Sign in to use this feature.

Years

Between: -

Subjects

remove_circle_outline
remove_circle_outline
remove_circle_outline
remove_circle_outline
remove_circle_outline
remove_circle_outline
remove_circle_outline
remove_circle_outline
remove_circle_outline

Journals

Article Types

Countries / Regions

remove_circle_outline
remove_circle_outline
remove_circle_outline
remove_circle_outline

Search Results (437)

Search Parameters:
Keywords = doubly fed induction generators

Order results
Result details
Results per page
Select all
Export citation of selected articles as:
15 pages, 2333 KB  
Article
Transient Synchronization Stability Analysis of DFIG-Based Wind Turbines with Virtual Resistance Demagnetization Control
by Xiaohe Wang, Xiaofei Chang, Ming Yan, Zhanqi Huang and Chao Wu
Electronics 2026, 15(2), 467; https://doi.org/10.3390/electronics15020467 - 21 Jan 2026
Viewed by 38
Abstract
With the increasing penetration of wind power, the transient synchronization stability of doubly fed induction generator (DFIG)-based wind turbines during grid faults has become a critical issue. While conventional fault ride-through methods like Crowbar protection can ensure safety, they compromise system controllability and [...] Read more.
With the increasing penetration of wind power, the transient synchronization stability of doubly fed induction generator (DFIG)-based wind turbines during grid faults has become a critical issue. While conventional fault ride-through methods like Crowbar protection can ensure safety, they compromise system controllability and worsen grid voltage conditions. Virtual resistance demagnetization control has emerged as a promising alternative due to its simple structure and effective flux damping. However, its impact on transient synchronization stability has not been revealed in existing studies. To fill this gap, this paper presents a comprehensive analysis of the transient synchronization stability of DFIG systems under virtual resistance control, introducing a novel fourth-order transient synchronization model that explicitly captures the coupling between the virtual resistance demagnetization control and phase-locked loop (PLL) dynamics. The model reveals the emergence of transient power and positive damping terms induced by the virtual resistance, which play a pivotal role in stabilizing the system. Furthermore, this work theoretically investigates how the virtual resistance and current loop’s proportional-integral (PI) parameters jointly influence transient stability, demonstrating that increasing the virtual resistance while reducing the integral gain of the current loop significantly enhances synchronization stability. Simulation results validate the accuracy of the model and the effectiveness of the proposed analysis. The findings provide a theoretical foundation for optimizing control parameters and improving the stability of DFIG-based wind turbines during grid faults. Full article
Show Figures

Figure 1

15 pages, 2797 KB  
Article
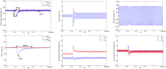
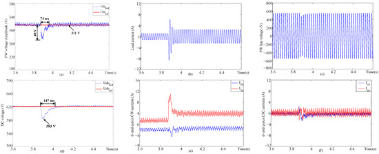
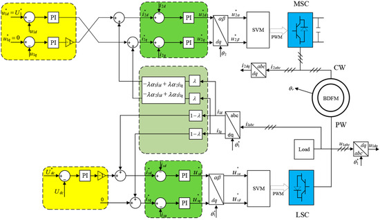
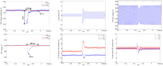
Coordinated Control of Standalone Brushless Doubly-Fed Induction Generator for Load Disturbance Suppression in Microgrid
by Wei Luo, Yan Le, Minglei Xie, Yi Liu and Dayi Li
Energies 2026, 19(2), 464; https://doi.org/10.3390/en19020464 - 17 Jan 2026
Viewed by 92
Abstract
The anti-load-disturbance capability is one of the most important capabilities in a microgrid. In comparison with the grid-connected brushless doubly-fed induction generator (BDFIG), the output voltage of the standalone BDFIG in a microgrid is more susceptible to load disturbances. In order to address [...] Read more.
The anti-load-disturbance capability is one of the most important capabilities in a microgrid. In comparison with the grid-connected brushless doubly-fed induction generator (BDFIG), the output voltage of the standalone BDFIG in a microgrid is more susceptible to load disturbances. In order to address this issue, this paper presents a coordinated control method based on both the machine side converter (MSC) and line side converter (LSC) to reduce the amplitude of power winding (PW) voltage fluctuation and shorten transient response time, so as to significantly reduce the influence of the load disturbance on the output voltage under the limited power converter capacity. The proposed control strategy is validated through experiments conducted on a 3 kW wound-rotor BDFIG. Full article
Show Figures

