed capacity of battery energy storage systems (BESSs) will increase with the growth of renewable energy sources. This will help mitigate renewables’ drawback of intermittency, emphasizing the importance of battery storage in achieving net-zero emissions. In [24], researchers proposed droop with the SOC feedback (DaSOF) method for BESSs to coordinate wind generators and support the frequency regulation. In [25], a hybrid control strategy for a wind energy conversion system and a BESS was proposed to regulate system frequency dynamics. In [26], researchers developed a coordinated control approach that combined adaptive virtual inertial control (VIC) and virtual droop control (VDC) to enable hybrid energy storage systems to participate in primary frequency support for a power system, and optimization of the SOC of energy storage systems was considered. In [27], a novel fuzzy frequency controller for an energy storage system was proposed to contribute to system frequency regulation. The controller took into account the state of wind power, battery energy management, and power grid stability. In [28], the researchers proposed a strategy for frequency regulation support, assigning different rules for frequency control service to a wind power generator (WPG) and a lithium-ion battery based on an adaptable power reference that included the WPG and battery.
In recent years, artificial neural networks (ANNs) have been widely used in the field of power systems to adapt to various system operation points. In [29], an ANN controller was developed to regulate the power flow between the wind turbine generator and the utility grid based on the battery’s state of charge (SOC). In [30], a deep belief network was applied to low-wind-speed wind turbine generators to determine optimal control parameters for virtual inertia control, droop control, and the de-loading ratio for over-speed control. In [31], researchers proposed an improved control strategy based on a contractive autoencoder and deep neural network to find the optimal inertial control parameters for wind turbines. In [32], a control strategy comprising model predictive control and ANN was proposed to mitigate the effects of wind fluctuations under various wind speed conditions. In [33], researchers developed a robust droop control strategy that combined sliding mode control and ANN. In [34], a comprehensive inertia controller using an adaptive neuro-fuzzy approach was presented to optimize control parameters, manage the kinetic energy of a variable-speed wind turbine, and adapt to various wind speed conditions.
1.2. Research Gap and Motivation
Recent studies have generally focused on utilizing BESS to support system frequency regulation [24,25,26,27,28]. However, studies on the use of BESS to suppress torsional vibration are rarely seen in the literature [35]. Generally, the controllers used to mitigate torsional vibration are designed on the back-to-back converters of wind turbines [14,16,17,18,19,20,21,22,23]. As a result, this study aims to address this research gap by applying BESS to suppress torsional vibration, which is the central focus of our investigation.
Although a BESS damper was used to mitigate torsional vibration in [35], it was a fixed-gain damper, which means the gain was designed for a specific system operating point, and the performance of the fixed-gain damper degraded if the operating point changed. The dampers should be redesigned when the system operating point changes, but this is time-consuming. Therefore, this requires a method to dynamically adjust the damper parameter in real time as the system operating point changes. In this paper, we propose using ANN to adjust the damper gain in real time. While ANNs have been applied in other scenarios [29,30,31,32,33,34], their application in tuning damper gain for suppressing torsional vibration still needs to be explored.
As a result, an ANN-based BESS damper is proposed in this study to mitigate torsional vibration under different operating conditions.
1.3. Contributions
The primary contributions of this research can be summarized as follows:
- (1)
- We develop a comprehensive model for a microgrid that includes diesel generators, wind generators with two-mass drivetrain and droop controller, and a BESS.
- (2)
- We analyze the impact of integrating ancillary frequency controller and BESS damper on system eigenvalues using small-signal stability analysis. Additionally, we explore the relationship between the controller parameters of both the system eigenvalues and the state variables.
- (3)
- We use an exhaustive search method to design the gain of the BESS damper in order to maximize the improvement of the damping ratio of the torsional mode. As a result, we choose the gain that maximizes the damping ratio of the torsional mode as the optimal parameter solution for that operating point.
- (4)
- We propose an ANN-based BESS damper to quickly determine the optimal damper gain when the number of wind turbine units and diesel generator units changes. Additionally, we incorporate the parameter of the BESS droop controller as the input for the ANN, thereby considering the effect of the performance of varying BESS droop gain on the system frequency response.
1.4. Structure of Paper
This paper is structured in the following manner: Section 2 overviews the proposed microgrid, including diesel generators, wind generators, and a BESS. Additionally, this section presents a block diagram illustrating the linearized model. Section 3 employs the exhausted search method to design the BESS damper and establish parameter selection strategies. Small-signal stability analysis techniques such as eigenvalue analysis, participation factor analysis, and root locus analysis are used to observe the impact of incorporating the ancillary frequency controller and BESS damper on the system eigenvalues. Section 4 introduces the design of the BESS damper using ANN. This method allows for the rapid determination of the appropriate damper parameter to maximize torsional vibration suppression when the online numbers of diesel generators, online numbers of DFIG, and BESS droop gain change. In Section 5, the MATLAB/SIMULINK simulation results are presented to demonstrate the efficacy of the proposed ANN-based BESS damper.
2. System Model
The microgrid configuration in this study, as depicted in the single-line diagram of Figure 1, incorporates twelve diesel generator units, each rated at 11 MW capacity; thirty-one wind turbine generators, each with a 900 kW rated capacity; and a battery energy storage system (BESS) rated at 16 MW. This schematic illustrates the topology of the microgrid system incorporated with the BESS being examined in the current study.
Figure 1.
Single-line diagram depicting the microgrid topology with BESS investigated in the current research study.
Figure 2 illustrates the linearized model employed for frequency regulation of the microgrid, formulated utilizing the parameter values detailed in Appendix A.
Figure 2.
Block diagram illustrating the linearized model for frequency control system of microgrid incorporating BESS.
As shown in Figure 2, primary frequency control and secondary frequency control are both considered in this study. Therefore, the differential equation of the diesel generator can be written as
where is the output of the primary frequency regulator, described as ; is the output of the secondary frequency regulator, described as ; and is the diesel engine and speed governor time constant.