Figure 1

40 pages, 3419 KB  
Systematic Review
Improvement of Low Voltage Ride-Through (LVRT) of Doubly Fed Induction Generator (DFIG)-Based Wind Energy Conversion Systems (WECSs) by STATCOMs: A Systematic Literature Review
by Nhlanhla Mbuli
Energies 2026, 19(2), 443; https://doi.org/10.3390/en19020443 - 16 Jan 2026
Viewed by 106
Abstract
To maintain power system stability and supply quality when integrating doubly fed induction generator (DFIG)-based wind energy conversion systems (DFIG-WECSs), regulators regularly update grid codes specifying low voltage ride-through (LVRT) requirements. This paper presents a systematic literature review (SLR) on the use of [...] Read more.
To maintain power system stability and supply quality when integrating doubly fed induction generator (DFIG)-based wind energy conversion systems (DFIG-WECSs), regulators regularly update grid codes specifying low voltage ride-through (LVRT) requirements. This paper presents a systematic literature review (SLR) on the use of STATCOMs to enhance LVRT capability in DFIG-WECSs. Objectives included a structured literature search, bibliographic analysis, thematic synthesis, trend identification, and proposing future research directions. A PRISMA-based methodology guided the review, utilising PRISMA 2020 for Abstracts in the development of the abstract. The final search was conducted on Scopus (31 March 2025). Eligible studies were primary research in English (2009–2014) where STATCOM was central to LVRT enhancement; exclusions included non-English studies, duplicates, reviews, and studies without a STATCOM focus. Quality was assessed using an adapted Critical Appraisal Skills Programme (CASP) tool. No automation or machine learning tools were used. Thirty-eight studies met the criteria and were synthesised under four themes: operational contexts, STATCOM-based schemes, control strategies, and optimisation techniques. Unlike prior reviews, this study critically evaluates merits, limitations, and practical challenges. Trend analysis shows evolution from hardware-based fault survival strategies to advanced optimisation and coordinated control schemes, emphasising holistic grid stability and renewable integration. Identified gaps include cyber-physical security, techno-economic assessments, and multi-objective optimisation. Actionable research directions are proposed. By combining technical evaluation with systematic trend analysis, this review clarifies the state of STATCOM-assisted LVRT strategies and outlines pathways for future innovation in DFIG-WECS integration. Full article
Show Figures

Figure 1

32 pages, 3300 KB  
Article
Detection, Discrimination, and Localization of Rotor Winding Faults in Doubly Fed Induction Generators Using a Three-Layer ZSC–CASI–CADI Framework
by Muhammad Shahzad Aziz, Jianzhong Zhang, Sarvarbek Ruzimov, Xu Huang and Anees Ahmad
Sensors 2026, 26(1), 273; https://doi.org/10.3390/s26010273 - 1 Jan 2026
Viewed by 373
Abstract
Reliable detection of the rotor winding faults in the doubly fed induction generator (DFIG) is crucial for the resilience of the variable speed energy systems. High-resistance connection (HRC) and inter-turn short circuit (ITSC) faults cause current distortions that are remarkably similar, and the [...] Read more.
Reliable detection of the rotor winding faults in the doubly fed induction generator (DFIG) is crucial for the resilience of the variable speed energy systems. High-resistance connection (HRC) and inter-turn short circuit (ITSC) faults cause current distortions that are remarkably similar, and the rapid rotor side dynamics and the DFIG multimode operation ability also make fault diagnosis more difficult. This paper proposes a three-layer diagnostic framework named ZSC-CASI-CADI which leverages three-phase rotor currents in conjunction with rotor zero-sequence current (ZSC) for comprehensive rotor winding fault diagnosis. Fault detection is realized through ZSC magnitude and the Cosine Angle Spread Indicator (CASI) enables the strong discrimination between HRC and ITSC faults using the dispersion of rotor current phasors from the ZSC reference. Fault localization is achieved using the Current Angle Difference Indicator (CADI), which determines the faulty rotor phase through the angular deviations in rotor currents from the ZSC. The methodology is verified with extensive simulation results to demonstrate the accurate, real-time fault detection, discrimination, and localization of DFIG rotor winding faults under different load and rotor speed conditions including sub-synchronous and super-synchronous modes. The results show that the proposed framework provides a light and effective solution for rotor winding fault monitoring of the DFIG systems. Full article
(This article belongs to the Special Issue Feature Papers in Fault Diagnosis & Sensors 2025)
Show Figures