The mechanical torque output from the wind turbine is derived by employing the methodology detailed in [36], which can be represented as follows:
where represents the density of air, A represents the area swept by the turbine blades, represents the wind velocity, represents the rotational speed of the turbine, represents the pitch angle, and represents the power coefficient of the turbine unit, which can be formulated as
The parameter referred to as the tip speed ratio, denoted by the symbol λTSR, can be defined as
where indicates the blade radius.
The slight increment in mechanical torque, , in the wind generator can be obtained by linearizing (2), and can be described as
where and can be written as
The element in (7) and (8) can also be represented as follows:
In this study, to focus on the impact of the main torsional mode on the wind turbine generator, we utilize a two-mass drivetrain model by simplifying the five-mass drivetrain model presented in [17,18]. In addition, we consider the worst case by ignoring the shaft damping constant. As a result, the differential equations of two-mass drivetrain model can be expressed as
where is the turbine inertia constant, represents the equivalent generator inertia constant, symbolizes the equivalent stiffness coefficient, is the torsion between the wind turbine and the generator, and corresponds to the electromagnetic torque of the wind generator.
In order to make the wind turbine generator operate in maximum power point tracking (MPPT) mode, the optimal electromagnetic torque control command, , is set as follows:
where is an optimal constant for MPPT mode. In the linearized model, the small incremental electromechanical torque can be derived from (16) as follows:
Moreover, as shown in Figure 2, when the wind turbine generator contributes to frequency regulation, the ancillary control signal, , is added to the optimal electromagnetic torque control command . As a result, the desired electromagnetic torque command, , can be written as:
where is the primary frequency regulation gain of wind generator. Since the dynamic response of the converter current regulator employed in wind turbine generators is significantly more rapid compared to the inertia constant of the wind turbine generator, a simplifying assumption can be made. It is reasonable to consider the actual electromagnetic torque which is produced as being effectively equal to the torque command .
As illustrated in Figure 2, the proposed BESS consists of a BESS droop controller and BESS damper. The active power commands of BESS can be described as follows:
where is the BESS droop gain and represents the command of the proposed BESS damper. Details about the BESS damper design will be presented in Section 3.
Given that the time constants of the battery’s equivalent circuit model and the power control system (PCS) are substantially smaller in magnitude compared to the system inertia time constant, it becomes a reasonable approximation to disregard the time delay between the issuance of the active power command to the BESS and the manifestation of its corresponding actual active power output.
Figure 2 also presents that the system frequency follows the swing equation for diesel generators, as given in [37,38]:
3. Microgrid Small Signal Stability Analysis and BESS Damper Design Using Modal Control Theory
The state-space representation for the linear system depicted in Figure 2 can be mathematically formulated as follows:
where ]T represents the state vector, and ]T denotes the disturbance vector. It is noteworthy that the state variables , , and are the state variables for the BESS damper. The system’s eigenvalues, characterizing the modes of the overall linearized system, can be obtained by solving the characteristic equation as follows:
3.1. Small Signal Stability Analysis for the Microgrid without a Damper
Using the parameters in Appendix A, the eigenvalues for a system without BESS under a wind speed of 11 m/s, DFIG online numbers of 16 units, diesel generator online numbers of 8 units, and BESS droop gain of 120 are listed in Table 1. Note that the condition of wind speed of 11 m/s, DFIG online numbers of 16 units, diesel generator online numbers of 8 units, and BESS droop gain of 120 is the based case in this study.
Table 1.
Eigenvalues for microgrid without BESS damper (, m/s, , , ).
Table 1 shows that, with the ancillary frequency controller, the eigenvalues λ1,2 shift towards the left-half plane, indicating increased stability. However, the eigenvalues λ3,4 move towards the right-half plane, potentially leading to system instability if the control parameters are not appropriately chosen.
Subsequently, after the addition of the BESS droop controller, Table 1 shows that λ1,2 continue to shift left, further enhancing stability. However, the eigenvalues λ3,4 show rightward movement, once again raising concerns about the system’s stability.
The ancillary frequency controller improves the system’s frequency response, but it may have a negative impact on the wind turbine drivetrain. Therefore, it becomes meaningful to analyze the relative participation of the different eigenvalues with respect to the state variables and . This is achieved by calculating the participation factor pki = ϕkiψik [38], as listed in Table 2.
Table 2.
Participation factor for system without BESS damper (, m/s, , , ).
Table 2 shows that the eigenvalue λ1,2 exhibits a relatively higher participation factor with respect to the system frequency Δf and the diesel generator output power ΔPdiesel compared to the other eigenvalues. Consequently, we refer to λ1,2 as the frequency mode eigenvalue. Furthermore, the eigenvalue analysis presented in Table 1 indicates that the parameters KPW of the wind turbine ancillary frequency controller and KBESS of the BESS droop controller influence the eigenvalue λ1,2, moving it further from the imaginary axis. This observation confirms the influence of KPW and KBESS on the system frequency Δf and the diesel generator power output ΔPdiesel.
Table 2 also reveals that the eigenvalue λ3,4 exhibits a relatively higher participation factor with respect to the wind generator speed ΔωG and the difference in angle variations between the wind turbine and generator ΔθRG compared to the other eigenvalues. As a result, we refer to λ3,4 as the torsional mode eigenvalue. The eigenvalue analysis presented in Table 1 demonstrates that the parameter KPW of the wind turbine ancillary frequency controller influences the eigenvalue λ3,4, driving it closer to the imaginary axis. Additionally, Table 2 indicates that λ3,4 have the greatest impact on ΔωG and ΔθRG. The smaller participation factor of ΔωR compared to ΔωG is due to the fact that HR is nine times larger than HG (refer to Appendix A). Consequently, it can be inferred that while the inclusion of the wind turbine ancillary frequency controller enhances the system frequency stability, it adversely impacts the torsional stability of the wind turbine, potentially inducing torsional vibrations.