Figure 1

12 pages, 1822 KB  
Article
Compensation for Rapid Voltage Fluctuations in the Grid Using a Wind Turbine with a Doubly Fed Induction Generator
by Tomasz Lerch and Raluca-Elena Necula
Energies 2026, 19(1), 105; https://doi.org/10.3390/en19010105 - 24 Dec 2025
Viewed by 249
Abstract
The growing share of distributed energy resources in the power system increases the number of power quality issues. The variable nature of their generation contributes to voltage fluctuations. This paper proposes a method for compensating voltage fluctuations utilising reactive power generated by a [...] Read more.
The growing share of distributed energy resources in the power system increases the number of power quality issues. The variable nature of their generation contributes to voltage fluctuations. This paper proposes a method for compensating voltage fluctuations utilising reactive power generated by a doubly fed induction generator (DFIG). The proposed method was first evaluated using a simulation model developed in the Matlab Simulink R2025a environment and subsequently validated experimentally under laboratory conditions. The results obtained are highly satisfactory, with the compensation time in laboratory tests not exceeding 500 ms. Since DFIGs are used in approximately 50% of wind power plants and the implementation of the proposed approach does not require additional hardware—only modifications to the generator control software—the method appears highly promising. It offers the possibility of rapid deployment without incurring significant costs. Full article
Show Figures

Figure 1

31 pages, 4638 KB  
Article
Improvement in DFIG-Based Wind Energy Conversion System LVRT Capability in Compliance with Algerian Grid Code
by Brahim Djidel, Lakhdar Mokrani, Abdellah Kouzou, Mohamed Machmoum, Jose Rodriguez and Mohamed Abdelrahem
Machines 2026, 14(1), 22; https://doi.org/10.3390/machines14010022 - 23 Dec 2025
Viewed by 259
Abstract
During voltage dips, wind turbines must remain connected to the electrical grid and contribute to voltage stabilization. This study analyzes the impact of voltage dips arising from grid faults on Doubly Fed Induction Generator (DFIG) based Wind Energy Conversion Systems (WECSs). This paper [...] Read more.
During voltage dips, wind turbines must remain connected to the electrical grid and contribute to voltage stabilization. This study analyzes the impact of voltage dips arising from grid faults on Doubly Fed Induction Generator (DFIG) based Wind Energy Conversion Systems (WECSs). This paper presents a review of the technical regulations for integrating the Algerian electricity grid with the Low Voltage Ride Through (LVRT) system, along with specific requirements for renewable power generation installations. Additionally, the modeling and control strategy of DFIG based WECS has been outlined. Voltage dips can induce excessive currents that threaten the DFIG rotor and may cause harmful peak oscillations in the DC-link voltage, and can lead to turbine speed increase due to the sudden imbalance between the mechanical input torque and the reduced electromagnetic torque. To counter this, a modified vector control and crowbar protection mechanism were integrated. Its role is to mitigate these risks, thereby ensuring the system remains stable and operational through grid faults. The proposed system successfully meets the stringent Algerian LVRT requirements, with voltage dipping to zero for 0.3 s and recovering gradually. Simulations confirm that rotor and stator currents remain within safe limits (peak rotor current at 0.93 pu, and peak stator current at 1.36 pu). The DC-link voltage, despite a transient rise due to the continued power conversion from the rotor-side converter during the grid fault, was effectively stabilized and maintained within safe operating margins (with less than 14% overshoot). This stability was achieved as the crowbar ensured power balance by managing active and reactive power. Notably, the turbine rotor speed demonstrated stability, peaking at 1.28 pu within mechanical limits. Full article
Show Figures

Figure 1

17 pages, 10360 KB  
Article
Optimization of Crowbar Resistance for Enhanced LVRT Capability in Wind Turbine Doubly Fed Induction Generator
by Mahmoud M. Elkholy and M. Abdelateef Mostafa
Appl. Syst. Innov. 2025, 8(6), 191; https://doi.org/10.3390/asi8060191 - 16 Dec 2025
Viewed by 466
Abstract
Recently, the installed generation capacity of wind energy has expanded significantly, and the doubly fed induction generator (DFIG) has gained a prominent position amongst wind generators owing to its superior performance. It is extremely vital to enhance the low-voltage ride-through (LVRT) capability for [...] Read more.
Recently, the installed generation capacity of wind energy has expanded significantly, and the doubly fed induction generator (DFIG) has gained a prominent position amongst wind generators owing to its superior performance. It is extremely vital to enhance the low-voltage ride-through (LVRT) capability for the wind turbine DFIG system because the DFIG is very sensitive to faults in the electrical grid. The major concept of LVRT is to keep the DFIG connected to the electrical grid in the case of an occurrence of grid voltage sags. The currents of rotor and DC-bus voltage rise during voltage dips, resulting in damage to the power electronic converters and the windings of the rotor. There are many protection approaches that deal with LVRT capability for the wind turbine DFIG system. A popular approach for DFIG protection is the crowbar technique. The resistance of the crowbar must be precisely chosen owing to its impact on both the currents of the rotor and DC-bus voltage, while also ensuring that the rotor speed does not exceed its maximum limit. Therefore, this paper aims to obtain the optimal values of crowbar resistance to minimize the crowbar energy losses and ensure stable DFIG operation during grid voltage dips. A recent optimization technique, the Starfish Optimization (SFO) algorithm, was used for cropping the optimal crowbar resistance for improving LVRT capability. To validate the accuracy of the results, the SFO results were compared to the well-known optimization algorithm, particle swarm optimizer (PSO). The performance of the wind turbine DFIG system was investigated by using Matlab/Simulink at a rated wind speed of 13 m/s. The results demonstrated that the increases in DC-link voltage and rotor speed were reduced by 42.5% and 45.8%, respectively. Full article
Show Figures

Figure 1

19 pages, 3491 KB  
Article
Implementation and Performance Assessment of a DFIG-Based Wind Turbine Emulator Using TSR-Driven MPPT for Enhanced Power Extraction
by Ilyas Bennia, Lotfi Baghli, Serge Pierfederici and Abdelkader Mechernene
Appl. Sci. 2025, 15(24), 12966; https://doi.org/10.3390/app152412966 - 9 Dec 2025
Viewed by 366
Abstract
This study presents the development and experimental validation of a novel wind turbine emulator (WTE) based on a doubly fed induction generator (DFIG). The proposed architecture employs an induction motor (IM) driven by a variable frequency drive (VFD) to emulate wind turbine dynamics, [...] Read more.
This study presents the development and experimental validation of a novel wind turbine emulator (WTE) based on a doubly fed induction generator (DFIG). The proposed architecture employs an induction motor (IM) driven by a variable frequency drive (VFD) to emulate wind turbine dynamics, offering a cost-effective and low-maintenance alternative to traditional DC motor-based systems. The contribution of this work lies, therefore, not in the hardware topology itself, but in the complete real-time software implementation of the control system using C language and RTLib, which enables higher sampling rates, faster PWM updates, and improved execution reliability compared with standard Simulink/RTI approaches. The proposed control structure integrates tip–speed ratio (TSR)-based maximum power point tracking (MPPT) with flux-oriented vector control of the DFIG, fully coded in C to provide optimized real-time performance. Experimental results confirm the emulator’s ability to accurately replicate real wind turbine behavior under varying wind conditions. The test bench demonstrates fast dynamic response, with rotor currents settling in 11–18 ms, and active/reactive powers stabilizing within 25–30 ms. Overshoots remain below 10%, and steady-state errors are limited to ±1 A for currents and ±100 W/±50 VAR for powers, ensuring precise power regulation. The speed tracking error is approximately 0.61 rad/s, validating the system’s ability to follow dynamic references with high accuracy. Additionally, effective decoupling between active and reactive loops is achieved, with minimal cross-coupling during step changes. Full article
(This article belongs to the Section Electrical, Electronics and Communications Engineering)
Show Figures