The eigenvalue λ5 has a close relationship with ΔuKID. Because KID is typically very small, the absolute value of λ5 tends to be small. However, λ5 does not influence torsional vibration.
It can also be observed from Table 2 that λ6 is closely related to ΔωR and ΔωG. Therefore, it can be concluded that λ6 corresponds to a vibration mode where the two masses, wind turbine and generator, oscillate in unison.
Since λ3,4 are identified as the torsional mode eigenvalues, it can be deduced that the dominant oscillation frequency, , associated with the torsional dynamics of this system is 18.52 rad/s and 2.95 Hz. Additionally, the damping ratio can be derived from the eigenvalues λ3,4, as demonstrated in the following equation [39]:
The damping ratio associated with the torsional mode is found to be extremely small. Consequently, the objective of this research study is to design a BESS damper aimed at enhancing the damping ratio corresponding to the torsional mode, thereby mitigating the torsional vibration in the wind turbine drivetrain.
3.2. Design of BESS Damper
In this study, a linear BESS damper, which consists of a feedforward compensator and a high-pass filter, is proposed to suppress undesired torsional vibration within wind turbine drivetrains. The BESS damper produces a damping signal , taking as its input. The transfer function for the proposed BESS damper can be formulated as follows:
It is noted that the transfer function in (20) consists of two parts: for a feedforward compensator and for a high-pass filter.
By setting TZ = 1 and using the procedures as described in [35], the other parameter TP for the feedforward compensator can be computed as .
As for the parameters of the high-pass filter, ωCMP is set to 2 [18] because, when ω = ω1 = 18.52, ω ≫ ωCMP = 2, indicating that when the signal of the torsional mode at 2.9 Hz passes through the high-pass filter, H2(jω) ≈ −Kdamper, allowing the signal to pass through. However, for low-frequency signals where ω ≈ 0, H2(jω) ≈ 0, resulting in the signal being filtered out.
Since the objective of this paper is to maximally suppress the torsional vibrations, we need to find a suitable gain Kdamper of the high-pass filter that can improve the torsional mode damping. Therefore, in this section, we utilize an exhaustive search method, substituting different values of Kdamper into (21) to obtain the system eigenvalues. Through small-signal stability analysis, we identify which eigenvalue corresponds to the torsional mode and calculate its damping ratio. Finally, we compare the damping ratios and select the value that maximizes the damping ratio, which is the optimal gain we seek.
Based on the above description, we substitute the system parameters in Appendix A and different values of Kdamper into (21) to calculate the damping ratio of torsional mode and plot the results. As can be observed from Figure 3, different values of Kdamper correspond to different damping ratios for the torsional mode. In the base case scenario of this paper, when , the damping ratio of torsional mode reaches 0.41, exhibiting the best damping improvement effect. This also explains that, when the system operates at a specific operating point, there exists a particular high-pass filter gain Kdamper that maximizes the damping ratio of the torsional mode. In the base case scenario of this paper, we refer to as the optimal gain.
Figure 3.
Relationship between Kdamper and the damping ratio of the torsional mode.
After obtaining the feedforward compensator parameter and the optimal high-pass filter gain for the base case, Section 3.3 employs small-signal stability analysis to analyze whether the BESS damper can effectively improve the torsional mode and its impact on the frequency response of the microgrid.
3.3. Small Siganl Stability Analysis for the Microgrid with Damper
Using the parameters in Appendix A, the eigenvalues for a system with BESS under the based case situation are listed in Table 3.
Table 3.
Eigenvalues for microgrid with BESS damper (, m/s, , , ).
Table 3 reveals that the addition of the damper significantly shifts the eigenvalues λ3,4 towards the left-half plane, implying a substantial improvement in damping ratio from 0.03 to 0.41 when the mode corresponding to λ3,4 is excited.
It is noted that the eigenvalues λ1,2 shift slightly towards the right-half plane, but the damping ratio remains essentially unchanged.
The participation factor analysis for the system with the BESS damper is presented in Table 4.
Table 4.
Participation factor for system with BESS damper (, m/s, , , ).
We must first recognize the eigenvalue that corresponds to the torsional mode. It can be seen that the eigenvalues λ3,4 and λ7,8 exhibit remarkably similar participation factors across all state variables. These two eigenvalues have notably higher participation factors for ΔθRG and ΔωG than other eigenvalues. Thus, we tentatively conclude that the torsional mode is associated with one of these two eigenvalues. As the torsional mode is not clearly distinguished in Table 4, we can use root locus analysis to determine that the eigenvalue lies on the same root locus as the torsional mode eigenvalue identified in Section 3.1 without the damper. Consequently, we can assign as the eigenvalue that represents the torsional mode after the damper is added.
After analyzing the torsional mode eigenvalue λ3,4, we examine the participation factors between the other eigenvalues and state variables. We notice that λ7,8 exhibits higher participation factors for the state variables of dampers and compared to other eigenvalues. Hence, we can refer to λ7,8 as the controller mode.
Having identified the modes represented by λ3,4 and λ7,8, we analyze the participation factors between the remaining eigenvalues and state variables. It is observed that λ1,2 has higher participation factors for the state variables Δf and ΔPdiesel. Therefore, we can conclude that λ1,2 represents the frequency mode eigenvalue.