Figure 1

17 pages, 5269 KB  
Article
Condition Monitoring of In-Service DFIGs Working Under Non-Stationary Conditions via NsHOTA: A Motor Current Signature Approach
by Sandra Delfa-Baena, Estefania Artigao, Carla Terron-Santiago, Andres Honrubia-Escribano, Jordi Burriel-Valencia and Emilio Gomez-Lazaro
Sensors 2025, 25(24), 7451; https://doi.org/10.3390/s25247451 - 7 Dec 2025
Viewed by 396
Abstract
The reliability of wind turbines largely depends on the ability to detect electrical and mechanical faults under variable operating conditions. This paper applies the Non-steady-state Harmonic Order Tracking Analysis (NsHOTA) method to the diagnosis of doubly-fed induction generators (DFIGs) in real wind turbines. [...] Read more.
The reliability of wind turbines largely depends on the ability to detect electrical and mechanical faults under variable operating conditions. This paper applies the Non-steady-state Harmonic Order Tracking Analysis (NsHOTA) method to the diagnosis of doubly-fed induction generators (DFIGs) in real wind turbines. Unlike other steady-state and transient techniques, NsHota stabilizes and enhances fault components in any operating regime, allowing for more in-depth analysis. Therefore, this method enables highly accurate fault diagnosis, allowing the measurement and analysis of small degradations over time. The method is validated using eight months of field data from an 850 kW DFIG previously diagnosed with mixed eccentricity. The results demonstrate that NsHOTA improves the consistency and quality of fault feature extraction, reduces background noise, and avoids false negatives under steady and non-steady regimes. In the real data test, NsHOTA is also compared with the steady-state HOTA (SsHOTA) method. These findings confirm the robustness of NsHOTA for real-world wind turbine condition monitoring and highlight its potential integration into predictive maintenance systems. Full article
Show Figures

Figure 1

40 pages, 7942 KB  
Article
Experimental Evaluation of Feedback Proportional–Integral Control for Improving the Efficiency and Sustainability of DFIG Systems in Renewable Energy Applications
by Habib Benbouhenni, Abdessamed Milles and Nicu Bizon
Sustainability 2025, 17(23), 10667; https://doi.org/10.3390/su172310667 - 28 Nov 2025
Viewed by 416
Abstract
This study investigates the effectiveness of a feedback-based proportional–integral (PI) regulator in the control system of a doubly fed induction generator (DFIG) used in wind energy applications, with a focus on enhancing the reliability and sustainability of renewable power generation. The primary objective [...] Read more.
This study investigates the effectiveness of a feedback-based proportional–integral (PI) regulator in the control system of a doubly fed induction generator (DFIG) used in wind energy applications, with a focus on enhancing the reliability and sustainability of renewable power generation. The primary objective is to assess how the feedback-based PI regulator can improve the efficiency and stability of rotor-side converter control, thereby ensuring consistent power quality and resilient operation under variable environmental and loading conditions. A novel experimental setup was developed by integrating a laboratory-scale DFIG system with real-time digital simulation tools, enabling a realistic assessment of dynamic performance. Various operating scenarios, including wind speed fluctuations and generator parameter variations, were analyzed to evaluate the regulator’s ability to minimize power ripples, ensure voltage stability, reduce total harmonic distortion (THD), and mitigate torque ripple—all of which contribute to more sustainable and efficient energy conversion. Comparative analyses using performance indicators such as power ripple, steady-state error, and overshoot demonstrate that the feedback-based PI regulator outperforms conventional control methods reported in the literature. The experimental results confirm that the proposed control strategy not only enhances dynamic performance and operational robustness but also contributes to the long-term sustainability of wind energy systems by improving energy efficiency, reducing losses, and supporting grid stability. Overall, this work promotes sustainability by advancing control techniques that optimize renewable energy utilization and strengthen the reliability of clean power technologies. Full article
Show Figures

Figure 1

33 pages, 11216 KB  
Article
Comparative Performance Evaluation of Wind Energy Systems Using Doubly Fed Induction Generator and Permanent Magnet Synchronous Generator
by Areeg Ebrahiem Elngar, Asmaa Sobhy Sabik, Ahmed Hassan Adel and Adel S. Nada
Wind 2025, 5(4), 31; https://doi.org/10.3390/wind5040031 - 21 Nov 2025
Viewed by 1131
Abstract
Wind energy has become a cornerstone of sustainable electricity generation, yet the reliable integration of wind energy conversion systems (WECSs) into modern grids remains challenged by dynamic variations in wind speed and stringent fault ride-through (FRT) requirements. Among the available technologies, the Doubly [...] Read more.
Wind energy has become a cornerstone of sustainable electricity generation, yet the reliable integration of wind energy conversion systems (WECSs) into modern grids remains challenged by dynamic variations in wind speed and stringent fault ride-through (FRT) requirements. Among the available technologies, the Doubly Fed Induction Generator (DFIG) and the Permanent Magnet Synchronous Generator (PMSG) dominate commercial applications; however, a comprehensive comparative assessment under diverse grid and fault scenarios is still limited. This study addresses this gap by systematically evaluating the performance of DFIG- and PMSG-based WECSs across three operating stages: (i) normal operation at constant speed, (ii) variable wind speed operation, and (iii) grid fault conditions including single-line-to-ground, line-to-line, and three-phase faults. To enhance fault resilience, a DC-link Braking Chopper is integrated into both systems, ensuring a fair evaluation of transient stability and compliance with low-voltage ride-through (LVRT) requirements. The analysis, performed using MATLAB/Simulink, focuses on active and reactive power, rotor speed, pitch angle, and DC-link voltage dynamics. The results reveal that PMSG exhibits smoother transient responses and lower overshoot compared to DFIG. Under fault conditions, the DC-link Braking Chopper effectively suppresses voltage spikes in both systems, with DFIG achieving faster reactive power recovery in line with grid code requirements, while PMSG ensures more stable rotor dynamics with lower oscillations. The findings highlight the complementary strengths of both technologies and provide useful insights for selecting appropriate WECS configurations to improve grid integration and fault ride-through capability. Full article
(This article belongs to the Topic Wind Energy in Multi Energy Systems)
Show Figures

Figure 1

22 pages, 2241 KB  
Article
Fault Ride-Through Control and Protection Coordination Analysis of Wind Farms via Flexible DC Transmission Systems
by Hao Wang, Wenyue Zhou and Yiping Luo
Electricity 2025, 6(4), 67; https://doi.org/10.3390/electricity6040067 - 20 Nov 2025
Viewed by 563
Abstract
To address the critical issue of low reliability caused by fault impacts in large-scale wind farms transmitting power over long distances via flexible DC transmission systems, this study proposes a collaborative solution. First, a new protection scheme integrating variable quantity differential protection, steady-state [...] Read more.
To address the critical issue of low reliability caused by fault impacts in large-scale wind farms transmitting power over long distances via flexible DC transmission systems, this study proposes a collaborative solution. First, a new protection scheme integrating variable quantity differential protection, steady-state quantity differential protection and zero-sequence differential protection is proposed. By establishing a refined model of a wind farm with a flexible DC system, the adaptability of the differential protection for the outgoing lines is checked. Simulation results show that the sensitivity of metallic faults within the protection zone is better than 3.0, and the protection reliably remains inactive for faults outside the protection zone. Second, an innovative fault ride-through strategy combining self-regulating resistor circuits with wind farm MPPT load reduction is proposed. During faults on the receiving grid, the DC voltage fluctuation is controlled within 1.05 p.u. through graded switching of resistor modules and dynamic power regulation. This solution offers both rapid response and smooth fault ride-through characteristics, significantly improving the feasibility and economic viability of wind farm integration via flexible DC transmission. Full article
Show Figures

Figure 1

19 pages, 2318 KB  
Article
Evaluation of the Interactions of Multiple Inverter-Based Resources Using 2DOF Elastic Energy Equivalent System
by Jiangbei Han, Xulin Zheng, Yilan Yu, Lei Shang, Jingjing Bai, Yang Zheng, Yuanyuan Wang, Hao Ding, Zhixiong Su and Xuzhu Dong
Electronics 2025, 14(22), 4479; https://doi.org/10.3390/electronics14224479 - 17 Nov 2025
Viewed by 374
Abstract
Inverter-based resources are widely integrated into power systems, which may interact with each other and induce the risk of oscillation. This paper introduces a two-degree-of-freedom elastic energy equivalent system (2DOF-EEES) to assess interactions in power systems integrated with multiple inverter-based resources. Unlike traditional [...] Read more.
Inverter-based resources are widely integrated into power systems, which may interact with each other and induce the risk of oscillation. This paper introduces a two-degree-of-freedom elastic energy equivalent system (2DOF-EEES) to assess interactions in power systems integrated with multiple inverter-based resources. Unlike traditional impedance-based analysis, the 2DOF-EEES intuitively represents the interactions between multiple inverters and the power network by constructing an equivalent elastic structure with two degrees of freedom. Initially, by equating parallel RLC circuits to a two-degree-of-freedom spring–damper system, the 2DOF-EEES is established. Subsequently, the 2DOF-EEES for the power system, integrated with multiple inverter-based resources, is developed by deriving analytical expressions for common and differential-mode energy. The effectiveness of this method in accurately assessing the oscillatory stability of the system is validated through time-domain simulation. The results further reveal that the differential-mode energy influences the common-mode energy via the equivalent elastic structure in the 2DOF-EEES, thereby affecting the interaction between the wind farm and the network. Full article
Show Figures