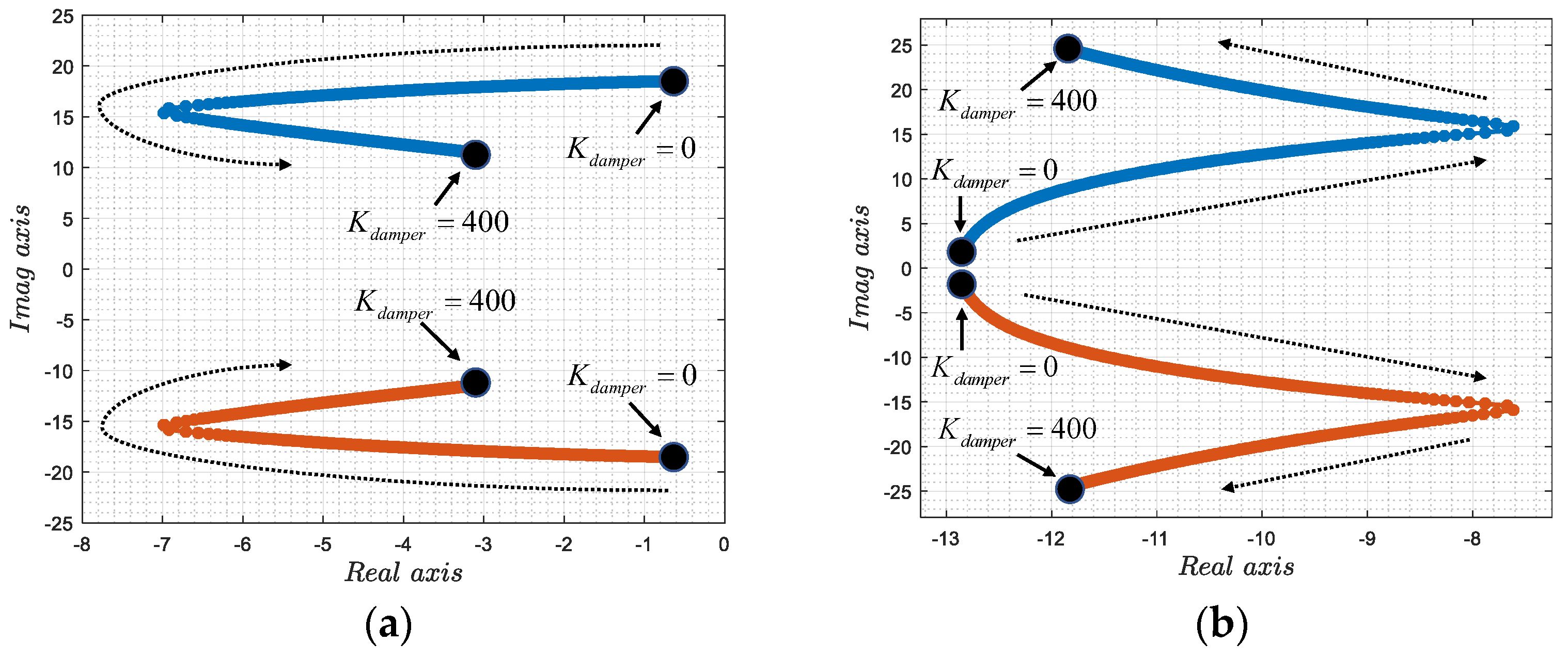
In order to analyze how the system eigenvalues move as the damper gain changes, the root locus analysis is utilized. By adjusting the damper gain, we plot the eigenvalues for torsional mode λ3,4, and controller mode λ7,8. These plots are visible in Figure 4.
Figure 4.
Root locus of system eigenvalues when TP is fixed and Kdamper is increased: (a) λ3,4, (b) λ7,8.
Figure 4 shows that as Kdamper increases, λ3,4 initially move towards the left-half complex plane before returning to the right-half complex plane. This suggests that careful selection of Kdamper is needed to ensure that λ3,4 moves to the far left of the root locus, thereby enhancing system stability. On the other hand, it is observed that λ7,8 initially move towards the right-half complex plane before returning to the left-half complex plane.
4. ANN-Based BESS Damper Design
Artificial neural networks (ANNs) represent a unique method for solving nonlinear problems without specifying a priori mathematical relations. ANNs do not require initial simplifications, which allows them to be used in practice under various conditions. ANNs learn from the characteristics of training data and are commonly used to optimize, classify, and identify patterns; predict, diagnose, and decide; and link, describe, and generate. Thus, ANNs have been widely used in many fields due to the successful approximation of complicated input–output relations.
Section 3 describes a BESS damper whose parameters are obtained by considering only one operating point in the system. If the operating point changes, the feedforward compensator parameter should also be changed, along with the high-pass filter gain , which must be found using an exhaustive search method. could be obtained by the solving system transfer function, but obtaining using the exhaustive search method is time-consuming, so an ANN was proposed in this section to quickly determine the optimal damper gain for BESS damper design. Figure 5 displays the proposed architecture of BESS damper design using the ANN technique.
Figure 5.
Block diagram of ANN-based BESS damper.
As shown in Figure 5, the gain of the BESS damper is adjusted by ANN. The inputs to this ANN include online numbers of diesel generators (), online numbers of DFIG (), and BESS droop gain (). The output of the ANN represents the desired gain of the BESS damper. The specific architecture of the neural network used, as shown in Figure 6 [40], is a feedforward neural network with two hidden layers: the first layer comprises ten nodes, and the second layer comprises fifteen nodes.
Figure 6.
ANN for a BESS damper.
As illustrated in Figure 6, the output of the jth node in the nth layer is a nonlinear function of the outputs from the nodes in the (n − 1)th layer, calculated as follows:
where represents the connection weight value between the ith neuron in the (n − 1)th layer and the jth neuron in the nth layer; represents the bias weight of the jth neuron in the nth layer; and f( ) is a nonlinear hyperbolic tangent activation function.
According to (25), the desired gain for the BESS damper can be computed using the following equation:
In order to guarantee the performance of the ANN used in this study, a sufficient set of 2240 training patterns was used, with all patterns randomized to ensure diverse combinations of diesel generator online numbers (), DFIG online numbers (), and BESS droop gain (). The process for generating training patterns is outlined in the following steps:
- Choose a set of , , and ;
- Use the procedures described in [35] to obtain TP for the feedforward compensator;
- Use the exhaustive search method to find the optimal with the highest damping ratio for torsional mode and record this optimal gain;
- Repeat steps 1 to 3 to find the optimal in different sets of , , and and record them.