Figure 1

20 pages, 7453 KB  
Article
AC-Voltage Support and Speed Control Strategy for DFIG-Based Gravity Energy Storage Systems Under Unbalanced Grid
by Yan Li, Darui He, Jiao Dai, Jiaqi Zheng, Fangyuan Tian, Yuanshi Zhang and Chenwen Cheng
Electronics 2025, 14(22), 4470; https://doi.org/10.3390/electronics14224470 - 16 Nov 2025
Viewed by 296
Abstract
This paper presents an optimized control strategy based on a Doubly Fed Induction Generator (DFIG) and Gravity Energy Storage System (GESS) for AC voltage support in unbalanced grid conditions. The presented control aims to achieve precise rotational speed control, voltage stabilization, and harmonic [...] Read more.
This paper presents an optimized control strategy based on a Doubly Fed Induction Generator (DFIG) and Gravity Energy Storage System (GESS) for AC voltage support in unbalanced grid conditions. The presented control aims to achieve precise rotational speed control, voltage stabilization, and harmonic component suppression. The optimization strategy responds to voltage and frequency fluctuations in an unbalanced grid. Based on Grid-Forming (GFM) control, it adjusts the DFIG’s operating state in real time. This ensures stable voltage support and mitigates harmonic distortion caused by the unbalanced grid. Simulation results, under a weak grid (SCR = 3) and unbalanced (0.9 p.u. voltage sag) conditions, validate the strategy, which reduces rotor current THD from 12.57% to 1.71% and maintains precise speed tracking during a 0.8 p.u. to 0.7 p.u. load change. The results demonstrate that the presented control method effectively improves grid power quality. It also enhances system stability and reliability. This approach provides strong support for integrating renewable energy into unbalanced grids. Full article
(This article belongs to the Special Issue Intelligent Control Strategies for Power Electronics)
Show Figures

Figure 1

34 pages, 7065 KB  
Article
Metaheuristic-Based Control Parameter Optimization of DFIG-Based Wind Energy Conversion Systems Using the Opposition-Based Search Optimization Algorithm
by Kavita Behara and Ramesh Kumar Behara
Energies 2025, 18(21), 5843; https://doi.org/10.3390/en18215843 - 5 Nov 2025
Viewed by 579
Abstract
Renewable wind energy systems widely employ doubly fed induction generators (DFIGs), where efficient converter control ensures grid-integrated power system stability and reliability. Conventional proportional–integral (PI) controller tuning methods often encounter challenges with nonlinear dynamics and parameter variations, resulting in reduced adaptability and efficiency. [...] Read more.
Renewable wind energy systems widely employ doubly fed induction generators (DFIGs), where efficient converter control ensures grid-integrated power system stability and reliability. Conventional proportional–integral (PI) controller tuning methods often encounter challenges with nonlinear dynamics and parameter variations, resulting in reduced adaptability and efficiency. To address this, we present an owl search optimization (OSO)-based tuning strategy for PI controllers in DFIG back-to-back converters. Inspired by the hunting behavior of owls, OSO provides robust global search capabilities and resilience against premature convergence. The proposed method is evaluated in MATLAB/Simulink and benchmarked against particle swarm optimization (PSO), genetic algorithm (GA), and simulated annealing (SA) under step wind variations, turbulence, and grid disturbances. Simulation results demonstrate that OSO achieves superior performance, with 96.4% efficiency, reduced power losses (~40 kW), faster convergence (<400 ms), shorter settling time (<345 ms), and minimal oscillations (0.002). These findings establish OSO as a robust and efficient optimization approach for DFIG-based wind energy systems, delivering enhanced dynamic response and improved grid stability. Full article
Show Figures

Figure 1

Back to TopTop