This training data set was subdivided, with 80% utilized to train the ANN used and 20% reserved for validation and testing. The ANN training process involved iterative adjustment of connection weights linking input nodes, nodes in the two hidden layers, and the output node. This iterative adjustment process was aimed at identifying optimum weight values that would allow the ANN to ascertain BESS damper gain nearly equal to the optimal gain presented in each training pattern instance. Altogether, the learning process targeted at the training set’s cost function minimum and achieved by continually changing the connection weights, guaranteeing that the ANN’s BESS damper gain prediction, was the desired optimal value among all conceivable training data patterns. The cost function in this study was set as [40]:
where is the ANN’s output gain and is the optimal gain obtained by using the exhaustive search method.
Figure 7 shows the training, validation, and test performance curves during the training process. It can be seen that the mean squared errors for all three lines converged to the steady state after 20 epochs. Figure 8 displays the regression analysis results for the training, validation, and test patterns. The figure shows that the test regression line (red line) was very close to the line Y = T, which means that ANN’s output and target values were nearly the same. As shown in Figure 7 and Figure 8, the ANN exhibited a good fit on the training data and demonstrated its effectiveness in predicting damper gain.
Figure 7.
Performance during the ANN training process.
Figure 8.
ANN regression analysis results.
5. Simulation Results
In this section, we develop a model of a microgrid system using MATLAB®/Simulink. Four different scenarios are simulated, and the system is subjected to a 10% load disturbance at 1 s to assess the effectiveness of three types of dampers: the fixed-gain damper, the exhaustive search gain damper, and the ANN-based damper. It is important to note that Case 1, which serves as the base case for this study, has the damper gain obtained through the exhaustive search method set as the gain for the fixed-gain dampers in Cases 2 to 4. The four scenarios are described as follows:
Case 1: Peak load with 60 MW, , , (trained pattern).
Case 2: Peak load with 60 MW, , , (trained pattern).
Case 3: Off-peak load with 30 MW, , , (pattern with untrained and ).
Case 4: Off-peak load with 30 MW, , , (pattern with untrained , , and ).
- Case 1
Figure 9 illustrates the simulation results, including no damper, a damper based on the exhausted search method, and an ANN-based damper.
Figure 9.
Microgrid dynamic response curves for 10% step load change at t = 1 s for Case 1: (a) frequency, (b) , (c) torsion , and (d) .
As shown in Figure 9b,c, it can be noted that, without a damper, there is a severe oscillation in generator speed and torsion, oscillating at 2.95 Hz. This is as expected, since the eigenvalues for this mode are −0.6243 18.5203 and the damping ratio is 0.03, as mentioned in Section 3.1. However, after adding the damper, the oscillation is significantly reduced, indicating effective suppression of torsional oscillation. The damping ratio of torsional mode is improved from 0.031 to 0.41, demonstrating the effectiveness of the BESS damper. Further observation of the curves for the damper based on the exhausted search method and the ANN-based damper shows that the two curves almost overlap. At this point, the gain for the ANN-based damper is 204.8 p.u., which is very close to the 204 p.u. obtained from the exhausted search method, validating the excellent training effectiveness of the ANN-based damper.
Moreover, as shown in Figure 9a, adding the damper results in the system’s frequency nadir becoming lower. Thus, improvement of torsional mode damping by the BESS damper is achieved at the price of a lower frequency nadir.
- Case 2
Figure 10 depicts a comparison between the response curves of the system when the wind turbine units decrease and the diesel generator units increase simultaneously using the fixed-gain damper and the neural network-based damper.
Figure 10.
Microgrid dynamic response curves for 10% step load change at t = 1 s for Case 2: (a) frequency, (b) , (c) torsion , and (d) .
As illustrated in Figure 10c, all three curves exhibited smaller oscillation amplitudes compared to the oscillation amplitudes without the damper in Figure 9. This indicates that both the fixed-gain damper and the ANN-based damper had a certain degree of suppression of torsional oscillation. The red and yellow curves in the figure almost overlap, indicating the excellent training effectiveness of the ANN-based damper. Furthermore, between 1.5 s and 2 s, the yellow curve’s oscillation amplitude is smaller than that of the blue curve, indicating better suppression of torsional oscillation. At this point, the fixed-gain damper improved the damping ratio of torsional mode to 0.23, while the neural network-based damper improved it to 0.45. In other words, the ANN-based damper performed better than the fixed-gain damper, demonstrating the effectiveness of the ANN-based damper.
Figure 10a shows that there was not much of a difference in the system frequency response between the ANN-based damper and the fixed-gain damper.
- Case 3
In Case 3, we examine the performance of the ANN-based damper with an untrained online number of diesel generators (ND) and an online number of DFIGs (NW). Figure 11 presents the results.
Figure 11.
Microgrid dynamic response curves for 10% step load change at t = 1 s for Case 3: (a) frequency, (b) , (c) torsion , and (d) .
As shown in Figure 11c, the red curve reached a steady state without oscillation between 2 and 2.5 s, while the blue curve still displayed some oscillation. At this point, the fixed-gain damper had a value of Kdamper = 204, which improved the damping ratio of the torsional mode to 0.27. In contrast, the ANN-based damper had a value of Kdamper = 94.7, which improved the damping ratio of the torsional mode to 0.37. This suggests that the ANN-based damper was able to effectively predict the corresponding Kdamper for this system operating point and outperformed the fixed-gain damper.
Figure 11a shows that the frequency nadir for the case with the ANN-based damper was slightly higher than that with the fixed-gain damper, since the ANN-based damper utilized a smaller gain than the fixed-gain damper.
- Case 4
Figure 12 was used to test the performance of the ANN-based damper with an untrained online number of diesel generators (ND), an online number of DFIGs (NW), and BESS droop gain (KBESS).
Figure 12.
Microgrid dynamic response curves for 10% step load change at t = 1 s for Case 4: (a) frequency, (b) , (c) torsion , and (d) .
Upon observing Figure 12c, it is clear that the red curve converged faster than the blue curve. The red curve reached a steady state between 2 and 2.5 s, while the blue curve still showed some oscillation. At this point, the fixed-gain damper had a value of Kdamper of 204, which improved the damping ratio of the torsional mode to 0.24. In comparison, the ANN-based damper had a Kdamper value of 84.6, improving the torsional mode’s damping ratio to 0.40. Similarly to Case 3, Case 4 demonstrates that the ANN-based damper still accurately predicted the corresponding value of Kdamper for this system operating point. This reaffirms the superiority of the ANN-based damper.
As mentioned in Case 3, the minimum frequency observed in Figure 12a for the scenario utilizing an ANN-based damper was marginally higher than that seen with a fixed-gain damper. This was due to the ANN-based damper employing a lower gain compared to the fixed-gain damper.
By comparing the frequency nadirs in Figure 11a for KBESS = 120 and Figure 12a for KBESS = 30, it can be concluded that frequency nadir improved as the BESS droop gain KBESS increased.
The system’s performances (damping ratios) under different operating conditions are compared in Table 5. The damping ratios with the ANN-based damper in the table are all higher than those with the fixed-gain damper, indicating that the ANN-based damper was more effective at mitigating torsional vibration than the fixed-gain damper.
Table 5.
Damping ratios of the torsional mode of microgrid with an ANN-based damper vs. a fixed-gain damper.
6. Conclusions
This study proposes an ANN-based BESS damper to suppress torsional vibration in wind turbine drivetrain, and the proposed damper is adaptable to different system operating points. We created a linearized model for small-signal stability analysis and BESS damper design. Then, we determined the BESS damper gain using an exhaustive search method at a specific operating point to mitigate torsional vibration effectively. Additionally, we utilized an ANN to design the BESS damper gain, reducing the time-consuming nature of the exhaustive search method. Finally, we applied the proposed ANN-based BESS damper to a microgrid established in MATLAB/SIMULINK and subjected it to load disturbance to validate its effectiveness. Therefore, the conclusions of this study can be summarized as follows:
- (1)
- Based on small-signal stability analysis, we analyzed the impact of integrating the ancillary frequency controller on system eigenvalues and identified the eigenvalue corresponding to the torsional mode, which exhibited an oscillation frequency of 2.95 Hz.
- (2)
- The proposed BESS damper included a feedforward compensator and a high-pass filter. The feedforward compensator was used to compensate for the phase lag between the damper and wind turbine electromagnetic torque signals. In addition, an exhaustive search method was used to design the gain of the high-pass filter in order to maximize the reduction in torsional vibration. This approach enhanced the torsional mode damping ratio from 0.03 to 0.41.
- (3)
- We illustrated the impact of the BESS damper on system eigenvalues and evaluated the system’s stability based on small-signal stability analysis after the damper was incorporated. The results indicate that the eigenvalue corresponding to torsional oscillations significantly shifted towards the left-half plane, effectively suppressing the torsional oscillation mode.
- (4)
- This study proposed an ANN-based approach to design the BESS damper gain, which was able to quickly adapt and provide a new optimal gain when diesel generator online numbers, DFIG online numbers, and BESS droop gain changed. Simulation results illustrate that the proposed ANN-based damper effectively suppressed torsional vibration in the drivetrain and rapidly adjusted the damper gain to optimize the damping performance in response to changes in system operating conditions, thereby maximizing the improvement of torsional vibration.
- (5)
- Compared to traditional control approaches, the ANN-based BESS damper has the significant advantages of quickly determining the optimal damper gain under different system operating points and enhancing the suppression of torsional vibration. However, this approach has its limitations. It requires collecting a substantial dataset and training the neural network in advance, a process that can be considerably time-consuming.
Author Contributions
Conceptualization, K.-Y.L.; data curation, K.-Y.L.; investigation, K.-Y.L.; methodology, K.-Y.L.; project administration, Y.-Y.H.; software, K.-Y.L.; supervision, Y.-Y.H.; validation, K.-Y.L.; visualization, K.-Y.L.; writing—original draft, K.-Y.L.; writing—review and editing, K.-Y.L. All authors have read and agreed to the published version of the manuscript.
Funding
This research was funded by the National Science and Technology Council of Taiwan, grant number NSTC 112-2221-E-002-047.
Data Availability Statement
The data presented in this study are available on request from the corresponding author. The data are not publicly available due to privacy.
Conflicts of Interest
The authors declare that they have no known competing financial interests or personal relationships that could have appeared to influence the work reported in this paper.
Nomenclature
| battery energy voltage system | |
| , , , | bases for BESS, diesel generators, system, and wind generators, respectively |
| load damping | |
| system frequency | |
| integral of system frequency | |
| high pass filter parameter | |
| , | inertia constants for 2-mass drivetrain of the wind turbine generator |
| inertia constant for power system | |
| stiffness coefficients for 2-mass drivetrain of the wind generator | |
| , , | droop gains of diesel generators, wind generators, and BESS |
| MPPT gain parameter | |
| , , , | output powers of BESS, diesel generators, and wind generators, respectively, and load power |
| diesel generator time constants | |
| , | electromagnetic and mechanical torque of the wind generator |
| , | lead-lag compensator parameters |
| wind velocity | |
| wind generator speed | |
| pitch angle | |
| 2-mass drivetrain torsion | |
| tip speed ratio | |
| ζ | damping ratio |
| linearized incremental quantity | |
| , | online numbers of diesel generators and DFIG |
| , | rated power of each diesel generator and DFIG |
| HD | inertia constant of each diesel generator |
Appendix A
System parameters:
- 160 MVA
- 0.5 p.u.
Diesel (synchronous) generator parameters:
- 20 p.u.
- 0.1 p.u.
- 0.35 s
- 11 MVA
- HD = 0.103 p.u.
Wind generator (doubly-fed induction generator) parameters:
- 0.9 MVA
- 20 p.u.
- 360.8101 p.u.
- 5.2322 s
- 0.5805 s
BESS parameters:
- = 16 MVA
References
- IEA. Net Zero Roadmap: A Global Pathway to Keep the 1.5 °C Goal in Reach; International Energy Agency: Paris, France, 2023; Available online: https://www.iea.org/reports/net-zero-roadmap-a-global-pathway-to-keep-the-15-0c-goal-in-reach (accessed on 10 December 2023).
- Ye, H.; Pei, W.; Qi, Z. Analytical Modeling of Inertial and Droop Responses from a Wind Farm for Short-Term Frequency Regulation in Power Systems. IEEE Trans. Power Syst. 2016, 31, 3414–3423. [Google Scholar] [CrossRef]
- Lyu, X.; Jia, Y.; Dong, Z. Adaptive Frequency Responsive Control for Wind Farm Considering Wake Interaction. J. Mod. Power Syst. Clean Energy 2021, 9, 1066–1075. [Google Scholar] [CrossRef]
- Asad, M.; Sanchez-Fernandez, J.A. Enhancing Frequency Regulation Support through Several Synthetic Inertial Approaches for WDPS. Electronics 2024, 13, 852. [Google Scholar] [CrossRef]
- Kumar, A. Primary frequency regulation support through deloaded offshore renewable power generators with HVDC-link. IET Renew. Power Gener. 2021, 15, 1693–1705. [Google Scholar] [CrossRef]
- Yang, P.; He, B.; Wang, B.; Dong, X.; Liu, W.; Zhang, J.; Wu, Z.; Liu, J.; Qin, Z. Coordinated control of rotor kinetic energy and pitch angle for large-scale doubly fed induction generators participating in system primary frequency regulation. IET Renew. Power Gener. 2021, 15, 1836–1847. [Google Scholar] [CrossRef]
- Wu, Y.K.; Yang, W.H.; Hu, Y.L.; Dzung, P.Q. Frequency regulation at a wind farm using time-varying inertia and droop controls. IEEE Trans. Ind. Appl. 2019, 55, 213–224. [Google Scholar] [CrossRef]
- Van de Vyver, J.; De Kooning, J.D.M.; Meersman, B.; Vandevelde, L.; Vandoorn, T.L. Droop control as an alternative inertial response strategy for the synthetic inertia on wind turbines. IEEE Trans. Power Syst. 2016, 31, 1129–1138. [Google Scholar] [CrossRef]
- Abouzeid, S.I.; Guo, Y.; Zhang, H.C.; Ma, X. Improvements in primary frequency regulation of the grid-connected variable speed wind turbine. IET Renew. Power Gener. 2019, 13, 491–499. [Google Scholar] [CrossRef]
- Hwang, M.; Muljadi, E.; Park, J.W.; Sørensen, P.; Kang, Y.C. Dynamic droop–based inertial control of a doubly-fed induction generator. IEEE Trans. Sustain. Energy. 2016, 7, 924–933. [Google Scholar] [CrossRef]
- Roozbehani, S.; Hagh, M.T.; Zadeh, S.G. Frequency control of islanded wind-powered microgrid based on coordinated robust dynamic droop power sharing. IET Gener. Transm. Distrib. 2019, 13, 4968–4977. [Google Scholar] [CrossRef]
- Lee, J.; Jang, G.; Muljadi, E.; Blaabjerg, F.; Chen, Z.; Kang, Y.C. Stable short-term frequency support using adaptive gains for a DFIG-based wind power plant. IEEE Trans. Energy Convers. 2016, 31, 1068–1079. [Google Scholar] [CrossRef]
- Garmroodi, M.; Verbič, G.; Hill, D.J. Frequency support from wind turbine generators with a time-variable droop characteristic. IEEE Trans. Sustain. Energy 2018, 9, 676–684. [Google Scholar] [CrossRef]
- Manaz, M.A.M.; Lu, C.-N. Design of resonance damper for wind energy conversion system providing frequency support service to low inertia power systems. IEEE Trans. Power Syst. 2020, 35, 4297–4306. [Google Scholar] [CrossRef]
- Zhang, X.; He, W.; Hu, J. Impact of Inertia Control of DFIG-Based WT on Torsional Vibration in Drivetrain. IEEE Trans. Sustain. Energy 2020, 11, 2525–2534. [Google Scholar] [CrossRef]
- Licari, J.; Ugalde-Loo, C.E.; Ekanayake, J.B.; Jenkins, N. Damping of torsional vibrations in a variable-speed wind turbine. IEEE Trans. Energy Convers. 2013, 28, 172–180. [Google Scholar] [CrossRef]
- Fateh, F.; White, W.N.; Gruenbacher, D. Torsional vibrations mitigation in the drivetrain of DFIG-based grid-connected wind turbine. IEEE Trans. Ind. Appl. 2017, 53, 5760–5767. [Google Scholar] [CrossRef]
- Mandic, G.; Nasiri, A.; Muljadi, E.; Oyague, F. Active torque control for gearbox load reduction in a variable-speed wind turbine. IEEE Trans. Ind. Appl. 2012, 48, 2424–2432. [Google Scholar] [CrossRef]
- Zhang, Z.; Zhao, X.; Fu, L.; Edrah, M. Stability and Dynamic Analysis of the PMSG-Based WECS with Torsional Oscillation and Power Oscillation Damping Capabilities. IEEE Trans. Sustain. Energy 2022, 13, 2196–2210. [Google Scholar] [CrossRef]
- Sun, L.; Liu, K.; Hu, J.; Hou, Y. Analysis and Mitigation of Electromechanical Oscillations for DFIG Wind Turbines Involved in Fast Frequency Response. IEEE Trans. Power Syst. 2019, 34, 4547–4556. [Google Scholar] [CrossRef]
- Liu, B.; Zhao, J.; Huang, Q.; Milano, F.; Zhang, Y.; Hu, W. Nonlinear Virtual Inertia Control of WTGs for Enhancing Primary Frequency Response and Suppressing Drivetrain Torsional Oscillations. IEEE Trans. Power Syst. 2021, 36, 4102–4113. [Google Scholar] [CrossRef]
- Liu, B.; Zhao, J.; Huang, Q.; Milano, F.; Hu, W. Robust Nonlinear Controller to Damp Drivetrain Torsional Oscillation of Wind Turbine Generators. IEEE Trans. Sustain. Energy 2021, 12, 1336–1346. [Google Scholar] [CrossRef]
- Li, Z.; Tian, S.; Zhang, Y.; Li, H.; Lu, M. Active Control of Drive Chain Torsional Vibration for DFIG-Based Wind Turbine. Energies 2019, 12, 1744. [Google Scholar] [CrossRef]
- Shim, J.W.; Verbič, G.; Zhang, N.; Hur, K. Harmonious integration of faster-acting energy storage systems into frequency control reserves in the power grid with high renewable generation. IEEE Trans. Power Syst. 2018, 33, 6193–6205. [Google Scholar] [CrossRef]
- Choi, J.W.; Heo, S.Y.; Kim, K.K. Hybrid operation strategy of wind energy storage system for power grid frequency regulation. IET Gener. Transm. Distrib. 2016, 10, 736–749. [Google Scholar] [CrossRef]
- Xing, C.; Xiao, J.; Li, P.; Xi, X.; Chen, Y.; Guo, Q. Adaptive Virtual Inertial Control and Virtual Droop Control Coordinated Control Strategy for Hybrid Energy Storage Taking into Account State of Charge Optimization. Electronics 2024, 13, 1228. [Google Scholar] [CrossRef]
- Ma, S.; Xin, D.; Jiang, Y.; Li, J.; Wu, Y.; Sha, G. Primary-Frequency-Regulation Coordination Control of Wind Power Inertia and Energy Storage Based on Compound Fuzzy Logic. Batteries 2023, 9, 564. [Google Scholar] [CrossRef]
- Tagayi, R.K.; Han, S.; Lee, H.; Kim, J. Reliable Frequency Control Support Scheme Based on Wind Power Generator Combined with Rechargeable Energy Storage System Applying Adaptive Power Reference. Appl. Sci. 2023, 13, 5302. [Google Scholar] [CrossRef]
- Kurian, S.; Krishnan, S.T.; Cheriyan, E.P. Real-time implementation of artificial neural networks-based controller for battery storage supported wind electric generation. IET Gener. Transm. Distrib. 2015, 9, 937–946. [Google Scholar] [CrossRef]
- Bian, X.; Zhang, J.; Ding, Y.; Zhao, J.; Zhou, Q.; Lin, S. Microgrid Frequency Regulation Involving Low-wind-speed Wind Turbine Generators Based on Deep Belief Network. IET Gener. Transm. Distrib. 2020, 14, 2046–2054. [Google Scholar] [CrossRef]
- Ji, Z.; Zhang, J.; Liu, Y.; Zhou, T. Improved Combined Inertial Control of Wind Turbine Based on CAE and DNN for Temporary Frequency Support. Appl. Sci. 2023, 13, 6984. [Google Scholar] [CrossRef]
- Mohamed, M.A.-E.-H.; Abbas, H.S.; Shouran, M.; Kamel, S. A Neuro-Predictive Controller Scheme for Integration of a Basic Wind Energy Generation Unit with an Electrical Power System. Energies 2022, 15, 5839. [Google Scholar] [CrossRef]
- Kanwal, S.; Rauf, M.Q.; Khan, B.; Mokryani, G. Artificial neural network assisted robust droop control of autonomous microgrid. IET Renew. Power Gener. 2014, 18, 1346–1369. [Google Scholar] [CrossRef]
- Hafiz, F.; Abdennour, A. An adaptive neuro-fuzzy inertia controller for variable-speed wind turbines. Renew. Energy 2016, 92, 136–146. [Google Scholar] [CrossRef]
- Chiu, B.-K.; Lee, K.-Y.; Hsu, Y.-Y. Battery Energy Storage System Damper Design for a Microgrid with Wind Generators Participating in Frequency Regulation. Energies 2023, 16, 7439. [Google Scholar] [CrossRef]
- Shahabi, M.; Haghifam, M.R.; Mohamadian, M.; Nabavi-Niaki, S.A. Microgrid dynamic performance improvement using a doubly fed induction wind generator. IEEE Trans. Energy Convers. 2009, 24, 137–145. [Google Scholar] [CrossRef]
- Vidyanandan, K.V.; Senroy, N. Primary frequency regulation by deloaded wind turbines using variable droop. IEEE Trans. Power Syst. 2013, 28, 837–846. [Google Scholar] [CrossRef]
- Kundur, P. Power System Stability and Control; McGraw-Hill: New York, NY, USA, 1994. [Google Scholar]
- Franklin, G.F.; Powell, J.D.; Emami-Naeini, A. Feedback Control of Dynamic Systems; Pearson Education, Inc.: Upper Saddle River, NJ, USA, 2006. [Google Scholar]
- Haykin, S. Neural Networks and Learning Machines, 3rd ed.; Pearson: Upper Saddle River City, NJ, USA, 2008. [Google Scholar]
Disclaimer/Publisher’s Note: The statements, opinions and data contained in all publications are solely those of the individual author(s) and contributor(s) and not of MDPI and/or the editor(s). MDPI and/or the editor(s) disclaim responsibility for any injury to people or property resulting from any ideas, methods, instructions or products referred to in the content. |
© 2024 by the authors. Licensee MDPI, Basel, Switzerland. This article is an open access article distributed under the terms and conditions of the Creative Commons Attribution (CC BY) license (https://creativecommons.org/licenses/by/4.0/).











